A Multi-Mode Recognition Method for Broadband Oscillation Based on Compressed Sensing and EEMD
Abstract
1. Introduction
2. Signal Sampling and Reconstruction Using Compressed Sensing
2.1. Compressed Sampling of Broadband Oscillation Signal
- (1)
- Sparse transformation basis selection. Assuming that the broadband signal of length N is compressible, then, under the sparse matrix , the coefficient vector represents the broadband signal x:where represents the coefficient vector and represents the sparse matrix.
- (2)
- Compressing the signal. Assuming that the sparsity of the coefficient vector is K (K << N), the measurement matrix can be used to compress the broadband signal; the compressed signal is expressed as:where y indicates the compressed signal, and the length is M (M << N); the measurement matrix is unrelated to the sparse matrix .
- (3)
- Calculating the sensing matrix. The sensing matrix is obtained by inserting Equation (1) into Equation (2).
2.2. Reconstructing a Signal Based on the Subspace Pursuit (SP) Algorithm
- (1)
- Inputting the compressed signal y and sensing matrix .
- (2)
- Initializing the residual , candidate vector , and index set , with iteration number . represents the relevant atoms in the sensing matrix.
- (3)
- Calculating the candidate vector: . represents the absolute value of the inner product of the sensing matrix and residual .
- (4)
- Finding the position labels of the K largest elements in the candidate vector and updating the index set , where the position label is .
- (5)
- Updating the estimated value: . represents the pseudo-inverse of the updated sensing matrix .
- (6)
- Selecting the optimal K sparse elements, , and updating the residual .
- (7)
- If or , the loop ends; otherwise, , and we return to Step (3).
- (8)
- Outputting the x reconstruction estimate , residual .
3. Oscillation Signal Decomposition, Based on the EEMD Algorithm
- (1)
- Given an original signal , add M times the different levels of white noise to the original signal; the m-th added Gaussian white noise is represented as , and the signal generated after the m th added white noise is .
- (2)
- The signal generated after each addition of white noise is decomposed by EMD to obtain a corresponding set of IMFs, after which the signal after the M addition of white noise is expressed as follows:
- (3)
- Because the uncorrelated random sequence statistical mean is 0, the above IMF components are averaged to eliminate the impact of multiple additions of white noise on the real IMF components, i.e.,:where represents the i th IMF after EEMD decomposition. is the final residual amount obtained after decomposition.
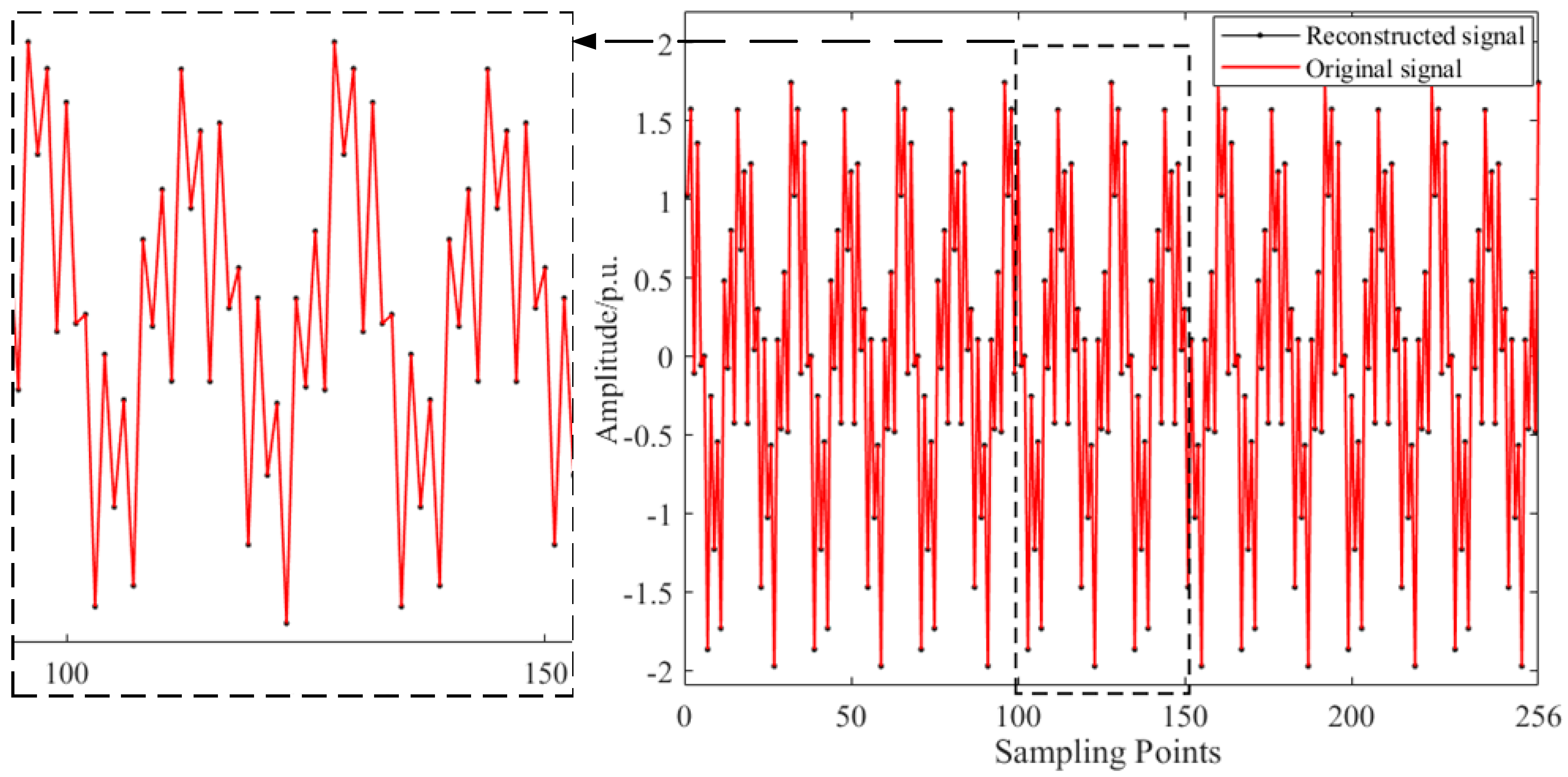
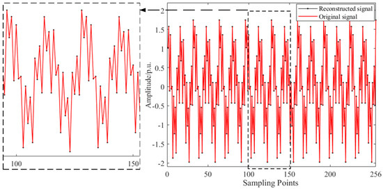
4. Analysis and Comparison of the Results
4.1. Analysis and Comparison, Based on a Theoretical Model
4.2. Analysis and Comparison Based on Measurement Signals
5. Comparison with Advanced Methods
6. Conclusions
- (1)
- In the substation, due to the limitations of communication bandwidth and transmission rate, the collected broadband oscillation signal cannot be transmitted to the main station. After the original data are converted to low-dimensional data by compressed sampling and are transmitted to the main station, the compressed sampled signal is reconstructed by the SP algorithm. The main station analyzes the reconstructed signal and can identify the original signal oscillation information.
- (2)
- EEMD is performed on the reconstructed signal to generate a set of IMFs containing false components, and IMF components containing oscillation information are screened out using the energy coefficient. Finally, the information on broadband oscillation is accurately calculated by FFT.
Author Contributions
Funding
Informed Consent Statement
Data Availability Statement
Conflicts of Interest
References
- Yang, L.; Li, G.; Zhang, Z.; Ma, X.; Zhao, Y. Operations & maintenance optimization of wind turbines integrating wind and aging information. IEEE Trans. Sustain. Energy 2021, 12, 211–221. [Google Scholar]
- Ren, Z.; Verma, A.S.; Li, Y.; Teuwen, J.J.; Jiang, Z. Offshore wind turbine operations and maintenance: A state-of-the-art review. Renew. Sustain. Energy Rev. 2021, 144, 110886. [Google Scholar] [CrossRef]
- Chen, L.; Xu, S.; Sun, H.; Bi, J.; Song, R.; Yi, J.; Guo, Q. A Survey on Wide-frequency Oscillation for Power Systems with High Penetration of Power Electronics. Proc. CSEE 2021, 41, 2297–2310. [Google Scholar]
- Lyu, J.; Cai, X.; Molinas, M. Frequency domain stability analysis of MMC-based HVDC for wind farm integration. IEEE J. Emerg. Sel. Top. Power Electron. 2016, 4, 141–151. [Google Scholar] [CrossRef]
- Xu, Q.; Ma, Z.; Li, P.; Jiang, X.; Wang, C. A Refined Taylor-Fourier Transform with Applications to Wideband Oscillation Monitoring. Electronics 2022, 11, 3734. [Google Scholar] [CrossRef]
- Ma, N.; Xie, X.; Tang, J.; Chen, L. Wide-area measurement and early warning system for wide-band oscillation in “double-high” power systems. J. Tsinghua Univ. (Sci. Technol.) 2021, 61, 5. [Google Scholar]
- Zhang, D.; Wang, Y.; Hu, J.; Ma, S.; He, Q.; Guo, Q. Impacts of PLL on the DFIG-based WTG’s electromechanical response under transient conditions: Analysis and modeling. CSEE J. Power Energy Syst. 2016, 2, 30–39. [Google Scholar] [CrossRef]
- Zong, H.; Lyu, J.; Wang, X.; Zhang, C.; Zhang, R.; Cai, X. Grey box aggregation modeling of wind farm for wideband oscillations analysis. Appl. Energy 2021, 283, 116035. [Google Scholar] [CrossRef]
- Ma, N.; Xie, X.; He, J.; Wang, H. Review of broadband Oscillation in Renewable and Power Electronics Highly Integrated Power Systems. Proc. CSEE 2020, 40, 15. [Google Scholar]
- Wang, W.; Zhu, Y.; Liu, C.; Dong, P.; Hu, T.; Li, B.; Li, Y.; He, F.; Zhang, Y. Realization of Electromagnetic Real-time Simulation of Large-scale Grid Based on HYPERSIM. Power Syst. Technol. 2019, 43, 4. [Google Scholar]
- Xu, Y.; Liu, H.; Cheng, Y. Key Influencing Factors on Propagation of Sub-Synchronous Oscillations in AC and DC Grids. Mod. Electr. Power 2024, 41, 219–229. [Google Scholar]
- Maheswari, M.; Vanitha, N.S.; Loganathan, N. Wide-Area Measurement Systems and Phasor Measurement Units; Springer: Cham, Switzerland, 2020; pp. 105–126. [Google Scholar]
- Xu, S.; Liu, H.; Bi, T. Reference value measurement algorithms for PMU field test and calibration. Proc. CSEE 2020, 40, 3452–3461. (In Chinese) [Google Scholar]
- Cui, H.; Feng, S.; Chen, J.; Ye, Y.; Tang, Y.; Lei, J. Wide-area location method of wide-band oscillations based on autoencoder and long short-term memory network. Autom. Electr. Power Syst. 2022, 46, 194–201. [Google Scholar]
- Zhong, T.; Yang, H.; Sun, C.; Liu, C.; Chen, J. Adaptive Band-Pass Filter and VMD-Esprit Based Multi-Mode Monitoring Method for Broadband Electromagnetic Oscillation in “Double High” Power Systems. Energies 2023, 16, 3110. [Google Scholar] [CrossRef]
- Liu, F.; Lin, S.; Chen, C.; Liu, K.; Zou, R.; Sidorov, D. Identification of Mode Shapes Based on Ambient Signals and the IA-VMD Method. Appl. Sci. 2021, 11, 530. [Google Scholar] [CrossRef]
- Guo, C.; Yang, L.; Dai, J.; Chen, B.; Yin, K.; Dai, J. A New Method for the Analysis of Broadband Oscillation Mode of New Energy Stations. Symmetry 2024, 16, 278. [Google Scholar] [CrossRef]
- Yan, H.; Tai, K.; Liu, M.; Wang, Z.; Yang, Y.; Zhou, X.; Zheng, Z.; Gao, S.; Wang, Y. A Method for Locating Wideband Oscillation Disturbance Sources in Power Systems by Integrating TimesNet and Autoformer. Electronics 2024, 13, 3250. [Google Scholar] [CrossRef]
- Chen, Y.; Liu, Z. The power quality detection and synchrophasor measurement based on compressive sensing. Optik 2023, 272, 169922. [Google Scholar] [CrossRef]
- Sun, Y.; Chen, J.; Liu, Q.; Liu, B.; Guo, G. Dual-path attention network for compressed sensing image reconstruction. IEEE Trans. Image Process. 2020, 29, 9482–9495. [Google Scholar] [CrossRef]
- Bertsimas, D.; Johnson, N.A.G. Compressed sensing: A discrete optimization approach. Mach. Learn. 2024, 113, 6725–6764. [Google Scholar] [CrossRef]
- Ju, M.; Zhao, M.; Han, T.; Liu, H.; Xu, B.; Liu, X. A novel subspace pursuit of residual correlation step algorithm for distributed compressed sensing. Signal Process. 2023, 202, 108747. [Google Scholar] [CrossRef]
- Liang, J.; Zhang, K. A Robust Fault Diagnosis Scheme for Converter in Wind Turbine Systems. Electronics 2023, 12, 1597. [Google Scholar] [CrossRef]
- Liang, J.; Zhang, K.; Al-Durra, A.; Zhou, D. A novel fault diagnostic method in power converters for wind power generation system. Appl. Energy 2020, 266, 114851. [Google Scholar] [CrossRef]








| IMFi | IMF1 | IMF2 | IMF3 | IMF4 | IMF5 | IMF6 | IMF7 | IMF8 |
|---|---|---|---|---|---|---|---|---|
| Energy coefficient | 0.3623 | 0.1092 | 0.3951 | 0.74 × 10−4 | 4.02 × 10−5 | 4.42 × 10−5 | 3.57 × 10−4 | 1.56 × 10−6 |
| Oscillation Mode | Oscillation Information | Theoretical Value | Identification Result (15 dB/20 dB/25 dB/30 dB) |
|---|---|---|---|
| Mode 1 | Frequency/Hz | 50 | 50/50/50/50 |
| Amplitude/p.u. | 0.85 | 0.8291/0.8958/0.8573/0.8547 | |
| Mode 2 | Frequency/Hz | 75 | 75/75/75/75 |
| Amplitude/p.u. | 0.2 | 0.1775/0.1860/0.1814/0.1743 | |
| Mode 3 | Frequency/Hz | 200 | 200/200/200/200 |
| Amplitude/p.u. | 0.45 | 0.4912/0.4262/0.4771/0.4534 | |
| Mode 4 | Frequency/Hz | 400 | 400/400/400/400 |
| Amplitude/p.u. | 0.6 | 0.5725/0.6260/0.5761/0.6016 |
| Methods | Frequency and Error | Amplitude and Error | Robustness to Noise |
|---|---|---|---|
| CS-SP-EEMD | 50, 75, 200, 400 (0, 0, 0, 0) | 0.85, 0.2, 0.45, 400 (0.539%, 7.0%, 5.28%, 4.33%) | 15 dB–30 dB |
| ABPF | 1.5, 25, 300, 400 (0, 0, 0, 0) | 5, 5, 5, 5 (1.312%, 1.988%, 2.228%, 2.228%) | --- |
| IA-VMD | 0.68, 1.95, 26.58, 21.94, 93.42 (0, 1.55%, 0.90%, 0.46%, 0.45%) | 1.46, 2, 0.49, 0.22, 0.32, 0.2 (6.16%, 0, 2.04%, 9.09%, 0) | White noise with an amplitude of 0.2 |
| PSO-VMD | 28, 50, 72, 150 (0.0614%, 0.0066%, 0.0125%, 0.036%) | 45, 25, 18.5, 8.5 (2.8337%, 0.2691%, 4.2087%, 10.302%) | 5 dB–20 dB |
Disclaimer/Publisher’s Note: The statements, opinions and data contained in all publications are solely those of the individual author(s) and contributor(s) and not of MDPI and/or the editor(s). MDPI and/or the editor(s) disclaim responsibility for any injury to people or property resulting from any ideas, methods, instructions or products referred to in the content. |
© 2024 by the authors. Licensee MDPI, Basel, Switzerland. This article is an open access article distributed under the terms and conditions of the Creative Commons Attribution (CC BY) license (https://creativecommons.org/licenses/by/4.0/).
Share and Cite
Gao, J.; Xu, H.; Yang, Y.; Niu, H.; Liang, J.; Dong, H. A Multi-Mode Recognition Method for Broadband Oscillation Based on Compressed Sensing and EEMD. Appl. Sci. 2024, 14, 11484. https://doi.org/10.3390/app142411484
Gao J, Xu H, Yang Y, Niu H, Liang J, Dong H. A Multi-Mode Recognition Method for Broadband Oscillation Based on Compressed Sensing and EEMD. Applied Sciences. 2024; 14(24):11484. https://doi.org/10.3390/app142411484
Chicago/Turabian StyleGao, Jinggeng, Honglei Xu, Yong Yang, Haoming Niu, Jinping Liang, and Haiying Dong. 2024. "A Multi-Mode Recognition Method for Broadband Oscillation Based on Compressed Sensing and EEMD" Applied Sciences 14, no. 24: 11484. https://doi.org/10.3390/app142411484
APA StyleGao, J., Xu, H., Yang, Y., Niu, H., Liang, J., & Dong, H. (2024). A Multi-Mode Recognition Method for Broadband Oscillation Based on Compressed Sensing and EEMD. Applied Sciences, 14(24), 11484. https://doi.org/10.3390/app142411484
