Next Article in Journal
CFD Study of the Impact of an Electrical Power Transformer on a Historical Building: Assessment and Solutions
Next Article in Special Issue
Potential Impacts of Artificial Intelligence (AI) in Biotechnology
Previous Article in Journal
Design and Analysis of Additional Tendon Path for Determining Bending Shape in Hyper-Redundant Manipulator with Rolling Joints
Previous Article in Special Issue
Helping CNAs Generate CVSS Scores Faster and More Confidently Using XAI
 
 
Font Type:
Arial Georgia Verdana
Font Size:
Aa Aa Aa
Line Spacing:
Column Width:
Background:
Article

Interpreting CNN-RNN Hybrid Model-Based Ensemble Learning with Explainable Artificial Intelligence to Predict the Performance of Li-Ion Batteries in Drone Flights

1
Department of Computer and Instructional Technologies Education, Gazi University, Ankara 06560, Türkiye
2
Faculty of Engineering, Department of Computer Engineering, Adıyaman University, Adıyaman 02040, Türkiye
3
Mobilers Team, Sivas Cumhuriyet University, Sivas 58050, Türkiye
4
Faculty of Engineering, Department of Computer Engineering, Gazi University, Ankara 06570, Türkiye
5
Battery Research Laboratory, Faculty of Engineering and Natural Sciences, Sivas University of Science and Technology, Sivas 58010, Türkiye
*
Author to whom correspondence should be addressed.
Appl. Sci. 2024, 14(23), 10816; https://doi.org/10.3390/app142310816
Submission received: 10 October 2024 / Revised: 12 November 2024 / Accepted: 15 November 2024 / Published: 22 November 2024
(This article belongs to the Special Issue Recent Applications of Explainable AI (XAI))

Abstract

Li-ion batteries are important in modern technology, especially for drones, due to their high energy density, long cycle life, and lightweight properties. Predicting their performance is crucial for enhancing drone flight safety, optimizing operations, and reducing costs. This involves using advanced techniques like machine learning (e.g., Convolutional Neural Network-CNNs, Recurrent Neural Network-RNNs), statistical modeling (e.g., Kalman Filtering), and explainable AI (e.g., SHAP, LIME, PDP) to forecast battery behavior, extend battery life, and improve drone efficiency. The study aims to develop a CNN-RNN-based ensemble model, enhanced with explainable AI, to predict key battery metrics during drone flights. The model’s predictions will aid in enhancing battery performance via continuous, data-driven monitoring, improve drone safety, optimize operations, and reduce greenhouse gas emissions through advanced recycling methods. In the present study, comparisons are made for the behaviors of two different drone Li-ion batteries, numbered 92 and 129. The ensemble model in Drone 92 showed the best performance with MAE (0.00032), RMSE (0.00067), and R2 (0.98665) scores. Similarly, the ensemble model in Drone 129 showed the best performance with MAE (0.00030), RMSE (0.00044), and R2 (0.98094) performance metrics. Similar performance results are obtained in the two predictions. However, drone 129 has a minimally lower error rate. When the Partial Dependence Plots results, which are one of the explainable AI (XAI) techniques, are interpreted with the decision tree algorithm, the effect of the Current (A) value on the model estimations in both drone flights is quite evident. When the current value is around −4, the model is more sensitive and shows more changes. This study will establish benchmarks for future research and foster advancements in drone and battery technologies through extensive testing.
Keywords:
Li-ion; CNN; RNN; ensemble; XAI; PDP

1. Introduction

Li-ion batteries are crucial for modern technology and sustainable development, essential in transitioning to an electrified and environmentally friendly future. Due to its high energy density, low discharge life, high cycle life, and lightweight properties, it has become one of the most widely used battery types today. Therefore, Li-ion batteries are essential for drones due to their characteristics, which align well with drone technology requirements [1]. Accurate prediction of Li-ion battery performance in drone flights is crucial for several reasons. Firstly, it enhances flight safety by preventing unexpected battery failures, which is critical in commercial and industrial applications. This predictability helps mitigate risks and avoid potential accidents and losses. Secondly, it optimizes flight duration and range, allowing drones to cover larger areas and perform tasks more efficiently. Accurate battery performance predictions enable better mission planning and scheduling, which is essential for time-sensitive operations like delivery services and emergency response. Thirdly, it ensures cost-effectiveness by informing maintenance and replacement schedules, extending battery life, and reducing unnecessary expenses. Additionally, performance data analysis supports proactive maintenance strategies, preventing unexpected downtimes and enhancing operational reliability. From an environmental perspective, optimizing battery use reduces waste and promotes sustainability. Efficient energy management minimizes environmental impact and supports the development of more sustainable battery technologies. Lastly, predicting battery performance drives technological advancement, encouraging innovation in drones and battery systems. It enables the development of safer, more efficient, and more powerful drone technologies. Therefore, predicting Li-ion battery performance in drone flights is vital for safety, efficiency, cost savings, environmental sustainability, and technological progress [2].
Performance prediction of Li-ion batteries involves various advanced techniques that leverage data analysis, machine learning, and statistical modeling. Machine learning models such as neural networks, including Convolutional Neural Networks (CNNs) and Recurrent Neural Networks (RNNs), are utilized to capture complex patterns in battery performance data [3]. CNNs handle spatial data effectively, while RNNs are suited for sequential data, making them ideal for predicting battery life cycles and performance trends. Support Vector Machines (SVMs) and Random Forests are also used for regression and classification tasks. They help identify patterns and anomalies in battery data, estimating remaining useful life (RUL) and state of health (SOH) [4]. Statistical and mathematical modeling techniques like Kalman Filtering, Coulomb Counting, and Equivalent Circuit Models (ECMs) are essential for estimating the state of charge (SOC) and simulating battery behavior under different conditions [5]. Data-driven approaches, including Principal Component Analysis (PCA) [6] and Time Series Analysis with methods like ARIMA [7], simplify and model battery data to forecast future performance trends. Hybrid models that combine physics-based and data-driven approaches enhance prediction accuracy and reliability. Explainable AI (XAI) techniques such as SHAP (SHapley Additive exPlanations) [8] and LIME (Local Interpretable Model-agnostic Explanations) [9] make complex models more interpretable by quantifying feature contributions and providing local explanations for individual predictions. Advanced neural networks like Long Short-Term Memory (LSTM) [10] and auto encoders are used for time-series data analysis and anomaly detection. Ensemble learning techniques, including boosting and bagging, combine multiple weak learners to create predictive solid models, enhancing accuracy and reducing overfitting [11]. By employing these techniques, researchers and engineers can develop robust models to predict Li-ion battery performance, optimize usage, and extend battery life, leading to safer and more efficient battery management in various applications.
The advantage of using artificial neural networks to predict the performance of Li-ion batteries in drone flights is that these models can learn complex and non-linear data patterns with high accuracy. Traditional predictive control models have limited ability to adapt to battery variability and unexpected conditions because they are based on certain physical assumptions. In contrast, artificial neural networks, especially deep learning models such as CNN and RNN, are more effective at learning sequential patterns and complex relationships in battery data. This is due to their ability to capture temporal and spatial features. This allows for more flexible and reliable predictions when forecasting trends in battery life, state of charge, and power consumption. In addition, the performance of neural networks improves as the amount of data increases, allowing more successful modeling of the uncertainties that can occur during flight and in different environmental conditions. With these features, artificial neural networks offer a more dynamic and adaptive solution than traditional methods, increasing both the accuracy and operational safety of battery performance prediction.
The study’s primary aim is to leverage a CNN-RNN-based ensemble learning model, enhanced with the XAI model, to predict the performance of Li-ion batteries during drone flights accurately. The study seeks to develop an ensemble learning framework combining CNNs and RNNs to capture spatial and temporal features from battery performance data. The model will predict key performance metrics of Li-ion batteries in drones, such as remaining useful life and charge/discharge efficiency. Additionally, the study aims to integrate explainable AI techniques to interpret the model’s predictions, ensuring transparency and interpretability by identifying which features or data points are most significant in the model’s decision-making process. The research will validate the predictive accuracy of the ensemble learning model through extensive testing and comparison with existing methods, demonstrating its practical applicability in real-world drone flight scenarios for real-time battery performance monitoring. Ultimately, the insights gained from the predictions will be used to optimize drone operation, enhancing flight efficiency, safety, and battery management. Through these efforts, the study aims to provide a robust and interpretable tool for predicting and managing the performance of Li-ion batteries in drones, contributing to safer and more efficient drone operations.
The study will provide significant scientific and practical contributions, particularly in drone technology and battery management. Scientifically, it will advance predictive modeling by leveraging a CNN-RNN-based ensemble learning model to capture spatial and temporal features of Li-ion battery performance data. Integrating XAI techniques will offer deeper insights into the model’s decision-making process, enhancing transparency and trust in AI-based predictions [12]. Extensive testing and validation will establish a benchmark for future research and applications in battery performance prediction, contributing to the broader fields of data science and artificial intelligence. The study will enhance drone safety by accurately predicting battery performance, preventing unexpected failures, and optimizing drone operations for improved flight efficiency and battery management. Real-time monitoring capabilities will enable timely interventions, maintain operational continuity, and reduce costs through better maintenance scheduling and battery replacement planning.
Additionally, improved battery management will extend battery life, reducing environmental impact by minimizing electronic waste. The study’s findings and methodologies will also promote technological advancement in drones and battery systems, fostering innovation and the development of more efficient and reliable drone technologies. Ultimately, the study aims to provide a robust and interpretable tool for predicting and managing the performance of Li-ion batteries in drones, contributing to safer, more efficient, and cost-effective drone operations. In this study, the decisions made by the algorithm were interpreted with PDP (Partial Dependence Plots), one of the XAI techniques. PDP is a technique used to visualize how models’ predictions are related to certain features. It is used primarily to increase the explainability of complex models [13]. This technique visualizes the effect of certain features of the artificial intelligence model on the model’s predictions. It helps to understand how the model responds to certain features. PDP examines a particular feature’s effect on the model’s predictions.

2. Literature Survey Materials and Methods

Li-ion batteries are characterized by several fundamental properties and performance parameters that make them highly effective for various applications. One of their fundamental features is high energy density, allowing them to store a significant amount of energy in a compact and lightweight form, which is crucial for portable electronics and electric vehicles. They also offer a long cycle life, meaning they can undergo numerous charge and discharge cycles with minimal capacity loss, contributing to their durability. Additionally, Li-ion batteries exhibit a low memory effect, which minimizes capacity reduction over time and usage. Their high charge efficiency ensures that most energy stored can be effectively used, reducing energy loss. The batteries also have a low self-discharge rate, meaning they retain their charge over time, which is beneficial for devices that are not frequently used. Key performance parameters include capacity, indicating energy storage, and voltage, representing nominal operating levels. Charging and discharging currents are also critical, determining how quickly the battery can be charged or provide power. Energy density, expressed in watt-hours per kilogram (Wh/kg) or watt-hours per liter (Wh/L), measures the amount of energy the battery can store per unit of weight or volume. Other important parameters include charging time, discharge time, cycle life, and operational temperature range, all of which influence the battery’s usability and longevity. Safety features are also integral, protecting against overcharging, over-discharging, short-circuiting, and overheating. These characteristics and parameters collectively define Li-ion batteries’ efficiency, reliability, and applicability across various technological fields [14,15]. Depending on the modeling method used, Li-ion battery performance models are categorized into three primary types: electrochemical models [16,17], mathematical models [18,19], and electrical models [20,21,22].
Hybrid models that combine these approaches have also been proposed [23,24]. Each type varies in accuracy and complexity. Electrical models are often preferred for integration into system-level simulations due to their balance of high accuracy and moderate computational complexity [25]. Key performance metrics such as battery life, charge-discharge cycles, and capacity degradation are critically defined and analyzed to assess battery systems’ overall performance and reliability. Battery life is often discussed in terms of the number of charge-discharge cycles a battery can undergo before its capacity significantly diminishes. Capacity degradation is often quantified by comparing the battery’s initial capacity to its remaining capacity after a certain number of cycles or over a specific period. These metrics are extensively reviewed and analyzed in academic and industry research to improve battery technologies, enhance performance prediction models, and ensure the reliability and efficiency of battery-operated systems across various applications. Furthermore, battery SOH defines a battery’s current degradation level compared to its starting point of the lifecycle. SOH is mathematically calculated as the current battery capacity ratio to its initial value described in Equation (1).
S O H = C c u r r e n t C i n i t i a l × 100 %
where current and C i n i t i a l denote a battery’s current and initial capacity, respectively.
Machine learning (ML) models are extensively utilized for data-driven state of health (SOH) estimation and remaining useful life (RUL) prediction due to their adaptability, which allows them to track the battery degradation process effectively [26,27]. Achieving accurate SOH estimation necessitates a thorough understanding of the degradation processes that lead to battery failure. However, due to the complex electrochemical dynamics of batteries, grasping the degradation mechanisms is challenging [28], and the ability to match non-linear behaviors is limited [29]. ML models are specialized data analysis tools that learn from data, identify patterns, and make decisions with minimal human intervention [30,31]. Currently, ML-based models are increasingly favored for data-driven SOH estimation and RUL prediction, including neural network (NN)-based models, Gaussian process regression (GPR)-based models [32,33,34,35,36], and random forest (RF)-based models [37,38]. These ML models aim to extract features related to battery degradation from directly measured data such as terminal voltage (V), current (I), temperature (T), and time (t). ML models are employed to estimate the battery’s SOH by learning battery degradation behaviors during training. The recently developed models are summarized in Figure 1.
A data-driven state of health (SOH) estimation model operates using large volumes of data without relying directly on the internal degradation mechanisms of the battery. However, incorporating expert knowledge about these mechanisms can enhance the model’s performance. The model can use both directly measured and indirectly inferred features as inputs, establishing a robust correlation between these features and the battery’s SOH to achieve accurate SOH estimations. Table 1 presents a compilation of cutting-edge data-driven SOH estimation models. This table offers an easy reference for identifying the most advanced benchmarks and the current state-of-art research in battery SOH estimation. Each method listed showcases unique techniques for tasks like State of Health (SOH) estimation and Remaining Useful Life (RUL) prediction. For instance, CNN-AST-LSTM combines 1D-CNN and AST-LSTM for feature extraction with Bayesian optimization for hyperparameter tuning, while RF employs novel SOH indicators for degradation assessment. By positioning our method within this table, we aim to underscore its distinctive contributions, particularly in relation to feature extraction, prediction accuracy, and model adaptability. We will enhance the discussion in the main text to more clearly emphasize how our approach compares to and builds upon these advanced methods.
The development of drone technology has significantly advanced over the past decade, revolutionizing various sectors, including agriculture, logistics, surveillance, and entertainment. One of the critical components driving this technological progress is the Li-ion battery, which provides the necessary power for drones to operate efficiently and effectively. Drone technology has evolved from simple remote-controlled devices to highly sophisticated autonomous systems capable of performing complex tasks. Early drones were limited by short flight times and low payload capacities, but advancements in battery technology have played a crucial role in overcoming these limitations [45]. The introduction of Li-ion batteries, known for their high energy density, lightweight, and long cycle life, has been pivotal in enhancing the performance and capabilities of modern drones [46]. Due to several key advantages, Li-ion batteries have become the preferred choice for powering drones. Their high energy density allows drones to fly longer distances and perform extended missions without frequent recharging [47]. It is crucial in delivery services, where drones must cover significant distances to transport goods [48].
Additionally, their relatively lightweight nature helps optimize the drone’s payload capacity and overall flight dynamics [49]. This weight efficiency is crucial for drones used in precision agriculture and aerial photography, where carrying additional sensors or cameras is necessary. The performance of Li-ion batteries is a critical factor in determining the efficiency and reliability of drone operations. Advanced battery management systems (BMSs) have been developed to monitor and optimize the performance of Li-ion batteries in real-time, ensuring safe and efficient energy usage. As a result, drones powered by Li-ion batteries can achieve higher reliability and longer operational life, reducing maintenance costs and downtime. Looking forward, innovations such as solid-state batteries, which offer higher energy densities and improved safety features, are expected to drive the next wave of advancements in drone technology. Additionally, research into hybrid power systems combining Li-ion batteries with other energy sources, such as solar panels or hydrogen fuel cells, could lead to longer flight times and greater operational flexibility [50].
The performance of Li-ion batteries in drones is significantly affected by the operational conditions encountered during flights. Research has shown that various factors, such as flight duration, payload weight, and environmental conditions, can influence battery performance and longevity. Extended flight times and heavier payloads often increase energy consumption and faster battery depletion. Moreover, temperature fluctuations during flights can adversely affect the chemical stability and capacity of Li-Ion batteries, potentially leading to diminished performance and reduced lifespan [51,52]. Studies have demonstrated that exposure to extreme temperatures can cause irreversible damage to battery cells, impacting their efficiency and safety [53]. ML methods have been increasingly used to model and predict battery performance to address these challenges. Advanced ML techniques, including CNNs and RNNs, have been employed to forecast the state-of-charge (SoC) and state-of-health (SOH) of batteries based on real-time flight data. Ensemble learning approaches have also been applied to enhance prediction accuracy by combining multiple models to handle the complexities of battery behavior better [8,46]. These ML models can analyze flight parameters such as speed, altitude, and temperature to provide more precise forecasts of battery performance, aiding in developing effective battery management systems (BMSs). As research progresses, integrating ML with predictive maintenance systems and exploring new battery technologies are expected to further improve battery performance and operational safety in drones [54].

3. Materials and Methods

3.1. Basic Features of Li-Ion Batteries

Electric vehicle batteries are usually made up of Li-ion batteries. Li-ion batteries have a wide range of applications, from mobile devices to electric vehicles. For this reason, Li-ion batteries have many advantages. Batteries in electric vehicles have technology that allows energy storage [55]. These batteries have a higher power density and a longer lifespan than traditional batteries. They also charge faster up to a certain level, making them lighter batteries. Li-ion batteries consist of four essential components: cathode (positive terminal), anode (negative terminal), electrolyte (the medium that provides electrical conduction), and separator. An electric current must first be generated to pass through both terminals for a Li-ion battery to work. When current is applied, the positively and negatively charged lithium ions in the liquid electrolyte section move between the anode and cathode. This way, the electrical energy stored inside is transferred from the battery to the necessary equipment. It allows the battery to perform all the functions of the device it is in, depending on its power density [56].

3.2. Drone Technology and Flight Dynamics

Drone technology has rapidly advanced, significantly improving flight dynamics and performance. Modern drones leverage sophisticated flight control systems, aerodynamic designs, and advanced materials to enhance stability, maneuverability, and efficiency. Flight dynamics, which encompass the study of forces and moments affecting a drone in flight, are critical for optimizing its performance. Factors influencing flight dynamics include payload weight, battery life, aerodynamic drag, and thrust generation. The table below summarizes various drone types and their corresponding flight characteristics, while the figure illustrates the fundamental forces of flight dynamics.
Figure 2 shows fundamental forces in drone flight dynamics, including thrust, drag, lift, and weight. Table 2 compares drone types, highlighting their payload capacities, flight times, maximum speeds, and control systems. Multirotor drones, known for their vertical takeoff and landing capabilities, are limited by their shorter flight times and lower speeds but offer excellent maneuverability. Fixed-wing drones, on the other hand, are designed for longer flight times and higher speeds due to their aerodynamic efficiency, making them suitable for extended missions. Hybrid VTOL drones combine the benefits of both designs, providing vertical takeoff and landing with the extended flight times and speeds of fixed-wing drones. Figure 2 illustrates the fundamental forces acting on a drone during flight: thrust, which propels the drone forward; drag, the resistance encountered; lift, which counteracts weight and keeps the drone airborne; and weight, the force of gravity pulling the drone down. Understanding these forces is crucial for optimizing drone performance and enhancing flight stability.

3.3. Artificial Intelligence Models

A CNN is a deep learning model commonly used in image processing and computer vision. CNNs contain convolution, pooling, and fully connected layers to learn image features [57] automatically. One-dimensional Convolutional Neural Network (1D CNN) architecture was used in this study. This model is designed as a simple CNN architecture that works specifically on time series data or one-dimensional data.
An RNN is a deep learning model that works with time series or sequential data. RNNs can learn correlations in sequential data by remembering information from previous steps [58].
A CNN + RNN model is a combination of various classification and regression tasks because they can capture both local and consecutive features of the input data [58,59]. In the model, a CNN uses convolution layers to extract local features from this data. Time series data can be organized in 2D or 3D format. An RNN learns the correlations between consecutive data by processing these features over time after the features are extracted and can make more meaningful predictions.
An ensemble model achieves better performance by combining multiple models. In this study, performance comparisons were made with deep ensemble learning using CNN, RNN, and CNN + RNN hybrid approaches. In this study, an averaging technique from ensemble techniques was applied. This technique provides more stable and accurate predictions by taking the average of each model’s prediction in regression problems [60].
An XAI model is a field that makes the decision-making processes and outcomes of AI systems more understandable. It helps users and developers understand how AI works, what data it uses, and how it reaches certain conclusions with transparency, traceability, understandability, and bias [12].
The study used the CNN, RNN, and CNN + RNN hybrid approaches from deep learning (DL) models. DL algorithms can process large datasets. Especially with complex data such as images, audio, and text, DL can automatically extract features and perform better than traditional machine learning methods [61]. Deep ensemble learning models used in the research combine the advantages of both deep learning models and ensemble learning, ensuring that the final model has better generalization performance [62]. In this study, the total average of the CNN, RRN, and CNN + RNN algorithms was taken with averaging, one of the ensemble techniques. Figure 3 shows the flows of the study and the deep ensemble learning methods. As seen in the figure, the weighted average of CNN, RNN, and CNN + RNN model results was taken.

3.4. Study Work Flow

Figure 3 shows the study flow chart of the deep learning-based ensemble learning method analysis performed on two different drone flight data.

3.5. Data Collection and Pre-Processing

Two different datasets used in this study have been preprocessed. Incorrect data have been cleaned, and a zero (0) value has been entered for missing data. Two different datasets have been used to make comparisons within the scope of the study. The data of drone flight number 129 has 46.170 rows and consists of the columns State, Cycle, Current (A), Capacity (Ah), and Relative Time (h:min:s.ms). The data of drone flight number 92 has 50.383 rows and includes the columns State, Cycle, Current (A), Capacity (Ah), and Relative Time (h:min:s.ms). The two datasets were analyzed and compared separately using deep learning techniques: CNN, RNN, the CNN + RNN hybrid approach, and the ensemble technique.

4. Results

In this study, a CNN- and RNN-based deep learning model was developed to predict the drone flight performance of Li-ion batteries. The model has great potential in applications such as real-time battery monitoring, increasing flight safety, and optimizing operational efficiency by successfully predicting important battery performance metrics during drone flights. In the tests conducted on two different drone datasets, the use of the proposed hybrid CNN-RNN model and XAI techniques significantly improved the accuracy and interpretability of the predictions. The results obtained show that the model has the capacity to be a reference in extending battery life and in the process of developing sustainable drone technology.

4.1. Convolutional Neural Network (CNN) Model

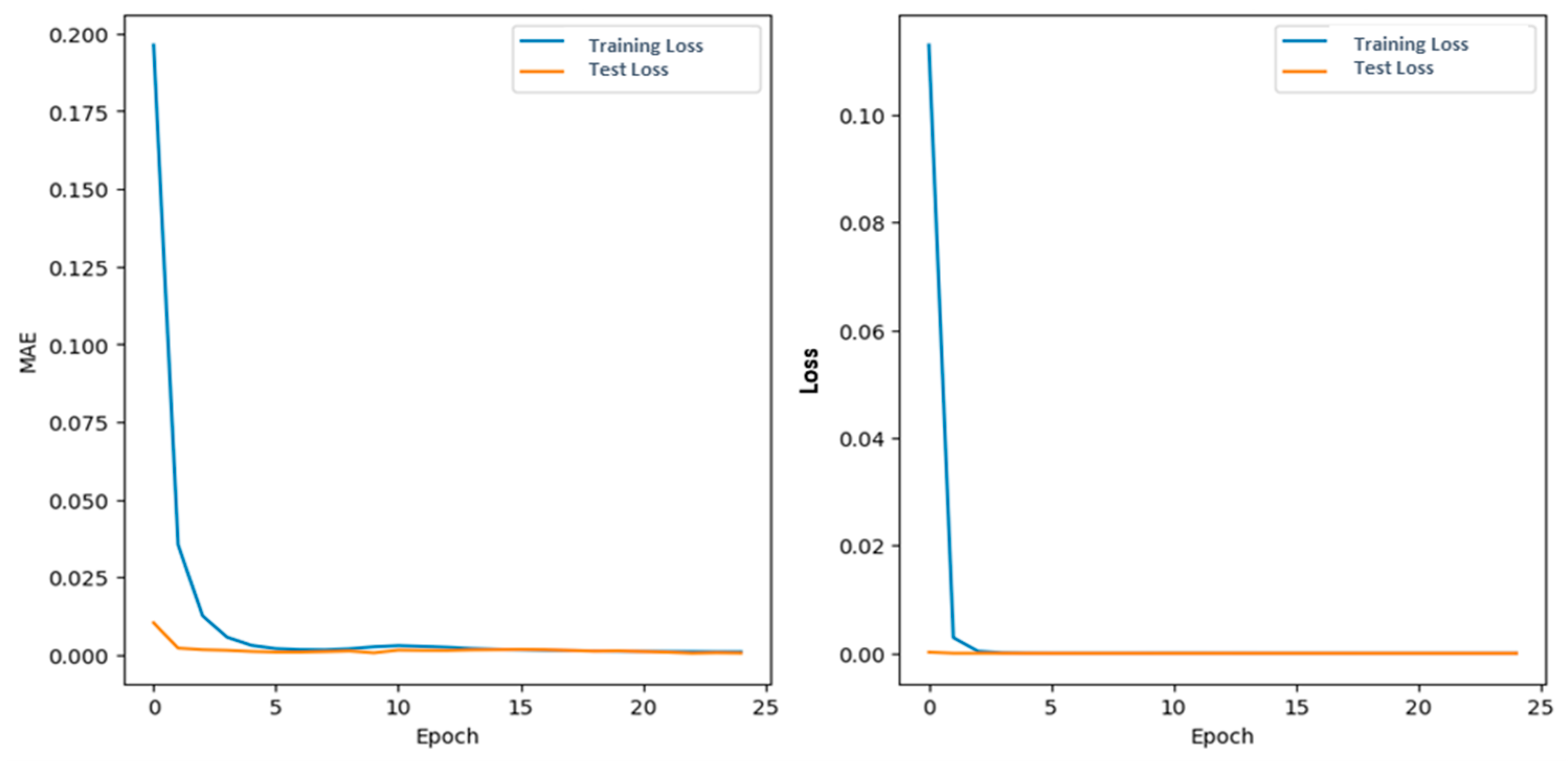
The first graph in Figure 4 shows the changes in the MAE (Mean Absolute Error) and loss metrics during the training process of the CNN model. The training MAE shows the model’s prediction error on the training set. When the graph is examined, it is seen that the training MAE drops rapidly from the first epoch and stabilizes after approximately the 5th epoch. It shows that the model fits the training set well. The loss in the second graph, the training loss, and the validation loss decrease rapidly. The validation loss is also at a similarly low level.
In the first graph in Figure 5, the training MAE decreases rapidly in the first epoch and reaches a constant level. The validation MAE remains at a more stable and low value. It shows that the model does not overfit. In the second graph, the training loss decreases rapidly and stabilizes at a low level. The validation loss remains low in parallel with the training loss and reaches a constant level.

4.2. Recurrent Neural Networks (RNNs) Model

The first graph in Figure 6 shows the changes in the MAE and loss metrics during the training process of the RNN model. The training MAE shows the model’s prediction error on the training set. When the graph is examined, it is observed that the training MAE drops rapidly from the first epoch and stabilizes after approximately the 5th epoch. It shows that the model is well adapted to the training set.
In the first graph in Figure 7, the training MAE shows a significant decrease in the first epoch and stabilizes at a low level. The validation MAE moves in line with the training MAE and remains at a low value. In the second graph, the training loss and validation loss decrease rapidly, and the validation loss stabilizes at a similarly low level.

4.3. CNN + RNN Hybrid Model

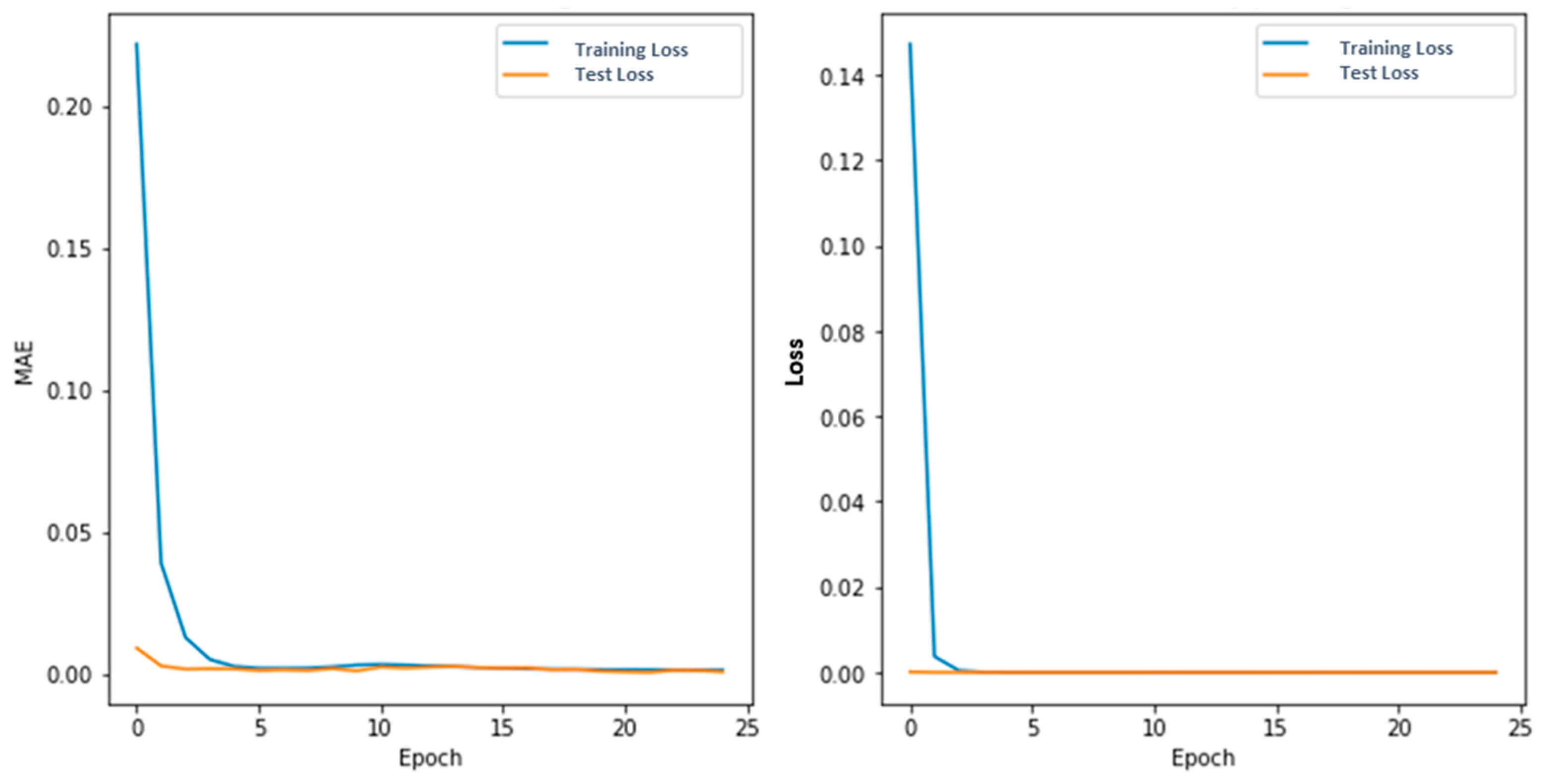
The first graph in Figure 8 shows the changes in the MAE and loss metrics during the training process of the CNN + RNN model. Training MAE shows the model’s prediction error on the training set. When the graph is examined, the training MAE has decreased rapidly since the first epoch. It shows that the model has adapted well to the training set. In the second graph, the training loss decreases rapidly in the first few epochs and then approaches almost zero. It shows that the model has adapted quickly to the training set and has been successful in learning.
In the first graph in Figure 9, the training MAE shows a significant decrease in the first epoch and stabilizes at a low level. The validation MAE moves in line with the training MAE and remains at a low value. In the second graph, the training loss decreases rapidly, and the validation loss similarly stabilizes at a low level.
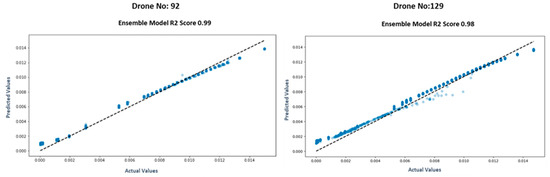
The model trained with Drone No: 92 predicted and actual values closely match with the R2 score of 0.99. The data is almost perfectly aligned at 45 degrees (dashed line, Figure 10). It shows that the model’s predictive power is very high, which can predict the actual values.
There is also a strong agreement between the model’s predicted and actual values, as can be seen from the R2 score of 0.98 trained with Drone No: 129. However, compared to the left graph in Figure 10, there is a little more spread in this graph. It indicates that the model’s performance is slightly lower but has relatively solid predictive power overall.
In drone data number 92, the deep ensemble learning model had a 0.0003267631 MAE, with an R2 value of 0.986658468, and generally exhibited the best prediction performance compared to other model comparisons. The CNN + RNN hybrid model exhibited a high RMSE performance of 0.0004640816. RNN and CNN models exhibited similar performance, but CNN had the lowest prediction performance among these four models (Table 3).
In the data of drone number 129, the deep ensemble learning model generally exhibited the best prediction performance compared to other model comparisons with a 0.00030177 MAE, 0.980946 R2, and 0.00044389 RMSE value. The CNN + RNN hybrid model exhibited high performance in terms of RMSE performance. RNN and CNN models exhibited similar performance, but CNN had the lowest prediction performance among these four models (Table 4).

4.4. Explainable AI Model

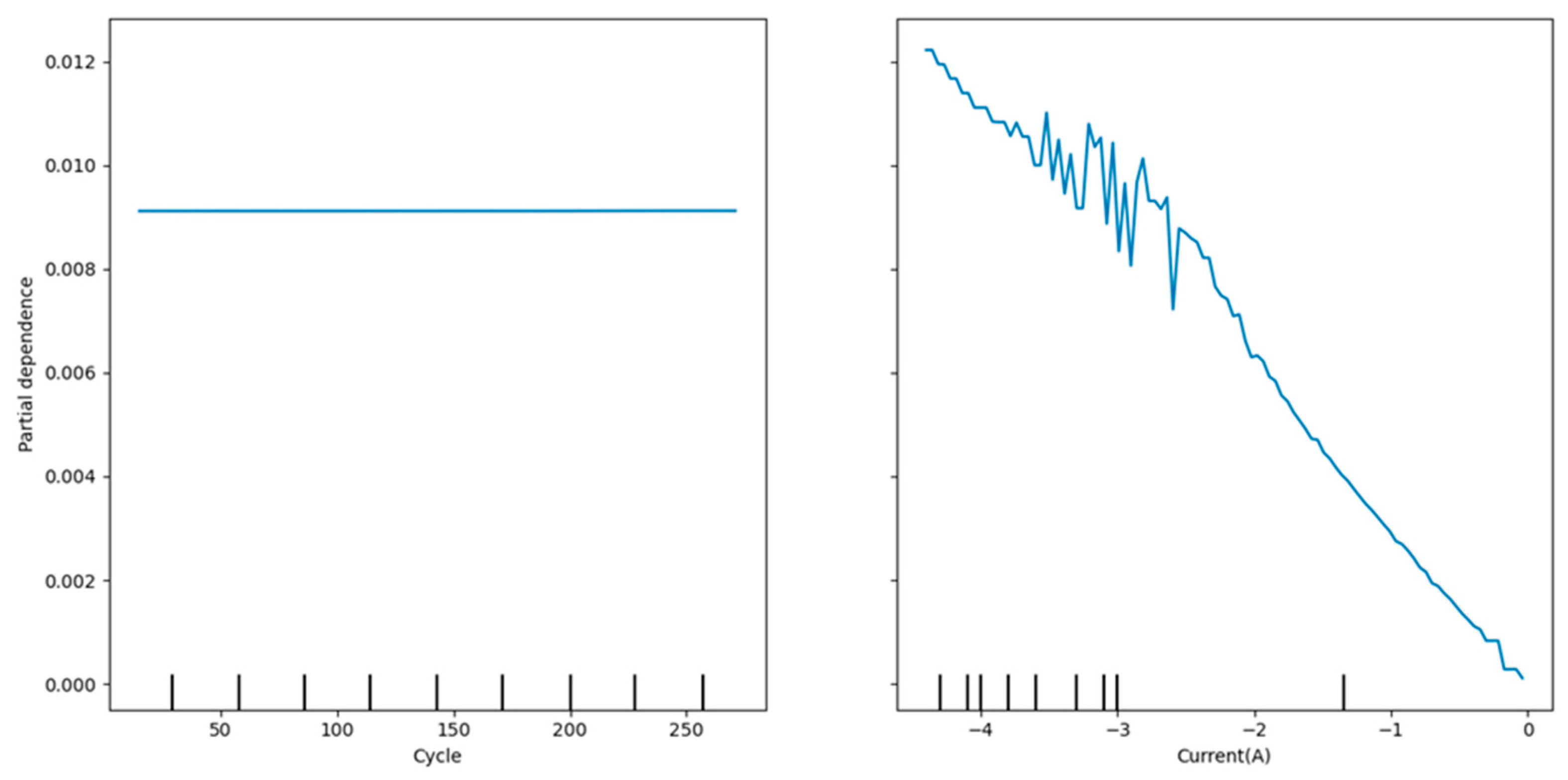
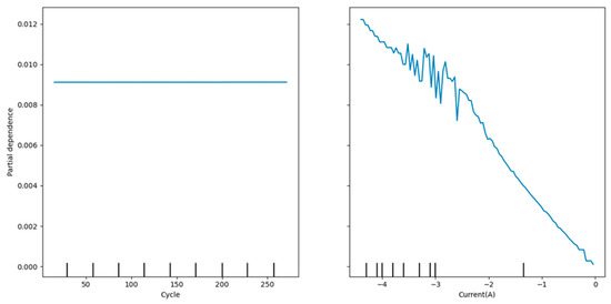
PDP is usually presented as a two-dimensional graph. The X-axis represents the values of the examined feature, and the Y-axis represents the average output predicted by the model [63,64]. In this study, the prediction was performed using the decision tree algorithm with PDP, one of the XAI techniques. The graph shows that the cycle feature has almost no effect on the model predictions according to PDP (Figure 11). Even if this feature changes, there is no change in the model’s prediction values. In the graph, the effect of the current (A) feature on the model predictions is more pronounced. As the Current(A) value decreases (increases in the negative direction), it is seen that the model’s prediction values also decrease. It shows that the current (A) feature significantly affects the model predictions.
The prediction was performed using the decision tree algorithm with PDP, one of the XAI techniques. The above graph in Figure 12 shows the effects of Cycle and Current(A) features on model predictions by showing PDP. The effect of the Current(A) feature on model predictions is quite evident. As the value of the Current(A) −4 direction decreases (increases in a negative direction), the model’s predictions decrease gradually. It shows that the Current (A) feature significantly affects the model. The graph shows more changes when the Current (A) value is around −4, which may indicate that the model is more sensitive in this range. The model’s predictions also decrease as the Current(A) value decreases. It indicates that the Current(A) feature is a critical variable for the model. However, it is observed that the Cycle feature has almost no effect on model predictions.
Regarding sensitivity analysis for PDP results for Drone 92 and 129, the cycle variable is insensitive to the model’s prediction performance. In other words, the model makes little or no update in the predictions based on this variable. On the other hand, according to the sensitivity analysis, the current variable is highly sensitive to the model’s predictions and significantly affects the prediction performance. Figure 12 shows some fluctuations, indicating that the Current variable has a more sensitive effect on the model at certain intervals. In particular, there is an increase in sensitivity between −4 and −3, after which the effect tends towards a more balanced decrease. The proposed method has several strengths but also some limitations. First, the complexity of the CNN-RNN-based hybrid model can lead to high computational costs and long training times, especially for large datasets. In addition, the performance of the model is highly dependent on the quality and quantity of the data. Missing or noisy data can have a negative impact on the accuracy of the prediction of battery behavior, especially during long-duration flights. The model may not be able to respond immediately to dynamic flight conditions, such as sudden environmental changes or load variations, due to limited real-time adaptation. In addition, XAI techniques help to make the model’s decision processes understandable. However, they may not be sufficient to fully explain complex interactions, especially in multivariate scenarios. On the other hand, by increasing the accuracy of battery performance prediction, this method provides significant success in predicting critical metrics such as remaining life and state of charge. In addition, accurate predictions optimize battery management and improve maintenance and replacement processes. This in turn reduces operating costs. The explanatory nature of the model provides users with transparency into the decision-making processes of the model. In particular, it shows the impact of variables such as current and cycle on the predictions. It provides more sustainable solutions for energy management and mission planning, contributing to safe and efficient drone operations.

5. Discussion

The study provides a comprehensive overview of drone technology and flight dynamics, effectively comparing various types of drones, including multirotor, fixed-wing, and hybrid VTOL models. It presents a detailed analysis of key performance metrics such as payload capacity, flight time, and maximum speed, offering valuable insights into each drone type’s trade-offs and operational characteristics. Including a figure illustrating the fundamental forces in drone flight —thrust, drag, lift, and weight— further enhances the understanding of how these forces impact drone performance. This thorough examination supports a well-rounded perspective on the current state of drone technology and its applications. Despite these strengths, the study has some notable limitations. The generalization of data across different drone types may overlook specific performance metrics and characteristics of individual models, potentially limiting the applicability of the findings to particular drones. Additionally, the analysis is based on static data and does not account for real-time variables such as changing weather conditions, dynamic payload variations, or advancements in battery technologies. As drone technology evolves rapidly, the study’s findings might only partially capture the latest developments and innovations. Therefore, while the study offers significant insights into drone technology, its conclusions should be considered with an awareness of these limitations and the ongoing advancements in the field.
Recent literature has highlighted significant advancements in optimizing drone flight times, energy consumption, and battery management systems (BMSs). Studies reveal that extending flight times and improving energy efficiency are key goals, with new approaches such as adaptive flight control and mission planning proving effective. Innovations in battery technology, including high-energy-density Li-ion cells and hybrid power systems, have contributed to increased flight durations. Modern BMS is equipped with real-time monitoring and machine learning algorithms to enhance battery performance, prevent issues like overcharging, and optimize energy usage. Integrating solid-state batteries and hybrid power sources, such as solar panels, represents a promising trend for further extending drone capabilities and operational flexibility. These advancements underscore ongoing efforts to enhance drone technology through better energy management and innovative battery solutions.
To further advance drone technology, several key areas warrant focused research and development. Continued innovation in battery chemistry, particularly in solid-state and next-generation Li-ion batteries, is essential for achieving even greater energy densities and safer, longer-lasting power sources. Exploring hybrid power solutions, such as the integration of solar panels or fuel cells, could significantly extend drone flight times and operational range, especially for applications in remote or off-grid areas. Advancing adaptive energy management systems, incorporating artificial intelligence and machine learning, will enable more efficient energy usage by dynamically adjusting to varying flight conditions and mission requirements. These systems could also integrate predictive maintenance capabilities, allowing for proactive identification and resolution of potential battery issues before they impact drone operations. Expanding research into lightweight, high-efficiency materials for drone construction could complement energy improvements by reducing overall power consumption and further extending flight durations. Additionally, developing modular drone designs that allow for quick swapping of battery packs or integration of alternative energy sources would enhance operational flexibility and reduce downtime. Lastly, regulatory frameworks and industry standards should evolve alongside technological advancements, ensuring that new energy solutions and battery technologies are implemented safely and effectively. Collaboration between industry, academia, and regulatory bodies will be critical in setting these standards and fostering innovation in the rapidly evolving field of drone technology.
Drones equipped with advanced energy management systems and next-generation battery technologies have vast potential across various application areas, including agriculture, logistics, environmental monitoring, and emergency response. In agriculture, drones can optimize crop monitoring and precision spraying by extending flight times and enabling more comprehensive coverage of large areas. For logistics, enhanced battery performance can improve the efficiency of delivery services, especially in last-mile delivery scenarios. In environmental monitoring, drones with longer flight durations can conduct more extensive surveys of ecosystems, contributing to more accurate data collection for conservation efforts. Emergency response teams can also benefit from drones with reliable, long-lasting power sources, enabling more effective search and rescue missions and disaster assessments.
To maximize the benefits of these advancements, operators should prioritize adopting drones with adaptable power systems and AI-driven battery management. Routine training on energy management practices and understanding the capabilities of emerging battery technologies will be crucial for field personnel. Additionally, integrating drones with cloud-based platforms for real-time data analysis and battery performance monitoring will ensure optimal operational efficiency and safety. Collaboration with technology providers to customize drones for specific application needs can also lead to more tailored solutions, enhancing the overall effectiveness of drone deployments in various sectors.

6. Conclusions

This paper successfully introduced a CNN-RNN-based ensemble model enhanced with XAI to predict key battery metrics using two different drone Li-ion batteries numbered 92 and 129 during drone flight. The ensemble model in Drone 92 showed the best performance with 0.00032 of MAE, 0.00067 of RMSE, and 0.98665 of R2 scores. Similarly, in Drone 129, the best performance was with 0.00030 of MAE, 0.00044 of RMSE, and 0.98094 of R2 performance metrics. The results have shown that a minimally lower error rate was achieved. The R² value of Drone 92 is higher in terms of explaining the data than Drone 129. However, it is seen that Drone 129 has lower error rates (MAE and RMSE). Moreover, the Partial Dependence Plots were interpreted with the decision tree algorithm, and the effect of the Current (A) value on the model estimations in both drone flights is quite good. When the current value is around −4, the model performs the task more sensitively and shows more changes. The dataset can be trained better with more data. Additionally, better performance can be achieved by using other artificial intelligence techniques and algorithms. It is expected that this study aims to establish benchmarks for future research, fostering advancements in drone and battery technologies. It also aids in enhancing battery performance via continuous, data-driven monitoring, enhancing drone safety, and optimizing operations.

Author Contributions

Conceptualization, B.E. and S.O.; methodology, B.E. and S.O.; software, B.E.; validation, B.E., S.O., A.A., E.B. and Ş.S.; formal analysis, B.E., S.O., A.A., E.B. and Ş.S.; investigation, S.O., A.A. and E.B. resources, S.O., A.A. and E.B.; data curation, B.E.; writing—original draft preparation, B.E. and S.O.; writing—review and editing, E.B. and Ş.S.; visualization, B.E.; supervision, E.B. and Ş.S.; project administration, S.O., A.A. and E.B.; funding acquisition, E.B. All authors have read and agreed to the published version of the manuscript.

Funding

This research received no external funding.

Institutional Review Board Statement

Not applicable.

Informed Consent Statement

Not applicable.

Data Availability Statement

The data presented in this study are available on request from the corresponding author.

Acknowledgments

The research was conducted collaboratively by the Battery Research Group at Sivas University of Science and Technology and MOBILERS team at Sivas Cumhuriyet University.

Conflicts of Interest

The authors declare no conflicts of interest.

References

  1. Afroze, S.; Reza, M.S.; Kuterbekov, K.; Kabyshev, A.; Kubenova, M.M.; Bekmyrza, K.Z.; Azad, A.K. Emerging and recycling of Li-ion batteries to aid in energy storage, a review. Recycling 2023, 8, 48. [Google Scholar] [CrossRef]
  2. Viswanathan, V.; Epstein, A.H.; Chiang, Y.-M.; Takeuchi, E.; Bradley, M.; Langford, J.; Winter, M. The challenges and opportunities of battery-powered flight. Nature 2022, 601, 519–525. [Google Scholar] [CrossRef] [PubMed]
  3. Oyucu, S.; Dümen, S.; Duru, İ.; Aksöz, A.; Biçer, E. Discharge Capacity Estimation for Li-Ion Batteries: A Comparative Study. Symmetry 2024, 16, 436. [Google Scholar] [CrossRef]
  4. Qu, X.; Shi, D.; Zhao, J.; Tran, M.-K.; Wang, Z.; Fowler, M.; Lian, Y.; Burke, A.F. Insights and reviews on battery lifetime prediction from research to practice. J. Energy Chem. 2024, 94, 716–739. [Google Scholar] [CrossRef]
  5. Fahmy, H.; Swief, R.; Hasanien, H.; Alharbi, M.; Maldonado, J.; Jurado, F. Hybrid State of Charge Estimation of Lithium-Ion Battery Using the Coulomb Counting Method and an Adaptive Unscented Kalman Filter. Energies 2023, 16, 5558. [Google Scholar] [CrossRef]
  6. Shoriat Ullah, M.; Seo, K. Prediction of lithium-ion battery capacity by functional principal component analysis of monitoring data. Appl. Sci. 2022, 12, 4296. [Google Scholar] [CrossRef]
  7. Zhou, Y.; Huang, M. Lithium-ion batteries remaining useful life prediction based on a mixture of empirical mode decomposition and ARIMA model. Microelectron. Reliab. 2016, 65, 265–273. [Google Scholar] [CrossRef]
  8. Oyucu, S.; Ersöz, B.; Sağıroğlu, Ş.; Aksöz, A.; Biçer, E. Optimizing Lithium-Ion Battery Performance: Integrating Machine Learning and Explainable AI for Enhanced Energy Management. Sustainability 2024, 16, 4755. [Google Scholar] [CrossRef]
  9. Wang, F.; Zhao, Z.; Zhai, Z.; Shang, Z.; Yan, R.; Chen, X. Explainability-driven model improvement for SOH estimation of lithium-ion battery. Reliab. Eng. Syst. Saf. 2023, 232, 109046. [Google Scholar] [CrossRef]
  10. Oyucu, S.; Doğan, F.; Aksöz, A.; Biçer, E. Comparative Analysis of Commonly Used Machine Learning Approaches for Li-Ion Battery Performance Prediction and Management in Electric Vehicles. Appl. Sci. 2024, 14, 2306. [Google Scholar] [CrossRef]
  11. Marri, I.; Petkovski, E.; Cristaldi, L.; Faifer, M. Comparing Machine Learning Strategies for SoH Estimation of Lithium-Ion Batteries Using a Feature-Based Approach. Energies 2023, 16, 4423. [Google Scholar] [CrossRef]
  12. Ersöz, B.; Sağıroğlu, Ş.; Bülbül, H.İ. A short review on explainable artificial intelligence in renewable energy and resources. In Proceedings of the 2022 11th International Conference on Renewable Energy Research and Application (ICRERA), Istanbul, Turkey, 18–21 September 2022; pp. 247–252. [Google Scholar]
  13. Molnar, C.; Freiesleben, T.; König, G.; Herbinger, J.; Reisinger, T.; Casalicchio, G.; Wright, M.N.; Bischl, B. Relating the partial dependence plot and permutation feature importance to the data generating process. In World Conference on Explainable Artificial Intelligence; Springer: Cham, Switzerland, 2023; pp. 456–479. [Google Scholar]
  14. Yue, X.; Hou, J.; Zhao, H.; Wu, P.; Guo, Y.; Shi, Q.; Chen, L.; Peng, S.; Liu, Z.; Cao, G. Au–Ag alloy nanoparticles with tunable cavity for plasmon-enhanced photocatalytic H2 evolution. J. Energy Chem. 2020, 49, 1–7. [Google Scholar] [CrossRef]
  15. Tarascon, J.-M.; Armand, M. Issues and challenges facing rechargeable lithium batteries. Nature 2001, 414, 359–367. [Google Scholar] [CrossRef]
  16. Klein, R.; Chaturvedi, N.A.; Christensen, J.; Ahmed, J.; Findeisen, R.; Kojic, A. Electrochemical model based observer design for a lithium-ion battery. IEEE Trans. Control Syst. Technol. 2012, 21, 289–301. [Google Scholar] [CrossRef]
  17. Smith, K.A.; Rahn, C.D.; Wang, C.-Y. Model-based electrochemical estimation and constraint management for pulse operation of lithium ion batteries. IEEE Trans. Control Syst. Technol. 2009, 18, 654–663. [Google Scholar] [CrossRef]
  18. Shepherd, C.M. Design of primary and secondary cells: II. An equation describing battery discharge. J. Electrochem. Soc. 1965, 112, 657. [Google Scholar] [CrossRef]
  19. Gao, L.; Liu, S.; Dougal, R.A. Dynamic lithium-ion battery model for system simulation. IEEE Trans. Compon. Packag. Technol. 2002, 25, 495–505. [Google Scholar]
  20. Chen, M.; Rincon-Mora, G.A. Accurate electrical battery model capable of predicting runtime and IV performance. IEEE Trans. Energy Convers. 2006, 21, 504–511. [Google Scholar] [CrossRef]
  21. Świerczyński, M.; Stroe, D.I.; Stan, A.-I.; Teodorescu, R.; Sauer, D.U. Selection and performance-degradation modeling of LiMO2/Li4Ti5O12 and LiFePO4/C battery cells as suitable energy storage systems for grid integration with wind power plants: An example for the primary frequency regulation service. IEEE Trans. Sustain. Energy 2013, 5, 90–101. [Google Scholar] [CrossRef]
  22. Andre, D.; Meiler, M.; Steiner, K.; Walz, H.; Soczka-Guth, T.; Sauer, D. Characterization of high-power lithium-ion batteries by electrochemical impedance spectroscopy. II: Modelling. J. Power Sources 2011, 196, 5349–5356. [Google Scholar] [CrossRef]
  23. Rong, P.; Pedram, M. An analytical model for predicting the remaining battery capacity of lithium-ion batteries. IEEE Trans. Very Large Scale Integr. (VLSI) Syst. 2006, 14, 441–451. [Google Scholar] [CrossRef]
  24. Kim, T.; Qiao, W. A hybrid battery model capable of capturing dynamic circuit characteristics and nonlinear capacity effects. IEEE Trans. Energy Convers. 2011, 26, 1172–1180. [Google Scholar] [CrossRef]
  25. Stroe, D.-I. Lifetime Models for Lithium Ion Batteries Used in Virtual Power Plants. Ph.D. Thesis, Department of Energy Technology, Aalborg University, Aalborg, Denmark, 2014. [Google Scholar]
  26. Tian, H.; Qin, P.; Li, K.; Zhao, Z. A review of the state of health for lithium-ion batteries: Research status and suggestions. J. Clean. Prod. 2020, 261, 120813. [Google Scholar] [CrossRef]
  27. Jiang, S.; Song, Z. A review on the state of health estimation methods of lead-acid batteries. J. Power Sources 2022, 517, 230710. [Google Scholar] [CrossRef]
  28. Sui, X.; He, S.; Vilsen, S.B.; Meng, J.; Teodorescu, R.; Stroe, D.-I. A review of non-probabilistic machine learning-based state of health estimation techniques for Lithium-ion battery. Appl. Energy 2021, 300, 117346. [Google Scholar] [CrossRef]
  29. Wang, S.; Jin, S.; Bai, D.; Fan, Y.; Shi, H.; Fernandez, C. A critical review of improved deep learning methods for the remaining useful life prediction of lithium-ion batteries. Energy Rep. 2021, 7, 5562–5574. [Google Scholar] [CrossRef]
  30. Bao, G.; Ma, L.; Yi, X. Recent advances on cooperative control of heterogeneous multi-agent systems subject to constraints: A survey. Syst. Sci. Control Eng. 2022, 10, 539–551. [Google Scholar] [CrossRef]
  31. Tao, H.; Tan, H.; Chen, Q.; Liu, H.; Hu, J. H∞ state estimation for memristive neural networks with randomly occurring DoS attacks. Syst. Sci. Control Eng. 2022, 10, 154–165. [Google Scholar] [CrossRef]
  32. Hassoun, M. Fundamentals of Artificial Neural Networks; The MIT Press: Cambridge, MA, USA, 1995. [Google Scholar]
  33. Feng, J.; Jia, X.; Cai, H.; Zhu, F.; Li, X.; Lee, J. Cross trajectory gaussian process regression model for battery health prediction. J. Mod. Power Syst. Clean Energy 2020, 9, 1217–1226. [Google Scholar] [CrossRef]
  34. Wang, Z.; Liu, N.; Guo, Y. Adaptive sliding window LSTM NN based RUL prediction for lithium-ion batteries integrating LTSA feature reconstruction. Neurocomputing 2021, 466, 178–189. [Google Scholar] [CrossRef]
  35. Lucu, M.; Martinez-Laserna, E.; Gandiaga, I.; Liu, K.; Camblong, H.; Widanage, W.D.; Marco, J. Data-driven nonparametric Li-ion battery ageing model aiming at learning from real operation data–Part A: Storage operation. J. Energy Storage 2020, 30, 101409. [Google Scholar] [CrossRef]
  36. Liu, K.; Hu, X.; Wei, Z.; Li, Y.; Jiang, Y. Modified Gaussian process regression models for cyclic capacity prediction of lithium-ion batteries. IEEE Trans. Transp. Electrif. 2019, 5, 1225–1236. [Google Scholar] [CrossRef]
  37. Roman, D.; Saxena, S.; Robu, V.; Pecht, M.; Flynn, D. Machine learning pipeline for battery state-of-health estimation. Nat. Mach. Intell. 2021, 3, 447–456. [Google Scholar] [CrossRef]
  38. She, C.; Li, Y.; Zou, C.; Wik, T.; Wang, Z.; Sun, F. Offline and online blended machine learning for lithium-ion battery health state estimation. IEEE Trans. Transp. Electrif. 2021, 8, 1604–1618. [Google Scholar] [CrossRef]
  39. Chen, M.; Ma, G.; Liu, W.; Zeng, N.; Luo, X. An overview of data-driven battery health estimation technology for battery management system. Neurocomputing 2023, 532, 152–169. [Google Scholar] [CrossRef]
  40. Li, P.; Zhang, Z.; Grosu, R.; Deng, Z.; Hou, J.; Rong, Y.; Wu, R. An end-to-end neural network framework for state-of-health estimation and remaining useful life prediction of electric vehicle lithium batteries. Renew. Sustain. Energy Rev. 2022, 156, 111843. [Google Scholar] [CrossRef]
  41. Ren, L.; Dong, J.; Wang, X.; Meng, Z.; Zhao, L.; Deen, M.J. A Data-driven Auto-CNN-LSTM Prediction Model for Lithium-ion Battery Remaining Useful Life. IEEE Trans. Ind. Inform. 2020, 17, 3478–3487. [Google Scholar] [CrossRef]
  42. Aitio, A.; Howey, D.A. Predicting battery end of life from solar off-grid system field data using machine learning. Joule 2021, 5, 3204–3220. [Google Scholar] [CrossRef]
  43. Mawonou, K.; Eddahech, A.; Dumur, D.; Beauvois, D.; Godoy, E. State-of-health estimators coupled to a random forest approach for lithium-ion battery aging factor ranking. J. Power Sources 2020, 484, 229154. [Google Scholar] [CrossRef]
  44. Shu, X.; Li, G.; Zhang, Y.; Shen, J.; Chen, Z.; Liu, Y. Online diagnosis of state of health for lithium-ion batteries based on short-term charging profiles. J. Power Sources 2020, 471, 228478. [Google Scholar] [CrossRef]
  45. Chou, J.-H.; Wang, F.-K.; Lo, S.-C. Predicting future capacity of lithium-ion batteries using transfer learning method. J. Energy Storage 2023, 71, 108120. [Google Scholar] [CrossRef]
  46. Tian, Y.; Wen, J.; Yang, Y.; Shi, Y.; Zeng, J. State-of-health prediction of lithium-ion batteries based on cnn-bilstm-am. Batteries 2022, 8, 155. [Google Scholar] [CrossRef]
  47. Wang, S.; Ren, P.; Takyi-Aninakwa, P.; Jin, S.; Fernandez, C. A critical review of improved deep convolutional neural network for multi-timescale state prediction of lithium-ion batteries. Energies 2022, 15, 5053. [Google Scholar] [CrossRef]
  48. Conte, C.; Rufino, G.; De Alteriis, G.; Bottino, V.; Accardo, D. A data-driven learning method for online prediction of drone battery discharge. Aerosp. Sci. Technol. 2022, 130, 107921. [Google Scholar] [CrossRef]
  49. Dai, W.; Zhang, M.; Low, K.H. Data-efficient modeling for power consumption estimation of quadrotor operations using ensemble learning. Aerosp. Sci. Technol. 2024, 144, 108791. [Google Scholar] [CrossRef]
  50. Safavi, V.; Mohammadi Vaniar, A.; Bazmohammadi, N.; Vasquez, J.C.; Guerrero, J.M. Battery Remaining Useful Life Prediction Using Machine Learning Models: A Comparative Study. Information 2024, 15, 124. [Google Scholar] [CrossRef]
  51. Chen, Y.; Baek, D.; Bocca, A.; Macii, A.; Macii, E.; Poncino, M. A case for a battery-aware model of drone energy consumption. In Proceedings of the 2018 IEEE International Telecommunications Energy Conference (INTELEC), Turino, Italy, 7–11 October 2018; pp. 1–8. [Google Scholar]
  52. Ma, Y.; Chiang, S.W.; Chu, X.; Li, J.; Gan, L.; Xu, C.; Yao, Y.; He, Y.; Li, B.; Kang, F. Thermal design and optimization of lithium ion batteries for unmanned aerial vehicles. Energy Storage 2019, 1, e48. [Google Scholar] [CrossRef]
  53. Rufino Júnior, C.A.; Sanseverino, E.R.; Gallo, P.; Amaral, M.M.; Koch, D.; Kotak, Y.; Diel, S.; Walter, G.; Schweiger, H.-G.; Zanin, H. Unraveling the Degradation Mechanisms of Lithium-Ion Batteries. Energies 2024, 17, 3372. [Google Scholar] [CrossRef]
  54. Jadhav, V.; Bhosale, S. Battery Management System for Drones. Int. J. Electr. Electron. Data Commun. 2022, 10, 13–17. [Google Scholar]
  55. Korthauer, R. Lithium-Ion Batteries: Basics and Applications; Springer: Berlin/Heidelberg, Germany, 2018. [Google Scholar]
  56. Che, Y.; Hu, X.; Lin, X.; Guo, J.; Teodorescu, R. Health prognostics for lithium-ion batteries: Mechanisms, methods, and prospects. Energy Environ. Sci. 2023, 16, 338–371. [Google Scholar] [CrossRef]
  57. Yin, Q.; Zhang, R.; Shao, X. CNN and RNN mixed model for image classification. MATEC Web Conf. 2019, 277, 02001. [Google Scholar] [CrossRef]
  58. Nasir, J.A.; Khan, O.S.; Varlamis, I. Fake news detection: A hybrid CNN-RNN based deep learning approach. Int. J. Inf. Manag. Data Insights 2021, 1, 100007. [Google Scholar] [CrossRef]
  59. Hu, Y.; Wong, Y.; Wei, W.; Du, Y.; Kankanhalli, M.; Geng, W. A novel attention-based hybrid CNN-RNN architecture for sEMG-based gesture recognition. PLoS ONE 2018, 13, e0206049. [Google Scholar] [CrossRef] [PubMed]
  60. Arpit, D.; Wang, H.; Zhou, Y.; Xiong, C. Ensemble of averages: Improving model selection and boosting performance in domain generalization. Adv. Neural Inf. Process. Syst. 2022, 35, 8265–8277. [Google Scholar]
  61. Alzubaidi, L.; Zhang, J.; Humaidi, A.J.; Al-Dujaili, A.; Duan, Y.; Al-Shamma, O.; Santamaría, J.; Fadhel, M.A.; Al-Amidie, M.; Farhan, L. Review of deep learning: Concepts, CNN architectures, challenges, applications, future directions. J. Big Data 2021, 8, 53. [Google Scholar] [CrossRef]
  62. Ganaie, M.A.; Hu, M.; Malik, A.K.; Tanveer, M.; Suganthan, P.N. Ensemble deep learning: A review. Eng. Appl. Artif. Intell. 2022, 115, 105151. [Google Scholar] [CrossRef]
  63. Duval, A. Explainable Artificial Intelligence (XAI); MA4K9 Scholarly Report; Mathematics Institute, The University of Warwick: Coventry, UK, 2019. [Google Scholar]
  64. Peng, J.; Zou, K.; Zhou, M.; Teng, Y.; Zhu, X.; Zhang, F.; Xu, J. An explainable artificial intelligence framework for the deterioration risk prediction of hepatitis patients. J. Med. Syst. 2021, 45, 61. [Google Scholar] [CrossRef]
Figure 1. The workflow of data-driven battery SOH estimation models [39].
Figure 1. The workflow of data-driven battery SOH estimation models [39].
Applsci 14 10816 g001
Figure 2. Fundamental forces in drone flight dynamics, including thrust, drag, lift, and weight.
Figure 2. Fundamental forces in drone flight dynamics, including thrust, drag, lift, and weight.
Applsci 14 10816 g002
Figure 3. Deep Learning Based ensemble learning method flow charts. (a) Drone 92 Dataset; (b) Drone 129 Dataset.
Figure 3. Deep Learning Based ensemble learning method flow charts. (a) Drone 92 Dataset; (b) Drone 129 Dataset.
Applsci 14 10816 g003
Figure 4. Convolutional Neural Network (CNN) Model MAE and Loss values (Drone 92).
Figure 4. Convolutional Neural Network (CNN) Model MAE and Loss values (Drone 92).
Applsci 14 10816 g004
Figure 5. The results of CNN Models (Drone 129).
Figure 5. The results of CNN Models (Drone 129).
Applsci 14 10816 g005
Figure 6. The results of RNN Models (Drone 92).
Figure 6. The results of RNN Models (Drone 92).
Applsci 14 10816 g006
Figure 7. Recurrent Neural Networks (RNNs) Model MAE and Loss values (Drone 129).
Figure 7. Recurrent Neural Networks (RNNs) Model MAE and Loss values (Drone 129).
Applsci 14 10816 g007
Figure 8. The results of the CNN + RNN Model (Drone number 92).
Figure 8. The results of the CNN + RNN Model (Drone number 92).
Applsci 14 10816 g008
Figure 9. CNN + RNN Model MAE and Loss values (Drone number 129).
Figure 9. CNN + RNN Model MAE and Loss values (Drone number 129).
Applsci 14 10816 g009
Figure 10. The results for the Drone 92 and Drone 129 datasets of Deep Ensemble Learning Model R2 Scores.
Figure 10. The results for the Drone 92 and Drone 129 datasets of Deep Ensemble Learning Model R2 Scores.
Applsci 14 10816 g010
Figure 11. Results for Drone 92 Partial Dependence Plots using XAI Model.
Figure 11. Results for Drone 92 Partial Dependence Plots using XAI Model.
Applsci 14 10816 g011
Figure 12. The results for the Drone 129 Dataset used for PDP with XAI Model.
Figure 12. The results for the Drone 129 Dataset used for PDP with XAI Model.
Applsci 14 10816 g012
Table 1. Some SOH estimation methods.
Table 1. Some SOH estimation methods.
ModelTaskNoveltyRef.
CNN-AST-LSTM NNSOH estimation, RUL prediction1D-CNN and AST-LSTM for feature extraction; Bayesian optimization for hyperparameter adaptation.[40]
Auto-CNN-LSTMRUL predictionAutoencoder for features augments; CNN for mining deep Information in features; LSTM for time information extraction in features; DDN for RUL prediction; First order filter for results smoothing.[41]
GPRSOH estimationAn SOH estimator models the internal resistance as a Gaussian process with a Wiener velocity kernel and a squared exponential kernel.[42]
RFSOH estimationTwo new SOH indicators are designed for degradation assessment: RF for SOH estimation and a degradation factor ranking approach for exploring battery degradation comprehension based on the permutation-based variable importance computation.[43]
LS-SVMSOH estimationELM for the future voltage profile prediction based on the short-term charging data; A fixed size least squares-based SVM with a mixed kernel function for SOH estimation; Simulated annealing method for parameters optimization.[44]
Table 2. Comparison for different drone types.
Table 2. Comparison for different drone types.
Drone TypePayload CapacityFlight
Time (mins)
Maximum
Speed (km/h)
Control SystemAerodynamic Design
Multirotor0.5–2 kg20–3030–50 GPS, IMU, ESCFixed rotor blades
Fixed-Wing2–5 kg60–12050–80 GPS, Inertial NavigationStreamlined wing structure
Hybrid VTOL1–4 kg30–6040–70 GPS, IMU, Advanced ControlCombination of rotor
and wing
Table 3. Drone 92 MAE, RMSE, R2 Score Performance Metrics.
Table 3. Drone 92 MAE, RMSE, R2 Score Performance Metrics.
ModelMAE RMSER2 Score
CNN0.0006088601140.0020894170790.954199043
RNN0.0005136104520.0007604777980.962692018
CNN + RNN0.0003595228000.0004640816260.985894800
Ensemble0.0003267631090.0006764657700.98665846
Table 4. Drone 129 MAE, RMSE, R2 Score Performance Metrics.
Table 4. Drone 129 MAE, RMSE, R2 Score Performance Metrics.
ModelMAERMSER2 Score
CNN0.000656430340.001093139930.884453491
RNN0.000586168230.000635405720.960960203
CNN + RNN0.000569179150.000608826340.964158004
Ensemble0.000301772820.000443894870.980946903
Disclaimer/Publisher’s Note: The statements, opinions and data contained in all publications are solely those of the individual author(s) and contributor(s) and not of MDPI and/or the editor(s). MDPI and/or the editor(s) disclaim responsibility for any injury to people or property resulting from any ideas, methods, instructions or products referred to in the content.

Share and Cite

MDPI and ACS Style

Ersöz, B.; Oyucu, S.; Aksöz, A.; Sağıroğlu, Ş.; Biçer, E. Interpreting CNN-RNN Hybrid Model-Based Ensemble Learning with Explainable Artificial Intelligence to Predict the Performance of Li-Ion Batteries in Drone Flights. Appl. Sci. 2024, 14, 10816. https://doi.org/10.3390/app142310816

AMA Style

Ersöz B, Oyucu S, Aksöz A, Sağıroğlu Ş, Biçer E. Interpreting CNN-RNN Hybrid Model-Based Ensemble Learning with Explainable Artificial Intelligence to Predict the Performance of Li-Ion Batteries in Drone Flights. Applied Sciences. 2024; 14(23):10816. https://doi.org/10.3390/app142310816

Chicago/Turabian Style

Ersöz, Betül, Saadin Oyucu, Ahmet Aksöz, Şeref Sağıroğlu, and Emre Biçer. 2024. "Interpreting CNN-RNN Hybrid Model-Based Ensemble Learning with Explainable Artificial Intelligence to Predict the Performance of Li-Ion Batteries in Drone Flights" Applied Sciences 14, no. 23: 10816. https://doi.org/10.3390/app142310816

APA Style

Ersöz, B., Oyucu, S., Aksöz, A., Sağıroğlu, Ş., & Biçer, E. (2024). Interpreting CNN-RNN Hybrid Model-Based Ensemble Learning with Explainable Artificial Intelligence to Predict the Performance of Li-Ion Batteries in Drone Flights. Applied Sciences, 14(23), 10816. https://doi.org/10.3390/app142310816

Note that from the first issue of 2016, this journal uses article numbers instead of page numbers. See further details here.

Article Metrics

Back to TopTop