A Learning Emotion Recognition Model Based on Feature Fusion of Photoplethysmography and Video Signal
Abstract
1. Introduction
- (1)
- We propose a temporal convolutional network model equipped with channel attention, which processes PPG signals across multiple scales using CWT (continuous wavelet transform) and dynamically assigns weights to these scales using channel attention. This is followed by the extraction of spatiotemporal features using a TCN (temporal convolutional network) and GRUs (gated recurrent units).
- (2)
- We introduce a network model that fuses multi-scale spatiotemporal features, with a particular focus on key facial regions to counteract the effects of facial deformation, occlusion, and uneven lighting, thereby enhancing the utilization of spatial features.
- (3)
- We investigate a dual-modal data fusion method that combines video and PPG signals, and propose a model-level fusion strategy using an attention aggregation network with parallel connections.
2. Related Works
2.1. PPG Physiological Signal Measurement
2.2. Video Expression and Emotion Measurement
2.3. Fusion of Physiological Signals and Video Measurement
3. Methodology
3.1. Temporal Convolutional Network Model with Channel Attention
3.1.1. PPG Signal Preprocessing Module
3.1.2. Scale Dimension Attention Compression Module
3.1.3. Emotion Recognition Module
3.1.4. Model Analysis
- (i)
- Data time window alignment: The PPG signal data automatically recorded by each learner’s 20 wristbands are stored in individual PPG signal files. The initial step involves aligning these data within a specified time window. While learners induce emotional data by watching videos, the experimenter records the video’s playback and stop times. Based on these time stamps, each learner’s PPG signal data are split and saved in CSV files, yielding 20 CSV files per learner containing the PPG signal data.
- (ii)
- Data segmentation: Given the sampling frequency of 64 Hz, each CSV file is divided into 20 s segments. The PPG signal in each CSV file is subdivided into multiple segments and stored within the same CSV file.
- (iii)
- Data annotation: In this step, PPG signals are annotated based on the scales completed by learners after watching the inducing videos and the labels of the emotional induction videos. All PPG signal data from the learners are collected and collated into a single large CSV file for subsequent experimental procedures. The primary data processing tools used are Numpy and Pandas from Python.
3.2. Multimodal Fusion Model
3.2.1. Video Processing Module: Cascade Attention-Based Network
3.2.2. Video–PPG Fusion Model
4. Experiments
4.1. Experimental Parameter Configurations
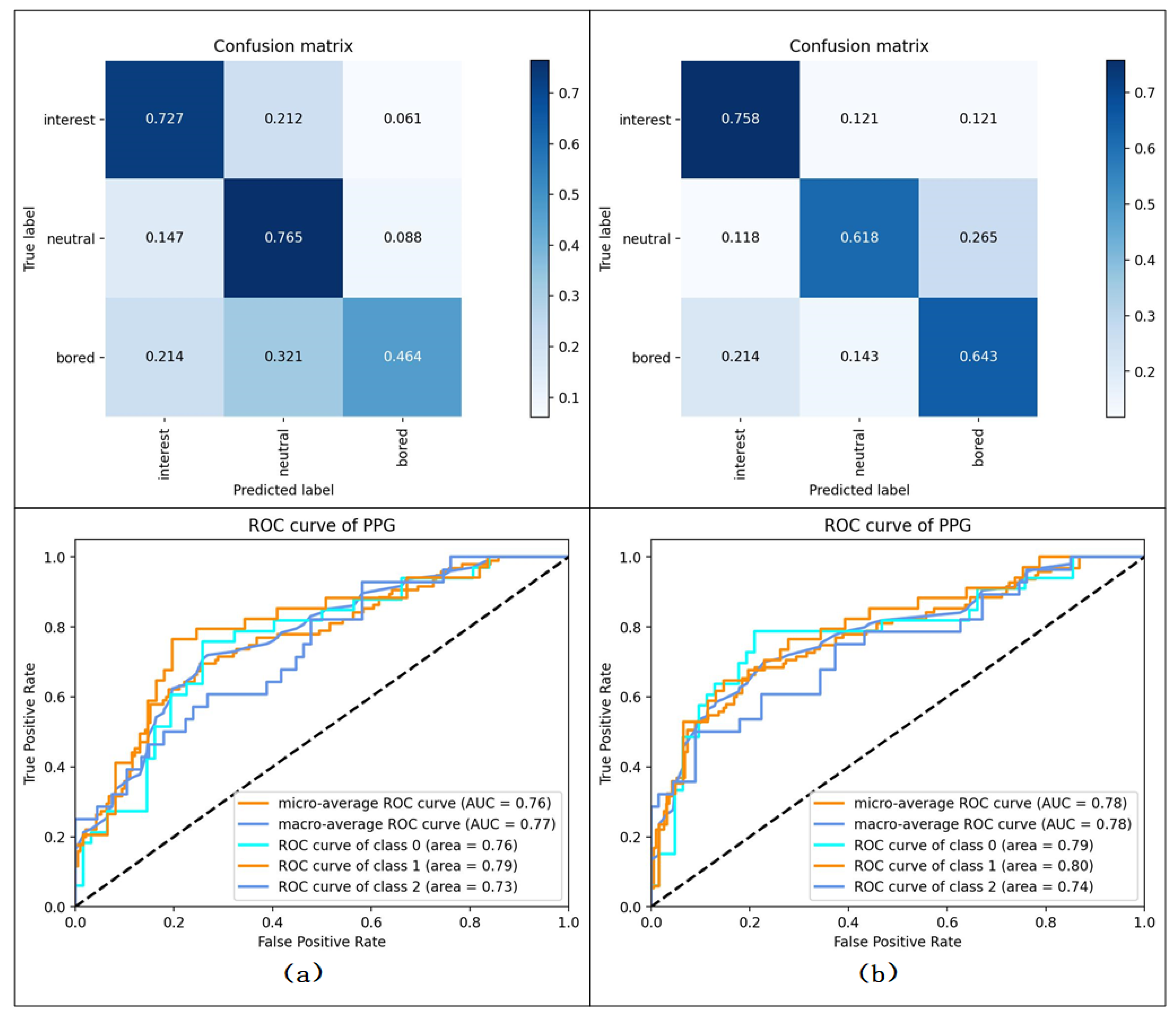
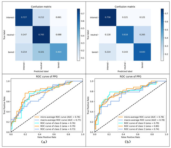
4.2. Performance and Result Analysis
5. Conclusions
Author Contributions
Funding
Institutional Review Board Statement
Informed Consent Statement
Data Availability Statement
Conflicts of Interest
References
- Mejbri, N.; Essalmi, F.; Jemni, M.; Alyoubi, B.A. Trends in the use of affective computing in e-learning environments. Educ. Inf. Technol. 2022, 27, 3867–3889. [Google Scholar] [CrossRef]
- Harley, J.M.; Lajoie, S.P.; Tressel, T.; Jarrell, A. Fostering positive emotions and history knowledge with location-based augmented reality and tour-guide prompts. Learn. Instr. 2020, 70, 101163. [Google Scholar] [CrossRef]
- Vijayakumar, S.; Flynn, R.; Murray, N. A comparative study of machine learning techniques for emotion recognition from peripheral physiological signals. In Proceedings of the 2020 31st Irish Signals and Systems Conference (ISSC), Letterkenny, Ireland, 11–12 June 2020; IEEE: Piscataway, NJ, USA, 2020; pp. 1–6. [Google Scholar]
- Udovičić, G.; Ðerek, J.; Russo, M.; Sikora, M. Wearable emotion recognition system based on GSR and PPG signals. In Proceedings of the 2nd International Workshop on Multimedia for Personal Health and Health Care, Mountain View, CA, USA, 23 October 2017; ACM: New York, NY, USA, 2017; pp. 53–59. [Google Scholar]
- Ekman, P.; Friesen, W.V.; O’sullivan, M.; Chan, A.; Diacoyanni-Tarlatzis, I.; Heider, K.; Krause, R.; LeCompte, W.A.; Pitcairn, T.; Ricci-Bitti, P.E.; et al. Universals and cultural differences in the judgments of facial expressions of emotion. J. Personal. Soc. Psychol. 1987, 53, 712–717. [Google Scholar] [CrossRef] [PubMed]
- Scherer, K.R.; Banse, R.; Wallbott, H.G. Emotion inferences from vocal expression correlate across languages and cultures. J. Cross-Cult. Psychol. 2001, 32, 76–92. [Google Scholar] [CrossRef]
- Jung, T.P.; Sejnowski, T.J. Utilizing deep learning towards multi-modal bio-sensing and vision-based affective computing. IEEE Trans. Affect. Comput. 2019, 13, 96–107. [Google Scholar]
- Cosoli, G.; Poli, A.; Scalise, L.; Spinsante, S. Heart Rate Variability Analysis with Wearable Devices: Influence of Artifact Correction Method on Classification Accuracy for Emotion Recognition. Proceedings of 2021 IEEE International Instrumentation and Measurement Technology Conference (I2MTC), Glasgow, UK, 17–20 May 2021; IEEE: Piscataway, NJ, USA, 2021; pp. 1–6. [Google Scholar]
- Ahmed, R.; Mehmood, A.; Rahman, M.M.U.; Dobre, O.A. A Deep Learning and Fast Wavelet Transform-Based Hybrid Approach for Denoising of PPG Signals. IEEE Sens. Lett. 2023, 7, 1–4. [Google Scholar] [CrossRef]
- Zhao, L.; Zhang, X.; Niu, X.; Sun, J.; Geng, R.; Li, Q.; Zhu, X.; Dai, Z. Remote photoplethysmography (rPPG) based learning fatigue detection. Appl. Intell. 2023, 53, 27951–27965. [Google Scholar] [CrossRef]
- Zhao, L.; Zhang, X.; Niu, X.; Sun, J.; Geng, R.; Li, Q.; Zhu, X.; Dai, Z. Attentional feature fusion. Proc. IEEE/CVF Winter Conf. Appl. Comput. Vis. 2021, 53, 3560–3569. [Google Scholar]
- Zheng, Y.; Xiao, R.; He, Q. Human Keypoint-Guided Fall Detection: An Attention-Integrated GRU Approach. In Proceedings of the 2023 4th International Conference on Machine Learning and Computer Application, Hangzhou, China, 27–29 October 2023; pp. 221–226. [Google Scholar]
- Islam, M.T.; Zabir, I.; Ahamed, S.T.; Yasar, T.; Shahnaz, C.; Fattah, S.A. A time-frequency domain approach of heart rate estimation from photoplethysmographic (PPG) signal. Biomed. Signal Process. Control 2017, 36, 146–154. [Google Scholar] [CrossRef]
- Zhang, Z.; Pi, Z.; Liu, B. TROIKA: A general framework for heart rate monitoring using wrist-type photoplethysmographic signals during intensive physical exercise. IEEE Trans. Biomed. Eng. 2014, 62, 522–531. [Google Scholar] [CrossRef]
- Islam, M.T.; Ahmed, S.T.; Shahnaz, C.; Fattah, S.A. SPECMAR: Fast heart rate estimation from PPG signal using a modified spectral subtraction scheme with composite motion artifacts reference generation. Med. Biol. Eng. Comput. 2019, 57, 689–702. [Google Scholar] [CrossRef] [PubMed]
- Park, M.W.; Kim, C.J.; Hwang, M.; Lee, E.C. Individual emotion classification between happiness and sadness by analyzing photoplethysmography and skin temperature. In Proceedings of the 2013 Fourth World Congress on Software Engineering, Hong Kong, China, 3–4 December 2013; IEEE: Piscataway, NJ, USA, 2013; pp. 190–194. [Google Scholar]
- Rakshit, R.; Reddy, V.R.; Deshpande, P. Emotion detection and recognition using HRV features derived from photoplethysmogram signals. In Proceedings of the 2nd Workshop on Emotion Representations and Modelling for Companion Systems, Tokyo, Japan, 16 November 2016; pp. 1–6. [Google Scholar]
- Yu, S.N.; Wang, S.W.; Chang, Y.P. Improving Distinguish ability of Photoplethysmography in Emotion Recognition Using Deep Convolutional Generative Adversarial Networks. IEEE Access 2022, 10, 119630–119640. [Google Scholar] [CrossRef]
- Zhang, L.; Shi, Z.; Han, J.; Shi, A.; Ma, D. Furcanext: End-to-end monaural speech separation with dynamic gated dilated temporal convolutional networks. In Proceedings of International Conference on Multimedia Modeling; Springer: Cham, Switzerland, 2020; pp. 653–665. [Google Scholar]
- Lee, J.; Kim, S.; Kim, S.; Sohn, K. Multi-modal recurrent attention networks for facial expression recognition. IEEE Trans. Image Process. 2020, 29, 6977–6991. [Google Scholar] [CrossRef]
- Yang, J.; Ren, P.; Zhang, D.; Chen, D.; Wen, F.; Li, H.; Hua, G. Neural aggregation network for video face recognition. In Proceedings of the IEEE Conference on Computer Vision and Pattern Recognition, Honolulu, HI, USA, 21–26 July 2017; pp. 4362–4371. [Google Scholar]
- Wang, Q.; Wu, T.; Zheng, H.; Guo, G. Hierarchical pyramid diverse attention networks for face recognition. In Proceedings of the IEEE/CVF Conference on Computer Vision and Pattern Recognition, Seattle, WA, USA, 13–19 June 2020; pp. 8326–8335. [Google Scholar]
- Koelstra, S.; Patras, I. Fusion of facial expressions and EEG for implicit affective tagging. Image Vis. Comput. 2013, 31, 164–174. [Google Scholar] [CrossRef]
- Huang, Y.; Yang, J.; Liao, P.; Pan, J. Fusion of facial expressions and EEG for multimodal emotion recognition. Comput. Intell. Neurosci. 2017, 2017, 2107451. [Google Scholar] [CrossRef]
- Chaparro, V.; Gomez, A.; Salgado, A.; Quintero, O.L.; Lopez, N.; Villa, L.F. Emotion recognition from EEG and facial expressions: A multimodal approach. In Proceedings of the 40th Annual International Conference of the IEEE Engineering in Medicine and Biology Society (EMBC), Honolulu, HI, USA, 18–21 July 2018; IEEE: Piscataway, NJ, USA, 2018; pp. 530–533. [Google Scholar]
- Fu, Z.; Zhang, B.; He, X.; Li, Y.; Wang, H.; Huang, J. Emotion recognition based on multi-modal physiological signals and transfer learning. Front. Neurosci. 2022, 16, 1000716. [Google Scholar] [CrossRef]
- Ramaswamy, M.P.A.; Palaniswamy, S. EOG and PPG fusion for subject independent multimodal emotion recognition: A prototypical networks approach. In Proceedings of the 2nd International Conference on Self Sustainable Artificial Intelligence Systems (ICSSAS), Erode, India, 23–25 October 2024; pp. 1635–1640. [Google Scholar]
- Munoz, M.L.; van Roon, A.; Riese, H.; Thio, C.; Oostenbroek, E.; Westrik, I.; de Geus, E.J.C.; Gansevoort, R.; Lefrandt, J.; Nolte, I.M.; et al. Validity of (ultra-)short recordings for heart rate variability measurements. PLoS ONE 2015, 10, e0138921. [Google Scholar] [CrossRef] [PubMed]
- Baek, H.J.; Cho, C.-H.; Cho, J.; Woo, J.-M. Reliability of ultra-short-term analysis as a surrogate of standard 5-min analysis of heart rate variability. Telemed. J. e-Health Off. J. Am. Telemed. Assoc. 2015, 21, 404. [Google Scholar] [CrossRef]
- Woo, S.; Park, J.; Lee, J.Y.; Kweon, I.S. Cbam: Convolutional block attention module. In Proceedings of the European Conference on Computer Vision (ECCV), Munich, Germany, 8–14 September 2018; pp. 3–19. [Google Scholar]
- Zhu, X.; Rong, W.; Zhao, L.; He, Z.; Yang, Q.; Sun, J.; Liu, G. EEG Emotion Classification Network Based on Attention Fusion of Multi-Channel Band Features. Sensors 2022, 22, 5252. [Google Scholar] [CrossRef]
- Farha, Y.A.; Gall, J. MS-TCN: Multi-stage temporal convolutional network for action segmentation. In Proceedings of the IEEE/CVF Conference on Computer Vision and Pattern Recognition (CVPR), Long Beach, CA, USA, 15–20 June 2019; pp. 3575–3584. [Google Scholar]
- Zhu, X.; He, Z.; Zhao, L.; Dai, Z.; Yang, Q. A Cascade Attention Based Facial Expression Recognition Network by Fusing Multi-Scale Spatio-Temporal Features. Sensors 2022, 22, 1350. [Google Scholar] [CrossRef]
- Meng, D.; Peng, X.; Wang, K.; Qiao, Y. Frame attention networks for facial expression recognition in videos. In Proceedings of the 2019 IEEE International Conference on Image Processing (ICIP), Taipei, Taiwan, 22–25 September 2019; pp. 3866–3870. [Google Scholar]
- Mei, Y.; Fan, Y.; Zhang, Y.; Yu, J.; Zhou, Y.; Liu, D.; Fu, Y.; Huang, T.S.; Shi, H. Pyramid attention networks for image restoration. Int. J. Comput. Vis. 2023, 131, 3207–3225. [Google Scholar] [CrossRef]
- Silberer, C.; Lapata, M. Learning grounded meaning representations with autoencoders. In Proceedings of the 52nd Annual Meeting of the Association for Computational Linguistics (Volume 1: Long Papers), Baltimore, MD, USA, 22–27 June 2014; pp. 721–732. [Google Scholar]
- Zhao, L.; Li, M.; He, Z.; Ye, S.; Qin, H.; Zhu, X.; Dai, Z. Data-driven learning fatigue detection system: A multimodal fusion approach of ECG (electrocardiogram) and video signals. Measurement 2022, 201, 111648. [Google Scholar] [CrossRef]













| Methods | Dataset | Accuracy | Classifier |
|---|---|---|---|
| Fu’s method [26] | DEAP | Arousal 63.6%; Valence 64.40% | Multimodal emotion recognition using EEG, PPG, GSR, and RES |
| Ramaswamy’s method [27] | DEAP | Arousal 60.0%; Valence 61.0% | Multimodal emotion recognition using EOG and PPG |
| Method | Accuracy |
|---|---|
| Random Forest (HRV) | 47.12% |
| 1D-CNN (Original) | 52.36% |
| TCN[25,25] + GRU (STFT) | 60.00% |
| TCN[25,25] + GRU (CWT) | 62.43% |
| MSTCN (CWT) [32] | 62.11% |
| AS + TCN[25,25,25,25] + GRU (CWT) | 67.37% |
| Method | Accuracy |
|---|---|
| GRU (CWT) | 57.90% |
| TCN[25,25] + GRU (CWT) | 62.43% |
| TCN[25,25] + AS + GRU (CWT) | 64.21% |
| TCN[25,25,25,25] + GRU (CWT) | 63.82% |
| TCN[25,25,25,25] + AS + GRU (CWT) | 66.31% |
| AS + TCN[25,25,25,25] + GRU (CWT) | 67.37% |
| Methods | Accuracy | Reasoning Speed (s) |
|---|---|---|
| Random Forest (Concat) | 93.96% | 2 |
| Cascade Attention-based [33] | 93.68% | 0.06/epoch |
| GRU + Attention (Add) | 93.62% | 0.17 s/epoch |
| GRU + Attention (Concat) | 94.69% | 0.17 s/epoch |
| PCAN (Concat) | 94.27% | 0.20 s/epoch |
| PCAN (Add) | 95.75% | 0.21 s/epoch |
Disclaimer/Publisher’s Note: The statements, opinions and data contained in all publications are solely those of the individual author(s) and contributor(s) and not of MDPI and/or the editor(s). MDPI and/or the editor(s) disclaim responsibility for any injury to people or property resulting from any ideas, methods, instructions or products referred to in the content. |
© 2024 by the authors. Licensee MDPI, Basel, Switzerland. This article is an open access article distributed under the terms and conditions of the Creative Commons Attribution (CC BY) license (https://creativecommons.org/licenses/by/4.0/).
Share and Cite
Zhu, X.; He, Z.; Wang, C.; Dai, Z.; Zhao, L. A Learning Emotion Recognition Model Based on Feature Fusion of Photoplethysmography and Video Signal. Appl. Sci. 2024, 14, 11594. https://doi.org/10.3390/app142411594
Zhu X, He Z, Wang C, Dai Z, Zhao L. A Learning Emotion Recognition Model Based on Feature Fusion of Photoplethysmography and Video Signal. Applied Sciences. 2024; 14(24):11594. https://doi.org/10.3390/app142411594
Chicago/Turabian StyleZhu, Xiaoliang, Zili He, Chuanyong Wang, Zhicheng Dai, and Liang Zhao. 2024. "A Learning Emotion Recognition Model Based on Feature Fusion of Photoplethysmography and Video Signal" Applied Sciences 14, no. 24: 11594. https://doi.org/10.3390/app142411594
APA StyleZhu, X., He, Z., Wang, C., Dai, Z., & Zhao, L. (2024). A Learning Emotion Recognition Model Based on Feature Fusion of Photoplethysmography and Video Signal. Applied Sciences, 14(24), 11594. https://doi.org/10.3390/app142411594

