The Value of Using Green Extraction Techniques to Enhance Polyphenol Content and Antioxidant Activity in Nasturtium officinale Leaves
Abstract
1. Introduction
2. Materials and Methods
2.1. Flower Collection and Preparation
2.2. Chemicals and Reagents
2.3. Extraction Procedure
2.4. Response Surface Methodology (RSM) Extraction Optimization
2.5. Analyses of the Extracts
2.5.1. Total Polyphenol Content (TPC)
2.5.2. Ferric-Reducing Antioxidant Power (FRAP)
2.5.3. Radical Scavenging Activity (DPPH)
2.5.4. High-Performance Liquid Chromatography (HPLC) Coupled with Diode Array Detector (DAD)
2.6. Statistical Analysis
3. Results and Discussion
3.1. Extraction Optimization
3.2. Impact of Extraction Parameters on Assays as Analyzed Through Pareto Plots
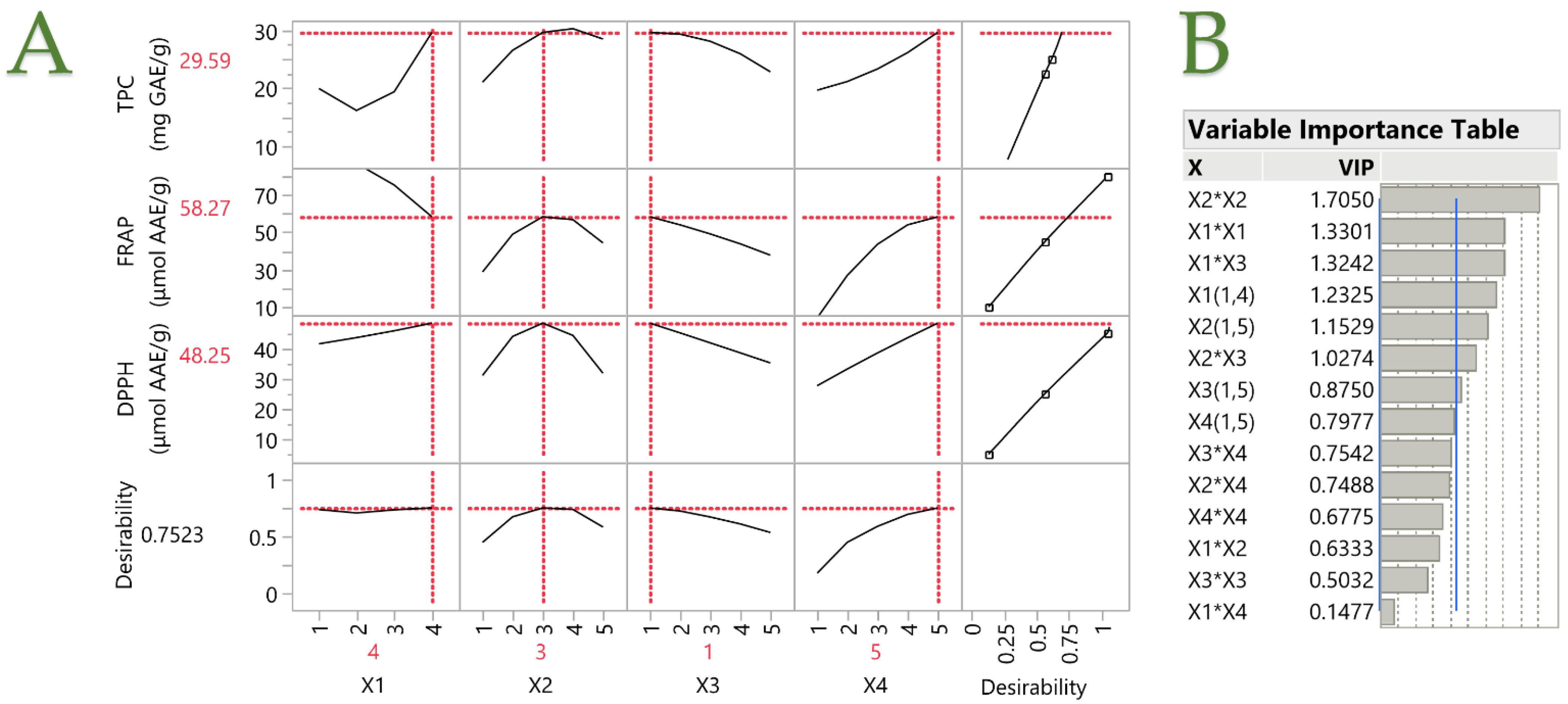
3.3. Optimal Extraction Conditions
3.3.1. Total Polyphenol Content of Watercress Extracts
3.3.2. Antioxidant Capacity of Watercress Extracts
3.4. Principal Component Analysis (PCA) and Multivariate Correlation Analysis (MCA)
3.5. Partial Least Squares (PLS) Analysis
4. Conclusions
Supplementary Materials
Author Contributions
Funding
Institutional Review Board Statement
Informed Consent Statement
Data Availability Statement
Conflicts of Interest
References
- Chaudhary, S.; Hisham, H.; Mohamed, D. A Review On Phytochemical And Pharmacological Potential Of Watercress Plant. Asian J. Pharm. Clin. Res. 2018, 11, 102. [Google Scholar] [CrossRef]
- Al-Snafi, A.E. A Review on Nasturtium officinale: A Potential Medicinal Plant. IOSR J. Pharm. 2020, 10, 33–43. [Google Scholar]
- Pandey, Y.; Bhatt, S.; Debbarma, N. Watercress (Nasturtium officinale): A Potential Source of Nutraceuticals. Int. J. Curr. Microbiol. Appl. Sci. 2018, 7, 2685–2691. [Google Scholar] [CrossRef]
- Robertson, C.E. McCance and Widdowson’s The Composition of Foods—Sixth Summary Edition. Nutr. Bull. 2003, 28, 81–83. [Google Scholar] [CrossRef]
- Pradhan, S.; Manivannan, S.; Tamang, J.P. Proximate, Mineral Composition and Antioxidant Properties of Some Wild Leafy Vegetables. J. Sci. Ind. Res. 2015, 74, 155–159. [Google Scholar]
- Klimek-Szczykutowicz, M.; Szopa, A.; Ekiert, H. Chemical Composition, Traditional and Professional Use in Medicine, Application in Environmental Protection, Position in Food and Cosmetics Industries, and Biotechnological Studies of Nasturtium officinale (Watercress)—A Review. Fitoterapia 2018, 129, 283–292. [Google Scholar] [CrossRef]
- Cory, H.; Passarelli, S.; Szeto, J.; Tamez, M.; Mattei, J. The Role of Polyphenols in Human Health and Food Systems: A Mini-Review. Front. Nutr. 2018, 5, 87. [Google Scholar] [CrossRef]
- Sirohi, R.; Tarafdar, A.; Singh, S.; Negi, T.; Gaur, V.K.; Gnansounou, E.; Bharathiraja, B. Green Processing and Biotechnological Potential of Grape Pomace: Current Trends and Opportunities for Sustainable Biorefinery. Bioresour. Technol. 2020, 314, 123771. [Google Scholar] [CrossRef]
- Maran, J.P.; Nivetha, C.V.; Priya, B.; Al-Dhabi, N.A.; Ponmurugan, K.; Manoj, J.J.B. Modeling of Polysaccharide Extraction from Gossypium arboreum L. Seed Using Central Composite Rotatable Design. Int. J. Biol. Macromol. 2016, 86, 857–864. [Google Scholar] [CrossRef]
- Panja, P. Green Extraction Methods of Food Polyphenols from Vegetable Materials. Curr. Opin. Food Sci. 2018, 23, 173–182. [Google Scholar] [CrossRef]
- Gil-Martín, E.; Forbes-Hernández, T.; Romero, A.; Cianciosi, D.; Giampieri, F.; Battino, M. Influence of the Extraction Method on the Recovery of Bioactive Phenolic Compounds from Food Industry By-Products. Food Chem. 2022, 378, 131918. [Google Scholar] [CrossRef] [PubMed]
- Ameer, K.; Shahbaz, H.M.; Kwon, J.-H. Green Extraction Methods for Polyphenols from Plant Matrices and Their Byproducts: A Review. Compr. Rev. Food Sci. Food Saf. 2017, 16, 295–315. [Google Scholar] [CrossRef] [PubMed]
- Chemat, F.; Vian, M.A.; Cravotto, G. Green Extraction of Natural Products: Concept and Principles. Int. J. Mol. Sci. 2012, 13, 8615–8627. [Google Scholar] [CrossRef] [PubMed]
- Martins, R.; Barbosa, A.; Advinha, B.; Sales, H.; Pontes, R.; Nunes, J. Green Extraction Techniques of Bioactive Compounds: A State-of-the-Art Review. Processes 2023, 11, 2255. [Google Scholar] [CrossRef]
- Raj, B.; John, S.; Chandrakala, V.; Kumari, G.H. Green Extraction Techniques for Phytoconstituents from Natural Products. In Medicinal Plants; Kumar, S., Ed.; IntechOpen: Rijeka, Croatia, 2022. [Google Scholar]
- Picot-Allain, C.; Mahomoodally, M.F.; Ak, G.; Zengin, G. Conventional versus Green Extraction Techniques—A Comparative Perspective. Curr. Opin. Food Sci. 2021, 40, 144–156. [Google Scholar] [CrossRef]
- Pataro, G.; Ferrari, G. Limitations of Pulsed Electric Field Utilization in Food Industry. In Pulsed Electric Fields to Obtain Healthier and Sustainable Food for Tomorrow; Barba, F.J., Parniakov, O., Francisco, B., Oleksii, P., Artur, W., Eds.; Elsevier: Amsterdam, The Netherlands, 2020; pp. 283–310. ISBN 978-0-12-816402-0. [Google Scholar]
- Carreira-Casais, A.; Otero, P.; Garcia-Perez, P.; Garcia-Oliveira, P.; Pereira, A.G.; Carpena, M.; Soria-Lopez, A.; Simal-Gandara, J.; Prieto, M.A. Benefits and Drawbacks of Ultrasound-Assisted Extraction for the Recovery of Bioactive Compounds from Marine Algae. Int. J. Environ. Res. Public Health 2021, 18, 9153. [Google Scholar] [CrossRef]
- Nascentes, C.C.; Korn, M.; Arruda, M.A. A Fast Ultrasound-Assisted Extraction of Ca, Mg, Mn and Zn from Vegetables. Microchem. J. 2001, 69, 37–43. [Google Scholar] [CrossRef]
- Nascentes, C.C.; Korn, M.; Sousa, C.S.; Arruda, M.A.Z. Use of Ultrasonic Baths for Analytical Applications: A New Approach for Optimisation Conditions. J. Braz. Chem. Soc. 2001, 12, 57–63. [Google Scholar] [CrossRef]
- Che Sulaiman, I.S.; Basri, M.; Fard Masoumi, H.R.; Chee, W.J.; Ashari, S.E.; Ismail, M. Effects of Temperature, Time, and Solvent Ratio on the Extraction of Phenolic Compounds and the Anti-Radical Activity of Clinacanthus Nutans Lindau Leaves by Response Surface Methodology. Chem. Cent. J. 2017, 11, 54. [Google Scholar] [CrossRef]
- Venson, R.; Korb, A.S.; Cooper, G. A Review of the Application of Hollow-Fiber Liquid-Phase Microextraction in Bioanalytical Methods—A Systematic Approach with Focus on Forensic Toxicology. J. Chromatogr. B Anal. Technol. Biomed. Life Sci. 2019, 1108, 32–53. [Google Scholar] [CrossRef]
- Drăghici-Popa, A.-M.; Boscornea, A.C.; Brezoiu, A.-M.; Tomas, Ș.T.; Pârvulescu, O.C.; Stan, R. Effects of Extraction Process Factors on the Composition and Antioxidant Activity of Blackthorn (Prunus spinosa L.) Fruit Extracts. Antioxidants 2023, 12, 1897. [Google Scholar] [CrossRef] [PubMed]
- Franzke, A.; Lysak, M.A.; Al-Shehbaz, I.A.; Koch, M.A.; Mummenhoff, K. Cabbage Family Affairs: The Evolutionary History of Brassicaceae. Trends Plant Sci. 2011, 16, 108–116. [Google Scholar] [CrossRef] [PubMed]
- Gonçalves, E.M.; Cruz, R.M.S.; Abreu, M.; Brandão, T.R.S.; Silva, C.L.M. Biochemical and Colour Changes of Watercress (Nasturtium officinale R. Br.) during Freezing and Frozen Storage. J. Food Eng. 2009, 93, 32–39. [Google Scholar] [CrossRef]
- Khalik, K.A. Morphological Studies on Trichomes of Brassicaceae in Egypt and Taxonomic Significance. Acta Bot. Croat. 2005, 64, 57–73. [Google Scholar]
- Lakka, A.; Grigorakis, S.; Kaltsa, O.; Karageorgou, I.; Batra, G.; Bozinou, E.; Lalas, S.; Makris, D.P. The Effect of Ultrasonication Pretreatment on the Production of Polyphenol-Enriched Extracts from Moringa oleifera L. (Drumstick Tree) Using a Novel Bio-Based Deep Eutectic Solvent. Appl. Sci. 2020, 10, 220. [Google Scholar] [CrossRef]
- Paleologou, I.; Vasiliou, A.; Grigorakis, S.; Makris, D.P. Optimisation of a Green Ultrasound-Assisted Extraction Process for Potato Peel (Solanum tuberosum) Polyphenols Using Bio-Solvents and Response Surface Methodology. Biomass Convers. Biorefinery 2016, 6, 289–299. [Google Scholar] [CrossRef]
- Athanasiadis, V.; Chatzimitakos, T.; Kotsou, K.; Palaiogiannis, D.; Bozinou, E.; Lalas, S.I. Optimization of the Extraction Parameters for the Isolation of Bioactive Compounds from Orange Peel Waste. Sustainability 2022, 14, 13926. [Google Scholar] [CrossRef]
- Wardy, W.; Saalia, F.K.; Steiner-Asiedu, M.; Budu, A.S.; Sefa-Dedeh, S. A Comparison of Some Physical, Chemical and Sensory Attributes of Three Pineapple (Ananas comosus) Varieties Grown in Ghana. Afr. J. Food Sci. 2009, 3, 22–025. [Google Scholar]
- Ghazzawi, H.A.; Al-Sayyed, H.F.; Al-Kurd, R.A.; Mwalla, M.M.; Arafat, T.A.; AbdelQader, S.M. Effect of Different Extraction Solvents on the Antioxidant Content and Capacity of Nine Seasonal Fruits. Clin. Nutr. Open Sci. 2021, 38, 33–42. [Google Scholar] [CrossRef]
- Ochoa, S.; Durango-Zuleta, M.M.; Felipe Osorio-Tobón, J. Techno-Economic Evaluation of the Extraction of Anthocyanins from Purple Yam (Dioscorea alata) Using Ultrasound-Assisted Extraction and Conventional Extraction Processes. Food Bioprod. Process. 2020, 122, 111–123. [Google Scholar] [CrossRef]
- Usman, M.; Nakagawa, M.; Cheng, S. Emerging Trends in Green Extraction Techniques for Bioactive Natural Products. Processes 2023, 11, 3444. [Google Scholar] [CrossRef]
- Antony, A.; Farid, M. Effect of Temperatures on Polyphenols during Extraction. Appl. Sci. 2022, 12, 2107. [Google Scholar] [CrossRef]
- Diamanti, A.C.; Igoumenidis, P.E.; Mourtzinos, I.; Yannakopoulou, K.; Karathanos, V.T. Green Extraction of Polyphenols from Whole Pomegranate Fruit Using Cyclodextrins. Food Chem. 2017, 214, 61–66. [Google Scholar] [CrossRef] [PubMed]
- Zeb, A. Phenolic Profile and Antioxidant Potential of Wild Watercress (Nasturtium officinale L.). Springerplus 2015, 4, 714. [Google Scholar] [CrossRef] [PubMed]
- Tan, M.-J.; Li, Y.; Zhao, S.-Q.; Yue, F.-H.; Cai, D.-J.; Wu, J.-T.; Zeng, X.-A.; Li, J.; Han, Z. Synergistic Ultrasound Pulsed Electric Field Extraction of Litchi Peel Polyphenols and Determination of Their Properties. Int. J. Biol. Macromol. 2024, 260, 129613. [Google Scholar] [CrossRef] [PubMed]
- Manzoor, M.F.; Zeng, X.-A.; Rahaman, A.; Siddeeg, A.; Aadil, R.M.; Ahmed, Z.; Li, J.; Niu, D. Combined Impact of Pulsed Electric Field and Ultrasound on Bioactive Compounds and FT-IR Analysis of Almond Extract. J. Food Sci. Technol. 2019, 56, 2355–2364. [Google Scholar] [CrossRef]
- Flieger, J.; Flieger, W.; Baj, J.; Maciejewski, R. Antioxidants: Classification, Natural Sources, Activity/Capacity Measurements, and Usefulness for the Synthesis of Nanoparticles. Materials 2021, 14, 4135. [Google Scholar] [CrossRef]
- Angerhofer, C.K.; Maes, D.; Giacomoni, P.U. The Use of Natural Compounds and Botanicals in the Development of Anti-Aging Skin Care Products. In Skin Aging Handbook; Dayan, N., Ed.; Personal Care & Cosmetic Technology; Elsevier: Norwich, NY, USA, 2009; pp. 205–263. ISBN 978-0-8155-1584-5. [Google Scholar]
- Lourenço, S.C.; Moldão-Martins, M.; Alves, V.D. Antioxidants of Natural Plant Origins: From Sources to Food Industry Applications. Molecules 2019, 24, 4132. [Google Scholar] [CrossRef]
- Giallourou, N.; Oruna-Concha, M.J.; Harbourne, N. Effects of Domestic Processing Methods on the Phytochemical Content of Watercress (Nasturtium officinale). Food Chem. 2016, 212, 411–419. [Google Scholar] [CrossRef]
- Calderón-Oliver, M.; Ponce-Alquicira, E. Environmentally Friendly Techniques and Their Comparison in the Extraction of Natural Antioxidants from Green Tea, Rosemary, Clove, and Oregano. Molecules 2021, 26, 1869. [Google Scholar] [CrossRef]
- Hou, F.; Su, D.; Xu, J.; Gong, Y.; Zhang, R.; Wei, Z.; Chi, J.; Zhang, M. Enhanced Extraction of Phenolics and Antioxidant Capacity from Sorghum (Sorghum bicolor L. Moench) Shell Using Ultrasonic-Assisted Ethanol-Water Binary Solvent. J. Food Process. Preserv. 2016, 40, 1171–1179. [Google Scholar] [CrossRef]
- Hikmawanti, N.P.E.; Fatmawati, S.; Asri, A.W. The Effect of Ethanol Concentrations as the Extraction Solvent on Antioxidant Activity of Katuk (Sauropus androgynus (L.) Merr.) Leaves Extracts. IOP Conf. Ser. Earth Environ. Sci. 2021, 755, 012060. [Google Scholar] [CrossRef]
- Nguyen, N.Q.; Nguyen, M.T.; Nguyen, V.T.; Le, V.M.; Trieu, L.H.; Le, X.T.; Khang, T.V.; Giang, N.T.L.; Thach, N.Q.; Hung, T.T. The Effects of Different Extraction Conditions on the Polyphenol, Flavonoids Components and Antioxidant Activity of Polyscias fruticosa Roots. IOP Conf. Ser. Mater. Sci. Eng. 2020, 736, 022067. [Google Scholar] [CrossRef]
- Boligon, A.A.; Janovik, V.; Boligon, A.A.; Pivetta, C.R.; Pereira, R.P.; Da Rocha, J.B.T.; Athayde, M.L. HPLC Analysis of Polyphenolic Compounds and Antioxidant Activity in Nasturtium officinale. Int. J. Food Prop. 2013, 16, 61–69. [Google Scholar] [CrossRef]
- Omar, S.H. Biophenols Pharmacology against the Amyloidogenic Activity in Alzheimer’s Disease. Biomed. Pharmacother. 2017, 89, 396–413. [Google Scholar] [CrossRef]
- Singh, D.; Kumari, K.; Ahmed, S. Natural Herbal Products for Cancer Therapy. In Understanding Cancer; Jain, B., Pandey, S.B.T.-U.C., Eds.; Elsevier: Amsterdam, The Netherlands, 2022; pp. 257–268. ISBN 978-0-323-99883-3. [Google Scholar]
- Safitri, E.; Purnobasuki, H.; Afifudin Al-Anshori, A.; Lestari, T.D.; Utama, S.; Yimer, N. Honey-Derived Phytochemicals: Implications for Stem Cell Activation and Health Benefits. J. Funct. Foods 2024, 114, 106058. [Google Scholar] [CrossRef]
- Bazyar, H.; Zare Javid, A.; Ahangarpour, A.; Zaman, F.; Hosseini, S.A.; Zohoori, V.; Aghamohammadi, V.; Yazdanfar, S.; Ghasemi Deh Cheshmeh, M. The Effects of Rutin Supplement on Blood Pressure Markers, Some Serum Antioxidant Enzymes, and Quality of Life in Patients with Type 2 Diabetes Mellitus Compared with Placebo. Front. Nutr. 2023, 10, 1214420. [Google Scholar] [CrossRef]
- Shakeri, F.; Boskabady, M.H. A Review of the Relaxant Effect of Various Medicinal Plants on Tracheal Smooth Muscle, Their Possible Mechanism(s) and Potency. J. Ethnopharmacol. 2015, 175, 528–548. [Google Scholar] [CrossRef]
- Venigalla, M.; Sonego, S.; Gyengesi, E.; Münch, G. Curcumin and Apigenin—Novel and Promising Therapeutics against Chronic Neuroinflammation in Alzheimer′s Disease. Neural Regen. Res. 2015, 10, 1181. [Google Scholar] [CrossRef]




| Independent Variables | Code Units | Coded Variable Levels | ||||
|---|---|---|---|---|---|---|
| 1 | 2 | 3 | 4 | 5 | ||
| Technique | X1 | ST | PEF + ST | US + ST | PEF + US + ST | – | 
| C (%, v/v) | X2 | 0 | 25 | 50 | 75 | 100 | 
| t (min) | X3 | 30 | 60 | 90 | 120 | 150 | 
| T (°C) | X4 | 20 | 35 | 50 | 65 | 80 | 
| Design Point | Independent Variables | Responses | ||||||||
|---|---|---|---|---|---|---|---|---|---|---|
| TPC (mg GAE/g dw) | FRAP (μmol AAE/g dw) | DPPH (μmol AAE/g dw) | ||||||||
| X1 | X2 | X3 | X4 | Actual | Predicted | Actual | Predicted | Actual | Predicted | |
| 1 | 3 | 1 | 3 | 4 | 7.59 ± 0.40 | 8.60 | 57.24 ± 1.66 | 54.96 | 29.33 ± 1.55 | 28.42 | 
| 2 | 3 | 2 | 1 | 3 | 14.43 ± 0.87 | 13.79 | 48.67 ± 0.97 | 48.34 | 40.29 ± 2.70 | 37.77 | 
| 3 | 2 | 3 | 4 | 3 | 7.29 ± 0.17 | 8.24 | 66.97 ± 2.01 | 68.89 | 35.08 ± 2.56 | 36.82 | 
| 4 | 2 | 4 | 5 | 4 | 7.02 ± 0.31 | 5.74 | 34.56 ± 2.42 | 37.38 | 29.84 ± 1.10 | 30.38 | 
| 5 | 3 | 5 | 4 | 2 | 3.61 ± 0.17 | 3.41 | 14.60 ± 0.55 | 14.56 | 6.14 ± 0.46 | 8.89 | 
| 6 | 4 | 1 | 4 | 5 | 19.93 ± 0.44 | 18.93 | 23.63 ± 0.50 | 25.09 | 25.16 ± 1.28 | 24.57 | 
| 7 | 4 | 2 | 3 | 1 | 20.22 ± 0.67 | 20.34 | 27.26 ± 1.74 | 28.83 | 28.84 ± 1.38 | 29.35 | 
| 8 | 1 | 3 | 3 | 2 | 16.99 ± 0.83 | 15.44 | 64.03 ± 1.28 | 61.73 | 36.47 ± 1.93 | 33.45 | 
| 9 | 1 | 4 | 4 | 1 | 8.62 ± 0.18 | 9.55 | 28.36 ± 1.50 | 29.18 | 25.74 ± 0.62 | 25.88 | 
| 10 | 1 | 5 | 1 | 4 | 10.33 ± 0.22 | 11.07 | 55.48 ± 2.66 | 55.21 | 10.61 ± 0.36 | 12.16 | 
| 11 | 1 | 1 | 2 | 3 | 16.15 ± 0.63 | 14.82 | 72.10 ± 3.10 | 75.31 | 28.74 ± 1.26 | 28.79 | 
| 12 | 1 | 2 | 5 | 5 | 15.29 ± 0.73 | 16.31 | 51.20 ± 1.59 | 49.31 | 37.95 ± 2.39 | 38.80 | 
| 13 | 4 | 3 | 2 | 4 | 24.67 ± 1.09 | 25.72 | 55.37 ± 3.43 | 52.78 | 38.79 ± 2.44 | 42.55 | 
| 14 | 3 | 4 | 2 | 5 | 18.96 ± 0.89 | 19.03 | 58.94 ± 2.71 | 61.36 | 35.64 ± 2.46 | 36.02 | 
| 15 | 2 | 5 | 3 | 5 | 10.59 ± 0.42 | 9.76 | 34.17 ± 1.54 | 32.75 | 18.30 ± 0.93 | 15.54 | 
| 16 | 2 | 1 | 1 | 1 | 6.16 ± 0.44 | 6.68 | 31.23 ± 2.28 | 30.49 | 17.03 ± 1.11 | 18.80 | 
| 17 | 2 | 2 | 2 | 2 | 9.52 ± 0.70 | 10.75 | 61.52 ± 3.01 | 60.22 | 31.56 ± 2.08 | 31.57 | 
| 18 | 3 | 3 | 5 | 1 | 7.12 ± 0.19 | 6.29 | 66.54 ± 3.33 | 65.50 | 37.33 ± 1.79 | 36.33 | 
| 19 | 4 | 4 | 1 | 2 | 19.42 ± 0.82 | 18.49 | 26.36 ± 1.16 | 27.58 | 28.80 ± 1.01 | 26.93 | 
| 20 | 4 | 5 | 5 | 3 | 12.05 ± 0.83 | 13.01 | 20.03 ± 0.54 | 18.79 | 14.30 ± 0.57 | 12.92 | 
| Responses | Second-Order Polynomial Equations (Models) | R2 Predicted | R2 Adjusted | p-Value | Eq. | 
|---|---|---|---|---|---|
| TPC | Y = 23.16 − 19.37X1 + 11.34X2 − 2.88X3 − 1.29X4 + 3.8X12 − 2.28X22 − 0.76X32 + 1.08X42 + 0.4X1X2 + 0.88X1X3 − 0.59X1X4 + 0.88X2X3 − 0.5X2X4 + 0.08X3X4 | 0.9731 | 0.8978 | 0.0053 | (6) | 
| FRAP | Y = 13.88 − 13.93X1 − 5.92X2 + 34.77X3 + 24.33X4 − 2.7X12 − 2.05X22 + 0.79X32 − 4.69X42 + 5X1X2 − 0.27X1X3 + 2.69X1X4 − 6.44X2X3 + 4.96X2X4 − 5.32X3X4 | 0.9901 | 0.9623 | 0.0005 | (7) | 
| DPPH | Y = −2.98 − 1.07X1 + 15.07X2 + 5.7X3 + 6.68X4 + 0.45X12 − 3.89X22 + 0.54X32 − 0.46X42 + 0.68X1X2 − 1.42X1X3 + 0.41X1X4 − 0.02X2X3 + 0.74X2X4 − 1.59X3X4 | 0.9662 | 0.8717 | 0.0090 | (8) | 
| Responses | Optimal Conditions | ||||
|---|---|---|---|---|---|
| Maximum Predicted Response | Technique (X1) | C (%, v/v) (X2) | t (min) (X3) | T (°C) (X4) | |
| TPC (mg GAE/g dw) | 25.72 ± 3.59 | PEF + US + ST (4) | 50 (3) | 60 (2) | 65 (4) | 
| FRAP (μmol AAE/g dw) | 79.82 ± 6.48 | ST (1) | 25 (2) | 90 (3) | 50 (3) | 
| DPPH (μmol AAE/g dw) | 43.98 ± 9.51 | US + ST (3) | 50 (3) | 30 (1) | 65 (4) | 
| Responses | TPC | FRAP | DPPH | 
|---|---|---|---|
| TPC | - | 0.0810 | 0.4385 | 
| FRAP | - | 0.6179 | |
| DPPH | - | 
| Variables | PLS Model Values | Experimental Values | 
|---|---|---|
| TPC (mg GAE/g dw) | 29.59 | 28.82 ± 1.59 | 
| FRAP (μmol AAE/g dw) | 58.27 | 57.15 ± 3.31 | 
| DPPH (μmol AAE/g dw) | 48.25 | 47.55 ± 2.90 | 
| A/A | Polyphenolic Compound | Optimal Extract (mg/g dw) | Quantity (%) | 
|---|---|---|---|
| 1. | Chlorogenic acid | 3.13 ± 0.23 | 17.1 | 
| 2. | Caffeic acid | 0.17 ± 0.01 | 1.0 | 
| 3. | Syringic acid | 0.16 ± 0.01 | 0.9 | 
| 4. | p-Coumaric acid | 0.55 ± 0.04 | 3.0 | 
| 5. | Ferulic acid | 0.19 ± 0.01 | 1.0 | 
| 6. | Rutin | 2.54 ± 0.18 | 13.9 | 
| 7. | Quercetin 3-β-D-glucoside | 0.95 ± 0.03 | 5.2 | 
| 8. | Luteolin-7-glucoside | 1.37 ± 0.10 | 7.5 | 
| 9. | Narirutin | 0.96 ± 0.05 | 5.3 | 
| 10. | Kaempferol-3-glucoside | 1.72 ± 0.04 | 9.4 | 
| 11. | Apigenin-7-O-glucoside | 2.55 ± 0.13 | 13.9 | 
| 12. | Myricetin | 0.59 ± 0.04 | 3.2 | 
| 13. | Rosmarinic acid | 3.42 ± 0.09 | 18.7 | 
| Total identified | 18.3 ± 0.97 | 
| Disclaimer/Publisher’s Note: The statements, opinions and data contained in all publications are solely those of the individual author(s) and contributor(s) and not of MDPI and/or the editor(s). MDPI and/or the editor(s) disclaim responsibility for any injury to people or property resulting from any ideas, methods, instructions or products referred to in the content. | 
© 2024 by the authors. Licensee MDPI, Basel, Switzerland. This article is an open access article distributed under the terms and conditions of the Creative Commons Attribution (CC BY) license (https://creativecommons.org/licenses/by/4.0/).
Share and Cite
Naoum, E.; Xynopoulou, A.; Kotsou, K.; Chatzimitakos, T.; Athanasiadis, V.; Bozinou, E.; Lalas, S.I. The Value of Using Green Extraction Techniques to Enhance Polyphenol Content and Antioxidant Activity in Nasturtium officinale Leaves. Appl. Sci. 2024, 14, 10739. https://doi.org/10.3390/app142210739
Naoum E, Xynopoulou A, Kotsou K, Chatzimitakos T, Athanasiadis V, Bozinou E, Lalas SI. The Value of Using Green Extraction Techniques to Enhance Polyphenol Content and Antioxidant Activity in Nasturtium officinale Leaves. Applied Sciences. 2024; 14(22):10739. https://doi.org/10.3390/app142210739
Chicago/Turabian StyleNaoum, Eva, Aikaterini Xynopoulou, Konstantina Kotsou, Theodoros Chatzimitakos, Vassilis Athanasiadis, Eleni Bozinou, and Stavros I. Lalas. 2024. "The Value of Using Green Extraction Techniques to Enhance Polyphenol Content and Antioxidant Activity in Nasturtium officinale Leaves" Applied Sciences 14, no. 22: 10739. https://doi.org/10.3390/app142210739
APA StyleNaoum, E., Xynopoulou, A., Kotsou, K., Chatzimitakos, T., Athanasiadis, V., Bozinou, E., & Lalas, S. I. (2024). The Value of Using Green Extraction Techniques to Enhance Polyphenol Content and Antioxidant Activity in Nasturtium officinale Leaves. Applied Sciences, 14(22), 10739. https://doi.org/10.3390/app142210739
 
        






 
       