Thermal Stability and Entropy Generation Analysis for Combustible Third-Grade Fluid Flow Through a Slant Channel: A Spectral Study
Abstract
1. Introduction
2. Mathematical Formulation
3. Entropy Generation Analysis
4. Method of Solution
Code Validation
5. Results
5.1. Velocity Profile
5.2. Fluid Temperature Distribution
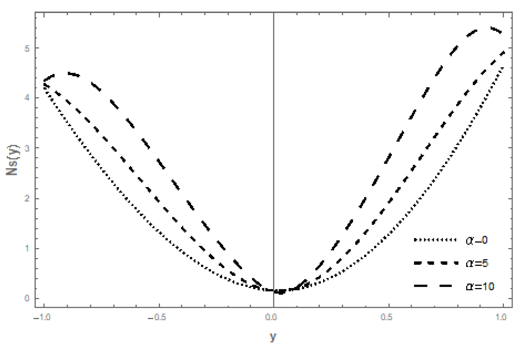
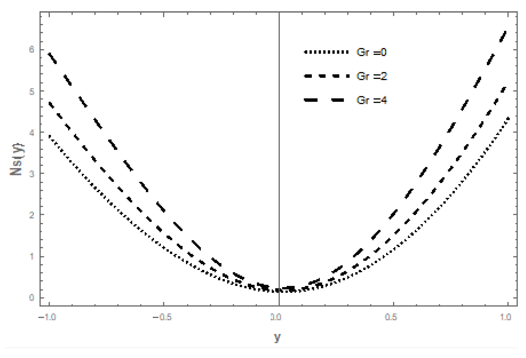
5.3. Entropy Generation
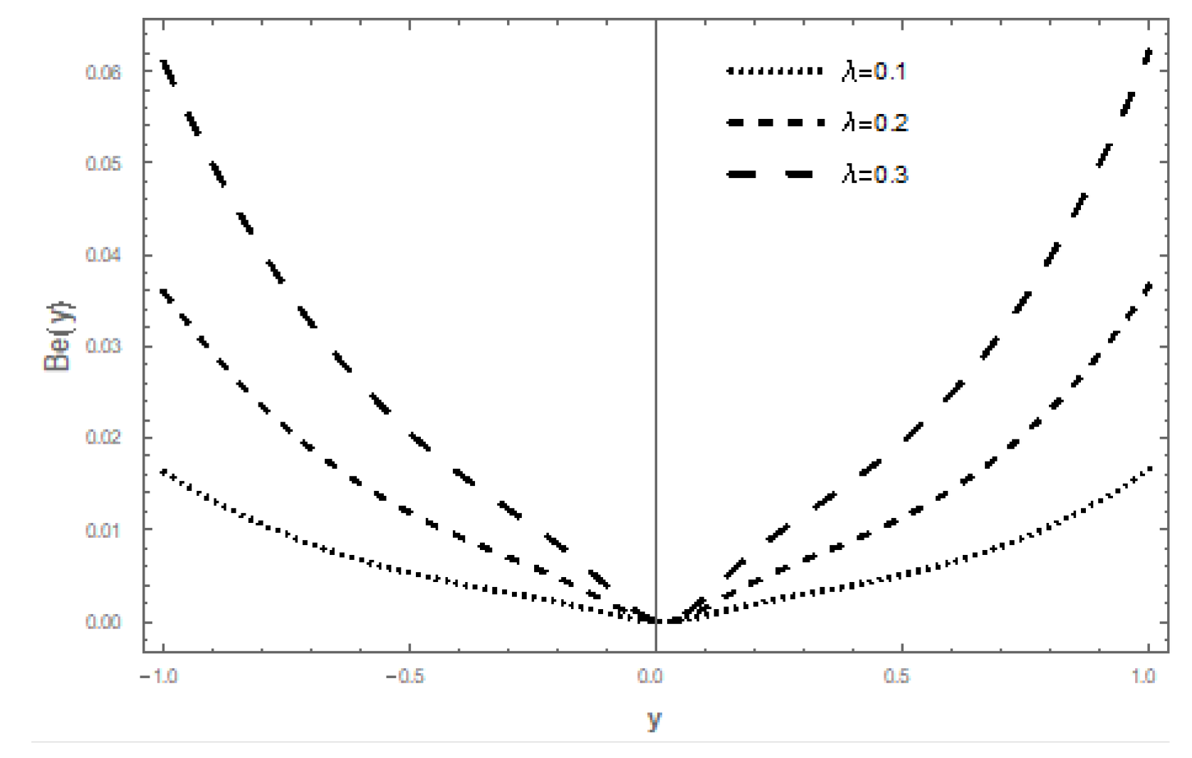
5.4. Bejan Number
5.5. Thermal Criticality
6. Conclusions
- The non-Newtonian properties of the fluid and the porous-medium shape factor parameter have a damping effect on the fluid velocity, while the buoyancy forces were observed to have the opposite effect;
- The fluid temperature profile was observed to increase with an increase in the temperature-dependent viscosity, the viscous heating parameter, the activation energy parameter, the buoyancy force, and the chemical reaction parameter, whereas the third-grade material parameter had a retardation effect;
- A parabolic entropy generation rate profile was observed, with minimum entropy at the channel core region;
- Parameters either increase or decrease the entropy generation rate elsewhere in the channel, but, at the core region of the channel, it remained unaffected by all the parameters except the chemical reaction parameter, the activation energy parameter, buoyancy, and porous-medium permeability;
- The irreversibility ratio was observed to be minimum at the channel core region, indicating the dominance of the combined viscous dissipation and porosity irreversibility over heat transfer irreversibility;
- Elsewhere in the channel, parameters revealed varied effects on the Bejan number but, in general, irreversibility due to viscous dissipation and porosity was found to dominate heat transfer irreversibility at the core region of the channel. Heat transfer irreversibility was, in general, dominant near the channel walls and in the bulk of the fluid further from the core region. These observed interesting manifestations will no doubt inform optimal system regulation criteria for entropy generation minimization in thermo-mechanical systems to achieve energy utilization efficiency.
Author Contributions
Funding
Institutional Review Board Statement
Informed Consent Statement
Data Availability Statement
Conflicts of Interest
Abbreviations
| RK4 | Shooting–Runge–Kutta method |
| SCCM | Spectral Chebyshev Collocation Method |
References
- Thosago, K.F.; Rundora, L.; Adesanya, S.O. Thermodynamic analysis of magnetohydrodynamic third grade fluid flow with variable properties. Int. J. Eng. Res. Afr. 2021, 55, 28–46. [Google Scholar] [CrossRef]
- Ellahi, R.; Riaz, A. Analytical solutions for MHD flow in a third-grade fluid with variable viscosity. Math. Comput. Model. 2010, 52, 1783–1793. [Google Scholar] [CrossRef]
- Adesanya, S.O.; Rundora, L.; Thosago, K.F. Numerical evaluation of heat irreversiblity in porous medium combustion of third-grade fluid subjected to Newtonian cooling. Numer. Heat Transf. Part A Appl. 2023, 84, 1091–1105. [Google Scholar] [CrossRef]
- Akinshilo, A.T. Steady flow and heat transfer analysis of third grade fluid with porous medium and heat generation. Eng. Sci. Technol. Int. J. 2017, 20, 1602–1609. [Google Scholar] [CrossRef]
- Okoya, S.S. Computational study of thermal influence in axial annular flow of a reactive third grade fluid with non-linear viscosity. Alex. Eng. J. 2019, 58, 401–411. [Google Scholar] [CrossRef]
- Makinde, O. Irreversibility analysis of variable viscosity channel flow with convective cooling at the walls. Can. J. Phys. 2008, 86, 383–389. [Google Scholar] [CrossRef]
- Makinde, O. Entropy-generation analysis for variable-viscosity channel flow with non-uniform wall temperature. Appl. Energy 2008, 85, 384–393. [Google Scholar] [CrossRef]
- Mondal, H.; Mishra, S.; Kundu, P.K.; Sibanda, P. Entropy Generation of Variable Viscosity and Thermal Radiation on Magneto Nanofluid Flow with Dusty Fluid. J. Appl. Comput. Mech. 2020, 6, 171–182. [Google Scholar]
- Bejan, A. Second law analysis in heat transfer. Energy 1980, 5, 720–732. [Google Scholar] [CrossRef]
- Matthews, M.; Hill, J. Newtonian flow with nonlinear Navier boundary condition. Acta Mech. 2007, 191, 195–217. [Google Scholar] [CrossRef]
- Zhu, Y.; Granick, S. Rate-dependent slip of Newtonian liquid at smooth surfaces. Phys. Rev. Lett. 2001, 87, 096105. [Google Scholar] [CrossRef] [PubMed]
- Ibáñez, G. Entropy generation in MHD porous channel with hydrodynamic slip and convective boundary conditions. Int. J. Heat Mass Transf. 2015, 80, 274–280. [Google Scholar] [CrossRef]
- Nadeem, S.; Akram, S. Slip effects on the peristaltic flow of a Jeffrey fluid in an asymmetric channel under the effect of induced magnetic field. Int. J. Numer. Methods Fluids 2010, 63, 374–394. [Google Scholar] [CrossRef]
- Das, S.; Jana, R. Entropy generation in an unsteady MHD channel flow with Navier slip and asymmetric convective cooling. Int. J. Ind. Math. 2017, 9, 149–160. [Google Scholar]
- Salawu, S.O.; Fatunmbi, E.O. Inherent irreversibility of hydromagnetic third-grade reactive poiseuille flow of a variable viscosity in porous media with convective cooling. J. Serbian Soc. Comput. Mech. 2017, 11, 46–58. [Google Scholar] [CrossRef]
- Frank-Kamenetskii, D.A. Diffusion and Heat Transfer in Chemical Kinetics; Plenum Press: New York, NY, USA, 1969. [Google Scholar]
- Makinde, O.D. Thermal stability of a reactive viscous flow through a porous-saturated channel with convective boundary conditions. Appl. Therm. Eng. 2009, 29, 1773–1777. [Google Scholar] [CrossRef]
- Bejan, A. Entropy generation minimization: The new thermodynamics of finite-size devices and finite-time processes. J. Appl. Phys. 1996, 79, 1191–1218. [Google Scholar] [CrossRef]






























| y | |||
|---|---|---|---|
| −1.0 | 0.09340042731013098 | 0.0934004275457099 | 2.355789174846023 |
| −0.75 | 0.2782702518827663 | 0.2782702628881371 | 1.100537083686958 |
| −0.5 | 0.41810875686198196 | 0.41810878741114443 | 3.054916247746675 |
| −0.25 | 0.5073637119780844 | 0.5073637713586425 | 5.93805581372564 |
| 0.0 | 0.5408032211708456 | 0.5408032769405969 | 5.576975137255857 |
| 0.25 | 0.515175556370712 | 0.5151755848661947 | 2.849548275118962 |
| 0.5 | 0.4305925030480927 | 0.4305925270588788 | 2.401078608160745 |
| 0.75 | 0.29025067501405133 | 0.2902507313095687 | 5.629551735886196 |
| 1.0 | 0.09886799791001163 | 0.09886808703206998 | 8.91220583443264 |
| y | |||
|---|---|---|---|
| −1.0 | 1.1006285586 | 0.0 | 1.100628558680762 |
| −0.75 | 0.02272084331322944 | 0.02272084285202028 | 4.612091611400082 |
| −0.5 | 0.039238086997582716 | 0.0392380865496249 | 4.479578166738385 |
| −0.25 | 0.049427524412263134 | 0.049427523946807654 | 4.654554797145494 |
| 0.0 | 0.05315385368892104 | 0.053153853296836195 | 3.920848437588553 |
| 0.25 | 0.05026408527117134 | 0.050264085011262935 | 2.599084072962831 |
| 0.5 | 0.04058133464454575 | 0.04058133447864745 | 1.658982951013854 |
| 0.75 | 0.023902559552278567 | 0.023902559431809665 | 1.204689022149541 × |
| 1.0 | 1.4543862558 × | −1.412512538815998 | 1.412512684254624 |
| N | Pr | m | Nu | ||||
|---|---|---|---|---|---|---|---|
| 5 | 0.1 | 0.1 | 0.1 | 1 | 0.5 | 0.9279092917369934 | 2.508861980241903 |
| 10 | 0.1 | 0.1 | 0.1 | 1 | 0.5 | 0.9265627889759518 | 2.5127667585340197 |
| 15 | 0.1 | 0.1 | 0.1 | 1 | 0.5 | 0.9265626198294173 | 2.512743597875568 |
| 20 | 0.1 | 0.1 | 0.1 | 1 | 0.5 | 0.9265626198037284 | 2.512743516672778 |
| 25 | 0.1 | 0.1 | 0.1 | 1 | 0.5 | 0.9265626197961245 | 2.512743516672778 |
| 30 | 0.1 | 0.1 | 0.1 | 1 | 0.5 | 0.9265626197960075 | 2.5127435251789016 |
| 0.1 | 0.1 | 0.1 | 0.1 | 0.1 | 1 | 0.9265626197961245 |
| 0.3 | 1 | 0.1 | 0.1 | 0.1 | 1 | 0.9272038629192019 |
| 0.5 | 1 | 0.1 | 0.1 | 0.1 | 1 | 0.9275992070933973 |
| 0.1 | 0.2 | 0.1 | 0.1 | 0.1 | 1 | 0.9968642284351334 |
| 0.1 | 0.3 | 0.1 | 0.1 | 0.1 | 1 | 1.1010602941629342 |
| 0.1 | 0.1 | 0.2 | 0.1 | 0.1 | 1 | 0.9290721522005858 |
| 0.1 | 0.1 | 0.3 | 0.1 | 0.1 | 1 | 0.9332508140705013 |
| 0.1 | 0.1 | 0.1 | 0.5 | 0.1 | 1 | 0.9262095529877397 |
| 0.1 | 0.1 | 0.1 | 0.8 | 0.1 | 1 | 0.9262037341789104 |
| 0.1 | 0.1 | 0.1 | 0.1 | 0.3 | 1 | 0.9247410643800902 |
| 0.1 | 0.1 | 0.1 | 0.1 | 0.5 | 1 | 0.9227470150928092 |
| 0.1 | 0.1 | 0.1 | 0.1 | 0.1 | 2 | 0.929043675503623 |
| 0.1 | 0.1 | 0.1 | 0.1 | 0.1 | 3 | 0.9331744078741027 |
Disclaimer/Publisher’s Note: The statements, opinions and data contained in all publications are solely those of the individual author(s) and contributor(s) and not of MDPI and/or the editor(s). MDPI and/or the editor(s) disclaim responsibility for any injury to people or property resulting from any ideas, methods, instructions or products referred to in the content. |
© 2024 by the authors. Licensee MDPI, Basel, Switzerland. This article is an open access article distributed under the terms and conditions of the Creative Commons Attribution (CC BY) license (https://creativecommons.org/licenses/by/4.0/).
Share and Cite
Thosago, K.F.; Banjo, P.O.; Rundora, L.; Adesanya, S.O. Thermal Stability and Entropy Generation Analysis for Combustible Third-Grade Fluid Flow Through a Slant Channel: A Spectral Study. Appl. Sci. 2024, 14, 11491. https://doi.org/10.3390/app142411491
Thosago KF, Banjo PO, Rundora L, Adesanya SO. Thermal Stability and Entropy Generation Analysis for Combustible Third-Grade Fluid Flow Through a Slant Channel: A Spectral Study. Applied Sciences. 2024; 14(24):11491. https://doi.org/10.3390/app142411491
Chicago/Turabian StyleThosago, Kgomotshwana Frans, Peace Oluwalonimi Banjo, Lazarus Rundora, and Samuel Olumide Adesanya. 2024. "Thermal Stability and Entropy Generation Analysis for Combustible Third-Grade Fluid Flow Through a Slant Channel: A Spectral Study" Applied Sciences 14, no. 24: 11491. https://doi.org/10.3390/app142411491
APA StyleThosago, K. F., Banjo, P. O., Rundora, L., & Adesanya, S. O. (2024). Thermal Stability and Entropy Generation Analysis for Combustible Third-Grade Fluid Flow Through a Slant Channel: A Spectral Study. Applied Sciences, 14(24), 11491. https://doi.org/10.3390/app142411491

