Propagation, Scattering and Defect Detection in a Circular Edge with Quasi-Edge Waves
Abstract
1. Introduction
2. Numerical Study
2.1. Three-Dimensional FE Model for Investigating Propagation Characteristics of
2.2. Effect of the Curvature on the Propagation Characteristics of
2.2.1. Attenuation
- (a)
- By observing the relationship between and R/T ratio in Figure 4, it was found that the function of has a good correlation to the simulated data, where , and are parameters related to , and is the ratio of R/T.
- (b)
- The nonlinear least-squares optimisation was employed to find the values of and parameters using an iteration procedure, which minimises the residual sum of squares (RSSs) between predicted values and the corresponding FE simulation results.
- (c)
- To generalise the fitting between and R/T ratio across different s, the parameters of , and in different cases were presented as linear.
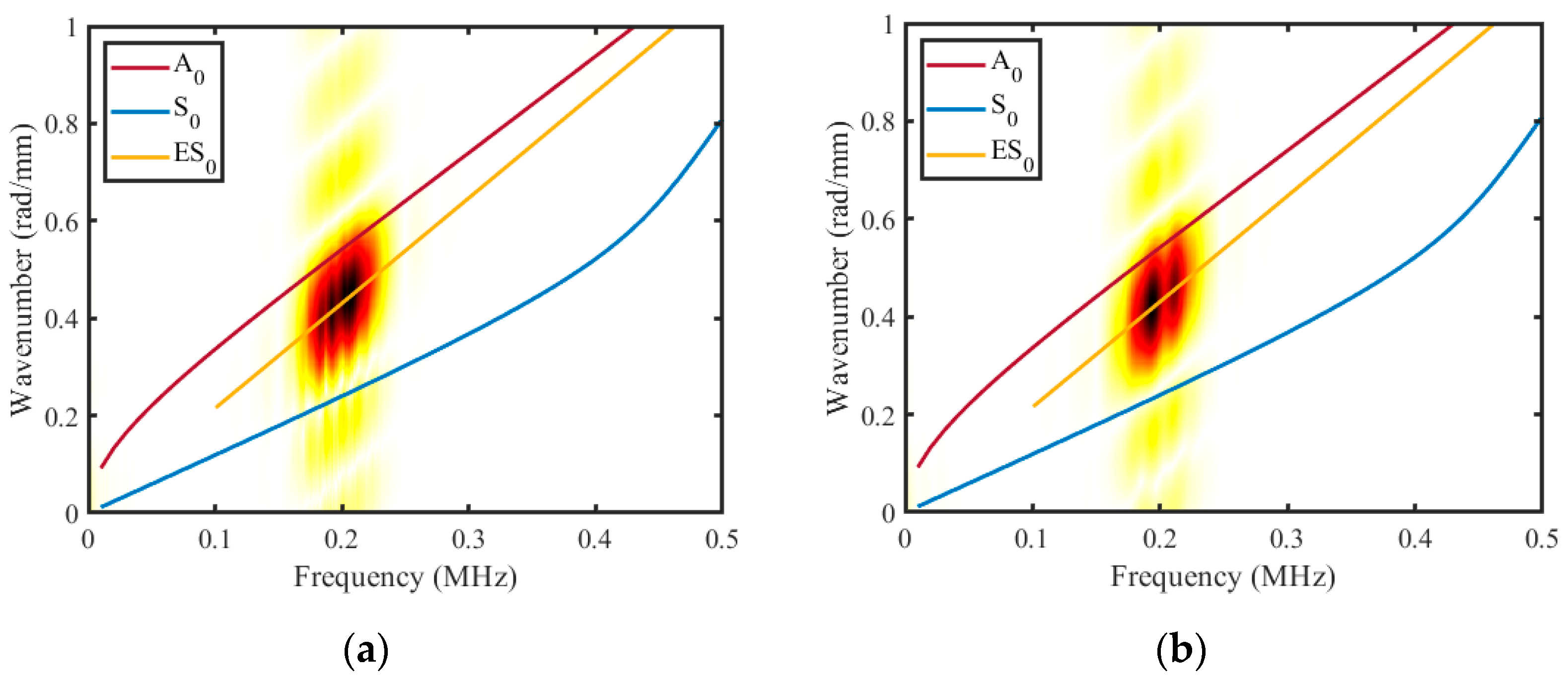
2.2.2. Mode Shapes
2.3. A 3D FE Model for Investigating Scattering Characteristics of the Wave Mode at an Edge Defect
3. Experimental Study
3.1. Specimen
3.2. Experimental Setup
3.3. Reflection and Transmission at Edge Defects
4. Directivity Pattern of Scattered Waves
4.1. Influence of the Size of Through-Thickness Edge Defect
4.2. Influence of Location and Size of Partially Through-Thickness Edge Defect
5. Conclusions
Author Contributions
Funding
Institutional Review Board Statement
Informed Consent Statement
Data Availability Statement
Conflicts of Interest
References
- Masserey, B.; Mazza, E. Ultrasonic sizing of short surface cracks. Ultrasonics 2007, 46, 195–204. [Google Scholar] [CrossRef] [PubMed]
- Guan, R.; Lu, Y.; Wang, K.; Su, Z. Fatigue crack detection in pipes with multiple mode nonlinear guided waves. Struct. Health Monit. 2018, 18, 180–192. [Google Scholar] [CrossRef]
- Zhu, W.; Xu, Z.; Xiang, Y.; Liu, C.; Deng, M.; Qiu, X.; Sun, D.; Xuan, F. Nonlinear ultrasonic detection of partially closed cracks in metal plates using static component of lamb waves. NDT E Int. 2021, 124, 102538. [Google Scholar] [CrossRef]
- Zima, B.; Woloszyk, K.; Garbatov, Y. Experimental and numerical identification of corrosion degradation of ageing structural components. Ocean. Eng. 2022, 258, 111739. [Google Scholar] [CrossRef]
- Ding, X.; Xu, C.; Deng, M.; Zhao, Y.; Bi, X.; Hu, N. Experimental investigation of the surface corrosion damage in plates based on nonlinear Lamb wave methods. NDT E Int. 2021, 121, 102466. [Google Scholar] [CrossRef]
- Sharma, S.; Mukherjee, A. Ultrasonic guided waves for monitoring corrosion in submerged plates. Struct. Control Health Monit. 2015, 22, 19–35. [Google Scholar] [CrossRef]
- Zhao, G.; Wang, B.; Wang, T.; Hao, W.; Luo, Y. Detection and monitoring of delamination in composite laminates using ultrasonic guided wave. Compos. Struct. 2019, 225, 111161. [Google Scholar] [CrossRef]
- Hervin, F.; Maio, L.; Fromme, P. Guided wave scattering at a delamination in a quasi-isotropic composite laminate: Experiment and simulation. Compos. Struct. 2021, 275, 114406. [Google Scholar] [CrossRef]
- Lan, Z.; Saito, O.; Okabe, Y. Delamination detection in CFRP laminates using a chirp guided wave mixing technique. NDT E Int. 2024, 144, 103086. [Google Scholar] [CrossRef]
- Fan, Z.; Lowe, M.J.S. Elastic waves guided by a welded joint in a plate. Proc. R. Soc. A Math. Phys. Eng. Sci. 2009, 465, 2053–2068. [Google Scholar] [CrossRef]
- Ray, P.; Rajagopal, P.; Srinivasan, B.; Balasubramaniam, K. Feature-guided wave-based health monitoring of bent plates using fiber Bragg gratings. J. Intell. Mater. Syst. Struct. 2016, 28, 1211–1220. [Google Scholar] [CrossRef]
- Hughes, J.M.; Mohabuth, M.; Kotousov, A.; Ng, C.T. The fundamental ultrasonic edge wave mode: Propagation characteristics and potential for distant damage detection. Ultrasonics 2021, 114, 106369. [Google Scholar] [CrossRef] [PubMed]
- Yu, X.; Fan, Z.; Castaings, M.; Biateau, C. Feature guided wave inspection of bond line defects between a stiffener and a composite plate. NDT E Int. 2017, 89, 44–55. [Google Scholar] [CrossRef]
- Fan, Z.; Castaings, M.; Lowe, M.J.S.; Biateau, C.; Fromme, P. Feature-guided waves for monitoring adhesive shear modulus in bonded stiffeners. NDT E Int. 2013, 54, 96–102. [Google Scholar] [CrossRef]
- Ramdhas, A.; Pattanayak, R.K.; Balasubramaniam, K.; Rajagopal, P. Symmetric low-frequency feature-guided ultrasonic waves in thin plates with transverse bends. Ultrasonics 2015, 56, 232–242. [Google Scholar] [CrossRef]
- Lan, Z.; Li, W.; Deng, M.; Okabe, Y. Combined harmonic generation of feature guided waves mixing in a welded joint. Wave Motion 2023, 117, 103103. [Google Scholar] [CrossRef]
- Lawrie, J.B.; Kaplunov, J. Edge waves and resonance on elastic structures: An overview. Math. Mech. Solids 2011, 17, 4–16. [Google Scholar] [CrossRef]
- Pichugin, A.V.; Rogerson, G.A. Extensional edge waves in pre-stressed incompressible plates. Math. Mech. Solids 2011, 17, 27–42. [Google Scholar] [CrossRef]
- Wilde, M.V.; Golub, M.V.; Eremin, A.A. Experimental and theoretical investigation of transient edge waves excited by a piezoelectric transducer bonded to the edge of a thick elastic plate. J. Sound Vib. 2019, 441, 26–49. [Google Scholar] [CrossRef]
- Zhu, H.; Kotousov, A.; Ng, C.T. Defects evaluation near edges of structural elements using the fundamental mode of edge waves. J. Sound Vib. 2023, 557, 117753. [Google Scholar] [CrossRef]
- Wu, J.; Jiang, C.; Ng, C.-T.; Fang, H. Detection of edge delamination in composite laminates using edge waves. Compos. Struct. 2024, 340, 118177. [Google Scholar] [CrossRef]
- Chu, J.Y.H.; Courtney, C.R.P. The Detection of Impact Damage to the Edges of CFRP Plates Using Extensional Ultrasonic Edge Waves. J. Nondestruct. Eval. 2021, 40, 88. [Google Scholar] [CrossRef]
- Zhu, H.; Ng, C.T.; Kotousov, A. Fatigue crack detection in edges of thin-walled structures with corners using the fundamental mode of edge waves. Ultrasonics 2023, 132, 106995. [Google Scholar] [CrossRef] [PubMed]
- Vien, B.S.; Rose, L.R.F.; Chiu, W.K. Experimental and Computational Studies on the Scattering of an Edge-Guided Wave by a Hidden Crack on a Racecourse Shaped Hole. Materials 2017, 10, 732. [Google Scholar] [CrossRef]
- Morlock, M.B.; Kim, J.Y.; Jacobs, L.J.; Qu, J. Mixing of two co-directional Rayleigh surface waves in a nonlinear elastic material. J. Acoust. Soc. Am. 2015, 137, 281–292. [Google Scholar] [CrossRef]

















| Part | Material | Density (kg/m3) | Elastic Modulus (GPa) | Poisson’s Ratio | α Damping |
|---|---|---|---|---|---|
| Specimen | Aluminium | 2704.00 | 70.00 | 0.30 | N/A |
| Wedge | Polystone | 351.40 | 0.90 | 0.40 | 28,783.30 |
Disclaimer/Publisher’s Note: The statements, opinions and data contained in all publications are solely those of the individual author(s) and contributor(s) and not of MDPI and/or the editor(s). MDPI and/or the editor(s) disclaim responsibility for any injury to people or property resulting from any ideas, methods, instructions or products referred to in the content. |
© 2024 by the authors. Licensee MDPI, Basel, Switzerland. This article is an open access article distributed under the terms and conditions of the Creative Commons Attribution (CC BY) license (https://creativecommons.org/licenses/by/4.0/).
Share and Cite
Liang, P.; Kotousov, A.; Ng, C.T. Propagation, Scattering and Defect Detection in a Circular Edge with Quasi-Edge Waves. Appl. Sci. 2024, 14, 10672. https://doi.org/10.3390/app142210672
Liang P, Kotousov A, Ng CT. Propagation, Scattering and Defect Detection in a Circular Edge with Quasi-Edge Waves. Applied Sciences. 2024; 14(22):10672. https://doi.org/10.3390/app142210672
Chicago/Turabian StyleLiang, Peifeng, Andrei Kotousov, and Ching Tai Ng. 2024. "Propagation, Scattering and Defect Detection in a Circular Edge with Quasi-Edge Waves" Applied Sciences 14, no. 22: 10672. https://doi.org/10.3390/app142210672
APA StyleLiang, P., Kotousov, A., & Ng, C. T. (2024). Propagation, Scattering and Defect Detection in a Circular Edge with Quasi-Edge Waves. Applied Sciences, 14(22), 10672. https://doi.org/10.3390/app142210672

