Design of NO2 Photoacoustic Detection System Based on Finite Element Simulation
Abstract
1. Introduction
2. Experimental Principle
2.1. Theoretical Basis
2.2. Basic Structure of Photoacoustic Cell
2.3. Experimental Principle
3. Design of Photoacoustic System Simulation
3.1. System Modeling and Modal Analysis
3.2. Effect of Air Inlet and Outlet on Photoacoustic Signal
3.3. Finite Element Simulation of Frequency Response
3.4. The Design Size of the Resonator
3.5. Design Dimensions of the Buffer Cavity
4. Experimental Verification and Discussion
4.1. Construction of Photoacoustic System
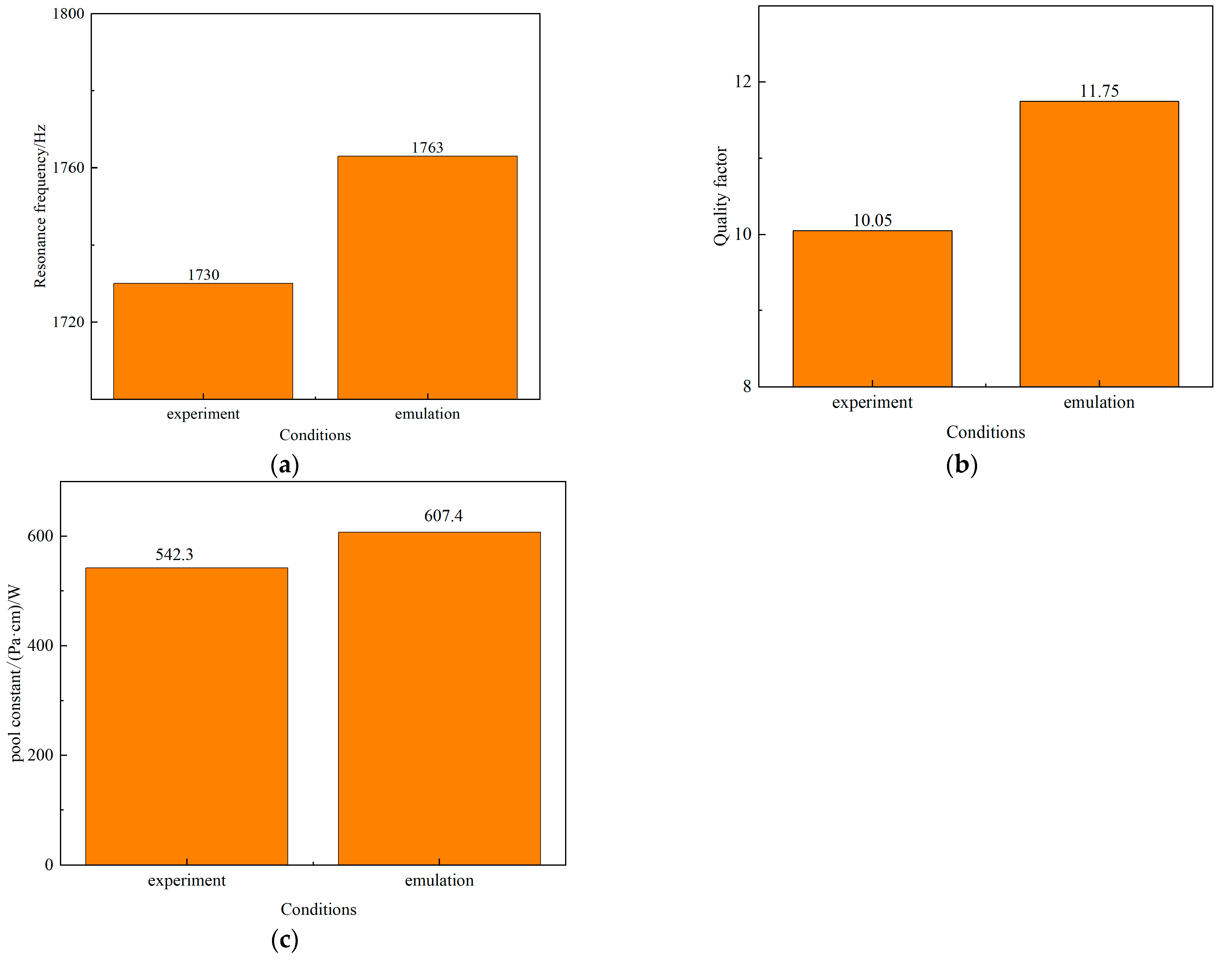
4.2. Frequency Response Curve
4.3. System Calibration Study
4.4. Atmospheric NO2 Detection
5. Conclusions
Author Contributions
Funding
Data Availability Statement
Conflicts of Interest
References
- Vasilkov, A.P.; Joiner, J.; Oreopoulos, L.; Gleason, J.F.; Veefkind, P.; Bucsela, E.; Celarier, E.A.; Spurr, R.J.D.; Platnick, S. Impact of tropospheric nitrogen dioxide on the regional radiation budget. Atmos. Chem. Phys. 2009, 9, 6389–6400. [Google Scholar] [CrossRef]
- Chen, T.M.; Kuschner, W.G.; Gokhale, J.; Shofer, S. Outdoor air pollution: Nitrogen dioxide, sulfur dioxide, and carbon monoxide health effects. Am. J. Med. Sci. 2007, 333, 249–256. [Google Scholar] [CrossRef] [PubMed]
- Gudem, M.; Hazra, A. Mechanism of the chemiluminescent reaction between nitric oxide and ozone. J. Phys. Chem. A 2019, 123, 715–722. [Google Scholar] [CrossRef] [PubMed]
- Cao, Y.; Liu, Q.; Wang, R.; Liu, K.; Chen, W.; Wang, G.; Gao, X. Development of a 443 nm diode laser-based differential photoacoustic spectrometer for simultaneous measurements of aerosol absorption and NO2. Photoacoustic 2021, 21, 100229. [Google Scholar] [CrossRef]
- Miklós, A.; Hess, P.; Bozóki, Z. Application of acoustic resonators in photoacoustic trace gas analysis and metrology. Rev. Sci. Instrum. 2001, 72, 1937–1955. [Google Scholar] [CrossRef]
- Rozenman, G.G.; Peisakhov, A.; Zadok, N. Dispersion of organic exciton polaritons—A novel undergraduate experiment. Eur. J. Phys. 2022, 43, 035301. [Google Scholar] [CrossRef]
- Rivera, N.; Kaminer, I. Light–matter interactions with photonic quasiparticles. Nat. Rev. Phys. 2020, 2, 538–561. [Google Scholar] [CrossRef]
- Gu, M.; Chen, J.; Zhang, Y.; Tan, T.; Wang, G.; Liu, K.; Gao, X.; Mei, J. Portable TDLAS Sensor for Online Monitoring of CO2 and H2O Using a Miniaturized Multi-Pass Cell. Sensors 2023, 23, 2072. [Google Scholar] [CrossRef]
- Sun, L.Y.; Niu, M.S.; Chen, J.X. Nitrogen dioxide detection based on photoacoustic spectroscopy. Chin. J. Laser 2022, 49, 231002. [Google Scholar]
- Ma, Y.; Lewicki, R.; Razeghi, M.; Tittel, F.K. QEPAS based ppb-level detection of CO and N2O using a high-power CW DFB-QCL. Opt. Express 2013, 21, 1008–1019. [Google Scholar] [CrossRef]
- Jin, H.W.; Xie, P.H.; Hu, R.Z.; Huang, C.C.; Lin, C.; Wang, F.Y. Design of NO2 photoacoustic sensor with high reflective mirror based on low power blue diode laser. Chin. Phys. B 2020, 29, 171–177. [Google Scholar] [CrossRef]
- Duggen, L.; Lopes, N.; Willatzen, M.; Rubahn, H.-G. Finite element simulation of photoacoustic pressure in a resonant photoacoustic cell using lossy boundary conditions. Int. J. Thermophilic. 2011, 32, 774–785. [Google Scholar] [CrossRef]
- Kost, B.; Baumann, B.; Wolff, M.; Groninga, H. Numerical investigations of photoacoustic sensor signals. Acta Acust. United Acust. 2009, 95, 628–634. [Google Scholar] [CrossRef]
- Dong, Y.; Gu, M.S.; Zhu, G.D.; Tan, T.; Liu, K.; Gao, X. Fully integrated photoacoustic NO2 sensor for sub-ppb level measurement. Sensors 2020, 20, 1270. [Google Scholar] [CrossRef] [PubMed]
- Ma, Y.; He, Y.; Tong, Y.; Yu, X.; Tittel, F.K. Quartz-tuning-fork enhanced photothermal spectroscopy for ultra-high sensitive trace gas detection. Opt. Express 2018, 26, 32103–32110. [Google Scholar] [CrossRef]
- Li, Z.; Si, G.; Ning, Z.; Liu, J.; Fang, Y.; Si, B.; Cheng, Z.; Yang, C. Highly sensitive sphere-tube coupled photoacoustic cell suitable for detection of a variety of trace gases:NO2 as an example. Sensors 2021, 22, 281. [Google Scholar] [CrossRef]
- Cheng, G.; Chen, J.R.; Cao, Y.N. Influence of cylindrical photoacoustic cell structure and environmental factors on acoustic eigenfrequency. Acta Photonica Sin. 2020, 49, 0230001. [Google Scholar] [CrossRef]
- Zhao, N.; Liu, Y.; Zhao, N.Y. Establishment and Optimization of Photoacoustic Cell Model in Photoacoustic Spectrum Detection System. Acta Photonica Sin. 2021, 50, 0730001. [Google Scholar]
- Li, Z.; Liu, J.; Si, G.; Ning, Z.; Fang, Y.; Pan, Y. Optimization design of H-type differential photoacoustic cell and NO2 detection. Acta Opt. Sin. 2022, 42, 1830004. [Google Scholar]
- Lee, M.; Sugahara, S.; Omi, D.; Fujita, M.; Tonokura, K. Development of continuous monitoring of ambient carbon dioxide using near-infrared quartz-enhanced photoacoustic spectroscopy. Jpn. J. Appl. Phys. 2023, 63, 017001. [Google Scholar] [CrossRef]
- Lin, H.; Wang, C.; Lin, L.; Wang, M.; Zhu, W.; Zhong, Y.; Yu, J.; Tittel, F.; Zheng, H. Non-contact quartz-enhanced photoacoustic spectroscopy. Appl. Phys. Lett. 2023, 122, 111101. [Google Scholar] [CrossRef]
- Lv, H.; Zheng, H.; Liu, Y.; Yang, Z.; Wu, Q.; Lin, H.; Montano, B.A.Z.; Zhu, W.; Yu, J.; Kan, R.; et al. Radial-cavity quartz-enhanced photoacoustic spectroscopy. Opt. Lett. 2021, 46, 3917–3920. [Google Scholar] [CrossRef] [PubMed]
- Qiao, S.; Ma, Y.; Patimisco, P.; Sampaolo, A.; He, Y.; Lang, Z.; Tittel, F.K.; Spagnolo, V. Multi-pass quartz-enhanced photoacoustic spectroscopy-based trace gas sensing. Opt. Lett. 2021, 46, 977–980. [Google Scholar] [CrossRef]
- Winkowski, M.; Stacewicz, T. Low noise, open-source QEPAS system with instrumentation amplifier. Sci. Rep. 2019, 9, 1838. [Google Scholar] [CrossRef] [PubMed]
- Zha, S.L.; Liu, K.; Tan, T.; Wang, G.S.; Gao, X.M. Application of photoacoustic spectroscopy in multi-component gas concentration detection. Acta Photonica Sin. 2017, 46, 0612002. [Google Scholar]
- Lang, Z.; Qiao, S.; Liang, T.; He, Y.; Qi, L.; Ma, Y. Dual-frequency modulated heterodyne quartz-enhanced photoacoustic spectroscopy. Opt. Express 2024, 32, 379–386. [Google Scholar] [CrossRef]
- Zhang, C.; Qiao, S.; He, Y.; Zhou, S.; Qi, L.; Ma, Y. Differential quartz-enhanced photoacoustic spectroscopy. Appl. Phys. Lett. 2023, 122, 241103. [Google Scholar] [CrossRef]




















| Name | Expression | Description |
|---|---|---|
| L | 90 mm | Cavity length |
| R | 4 mm | Cavity radius |
| Lb | 50 mm | Buffer cavity length |
| Rb | 20 mm | Buffer cavity radius |
Disclaimer/Publisher’s Note: The statements, opinions and data contained in all publications are solely those of the individual author(s) and contributor(s) and not of MDPI and/or the editor(s). MDPI and/or the editor(s) disclaim responsibility for any injury to people or property resulting from any ideas, methods, instructions or products referred to in the content. |
© 2024 by the authors. Licensee MDPI, Basel, Switzerland. This article is an open access article distributed under the terms and conditions of the Creative Commons Attribution (CC BY) license (https://creativecommons.org/licenses/by/4.0/).
Share and Cite
Wu, L.; Chen, T.; Xiang, B.; Xing, L. Design of NO2 Photoacoustic Detection System Based on Finite Element Simulation. Appl. Sci. 2024, 14, 11343. https://doi.org/10.3390/app142311343
Wu L, Chen T, Xiang B, Xing L. Design of NO2 Photoacoustic Detection System Based on Finite Element Simulation. Applied Sciences. 2024; 14(23):11343. https://doi.org/10.3390/app142311343
Chicago/Turabian StyleWu, Long, Tao Chen, Biao Xiang, and Likun Xing. 2024. "Design of NO2 Photoacoustic Detection System Based on Finite Element Simulation" Applied Sciences 14, no. 23: 11343. https://doi.org/10.3390/app142311343
APA StyleWu, L., Chen, T., Xiang, B., & Xing, L. (2024). Design of NO2 Photoacoustic Detection System Based on Finite Element Simulation. Applied Sciences, 14(23), 11343. https://doi.org/10.3390/app142311343
