Influence of Surface Material and Nutrient Conditions on Green Fluorescent Protein Production in Escherichia coli Biofilms
Abstract
1. Introduction
2. Materials and Methods
2.1. Study Design and Sample Analysis
2.2. Material Samples
2.3. Surface Characterization
2.3.1. Topography
2.3.2. Morphology
2.3.3. Qualitative Analysis of AFM and SEM Images
2.3.4. Hydrophobicity
2.4. Bacterial Strain and Growth Conditions
2.5. Biofilm Formation
2.6. Biofilm Analysis
2.6.1. Total Cell Count
2.6.2. Culturable Cell Count
2.6.3. eGFP Quantification
2.6.4. Plasmid Copy Number
2.6.5. Biofilm Architecture
2.7. Statistical Analysis
3. Results and Discussion
3.1. Surface Properties
3.2. Effect of Surface Material and Nutrient Composition on Biofilm Formation and eGFP Expression
3.2.1. Biofilm Cell Analysis
3.2.2. eGFP Expression
3.2.3. Plasmid Copy Number
3.2.4. Biofilm Architecture
4. Conclusions
Supplementary Materials
Author Contributions
Funding
Institutional Review Board Statement
Informed Consent Statement
Data Availability Statement
Conflicts of Interest
References
- Goeddel, D.V.; Kleid, D.G.; Bolivar, F.; Heyneker, H.L.; Yansura, D.G.; Crea, R.; Hirose, T.; Kraszewski, A.; Itakura, K.; Riggs, A.D. Expression in Escherichia coli of chemically synthesized genes for human insulin. Proc. Natl. Acad. Sci. USA 1979, 76, 106–110. [Google Scholar] [CrossRef] [PubMed]
- Sanchez-Garcia, L.; Martin, L.; Mangues, R.; Ferrer-Miralles, N.; Vazquez, E.; Villaverde, A. Recombinant pharmaceuticals from microbial cells: A 2015 update. Microb Cell Fact. 2016, 15, 33. [Google Scholar] [CrossRef] [PubMed]
- Puetz, J.; Wurm, F.M. Recombinant Proteins for Industrial versus Pharmaceutical Purposes: A Review of Process and Pricing. Processes 2019, 7, 476. [Google Scholar] [CrossRef]
- Overton, T.W. Recombinant protein production in bacterial hosts. Drug Discov. Today 2014, 19, 590–601. [Google Scholar] [CrossRef]
- Rosano, G.L.; Ceccarelli, E.A. Recombinant protein expression in Escherichia coli: Advances and challenges. Front. Microbiol. 2014, 5, 172. [Google Scholar] [CrossRef]
- Makrides, S.C. Strategies for achieving high-level expression of genes in Escherichia coli. Microbiol. Rev. 1996, 60, 512–538. [Google Scholar] [CrossRef]
- Demain, A.L.; Vaishnav, P. Production of recombinant proteins by microbes and higher organisms. Biotechnol. Adv. 2009, 27, 297–306. [Google Scholar] [CrossRef]
- Chen, R. Bacterial expression systems for recombinant protein production: E. coli and beyond. Biotechnol. Adv. 2012, 30, 1102–1107. [Google Scholar] [CrossRef]
- Rosano, G.L.; Morales, E.S.; Ceccarelli, E.A. New tools for recombinant protein production in Escherichia coli: A 5-year update. Protein Sci. 2019, 28, 1412–1422. [Google Scholar] [CrossRef]
- Schutz, A.; Bernhard, F.; Berrow, N.; Buyel, J.F.; Ferreira-da-Silva, F.; Haustraete, J.; van den Heuvel, J.; Hoffmann, J.E.; de Marco, A.; Peleg, Y.; et al. A concise guide to choosing suitable gene expression systems for recombinant protein production. STAR Protoc. 2023, 4, 102572. [Google Scholar] [CrossRef]
- Mergulhao, F.J.; Summers, D.K.; Monteiro, G.A. Recombinant protein secretion in Escherichia coli. Biotechnol. Adv. 2005, 23, 177–202. [Google Scholar] [CrossRef]
- Makino, T.; Skretas, G.; Georgiou, G. Strain engineering for improved expression of recombinant proteins in bacteria. Microb. Cell Fact. 2011, 10, 32. [Google Scholar] [CrossRef]
- Singha, T.K.; Gulati, P.; Mohanty, A.; Khasa, Y.P.; Kapoor, R.K.; Kumar, S. Efficient genetic approaches for improvement of plasmid based expression of recombinant protein in Escherichia coli: A review. Process Biochem. 2017, 55, 17–31. [Google Scholar] [CrossRef]
- Eskandari, A.; Nezhad, N.G.; Leow, T.C.; Rahman, M.B.A.; Oslan, S.N. Essential factors, advanced strategies, challenges, and approaches involved for efficient expression of recombinant proteins in Escherichia coli. Arch. Microbiol. 2024, 206, 152. [Google Scholar] [CrossRef] [PubMed]
- Soares, A.; Azevedo, A.; Gomes, L.C.; Mergulhao, F.J. Recombinant protein expression in biofilms. AIMS Microbiol. 2019, 5, 232–250. [Google Scholar] [CrossRef] [PubMed]
- Sorensen, H.P.; Mortensen, K.K. Advanced genetic strategies for recombinant protein expression in Escherichia coli. J. Biotechnol. 2005, 115, 113–128. [Google Scholar] [CrossRef]
- Gomes, L.; Mergulhão, F. Heterologous protein production in Escherichia coli biofilms: A non-conventional form of high cell density cultivation. Process Biochem. 2017, 57, 1–8. [Google Scholar] [CrossRef]
- Haddadin, F.T.; Harcum, S.W. Transcriptome profiles for high-cell-density recombinant and wild-type Escherichia coli. Biotechnol. Bioeng. 2005, 90, 127–153. [Google Scholar] [CrossRef]
- Hoffmann, F.; Rinas, U. Stress induced by recombinant protein production in Escherichia coli. Adv. Biochem. Eng. Biotechnol. 2004, 89, 73–92. [Google Scholar] [CrossRef]
- Huang, C.T.; Peretti, S.W.; Bryers, J.D. Effects of medium carbon-to-nitrogen ratio on biofilm formation and plasmid stability. Biotechnol. Bioeng. 1994, 44, 329–336. [Google Scholar] [CrossRef]
- Halan, B.; Buehler, K.; Schmid, A. Biofilms as living catalysts in continuous chemical syntheses. Trends Biotechnol. 2012, 30, 453–465. [Google Scholar] [CrossRef] [PubMed]
- Rosche, B.; Li, X.Z.; Hauer, B.; Schmid, A.; Buehler, K. Microbial biofilms: A concept for industrial catalysis? Trends Biotechnol. 2009, 27, 636–643. [Google Scholar] [CrossRef]
- Carvalho, F.M.; Azevedo, A.; Ferreira, M.M.; Mergulhao, F.J.M.; Gomes, L.C. Advances on Bacterial and Fungal Biofilms for the Production of Added-Value Compounds. Biology 2022, 11, 1126. [Google Scholar] [CrossRef] [PubMed]
- Soares, A.; Gomes, L.; Monteiro, G.; Mergulhao, F. The Influence of Nutrient Medium Composition on Escherichia coli Biofilm Development and Heterologous Protein Expression. Appl. Sci. 2021, 11, 8667. [Google Scholar] [CrossRef]
- Gomes, L.; Monteiro, G.; Mergulhao, F. The Impact of IPTG Induction on Plasmid Stability and Heterologous Protein Expression by Escherichia coli Biofilms. Int. J. Mol. Sci. 2020, 21, 576. [Google Scholar] [CrossRef]
- Soares, A.; Gomes, L.C.; Mergulhão, F.J. Comparing the Recombinant Protein Production Potential of Planktonic and Biofilm Cells. Microorganisms 2018, 6, 48. [Google Scholar] [CrossRef]
- Gomes, L.C.; Mergulhao, F.J. Effects of antibiotic concentration and nutrient medium composition on Escherichia coli biofilm formation and green fluorescent protein expression. FEMS Microbiol. Lett. 2017, 364, fnx042. [Google Scholar] [CrossRef]
- Gomes, L.C.; Carvalho, D.; Briandet, R.; Mergulhao, F.J. Temporal variation of recombinant protein expression in Escherichia coli biofilms analysed at single-cell level. Process Biochem. 2016, 51, 1155–1161. [Google Scholar] [CrossRef]
- Teodosio, J.S.; Simoes, M.; Melo, L.F.; Mergulhao, F.J. Flow cell hydrodynamics and their effects on E. coli biofilm formation under different nutrient conditions and turbulent flow. Biofouling 2011, 27, 1–11. [Google Scholar] [CrossRef]
- Carvalho, F.M.; Teixeira-Santos, R.; Mergulhao, F.J.M.; Gomes, L.C. Effect of Lactobacillus plantarum Biofilms on the Adhesion of Escherichia coli to Urinary Tract Devices. Antibiotics 2021, 10, 966. [Google Scholar] [CrossRef]
- Carvalho, F.M.; Teixeira-Santos, R.; Mergulhao, F.J.M.; Gomes, L.C. The Use of Probiotics to Fight Biofilms in Medical Devices: A Systematic Review and Meta-Analysis. Microorganisms 2020, 9, 27. [Google Scholar] [CrossRef] [PubMed]
- Gomes, L.C.; Silva, L.N.; Simoes, M.; Melo, L.F.; Mergulhao, F.J. Escherichia coli adhesion, biofilm development and antibiotic susceptibility on biomedical materials. J. Biomed. Mater. Res. A 2015, 103, 1414–1423. [Google Scholar] [CrossRef] [PubMed]
- Moreira, J.M.R.; Ponmozhi, J.; Campos, J.B.L.M.; Miranda, J.M.; Mergulhao, F.J. Micro- and macro-flow systems to study Escherichia coli adhesion to biomedical materials. Chem. Eng. Sci. 2015, 126, 440–445. [Google Scholar] [CrossRef]
- Moreira, J.M.R.; Simões, M.; Melo, L.F.; Mergulhão, F.J. Escherichia coli adhesion to surfaces—A thermodynamic assessment. Colloid Polym. Sci. 2014, 293, 177–185. [Google Scholar] [CrossRef]
- Ercan, D.; Demirci, A. Current and future trends for biofilm reactors for fermentation processes. Crit. Rev. Biotechnol. 2015, 35, 1–14. [Google Scholar] [CrossRef]
- Ercan, D.; Pongtharangkul, T.; Demirci, A.; Pometto, A.L., III. Applications of Biofilm Reactors for Production of Value-Added Products by Microbial Fermentation. In Biofims in the Food Environment; John Wiley & Sons, Ltd.: Hoboken, NJ, USA, 2015. [Google Scholar]
- Brinson, H.; Brinson, L.; Brinson, H.; Brinson, L. Characteristics, Applications and Properties of Polymers. In Polymer Engineering Science and Viscoelasticity: An Introduction; Springer: Boston, MA, USA, 2008; pp. 55–97. [Google Scholar]
- Broedel, S.E.; Papciak, S.M.; Jones, W.R. The Selection of Optimum Media Formulations for Improved Expression of Recombinant Proteins in E. coli. Tech. Bull.—Athena Enzym. Syst. Group 2001, 2, 1–8. [Google Scholar]
- Bryers, J.D.; Huang, C.T. Recombinant plasmid retention and expression in bacterial biofilm cultures. Water Sci. Technol. 1995, 31, 105–115. [Google Scholar] [CrossRef]
- O’Kennedy, R.D.; Patching, J.W. Effects of medium composition and nutrient limitation on loss of the recombinant plasmid pLG669-z and beta-galactosidase expression by Saccharomyces cerevisiae. J. Ind. Microbiol. Biotechnol. 1997, 18, 319–325. [Google Scholar] [CrossRef]
- Rochex, A.; Lebeault, J.M. Effects of nutrients on biofilm formation and detachment of a Pseudomonas putida strain isolated from a paper machine. Water Res. 2007, 41, 2885–2892. [Google Scholar] [CrossRef]
- Ahmad, I.; Nawaz, N.; Darwesh, N.M.; Ur Rahman, S.; Mustafa, M.Z.; Khan, S.B.; Patching, S.G. Overcoming challenges for amplified expression of recombinant proteins using Escherichia coli. Protein Expr. Purif. 2018, 144, 12–18. [Google Scholar] [CrossRef]
- Blommel, P.G.; Becker, K.J.; Duvnjak, P.; Fox, B.G. Enhanced bacterial protein expression during auto-induction obtained by alteration of lac repressor dosage and medium composition. Biotechnol. Prog. 2007, 23, 585–598. [Google Scholar] [CrossRef] [PubMed]
- Studier, F.W. Protein production by auto-induction in high density shaking cultures. Protein Expr. Purif. 2005, 41, 207–234. [Google Scholar] [CrossRef] [PubMed]
- Matsui, T.; Sato, H.; Sato, S.; Mukataka, S.; Takahashi, J. Effects of nutritional conditions on plasmid stability and production of tryptophan synthase by a recombinant Escherichia coli. Agric. Biol. Chem. 1990, 54, 619–624. [Google Scholar] [CrossRef] [PubMed]
- Schaepe, S.; Kuprijanov, A.; Simutis, R.; Lubbert, A. Avoiding overfeeding in high cell density fed-batch cultures of E. coli during the production of heterologous proteins. J. Biotechnol. 2014, 192 Pt A, 146–153. [Google Scholar] [CrossRef] [PubMed]
- Müller-Renno, C.; Buhl, S.; Davoudi, N.; Aurich, J.C.; Ripperger, S.; Ulber, R.; Muffler, K.; Ziegler, C. Novel Materials for Biofilm Reactors and their Characterization. In Productive Biofilms; Muffler, K., Ulber, R., Eds.; Advances in Biochemical Engineering/Biotechnology; Springer: Cham, Switzerland, 2014; pp. 207–233. [Google Scholar]
- Syron, E.; Semmens, M.J.; Casey, E. Performance analysis of a pilot-scale membrane aerated biofilm reactor for the treatment of landfill leachate. Chem. Eng. J. 2015, 273, 120–129. [Google Scholar] [CrossRef]
- Syron, E.; Casey, E. Model-based comparative performance analysis of membrane aerated biofilm reactor configurations. Biotechnol. Bioeng. 2008, 99, 1361–1373. [Google Scholar] [CrossRef]
- Romeu, M.J.L.; Dominguez-Perez, D.; Almeida, D.; Morais, J.; Campos, A.; Vasconcelos, V.; Mergulhao, F.J.M. Characterization of planktonic and biofilm cells from two filamentous cyanobacteria using a shotgun proteomic approach. Biofouling 2020, 36, 631–645. [Google Scholar] [CrossRef]
- Van Oss, C. Interfacial Forces in Aqueous Media, 2nd ed.; CRC Press: Boca Raton, FL, USA, 2006. [Google Scholar]
- Janczuk, B.; Chibowski, E.; Bruque, J.M.; Kerkeb, M.L.; Caballero, F.G. On the Consistency of Surface Free Energy Components as Calculated from Contact Angles of Different Liquids: An Application to the Cholesterol Surface. J. Colloid Interface Sci. 1993, 2, 421–428. [Google Scholar] [CrossRef]
- Yanisch-Perron, C.; Vieira, J.; Messing, J. Improved M13 phage cloning vectors and host strains: Nucleotide sequences of the M13mp18 and pUC19 vectors. Gene 1985, 33, 103–119. [Google Scholar] [CrossRef]
- Gomes, L.C.; Moreira, J.M.; Teodosio, J.S.; Araujo, J.D.; Miranda, J.M.; Simoes, M.; Melo, L.F.; Mergulhao, F.J. 96-well microtiter plates for biofouling simulation in biomedical settings. Biofouling 2014, 30, 535–546. [Google Scholar] [CrossRef]
- Teodosio, J.S.; Silva, F.C.; Moreira, J.M.; Simoes, M.; Melo, L.F.; Alves, M.A.; Mergulhao, F.J. Flow cells as quasi-ideal systems for biofouling simulation of industrial piping systems. Biofouling 2013, 29, 953–966. [Google Scholar] [CrossRef] [PubMed]
- Alves, P.; Gomes, L.C.; Vorobii, M.; Rodriguez-Emmenegger, C.; Mergulhao, F.J. The potential advantages of using a poly(HPMA) brush in urinary catheters: Effects on biofilm cells and architecture. Colloids Surf. B Biointerfaces 2020, 191, 110976. [Google Scholar] [CrossRef]
- Mergulhao, F.J.; Monteiro, G.A. Analysis of factors affecting the periplasmic production of recombinant proteins in Escherichia coli. J. Microbiol. Biotechnol. 2007, 17, 1236–1241. [Google Scholar]
- Soares, A.; Gomes, L.C.; Monteiro, G.A.; Mergulhao, F.J. Hydrodynamic Effects on Biofilm Development and Recombinant Protein Expression. Microorganisms 2022, 10, 931. [Google Scholar] [CrossRef] [PubMed]
- Heydorn, A.; Nielsen, A.T.; Hentzer, M.; Sternberg, C.; Givskov, M.; Ersboll, B.K.; Molin, S. Quantification of biofilm structures by the novel computer program COMSTAT. Microbiology 2000, 146 Pt 10, 2395–2407. [Google Scholar] [CrossRef] [PubMed]
- Huang, C.T.; Peretti, S.W.; Bryers, J.D. Effects of inducer levels on a recombinant bacterial biofilm formation and gene expression. Biotechnol. Lett. 1994, 16, 903–908. [Google Scholar] [CrossRef]
- Huang, C.T.; Peretti, S.W.; Bryers, J.D. Plasmid retention and gene expression in suspended and biofilm cultures of recombinant Escherichia coli DH5alpha(pMJR1750). Biotechnol. Bioeng. 1992, 41, 211–220. [Google Scholar] [CrossRef]
- O’Connell, H.A.; Niu, C.; Gilbert, E.S. Enhanced high copy number plasmid maintenance and heterologous protein production in an Escherichia coli biofilm. Biotechnol. Bioeng. 2007, 97, 439–446. [Google Scholar] [CrossRef]
- Chien, H.W.; Chen, X.Y.; Tsai, W.P.; Lee, M. Inhibition of biofilm formation by rough shark skin-patterned surfaces. Colloids Surf. B Biointerfaces 2020, 186, 110738. [Google Scholar] [CrossRef]
- Krsmanovic, M.; Biswas, D.; Ali, H.; Kumar, A.; Ghosh, R.; Dickerson, A.K. Hydrodynamics and surface properties influence biofilm proliferation. Adv. Colloid Interface Sci. 2021, 288, 102336. [Google Scholar] [CrossRef]
- Braem, A.; Van Mellaert, L.; Mattheys, T.; Hofmans, D.; De Waelheyns, E.; Geris, L.; Anne, J.; Schrooten, J.; Vleugels, J. Staphylococcal biofilm growth on smooth and porous titanium coatings for biomedical applications. J. Biomed. Mater. Res. A 2014, 102, 215–224. [Google Scholar] [CrossRef] [PubMed]
- Yoda, I.; Koseki, H.; Tomita, M.; Shida, T.; Horiuchi, H.; Sakoda, H.; Osaki, M. Effect of surface roughness of biomaterials on Staphylococcus epidermidis adhesion. BMC Microbiol. 2014, 14, 234. [Google Scholar] [CrossRef]
- Wu, S.; Zhang, B.; Liu, Y.; Suo, X.; Li, H. Influence of surface topography on bacterial adhesion: A review (Review). Biointerphases 2018, 13, 060801. [Google Scholar] [CrossRef] [PubMed]
- Parreira, P.; Magalhaes, A.; Goncalves, I.C.; Gomes, J.; Vidal, R.; Reis, C.A.; Leckband, D.E.; Martins, M.C. Effect of surface chemistry on bacterial adhesion, viability, and morphology. J. Biomed. Mater. Res. A 2011, 99, 344–353. [Google Scholar] [CrossRef]
- Goyal, D.; Sahni, G.; Sahoo, D.K. Enhanced production of recombinant streptokinase in Escherichia coli using fed-batch culture. Bioresour. Technol. 2009, 100, 4468–4474. [Google Scholar] [CrossRef] [PubMed]
- Kweon, D.H.; Han, N.S.; Park, K.M.; Seo, J.H. Overproduction of Phytolacca insularis protein in batch and fed-batch culture of recombinant Escherichia coli. Process. Biochem. 2001, 36, 537–542. [Google Scholar] [CrossRef]
- Yoon, S.K.; Kang, W.K.; Park, T.H. Fed-batch operation of recombinant Escherichia coli containing trp promoter with controlled specific growth rate. Biotechnol. Bioeng. 1994, 43, 995–999. [Google Scholar] [CrossRef]
- Grossman, T.H.; Kawasaki, E.S.; Punreddy, S.R.; Osburne, M.S. Spontaneous cAMP-dependent derepression of gene expression in stationary phase plays a role in recombinant expression instability. Gene 1998, 209, 95–103. [Google Scholar] [CrossRef]
- Mergulhão, F.J.; Monteiro, G.A.; Cabral, J.M.S.; Taipas, M.A. Design of bacterial vector systems for the production of recombinant proteins in Escherichia coli. J. Microbiol. Biotechnol. 2004, 14, 1–14. [Google Scholar]
- Monmeyran, A.; Thomen, P.; Jonquiere, H.; Sureau, F.; Li, C.; Plamont, M.A.; Douarche, C.; Casella, J.F.; Gautier, A.; Henry, N. The inducible chemical-genetic fluorescent marker FAST outperforms classical fluorescent proteins in the quantitative reporting of bacterial biofilm dynamics. Sci. Rep. 2018, 8, 10336. [Google Scholar] [CrossRef]



), TB (
), and M9ZB (
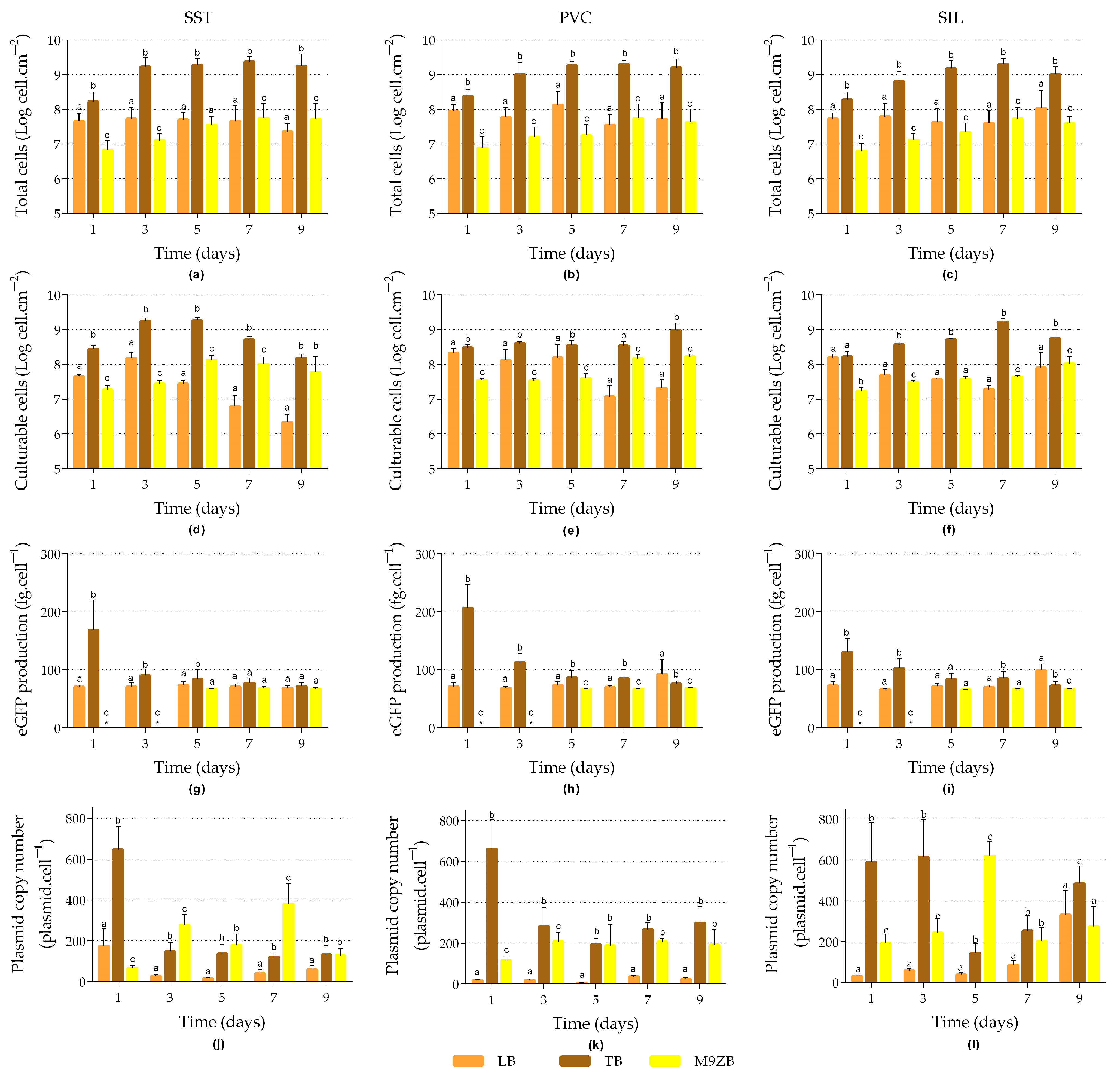
) on stainless steel (SST; left column), polyvinyl chloride (PVC; middle column), and silicone rubber (SIL; right column), concerning the number of biofilm total cells (a–c), culturable cells (d–f), eGFP production (g–i), and plasmid copy number (j–l). * not quantifiable. The means ± standard variations (SD) from three independent experiments are presented. Different lowercase letters indicate statistically significant differences between culture media on each day (p < 0.05).
), TB (
), and M9ZB (
) on stainless steel (SST; left column), polyvinyl chloride (PVC; middle column), and silicone rubber (SIL; right column), concerning the number of biofilm total cells (a–c), culturable cells (d–f), eGFP production (g–i), and plasmid copy number (j–l). * not quantifiable. The means ± standard variations (SD) from three independent experiments are presented. Different lowercase letters indicate statistically significant differences between culture media on each day (p < 0.05).

), Terrific broth (TB;
), and M9ZB broth (M9ZB;
) media for 9 days. The means ± standard deviations (SDs) for three independent experiments are presented. Different lowercase letters indicate statistically significant differences between culture media on each surface (p < 0.05).
), Terrific broth (TB;
), and M9ZB broth (M9ZB;
) media for 9 days. The means ± standard deviations (SDs) for three independent experiments are presented. Different lowercase letters indicate statistically significant differences between culture media on each surface (p < 0.05).
| LB Medium (a) | TB Medium | M9ZB Medium |
|---|---|---|
| 10 g·L−1 Tryptone 5 g·L−1 Yeast extract 5 g·L−1 NaCl | 12 g·L−1 Bacto tryptone (b) 24 g·L−1 Yeast extract (a) 4 mL·L−1 Glycerol (b) 2.31 g·L−1 KH2PO4 (b) 12.54 g·L−1 K2HPO4 (a) | 10 g·L−1 N-Z-amine A (a) 5 g·L−1 NaCl (b) 1 mL·L−1 1 M MgSO4 (c) 10 mL·L−1 40% Glucose (a) 1 g·L−1 NH4Cl (d) 3 g·L−1 KH2PO4 (b) 6 g·L−1 Na2HPO4.7H2O (b) |
| Surface | Roughness | Hydrophobicity |
|---|---|---|
| Ra (nm) | (mJ·m−2) | |
| SST | 43.5 (±9.2) | −10.9 |
| PVC | 31.7 (±12.0) | −12.3 |
| SIL | 565.0 (±61.2) | −75.0 |
Disclaimer/Publisher’s Note: The statements, opinions and data contained in all publications are solely those of the individual author(s) and contributor(s) and not of MDPI and/or the editor(s). MDPI and/or the editor(s) disclaim responsibility for any injury to people or property resulting from any ideas, methods, instructions or products referred to in the content. |
© 2024 by the authors. Licensee MDPI, Basel, Switzerland. This article is an open access article distributed under the terms and conditions of the Creative Commons Attribution (CC BY) license (https://creativecommons.org/licenses/by/4.0/).
Share and Cite
Azevedo, A.; Teixeira-Santos, R.; Carvalho, F.M.; Gomes, L.C.; Monteiro, G.A.; Mergulhão, F.J. Influence of Surface Material and Nutrient Conditions on Green Fluorescent Protein Production in Escherichia coli Biofilms. Appl. Sci. 2024, 14, 11029. https://doi.org/10.3390/app142311029
Azevedo A, Teixeira-Santos R, Carvalho FM, Gomes LC, Monteiro GA, Mergulhão FJ. Influence of Surface Material and Nutrient Conditions on Green Fluorescent Protein Production in Escherichia coli Biofilms. Applied Sciences. 2024; 14(23):11029. https://doi.org/10.3390/app142311029
Chicago/Turabian StyleAzevedo, Ana, Rita Teixeira-Santos, Fábio M. Carvalho, Luciana C. Gomes, Gabriel A. Monteiro, and Filipe J. Mergulhão. 2024. "Influence of Surface Material and Nutrient Conditions on Green Fluorescent Protein Production in Escherichia coli Biofilms" Applied Sciences 14, no. 23: 11029. https://doi.org/10.3390/app142311029
APA StyleAzevedo, A., Teixeira-Santos, R., Carvalho, F. M., Gomes, L. C., Monteiro, G. A., & Mergulhão, F. J. (2024). Influence of Surface Material and Nutrient Conditions on Green Fluorescent Protein Production in Escherichia coli Biofilms. Applied Sciences, 14(23), 11029. https://doi.org/10.3390/app142311029

