Experimental Study on Deformation and Damage Evolution of Cracked Red Sandstone Under Freeze–Thaw Cycles
Abstract
1. Introduction
2. Materials and Methods
2.1. Materials
2.2. Strain Monitoring Method
2.3. Freeze–Thaw Cycle Testing Equipment and Method
2.3.1. Freeze–Thaw Cycle Testing Equipment
2.3.2. Freeze–Thaw Cycle Testing Method
- (1)
- The rock specimens were placed in an electric oven and baked at 105 °C for 24 h. They were then removed and cooled in a desiccator. A temperature gun was used to measure the surface temperature of the specimens until the surface temperature matched the ambient room temperature.
- (2)
- Using the free immersion method, the rock specimens were placed in a water tank, and water was first added to cover 1/4 of the specimen height. Afterward, every 2 h, water was added to cover 1/2 and then 3/4 of the specimen height. After 6 h, the specimens were fully submerged. After the rock specimens freely absorbed water for 48 h, they were removed, and the surface water was wiped off. Each specimen was then completely wrapped in transparent polyethylene cling film and individually sealed in transparent polyethylene sealing bags to prevent moisture loss during the freeze–thaw cycle tests.
- (3)
- The room temperature was maintained at 20 °C (±2 °C) using an air conditioner. The sealed rock specimens and temperature compensation strain gauges were placed flat in storage baskets inside the numerical control refrigerator, with wooden strips on both sides to prevent the specimens from rolling during the test, as shown in Figure 5. Additionally, the temperature control group specimens were placed upright in the storage baskets to measure temperature changes during the freeze–thaw cycles. Once all the specimens were securely placed, the control software for the static resistance strain gauge was initiated, setting the data acquisition mode to “monitoring” at a frequency of 1 Hz, and the strain gauge was zeroed. Simultaneously, the freeze–thaw cycle system was started. The time relay was set to push and pull the electric push rod at intervals of 4 h, and the target freezing temperature for the numerical control refrigerator was set to −20 °C. The actual operation of the freeze–thaw cycle system was as follows: initially, the numerical control refrigerator was turned on, and the door remained closed, keeping the specimens in a sealed environment at −20 °C (±2 °C) for 4 h. Then, the refrigerator power was automatically turned off, and the refrigerator door was automatically opened by the electric push rod. After 15 min, the heater began operating for 40 min, raising the specimen temperature to 20 °C (±2 °C). The specimens were maintained at 20 °C (±2 °C) for 3 h and 5 min, resulting in a total thawing time of 4 h. Subsequently, the refrigerator power was automatically turned on, and the refrigerator door was automatically closed by the electric push rod, freezing the specimens for another 4 h. This process is repeated cyclically, with each freeze–thaw cycle lasting 8 h. A total of 45 freeze–thaw cycles were conducted, during which strain data were continuously collected. This process was repeated in cycles, with each freeze–thaw cycle lasting 8 h. A total of 45 freeze–thaw cycles were conducted, during which strain and temperature data were continuously collected without interruption.
3. Results
3.1. Strain Variation Pattern of Cracked Red Sandstone Under a Single Freeze–Thaw Cycle
- (1)
- Initial Contraction Stage: In this stage, as the surface temperature of the rock gradually decreases from 20 °C, the rock skeleton undergoes contraction deformation. The strain value starts to decrease from the initial residual strain at point A. The initial residual strain is set to 0, as shown in Figure 6.
- (2)
- Stable Contraction Stage: When the temperature of the rock decreases to around 0 °C, the rock’s temperature no longer drops rapidly but stabilizes at approximately 0 °C for about 40 min. This temperature stabilization occurs because the pores within the rock contain a large amount of water, which stores heat before freezing. Since 0 °C is the freezing point of water, the water continues to release heat, keeping the temperature constant. Due to this heat release, the temperature of the rock matrix remains unchanged, and as a result, the rock skeleton ceases to contract further, causing the strain to remain stable during this stage.
- (3)
- Continuous Contraction Stage: As the temperature continues to drop, the rock skeleton undergoes further contraction deformation, and the strain value continues to decrease. When the temperature reaches the lowest point of −20 °C, the strain decreases to its minimum at point B, marking the peak of contraction deformation in the rock. During this period, the small amount of water in the rock pores undergoes a phase change, freezing into ice, which causes a slight increase in volume. The solid ice exerts pressure on the rock skeleton grains, generating a frost heave force inside the rock. However, since the rock skeleton particles in the test specimen are not strongly cemented and are relatively loosely packed, and the amount of ice in the pores is small, the expansion deformation caused by the frost heave force is minor. The expansion caused by this frost heave force is not of the same order of magnitude as the contraction deformation induced by low temperatures, so the strain value continues to show a decreasing trend.
- (4)
- Thermal Expansion Stage: At this stage, the numerical control refrigerator stops cooling, and the door automatically opens. The rock begins to slowly warm under the influence of the ambient room temperature of 20 °C, resulting in minimal strain changes and a relatively stable state. After 15 min, the heater starts operating, causing the temperature to rise rapidly to around 20 °C. The rock skeleton undergoes expansion, and the strain increases rapidly, reaching its maximum at point C. Due to the significant temperature change on the rock surface, the rock skeleton transitions from contraction to expansion, resulting in relatively intense changes.
- (5)
- Stabilization Stage: In this stage, the heater stops running, and the rock’s temperature remains consistent with the room temperature, around 20 °C. The strain slightly decreases until it stabilizes. This occurs for two reasons: On the one hand, the rapid temperature rise in the previous stage caused the rock to absorb a significant amount of heat, leading to a rock skeleton temperature slightly higher than 20 °C. This temperature difference resulted in more intense deformation. As the rock gradually cooled to stabilize at 20 °C under the influence of room temperature, the strain also decreased and stabilized. On the other hand, a small amount of water in the rock pores froze during the previous stage, transitioning from water to ice, which slightly increased its volume and applied mild pressure on the skeleton. Once the ice melted back into the water, its volume decreased, relieving the pressure on the skeleton, which led to contraction deformation. In summary, during this stage, the strain gradually decreases and stabilizes over time. After the thawing phase, the strain value at point D is slightly greater than at the initial point A, indicating that the rock skeleton experienced residual strain after one freeze–thaw cycle. This residual strain manifests as expansion deformation and is a direct indication of freeze–thaw damage in the rock.
3.2. Strain Variation Pattern in Cracked Red Sandstone Under Multiple Freeze–Thaw Cycles
3.3. Analysis of Strain Characteristic Values of Cracked Red Sandstone Under Multiple Freeze–Thaw Cycles
3.3.1. Definition of Strain Characteristic Values
3.3.2. Cold Contraction Amplitude Analysis
- Measurement Points on the Short Edge and Long Edge of the Crack
- 2.
- Symmetric Measurement Points on the Short Edge and Long Edge of the Crack
3.3.3. Thermal Expansion Amplitude
- Measurement Points on the Short Edge and Long Edge of the Crack
- 2.
- Symmetric Measurement Points on the Short Edge and Long Edge of the Crack
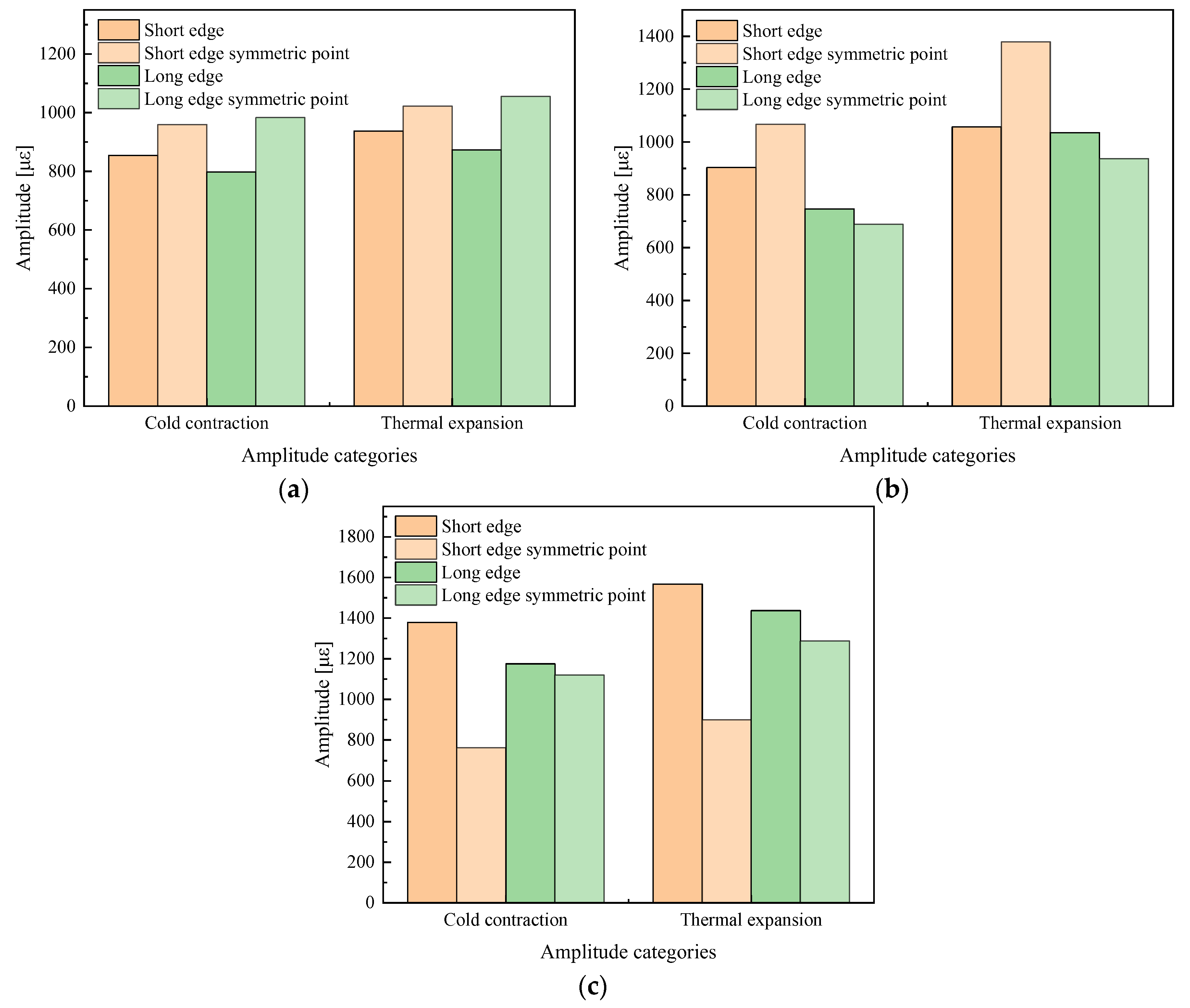
3.3.4. Comprehensive Comparative Analysis
- (1)
- As shown in Figure 12a, in the 20 mm depth cracked rock specimen, both the average cold contraction amplitude and the average thermal expansion amplitude of the short edge are smaller than those of the symmetric points, and the same applies to the long edge.
- (2)
- As shown in Figure 12b, in the 30 mm depth cracked rock specimen, both the average cold contraction amplitude and the average thermal expansion amplitude of the short edge are smaller than those of the symmetric points, but the average cold contraction and thermal expansion amplitudes of the long edge are greater than those of the symmetric points.
- (3)
- As shown in Figure 12c, in the 40 mm depth cracked rock specimen, both the average cold contraction amplitude and the average thermal expansion amplitude of the short edge are greater than those of the symmetric points, and the same applies to the long edge.
4. Analysis and Discussion
4.1. Analysis of the Micro-Deformation Mechanism of Rock
- (1)
- Body Deformation: This refers to the overall deformation caused by the deformation of the skeleton grains themselves, which is classified as elastic deformation. During this process, changes in the stress within the skeleton grains lead to changes in their volume, but the arrangement of the skeleton grains remains unchanged. Therefore, the body stress (σs) determines the body deformation of the rock.
- (2)
- Structural Deformation: This refers to the overall deformation caused by changes in the arrangement of the skeleton grains, which is classified as plastic deformation. During this process, changes in the contact stress between the skeleton grains result in relative displacement between them, altering the arrangement of the skeleton grains, though the volume of the grains themselves does not change. Therefore, the contact stress (σc) between the skeleton grains determines the structural deformation of the rock.
4.2. Discussion
- (1)
- Thermal Expansion and Contraction of Skeleton Particles: The rock skeleton particles undergo thermal expansion and contraction during freeze–thaw cycles, resulting in body deformation. Since the skeleton particles are not perfectly elastic, a portion of residual strain remains after each cycle of expansion and contraction. This residual strain constitutes only part of the total residual strain for each freeze–thaw cycle.
- (2)
- Frost Heave Force Due to Water Molecules in Rock Pores: The presence of water molecules in the rock pores leads to approximately 9% volume expansion when the water freezes. If the rock constrains this expansion, a frost heave force is generated [34,35,36]. This frost heave force affects the contact stress between surrounding skeleton particles, altering their arrangement and causing structural deformation.
- (3)
- Damage to Cementing Materials: In red sandstone, cementing materials bond the surrounding particles together. These materials, being chemical precipitates, are prone to damage from physical and chemical actions. During freeze–thaw cycles, the cementing materials themselves undergo thermal expansion and contraction, and they are also subjected to external influences such as the compressive effect of expanding skeleton particles, the frost heave force of ice, and the dissolution effects of water molecules. As a result, some of the cementing material gradually breaks down and disappears during the freeze–thaw process. The space it originally occupied transforms into intergranular pores, leading to a significant change in the stress state of the surrounding rock skeleton particles. The contact stress between the particles changes, altering their arrangement and causing structural deformation of the rock.
5. Conclusions
- (1)
- The strain variation process of cracked red sandstone during a single freeze–thaw cycle can be roughly divided into five stages: initial contraction stage, stable contraction stage, continuous contraction stage, thermal expansion stage, and stabilization stage. The strain variation trend can be described as follows: during the cooling and freezing process, the strain in the cracked red sandstone gradually decreases to a minimum value and then stabilizes. During the heating and thawing process, the strain gradually increases to a maximum value, after which it decreases and stabilizes, resulting in residual strain.
- (2)
- The damage to cracked red sandstone worsens during multiple freeze–thaw cycles. Residual strain, representing plastic deformation, is generated in each freeze–thaw cycle. As the number of freeze–thaw cycles increases, residual strain accumulates, leading to significant expansion deformation and irreversible freeze–thaw damage. The cumulative residual strain of the rock specimen after 45 freeze–thaw cycles was 40.69 times greater than the residual strain from the first cycle. This expansion deformation is severe, manifesting as the extension, increase, and interconnection of rock pores and microcracks.
- (3)
- The freeze–thaw strain characteristic values of cracked red sandstone include cold contraction amplitude and thermal expansion amplitude, and these values are clearly correlated with crack depth. For the monitoring point on the long edge of the 40 mm depth cracked rock specimen, the average cold contraction amplitude and average thermal expansion amplitude are 1.47 times and 1.65 times those of the 20 mm depth cracked rock specimen, respectively. During freeze–thaw cycles, the rock skeleton particles contract due to the cold. Since the pre-existing crack lacks part of the rock matrix internally, the points at the surface of the pre-existing crack have a slightly higher degree of freedom and are less constrained by the surrounding rock matrix. The deeper the crack, the less constraint at the surface, resulting in more pronounced deformation.
- (4)
- The freeze–thaw deformation evolution mechanism of cracked red sandstone can be summarized into three points: (i) body deformation caused by the thermal expansion and contraction of rock skeleton particles; (ii) structural deformation caused by frost heave force; and (iii) structural deformation caused by damage to the cementing materials. This freeze–thaw deformation mechanism provides a valuable reference for the study of the stability and durability of underground rock engineering in cold regions.
Author Contributions
Funding
Institutional Review Board Statement
Informed Consent Statement
Data Availability Statement
Conflicts of Interest
Appendix A
| Symbol | |
|---|---|
| εμ | The readings measured by the static resistance strain gauge. |
| βc | The coefficient of linear thermal expansion of quartz glass. |
| Δt | The value of temperature variation. |
| εA | The strain value at point A on the strain–time curve for a single freeze–thaw cycle. |
| εB | The strain value at point B on the strain–time curve for a single freeze–thaw cycle. |
| εC | The strain value at point C on the strain–time curve for a single freeze–thaw cycle. |
| Group * | Saturated Density | Water Absorption | Porosity | ||||||
|---|---|---|---|---|---|---|---|---|---|
| Value [g/cm3] | Standard Deviation [g/cm3] | Covariance [%] | Value [%] | Standard Deviation [%] | Covariance [%] | Value [%] | Standard Deviation [%] | Covariance [%] | |
| A | 2.156 | 0.055 | 2.48 | 6.082 | 0.134 | 2.15 | 13.705 | 0.299 | 2.14 |
| B | 2.264 | 6.349 | 14.295 | ||||||
| C | 2.226 | 6.235 | 13.915 | ||||||
| Group * | Residual Strain | Cold Contraction Amplitude | Thermal Expansion Amplitude | ||||||
|---|---|---|---|---|---|---|---|---|---|
| Value [με] | Standard Deviation [με] | Covariance [%] | Value [με] | Standard Deviation [με] | Covariance [%] | Value [με] | Standard Deviation [με] | Covariance [%] | |
| A | 13 | 1.528 | 11.46 | 794 | 40.017 | 5.03 | 872 | 47.127 | 5.38 |
| B | 12 | 836 | 925 | ||||||
| C | 15 | 756 | 831 | ||||||
| Group * | Residual Strain | Average Cold Contraction Amplitude | Average Thermal Expansion Amplitude | ||||||
|---|---|---|---|---|---|---|---|---|---|
| Value [με] | Standard Deviation [με] | Covariance [%] | Value [με] | Standard Deviation [με] | Covariance [%] | Value [με] | Standard Deviation [με] | Covariance [%] | |
| A | 529 | 30.79 | 5.47 | 798 | 42.93 | 5.43 | 873 | 48.676 | 5.52 |
| B | 571 | 830 | 935 | ||||||
| C | 589 | 745 | 839 | ||||||
References
- Xue, Y.; Kong, F.; Yang, W.; Qiu, D.; Ma, X. Main unfavorable geological conditions and engineering geological problems along Sichuan—Tibet railway. Chin. J. Rock Mech. Eng. 2020, 39, 445–468. [Google Scholar]
- Chen, H.; Gao, X.; Wang, Q. Research progress and prospect of frozen soil engineering disasters. Cold Reg. Sci. Technol. 2023, 212, 103901. [Google Scholar] [CrossRef]
- Yun, M.; Ren, J.; Song, Y.; Zhang, L.; Sun, C.; Chang, P.; Cao, X. Fracture Mechanism and Damage Constitutive Model of Freeze–Thaw Fissured Granite Subjected to Fatigue Loading. Appl. Sci. 2024, 14, 6324. [Google Scholar] [CrossRef]
- Ma, W.; Wang, D.Y. Studies on frozen soil mechanics in China in past 50 years and their prospect. Chin. J. Geotech. Eng. 2012, 34, 625–640. [Google Scholar]
- Deprez, M.; De Kock, T.; De Schutter, G.; Cnudde, V. A review on freeze-thaw action and weathering of rocks. Earth Sci. Rev. 2020, 203, 103143. [Google Scholar] [CrossRef]
- Liu, X.; Congress, S.S.C.; Cai, G.; Liu, L.; Liu, S.; Puppala, A.J.; Zhang, W. Development and validation of a method to predict the soil thermal conductivity using thermal piezocone penetration testing (T-CPTU). Can. Geotech. J. 2022, 59, 510–525. [Google Scholar] [CrossRef]
- Maji, V.; Murton, J.B. Micro-computed tomography imaging and probabilistic modelling of rock fracture by freeze-thaw. Earth Surf. Process. Landf. 2020, 45, 666–680. [Google Scholar] [CrossRef]
- Yu, W.; Zhang, T.; Lu, Y.; Han, F.; Zhou, Y.; Hu, D. Engineering risk analysis in cold regions: State of the art and perspectives. Cold Reg. Sci. Technol. 2020, 171, 102963. [Google Scholar] [CrossRef]
- Yang, C.; Zhou, K.; Xiong, X.; Deng, H.; Pan, Z. Experimental investigation on rock mechanical properties and infrared radiation characteristics with freeze-thaw cycle treatment. Cold Reg. Sci. Technol. 2021, 183, 103232. [Google Scholar] [CrossRef]
- Jia, H.; Ding, S.; Zi, F.; Dong, Y.; Shen, Y. Evolution in sandstone pore structures with freeze-thaw cycling and interpretation of damage mechanisms in saturated porous rocks. Catena 2020, 195, 104915. [Google Scholar] [CrossRef]
- Liu, T.; Cai, W.; Sheng, Y.; Huang, J. Experimental Study on the Microfabrication and Mechanical Properties of Freeze–Thaw Fractured Sandstone under Cyclic Loading and Unloading Effects. Materials 2024, 17, 2451. [Google Scholar] [CrossRef] [PubMed]
- Liu, L.; Cai, G.; Zhang, J.; Liu, X.; Liu, K. Evaluation of engineering properties and environmental effect of recycled waste tire-sand/soil in geotechnical engineering: A compressive review. Renew. Sustain. Energy Rev. 2020, 126, 109831. [Google Scholar] [CrossRef]
- Feng, Q.; Yang, Z.; Liu, W.; Zhao, W. Experimental study of the anisotropic frost heave characteristics of rock surrounding tunnels in cold regions. J. Cold Reg. Eng. 2021, 35, 04021014. [Google Scholar] [CrossRef]
- Yang, Z.; Xu, J.; Feng, Q.; Liu, W.; He, P.; Fu, S. Elastoplastic analytical solution for the stress and deformation of the surrounding rock in cold region tunnels considering the influence of the temperature field. Int. J. Geomech. 2022, 22, 04022118. [Google Scholar] [CrossRef]
- Yu, Q.; Lei, P.; Dai, Z.; Soltanian, M.R.; Yin, S.; Liu, W.; Xiong, Z. Damage characteristics of limestone under freeze-thaw cycle for tunnels in seasonal frozen areas. Iran. J. Sci. Technol. 2023, 47, 469–477. [Google Scholar] [CrossRef]
- Tian, Z.; Li, Y.; Wang, G.; Ma, H.; Zhang, J.; Bi, Z. Experimental study on frost heaving force and deformation of water saturated red sandstone fractures. Chin. J. Rock Mech. Eng. 2022, 41, 2857–2868. [Google Scholar]
- Jia, P.; Wang, X.; Wang, D. Study on the freeze-thaw deformation characteristics of saturated fractured rocks. Rock Soil Mech. 2023, 44, 345–354. [Google Scholar]
- Kang, Y.; Liu, Q.; Zhao, J.; Zhang, F. Research on frost deformation characteristics of rock and simulation of tunnel frost deformation in cold region. Chin. J. Rock Mech. Eng. 2012, 31, 2518–2526. [Google Scholar]
- Jia, H.; Xiang, W.; Krautblatter, M. Quantifying rock fatigue and decreasing compressive and tensile strength after repeated freeze-thaw cycles. Permafr. Periglac. Process. 2015, 26, 368–377. [Google Scholar] [CrossRef]
- Pei, X.; Meng, M.; Yuan, J.; Wang, D. Freezing-thawing characteristics of fractured rockmass under dry and saturated conditions. Rock Soil Mech. 2017, 38, 1999–2006. [Google Scholar]
- Xia, C.; Lv, Z.; Li, Q.; Huang, J.; Bai, X. Transversely isotropic frost heave of saturated rock under unidirectional freezing condition and induced frost heaving force in cold region tunnels. Cold Reg. Sci. Technol. 2018, 152, 48–58. [Google Scholar] [CrossRef]
- Huang, S.; Lu, Z.; Ye, Z.; Xin, Z. An elastoplastic model of frost deformation for the porous rock under freeze-thaw. Eng. Geol. 2020, 278, 105820. [Google Scholar] [CrossRef]
- Lv, Z.; Luo, S.; Xia, C.; Zeng, X. A Thermal-mechanical coupling elastoplastic model of freeze-thaw deformation for porous rocks. Rock Mech. Rock Eng. 2022, 55, 3195–3212. [Google Scholar] [CrossRef]
- Wang, Z.; Zhao, L.; Tu, Z.; Zhang, Z. Thermal expansion measurement at low temperature using strain gauges. Cryogenics 1999, 1, 18–21. [Google Scholar]
- Zhang, H.; Meng, X.; Yang, G. A study on mechanical properties and damage model of rock subjected to freeze-thaw cycles and confining pressure. Cold Reg. Sci. Technol. 2020, 174, 103056. [Google Scholar] [CrossRef]
- Chen, L.; Li, K.; Song, G.; Zhang, D.; Liu, C. Effect of freeze-thaw cycle on physical and mechanical properties and damage characteristics of sandstone. Sci. Rep. 2021, 11, 12315. [Google Scholar] [CrossRef]
- Zhang, X.; Jin, J.; Liu, X.; Wang, Y.; Li, Y. Study on the Influence of Saturation on Freeze-Thaw Damage Characteristics of Sandstone. Materials 2023, 16, 2309. [Google Scholar] [CrossRef]
- Sun, L.; Tao, S.; Liu, Q. Frost crack propagation and interaction in fissured rocks subjected to freeze-thaw cycles: Experimental and numerical studies. Rock Mech. Rock Eng. 2023, 56, 1077–1097. [Google Scholar] [CrossRef]
- Kang, Z.; Wang, Z.; Shao, L.; Feng, J.; Yao, X. Surface crack evolution patterns in freeze-thaw damage of fissured rock bodies. J. Mt. Sci. 2024, 21, 3094–3107. [Google Scholar] [CrossRef]
- Stępień, P.; Spychał, E. The Use of Thermoporometry in the Study of Frost Resistance of Rocks. Materials 2024, 17, 620. [Google Scholar] [CrossRef]
- Dubale, M.; Vasić, M.V.; Goel, G.; Kalamdhad, A.; Singh, L.B. Utilization of construction and demolition mix waste in the fired brick production: The impact on mechanical properties. Materials 2022, 16, 262. [Google Scholar] [CrossRef] [PubMed]
- Dubale, M.; Vasić, M.V.; Goel, G.; Kalamdhad, A.; Laishram, B. The recycling of demolition roof tile waste as a resource in the manufacturing of fired bricks: A scale-up to the industry. Constr. Build. Mater. 2024, 412, 134727. [Google Scholar] [CrossRef]
- Wu, S.; Li, L.; Zhang, X. Rock Mechanics, 1st ed.; Higher Education Press: Beijing, China, 2021; Volume 14, p. 430. [Google Scholar]
- Lin, H.; Lei, D.; Yong, R.; Jiang, C.; Du, S. Analytical and numerical analysis for frost heaving stress distribution within rock joints under freezing and thawing cycles. Environ. Earth Sci. 2020, 79, 305. [Google Scholar] [CrossRef]
- Qiao, C.; Wang, Y.; Song, Z.; Li, C.; Hou, Z. Experimental study on the evolution characteristics of cyclic frost heaving pressure of saturated fractured granite. Rock Soil Mech. 2021, 42, 6. [Google Scholar]
- Zhang, J.; Wang, G.; Liu, H.; Yang, M.; Ma, C. Characterizing frost heave pressure distribution on rock crack surfaces during freeze-thaw. Eng. Geol. 2023, 324, 107258. [Google Scholar] [CrossRef]















| Category | Crack Length [mm] | Crack Width [mm] | Crack Depth [mm] | Crack Volume * [mm3] | Dry Density [g/cm3] | Saturated Density [g/cm3] | Water Absorption [%] | Porosity [%] |
|---|---|---|---|---|---|---|---|---|
| D1 | 30 | 3 | 20 | 1943 | 2.085 | 2.215 | 6.222 | 13.972 |
| D2 | 30 | 3 | 30 | 2843 | 2.079 | 2.208 | 6.193 | 14.338 |
| D3 | 30 | 3 | 40 | 3743 | 2.073 | 2.201 | 6.142 | 14.660 |
Disclaimer/Publisher’s Note: The statements, opinions and data contained in all publications are solely those of the individual author(s) and contributor(s) and not of MDPI and/or the editor(s). MDPI and/or the editor(s) disclaim responsibility for any injury to people or property resulting from any ideas, methods, instructions or products referred to in the content. |
© 2024 by the authors. Licensee MDPI, Basel, Switzerland. This article is an open access article distributed under the terms and conditions of the Creative Commons Attribution (CC BY) license (https://creativecommons.org/licenses/by/4.0/).
Share and Cite
Han, X.; Sun, G.; Fu, H.; Tan, C.; Huang, Z.; Yin, P.; Zhang, Q.; Fan, W.; Yin, S. Experimental Study on Deformation and Damage Evolution of Cracked Red Sandstone Under Freeze–Thaw Cycles. Appl. Sci. 2024, 14, 11174. https://doi.org/10.3390/app142311174
Han X, Sun G, Fu H, Tan C, Huang Z, Yin P, Zhang Q, Fan W, Yin S. Experimental Study on Deformation and Damage Evolution of Cracked Red Sandstone Under Freeze–Thaw Cycles. Applied Sciences. 2024; 14(23):11174. https://doi.org/10.3390/app142311174
Chicago/Turabian StyleHan, Xize, Guangchen Sun, Helin Fu, Chao Tan, Zailong Huang, Peng Yin, Qishu Zhang, Wenchen Fan, and Shuiping Yin. 2024. "Experimental Study on Deformation and Damage Evolution of Cracked Red Sandstone Under Freeze–Thaw Cycles" Applied Sciences 14, no. 23: 11174. https://doi.org/10.3390/app142311174
APA StyleHan, X., Sun, G., Fu, H., Tan, C., Huang, Z., Yin, P., Zhang, Q., Fan, W., & Yin, S. (2024). Experimental Study on Deformation and Damage Evolution of Cracked Red Sandstone Under Freeze–Thaw Cycles. Applied Sciences, 14(23), 11174. https://doi.org/10.3390/app142311174

