Next Article in Journal
Investigation of CuTi Alloy for Applications as Non-Sparking Material
Previous Article in Journal
Depolymerization of Kraft Lignin Using a Metal Chloride-Based Deep Eutectic Solvent: Pathways to Sustainable Lignin Valorization
 
 
Font Type:
Arial Georgia Verdana
Font Size:
Aa Aa Aa
Line Spacing:
Column Width:
Background:
Article

Wavelength-Switchable Ytterbium-Doped Fiber Laser Based on All-Fiber Lyot Interferometer Filter

1
The State Key Laboratory of Fluid Power and Mechatronic Systems, Zhejiang University, Hangzhou 310027, China
2
Key Laboratory of Advanced Manufacturing Technology of Zhejiang Province, Zhejiang University, Hangzhou 310027, China
*
Authors to whom correspondence should be addressed.
Appl. Sci. 2024, 14(24), 11572; https://doi.org/10.3390/app142411572
Submission received: 14 November 2024 / Revised: 4 December 2024 / Accepted: 9 December 2024 / Published: 11 December 2024

Abstract

A wavelength-switchable ring-cavity ytterbium-doped fiber laser utilizing an all-fiber Lyot interferometer filter was proposed and experimentally demonstrated. Firstly, the Lyot filter was constructed using a polarization-maintaining fiber (PMF) to obtain a comb interferometer effect, and the free spectrum ranges corresponding to 2.5 and 1 m PMF were 2.2 and 6.4 nm, respectively. Then, wavelength-switchable ytterbium-doped fiber emission was realized in the experiment, and the tunable range for the single-wavelength laser was from 1073.76 to 1086.78 nm, with a power variation of less than 1.959 dB. During the experiment, four different sets of double-wavelength lasers were achieved by adjusting the polarization controller (PC) from 1071.64 to 1081.65 nm; in addition, three different sets of triple-wavelength lasers were realized, and the signal-to-noise ratio (SNR) was more than 33.031 dB. For stable single-, double-, and triple-wavelength lasers, the power shifts were less than 0.574, 0.631, and 1.195 dB, respectively. Through adjusting the PC, quadruple-wavelength-switchable lasers could be realized with an SNR exceeding 26.233 dB.

1. Introduction

Fiber lasers are significant laser systems characterized by their compact structure, long operational lifespan, broad wavelength range, and excellent beam quality [1,2,3]. Consequently, they have extensive applications in optical fiber communication, optical sensing, substance detection, and other areas [4]. Recently, research on fiber lasers has increasingly focused on the short-wavelength band. The ytterbium-doped fiber laser (YDFL), a kind of fiber laser doped with ytterbium ions as the gain medium, is one of the focuses of research. Because of the YDFL’s high efficiency, long life, compact structure, and good stability [5], as well as its high-power output and good beam quality, it has been widely used in many fields, such as metal cutting, welding, marking, and other processes in industrial manufacturing [6], and because of the YDFL’s wide wavelength range and tunability, it is used in optical measurement, nonlinear optical research, ultrafast laser pulse generation, and other fields based on highly stable and reproducible light sources [7]; in addition, the YDFL is one of the key components in long-distance fiber communication systems, as it can improve the distance and quality of signal transmission [8]. Thus, the YDFL has important application value and development prospects in many fields due to its unique performance advantages.
Different application fields have different requirements regarding YDFL wavelength. In a multi-wavelength LiDAR system, more information can be obtained by adjusting the wavelength of the laser, and the detection accuracy and resolution can be improved; in particular, in the fields of physics, chemistry, biology, and so on, the reaction of substances under different conditions can be observed by changing the laser wavelength. Research on wavelength-tunable YDFLs is one of the hot directions in the development of laser technology. Many researchers have carried out research on the realization of wavelength-tunable YDFLs.
Wang et al. reported a widely tunable ytterbium-doped single-frequency all-fiber laser based on a tunable filter and a comb filter manufactured by fusing a polarization-maintaining fiber (PMF) in a double-circulator interferometer to generate a hybrid filter; the single-wavelength-tunable operation was about 55 nm, with a 0.38 dB power fluctuation [9]. Yue et al. designed a multifunctional acousto-optic tunable filter-based wavelength-tunable YDFL; its maximal wavelength tuning range and minimal resolved wavelength spacing were 80 and 1.5 nm, respectively [10]. Liu et al. reported a wavelength-tunable YDFL using a Sagnac interferometer with a polarization-maintaining photonic crystal fiber, and 1034.276 to 1038.314 nm single-wavelength laser tuning and a 3.2 nm dual-wavelength tuning range were realized; the maximum wavelength power shift was 0.64 dB [11]. Li et al. designed a wavelength-tunable YDFL using a nonlinear amplifying loop mirror to generate a laser with a tuning range of 54 nm from 1011.8 nm to 1065.6 nm [12]. Silva-Alvarado et al. presented a switchable YDFL based on a symmetrical long-period fiber grating fabricated by combining the cladding shaping with the thermal core expansion techniques using a CO2-laser glass-processing system. The experimental results showed a 49 dB signal-to-noise ratio (SNR) within the range from 1038 to 1080 nm [13]. Gao et al. reported a wavelength-tunable YDFL based on a nonlinear amplifier loop mirror using a large-mode-area polarization-maintaining double-cladding fiber to realize 1034 to 1104 nm laser generation [14]. Al-Alimi et al. presented a tunable dual-wavelength erbium–ytterbium-doped fiber laser based on a cascaded tunable band-pass filter and fiber Bragg grating, and the fiber laser-generated dual-wavelength emissions that varied from 3 nm to 10 nm [15]. Durán-Sánchez et al. reported a dual-wavelength-tunable Er/Yb double-clad fiber laser through simple adjustments of a wave retarder, and the wavelength spacing could be tuned from 0.96 to 9 nm [16]. Wang et al. presented a wavelength-tunable single-frequency YDFL based on a double-circulator interferometer, and the central wavelength of the laser beam could be tuned from 1040 nm to 1080 nm [17]. Liu et al. reported a single- and dual-wavelength YDFL based on a Sagnac loop comb filter for the proposed fiber laser, and tuning ranges of 17.9 nm for the single-wavelength lasing output and 8.4 nm for the dual-wavelength lasing output were achieved [18]. Lu et al. reported a broadband wavelength-tunable ring-cavity YDFL based on a fiber optical tunable filter that achieved a wide-band tunability from 1030 to 1090 nm [19]. Han et al. reported a fused tapered-fiber Mach–Zehnder interferometer (MZI) for wavelength-tunable YDFL generation, and the single-wavelength tuning ranged from 1026.7 nm to 1046.7 nm [20].
From these reports, it is evident that achieving wavelength-tunable ytterbium-doped fiber laser outputs typically involves methods such as all-fiber interference structures, fiber gratings, and nonlinear fiber components. Notably, both all-fiber and non-all-fiber filtering structures, including fiber Sagnac rings, fiber Fabry–Perot cavities, high-birefringence fibers, and polarizing gratings, have been utilized. However, these structures often exhibit complexity and fragility, frequently requiring specialized nonfiber devices, which compromises system integrity. Additionally, there is a need for further improvement of the wavelength tuning range and stability. As one type of comb filter, the fiber Lyot filter is usually composed of a polarization-maintaining fiber and a polarization controller [21]. The Lyot filter has the advantages of a compact structure, a high modulation intensity, a flexible and adjustable free spectral range, etc., and has been widely used in signal filtering and fiber sensing technology. Ahmad et al. reported wavelength-tunable holmium- and bismuth-doped fiber lasers based on the Lyot filter, and 1.3 and 2 μm band multi-wavelength lasers were realized, respectively [22,23]. Gao et al. reported a switchable erbium-doped fiber laser (EDFL) using an embedded Lyot filter, and the output wavelengths can be switched among single-, dual-, triple-, quad-, and quintuple-wavelength outputs [24]. Xin et al. reported a multi-wavelength EDFL incorporating a Lyot filter and a nonlinear optical loop mirror. The proposed laser can emit 12 stable lasing lines, and the side-mode suppression ratio (SMSR) is greater than 25 dB [25]. Jamalus et al. demonstrated a wavelength-switchable thulium-doped fiber laser based on a parallel Lyot filter, and up to four and nine lasing lines were generated based on wavelength spacings of 0.9 nm and 1.8 nm, respectively [26].
As mentioned above, in order to realize 1 μm wavelength-band wavelength-switchable laser generation, this paper proposes and demonstrates a YDFL based on an all-fiber Lyot filter, achieving tunable outputs of single-, double-, triple-, and quadruple-wavelength lasers—a system on which few studies have been reported.

2. Experimental Setup and Procedures

Figure 1 presents the proposed wavelength-switchable YDFL setup, which features a ring-cavity configuration. The laser system includes a laser-diode (LD) pump source with a 915 nm center wavelength, one segment of ytterbium-doped fiber (YDF; SM-YSF, Nufern Co. East Granby, CT, USA) used as the YDFL gain medium, one 915/1060 wavelength-division multiplexer (WDM), two optical couplers (OCs), two polarization controllers (PCs), and polarization-maintaining fiber (PMF). For the proposed YDFL, a central wavelength of 915 nm LD (JDSU Co. Milpitas, CA, USA) was selected for the system. The OC1 has a splitting ratio of 50:50, and two ends of the coupler are fused together to constitute a laser sub-cavity structure. A sub-cavity is used as a resonator that allows a specific wavelength to resonate inside it; both the sub-cavity and the main cavity affect the laser wavelength, and some light waves that meet the specific matching conditions can achieve a stable output. The PC1 and PMF (PM1060, Panda-Type, Nufern Co.) constitute the Lyot filter, and the PMF birefringence effect causes light on the fast and slow axes to experience different phase delays during transmission. This difference in phase delay causes the two beams to have an interference effect when they are recombined. When two beams recombine, because they experience different phase delays, there will be constructive interference at some wavelengths and destructive interference at others. As a result, specific light wavelengths are enhanced while other wavelengths are weakened. Therefore, the Lyot filter is designed in the sub-cavity, such that a better laser filtering effect can be achieved under the hybrid action. The OC2 is used to connect an optical spectrum analyzer (OSA; AQ6370, Yokogawa Co. Tokyo, Japan). The PMF, shown in Figure 1, is a single-mode fiber with an 8.5/125 μm core/cladding diameter.
The Lyot filter transmission characteristics can be analyzed by the Jones matrix. The output transmission function can be expressed as follows:
T = 1 2 cos 2 ( π Δ n λ L ) ( 1 + sin 2 θ )
where θ is the angle between the input light polarization direction and the PMF fast axis, and θ can be tuned through adjusting the PCs; Δn is the refractive index difference between the fast axis and the slow axis of the PMF; λ is the central wavelength; and L is the length of the PMF. When λ and L are fixed, the transmission changes depend on θ. Therefore, the transmission spectrum of the Lyot filter can be adjusted by the PCs. The free spectrum range (FSR) of the Lyot filter is determined by Equation (2); the FSR of the Lyot filter is inversely proportional to Δn and the length of the PMF.
F S R = λ 2 / Δ n L
The designed Lyot filter can produce a comb spectrum, which is inserted into the laser cavity to adjust the YDFL intra-cavity gain and loss. The Lyot filter is used to select the specific wavelength of the laser output. When the wavelength selectivity of the filter changes, the feedback characteristics of the entire laser cavity also change, resulting in a change in the wavelength of the laser output. Therefore, the output wavelength of the fiber laser can be precisely controlled and tuned by adjusting the interference spectrum intensity of the designed interference filter.

3. Experimental Results

After completing the laser structure design, we set up the YDFL experimental system. In the experiment, the gain-medium YDF length was 4 m, and we tested the laser spectra of the ring-cavity YDFL without the proposed Lyot filter first, as shown in Figure 2a. It can be observed that the laser generated by self-excitation is around 1036 nm, and it is difficult to achieve certain ranges of wavelength-switchable laser generation due to the large number of modes in the resonator. The Lyot filter was manufactured and tested in the experiment. The 2.5 m long PMF and one PC with a single-mode pigtail fiber were connected, and the Lyot transmission spectrum is shown in Figure 2b. The mode interferometer was successfully realized in the YDF gain spectrum range, and the local spectrum details are magnified in the embedded picture, showing an FSR of 2.2 nm. In the experiment, the interference spectra of PMFs with different lengths were measured and analyzed. When 1 m long PMFs were used in the Lyot filter, the FSR was around 6.4 nm. (The interference spectrum is shown in Figure 2c). It is obvious that the FSR of the interference lines increases with the decrease in PMF length. In order to obtain as dense a filtering effect as possible, the PMF length was finally selected to be 2.5 m. Fourier transformation was carried out on the interference spectrum to analyze its frequency component information, and the low-frequency noise influence could be reduced by extracting the high-frequency component. The interference spectrum signals of the 2.5 and 1 m long PMFs were determined through Fourier analysis to obtain the respective frequency diagrams. As shown in Figure 2d, the main frequencies corresponding to PMF lengths of 2.5 m and 1 m were 0.42 and 0.19, respectively; obviously, the comb spectrum of the 2.5 m long PMF has a larger high-frequency component, and there are no obvious components in other positions.
Subsequently, a YDFL with a Lyot filter was constructed and tested in the experiment; it had a gain medium length of 4 m, and the laser working threshold was 54 mW. As the pump power was increased to 150 mW, the single-wavelength laser switching capability was examined and analyzed. Through adjusting the PC, different single-wavelength lasers were realized, as illustrated in Figure 3a. The single-wavelength laser could be tuned in the range from 1073.76 to 1086.78 nm by adjusting the PC with a signal-to-noise ratio (SNR) of 41.283 dB and a 3 dB linewidth of 0.3 nm. As shown in Figure 3a, there were no excess longitudinal modes near the laser; moreover, the comb filtering spectrum can be observed also, and the laser was generated at the top position of the comb spectrum, thereby validating the effectiveness of the designed Lyot filtering structure. Figure 3a illustrates that the proposed YDFL has a 13.02 nm single-wavelength tuning range with a 2.23 nm minimum tuning interval. During the single-wavelength switching procedure, the maximum power drift was less than 1.959 dB; its fluctuation curve is shown in Figure 3b.
Next, the laser’s ability to generate a multi-wavelength laser under the same pumping light was tested and analyzed. The gain and loss in the laser cavity can be changed by adjusting the polarization controller; as the gain intensity changes, certain modes that achieve the gain condition will be excited, enabling multi-wavelength laser output. In the experiment, the YDFL also achieved double-, triple-, and quadruple-wavelength laser generation with adjustment to the PC. Firstly, double-wavelength laser outputs with four different wavelength groups could be realized, as shown in Figure 4a. Other wavelengths did not appear during the switching process, and the filtering effect of the comb spectra can be observed. The double-wavelength laser could be tuned from 1071.64 to 1081.65 nm, as shown in Figure 4b, with minimum and maximum wavelength intervals of 3.02 and 5.73 nm, respectively, and the SNR for these outputs was above 41.157 dB. Secondly, for the proposed YDFL, a triple-wavelength laser output was obtained in the experiment through changing the intra-cavity gain and loss. In Figure 5a, three different sets of triple-wavelength lasers are illustrated under the Lyot comb filter action, and there are no other obvious laser modes. The triple-wavelength laser output can be generated from 1068.31 to 1080.23 nm, and the SNR is more than 33.801 dB, as shown in Figure 5b. Ultimately, a quadruple-wavelength laser could be realized in the experiment, as shown in Figure 6a. The center wavelengths are 1071.06, 1073.65, 1076.32, and 1078.92 nm, respectively; the SNR is more than 33.031 dB; and the laser power difference is less than 3.067 dB. Three different sets of quadruple-wavelength lasers could be obtained by adjusting the PC. As shown in Figure 6b, samples 1, 2, and 3 demonstrated that quadruple-wavelength-switchable laser output was achieved, and the SNRs were more than 33.031, 26.233, and 29.014 dB, respectively. In addition, a quadruple wavelength from 1068.95 to 1081.19 nm was generated with a minimum wavelength interval of 2.23 nm and an SNR exceeding 26.233 dB. It can be seen that the SNR decreases gradually with the increase in the number of wavelengths by comparing the double-, triple-, and quadruple-wavelength laser SNRs. With the increase in laser generation wavelength, the laser signals of different modes are superimposed, and the corresponding background noise is gradually enhanced. In addition, the nonuniformity of the laser power corresponding to different wavelengths leads to the suppression of other modes with weaker power wavelengths, thus affecting the overall signal-to-noise ratio. In the experiment, the tunable range of laser generation position and wavelength intervals for the dual-, triple-, and quadruple-wavelength lasers was not random because the designed laser generates the interference spectrum through the Lyot filtering structure and then realizes the wavelength-tunable laser output. The generated laser wavelength is located in the place where the interference spectrum gain is strong, and lasers cannot be generated at locations with low-gain interference spectra. Through the above experiments and analysis, the switching of the multi-wavelength laser output confirmed that the designed filter is crucial for tuning the YDFL laser wavelength.
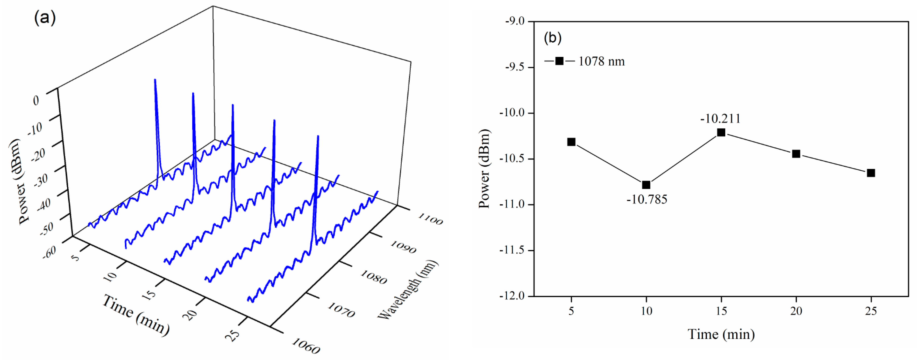
Finally, the output power stability of the proposed YDFL was tested in the experiment. Since it was difficult to obtain a stable quadruple-wavelength laser output, the spectral stability of the single-, double-, and triple-wavelength lasers was tested. For the 1078 nm single-wavelength laser generation, when the pump power was 150 mW, its stability was monitored every 5 min over a 25-min period. As shown in Figure 7a, the spectrum remained stable with no significant wavelength drift or generation of strong laser mode jumping, and its power fluctuation was less than 0.574 dB, as illustrated in Figure 7b. Under the same experimental conditions, the wavelength stability of the 1071 and 1074 nm double-wavelength laser outputs was tested. As shown in Figure 7c, there was no substantial wavelength shift or extra laser mode observed, and the power variations were less than 0.631 and 0.37 dB, as shown in Figure 7d. Similarly, the 1071, 1073, and 1076 nm triple-wavelength laser spectrum stability was tested in the experiment at the same pump power. As shown in Figure 7e, during the monitoring time, no significant wavelength fluctuation was observed, and no laser with another wavelength was produced. As shown in Figure 7f, the 1071, 1073, and 1076 nm laser power fluctuations were less than 1.195, 0.929, and 0.955, respectively. The above stability experiment demonstrated stable operation in the single-, double-, and triple-wavelength laser output modes. These experiments and analyses demonstrate that the designed YDFL based on the Lyot comb filter can operate stably in multi-wavelength emission states.

4. Conclusions

The study introduced an all-fiber Lyot filter for wavelength-switchable YDFL generation. The Lyot fiber filter was manufactured by PMF and PC, and a comb spectrum was obtained in the experiment. For the proposed YDFL, the system successfully produced switchable single-, dual-, triple-, and quadruple-wavelength laser outputs. A single-wavelength tuning range of 13.02 nm with a minimum tuning interval of 2.23 nm was achieved with power drifts under 1.959 dB. For double-wavelength outputs, tuning ranging from 1071.64 to 1081.65 nm was obtained with 3.02 nm minimum wavelength intervals. For the triple-wavelength laser generation, the tuning scope was from 1068.31 to 1080.23 nm, and three different sets of quadruple-wavelength laser emissions were realized in the experiment. The SNRs for the single-, dual-, triple-, and quadruple-wavelength lasers were 41.283, 41.157, 33.031, and 26.233 dB, respectively. Regarding the spectrum stability of the proposed YDFL, the single-, dual-, and triple-wavelength laser power fluctuations were less than 0.574, 0.631, and 1.195 dB, respectively. The proposed YDFL demonstrates wavelength tuning capability and stability, making it highly suitable for applications in fiber laser sensing and spectral analysis. The designed laser can be used as the seed source of a high-power laser to realize flexible and switchable laser wavelength outputs, and it has great application value in the laser processing field.

Author Contributions

Conceptualization, Y.W.; methodology, Y.W. and Y.C.; data curation, Y.W.; model validation, Y.W. and Q.L.; formal analysis, Y.W. and Q.L.; investigation, Y.W. and K.R.; visualization, Y.W. and K.R.; writing—original draft preparation, Y.W.; writing—review and editing, Y.W. All authors have read and agreed to the published version of the manuscript.

Funding

This work was supported by the Shandong Provincial Key Research and Development Program (2023CXPT075).

Institutional Review Board Statement

Not applicable.

Informed Consent Statement

Not applicable.

Data Availability Statement

The original contributions presented in the study are included in the article; further inquiries can be directed to the corresponding author.

Conflicts of Interest

The authors declare no conflicts of interest.

References

  1. Contreras-Teran, M.; Gallegos-Arellano, E.; Jauregui-Vazquez, D.; Martinez-Rios, A.; Hernandez-Garcia, J.; Reyes-Ayona, J.; Sierra-Hernandez, J. Spacing mode multi-wavelength erbium doped fiber laser based on a symmetrical long-period fiber grating. Phys. Scr. 2024, 99, 095517. [Google Scholar] [CrossRef]
  2. Tian, J.; Xiao, Q.; Li, D.; Huang, Y.; Wang, Z.; Huang, Z.; Yan, P.; Gong, M. Tandem-pumped high-power narrow-linewidth fiber laser tunable from 1060–1090 nm. J. Light. Technol. 2020, 38, 1461–1467. [Google Scholar] [CrossRef]
  3. Zheng, D.; Fan, Z.; Li, P.; Yao, J. Widely wavelength-tunable parity-time symmetric single-longitudinal-mode fiber ring laser with a single physical loop. J. Light. Technol. 2020, 39, 2151–2157. [Google Scholar]
  4. Drobyshev, R.; Volikova, A.; Lobach, I.; Kablukov, S. Multi-wavelength gain-switched Yb-doped fiber laser. Laser Phys. Lett. 2020, 17, 065102. [Google Scholar] [CrossRef]
  5. Li, S.; Xu, J.; Liang, J.; Ye, J.; Zhang, Y.; Ma, X.; Zhou, P. High-power multi-wavelength Yb-doped fiber laser with a tunable interval, amplitude, and a number of channels. Opt. Lett. 2022, 47, 4123–4126. [Google Scholar] [CrossRef]
  6. Li, H.; Li, X.; Han, M.; Yan, D.; Wang, C.; Zhang, S. Wavelength-tunable soliton molecule in spatiotemporal mode-locked Yb-doped fiber laser. Infrared Phys. Technol. 2023, 134, 104859. [Google Scholar] [CrossRef]
  7. Xiao, X.; Hua, Y.; Fu, B.; Yang, C. Experimental investigation of the wavelength tunability in all-normal-dispersion ytterbium-doped mode-locked fiber lasers. IEEE Photonics J. 2013, 5, 1502807. [Google Scholar] [CrossRef]
  8. Mirza, J.; Salman, G.; Anila, K.; Benish, K.; Khurram, K. Design of a continuous-wave ytterbium-doped tunable fiber laser pump for thulium-doped fiber amplifiers. Arab. J. Sci. Eng. 2022, 47, 3541–3549. [Google Scholar] [CrossRef]
  9. Wang, K.; Lu, B.; Wen, Z.; Qi, X.; Ding, J.; Chen, H.; Bai, J. Widely tunable ytterbium-doped single-frequency all-fiber laser. Opt. Laser. Technol. 2020, 128, 106242. [Google Scholar] [CrossRef]
  10. Yue, W.; Chen, T.; Kong, W.; Ji, Z.; Yin, L.; Huang, G.; He, Z.; Shu, R. Flexible wavelength generation from a Yb-doped fiber laser incorporating multifunctional acousto-optic tunable filter. Opt. Lett. 2021, 46, 1041–1044. [Google Scholar] [CrossRef]
  11. Liu, X.; Lou, S.; Tang, Z.; Wang, X. Tunable and switchable triple-wavelength ytterbium-doped fiber ring laser based on Sagnac interferometer with a polarization-maintaining photonic crystal fiber. Opt. Laser. Technol. 2020, 122, 105848. [Google Scholar] [CrossRef]
  12. Li, Y.; Jiang, M.; Hou, L.; Tao, J.; Song, P.; Lu, B.; Bai, J. Wavelength-tunable dissipative soliton from Yb-doped fiber laser with nonlinear amplifying loop mirror. Chin. Opt. Lett. 2023, 21, 061402. [Google Scholar] [CrossRef]
  13. Silva-Alvarado, E.; Martinez-Ríos, A.; Ledesma-Carrillo, L.; Jauregui-Vazquez, D.; Salceda-Delgado, G.; Porraz-Culebro, T.; Vela, J.; Sierra-Hernandez, J. Switchable ytterbium fiber laser based on a symmetrical long-period fiber grating. IEEE Photonics J. 2021, 13, 1500619. [Google Scholar] [CrossRef]
  14. Gao, K.; Liu, Y.; Qiao, W.; Song, Y.; Zhao, X.; Wang, A.; Li, T. Wavelength-tunable 1104 nm nonlinear amplifier loop mirror laser based on a polarization-maintaining double-cladding fiber. Opt. Lett. 2022, 47, 5–8. [Google Scholar] [CrossRef]
  15. Al-Alimi, A.; Cholan, N.; Mahdi, M. Tunable dual-wavelength erbium ytterbium doped fiber laser assisted by polarization-dependent loss controller. In AIP Conference Proceedings; AIP Publishing: Melville, NY, USA, 2023; Volume 2564. [Google Scholar]
  16. Durán-Sánchez, M.; Álvarez-Tamayo, R.; García-Flores, Y.; Pottiez, O.; Posada-Ramírez, B.; Bello-Jiménez, M.; Alaniz-Balón, J.; Armas-Rivera, I.; Montiel-Piña, E.; Ibarra-Escamilla, B. Tunable synchronized dual-wavelength pulsed operation in an Er/Yb double-clad fiber laser. Laser Phys. Lett. 2021, 18, 055101. [Google Scholar] [CrossRef]
  17. Wang, K.; Lu, B.; Qi, X.; Wen, Z.; Zhang, K.; Chen, H.; Bai, J. Wavelength-tunable single-frequency ytterbium-doped fiber laser based on a double-circulator interferometer. Laser Phys. Lett. 2019, 16, 015104. [Google Scholar] [CrossRef]
  18. Liu, X.; Lou, S.; Tang, Z.; Zhou, Y.; Jia, H.; Sun, P. Tunable dual-wavelength ytterbium-doped fiber ring laser based on a Sagnac interferometer. Opt. Laser. Technol. 2019, 116, 37–42. [Google Scholar] [CrossRef]
  19. Lu, B.; Kang, J.; Qi, X.; Feng, X.; Hou, L.; Jiang, M.; Chen, H.; Wang, Y.; Wang, K.; Bai, J. High-stability broadband wavelength-tunable single-frequency ytterbium-doped all-fiber compound ring cavity. IEEE Photonics J. 2017, 9, 1501708. [Google Scholar] [CrossRef]
  20. Han, H.; Li, X.; Zhang, S.; Han, M. Precise wavelength control of Yb-doped fiber laser using fused tapered fiber technology. J. Light. Technol. 2018, 37, 715–721. [Google Scholar] [CrossRef]
  21. Zhou, J.; Tong, Z.; Zhang, W.; Wang, X.; Gao, X.; Jiang, Q.; Yan, G. A C-band widely tunable and switchable erbium-doped fiber laser based on a Sagnac-like loop embedded in Lyot filter. Opt. Fiber Technol. 2022, 70, 102892. [Google Scholar] [CrossRef]
  22. Ahmad, H.; Roslan, N.; Zaini, M.; Samion, M.; Reduan, S.; Wang, Y.; Wang, S.; Sahu, J.; Yasin, M. Generation of multiwavelength bismuth-doped fiber laser based on all-fiber Lyot filter. Laser Phys. 2023, 33, 075102. [Google Scholar] [CrossRef]
  23. Ahmad, H.; Chiam, J.; Samion, M.; Zaini, M.; Zulkifli, M.; Thambiratnam, K. Tunable wide spacing all-fiber dual-wavelength holmium-doped fiber laser using a Lyot filter operating above 2 µm. Laser Phys. 2024, 34, 015102. [Google Scholar] [CrossRef]
  24. Gao, X.; Zhang, W.; Tong, Z.; Wang, X.; Xue, L.; Li, P.; Zhou, J.; Jiang, Q.; Yan, G. Switchable and tunable erbium-doped fiber laser with the embedded Lyot filter. Appl. Phys. B 2023, 129, 64. [Google Scholar] [CrossRef]
  25. Xin, L.; Zhou, X.; Chen, J. Low threshold multi-wavelength erbium-doped fiber ring laser with NOLM and Lyot filter. Opt. Fiber Technol. 2022, 68, 102800. [Google Scholar] [CrossRef]
  26. Jamalus, M.; Sulaiman, A.; Abdullah, F.; Zulkifli, N.; Alresheedi, M.; Mahdi, M.; Yusoff, N. Selectable multiwavelength thulium-doped fiber laser based on parallel Lyot filter. Opt. Fiber Technol. 2022, 70, 102892. [Google Scholar] [CrossRef]
Figure 1. Schematic diagram of proposed YDFL.
Figure 1. Schematic diagram of proposed YDFL.
Applsci 14 11572 g001
Figure 2. Laser generation and comb filter spectrum: (a) laser output without filter; (b) Lyot comb spectrum with 2.5 m PMF; (c) Lyot comb spectrum with 1 m PMF; (d) frequency spectrum.
Figure 2. Laser generation and comb filter spectrum: (a) laser output without filter; (b) Lyot comb spectrum with 2.5 m PMF; (c) Lyot comb spectrum with 1 m PMF; (d) frequency spectrum.
Applsci 14 11572 g002
Figure 3. Wavelength-switchable single-wavelength generation: (a) single-wavelength laser spectrum; (b) power fluctuations for different single-wavelength lasers.
Figure 3. Wavelength-switchable single-wavelength generation: (a) single-wavelength laser spectrum; (b) power fluctuations for different single-wavelength lasers.
Applsci 14 11572 g003
Figure 4. Wavelength-switchable double-wavelength generation: (a) double-wavelength laser generation; (b) double-wavelength laser spectrum analysis.
Figure 4. Wavelength-switchable double-wavelength generation: (a) double-wavelength laser generation; (b) double-wavelength laser spectrum analysis.
Applsci 14 11572 g004
Figure 5. Wavelength-switchable triple-wavelength generation: (a) triple-wavelength laser generation; (b) triple-wavelength laser spectrum analysis.
Figure 5. Wavelength-switchable triple-wavelength generation: (a) triple-wavelength laser generation; (b) triple-wavelength laser spectrum analysis.
Applsci 14 11572 g005
Figure 6. Quadruple-wavelength laser generation: (a) quadruple-wavelength laser spectrum; (b) different cases of quadruple-wavelength laser generation.
Figure 6. Quadruple-wavelength laser generation: (a) quadruple-wavelength laser spectrum; (b) different cases of quadruple-wavelength laser generation.
Applsci 14 11572 g006
Figure 7. Multi-wavelength laser stability: (a) single-wavelength laser spectrum; (b) single-wavelength laser power fluctuation; (c) double-wavelength laser spectrum; (d) double-wavelength laser power fluctuation; (e) triple-wavelength laser spectrum; (f) triple-wavelength laser power fluctuation.
Figure 7. Multi-wavelength laser stability: (a) single-wavelength laser spectrum; (b) single-wavelength laser power fluctuation; (c) double-wavelength laser spectrum; (d) double-wavelength laser power fluctuation; (e) triple-wavelength laser spectrum; (f) triple-wavelength laser power fluctuation.
Applsci 14 11572 g007aApplsci 14 11572 g007b
Disclaimer/Publisher’s Note: The statements, opinions and data contained in all publications are solely those of the individual author(s) and contributor(s) and not of MDPI and/or the editor(s). MDPI and/or the editor(s) disclaim responsibility for any injury to people or property resulting from any ideas, methods, instructions or products referred to in the content.

Share and Cite

MDPI and ACS Style

Wang, Y.; Liu, Q.; Ren, K.; Cao, Y. Wavelength-Switchable Ytterbium-Doped Fiber Laser Based on All-Fiber Lyot Interferometer Filter. Appl. Sci. 2024, 14, 11572. https://doi.org/10.3390/app142411572

AMA Style

Wang Y, Liu Q, Ren K, Cao Y. Wavelength-Switchable Ytterbium-Doped Fiber Laser Based on All-Fiber Lyot Interferometer Filter. Applied Sciences. 2024; 14(24):11572. https://doi.org/10.3390/app142411572

Chicago/Turabian Style

Wang, Yizhang, Qi Liu, Kai Ren, and Yanlong Cao. 2024. "Wavelength-Switchable Ytterbium-Doped Fiber Laser Based on All-Fiber Lyot Interferometer Filter" Applied Sciences 14, no. 24: 11572. https://doi.org/10.3390/app142411572

APA Style

Wang, Y., Liu, Q., Ren, K., & Cao, Y. (2024). Wavelength-Switchable Ytterbium-Doped Fiber Laser Based on All-Fiber Lyot Interferometer Filter. Applied Sciences, 14(24), 11572. https://doi.org/10.3390/app142411572

Note that from the first issue of 2016, this journal uses article numbers instead of page numbers. See further details here.

Article Metrics

Back to TopTop