Optimizing Fundamental Frequencies in Axially Compressed Rotating Laminated Cylindrical Shells
Abstract
1. Introduction
2. Vibration Analysis
3. Numerical Analysis
3.1. Laminated Cylindrical Shells with Various End Conditions, Axial Compressive Forces, and Rotating Speeds
3.2. Maximization of the Fundamental Frequency of Laminated Cylindrical Shells with Various Lengths, Various Axial Compressive Forces, and
3.3. Maximization of the Fundamental Frequency of Laminated Cylindrical Shells with Various Lengths, Various Axial Compressive Forces, and
3.4. Maximization of the Fundamental Frequency of Laminated Cylindrical Shells with Various Lengths, Various Axial Compressive Forces, and
3.5. Effect of the Rotating Speed on the Optimal Fiber Angle and the Maximum Fundamental Frequency of Laminated Cylindrical Shells
3.6. Maximization of the Fundamental Frequency of Laminated Cylindrical Shells with Various Lengths, Various Cutouts, Various Axial Compressive Forces, and
4. Conclusions
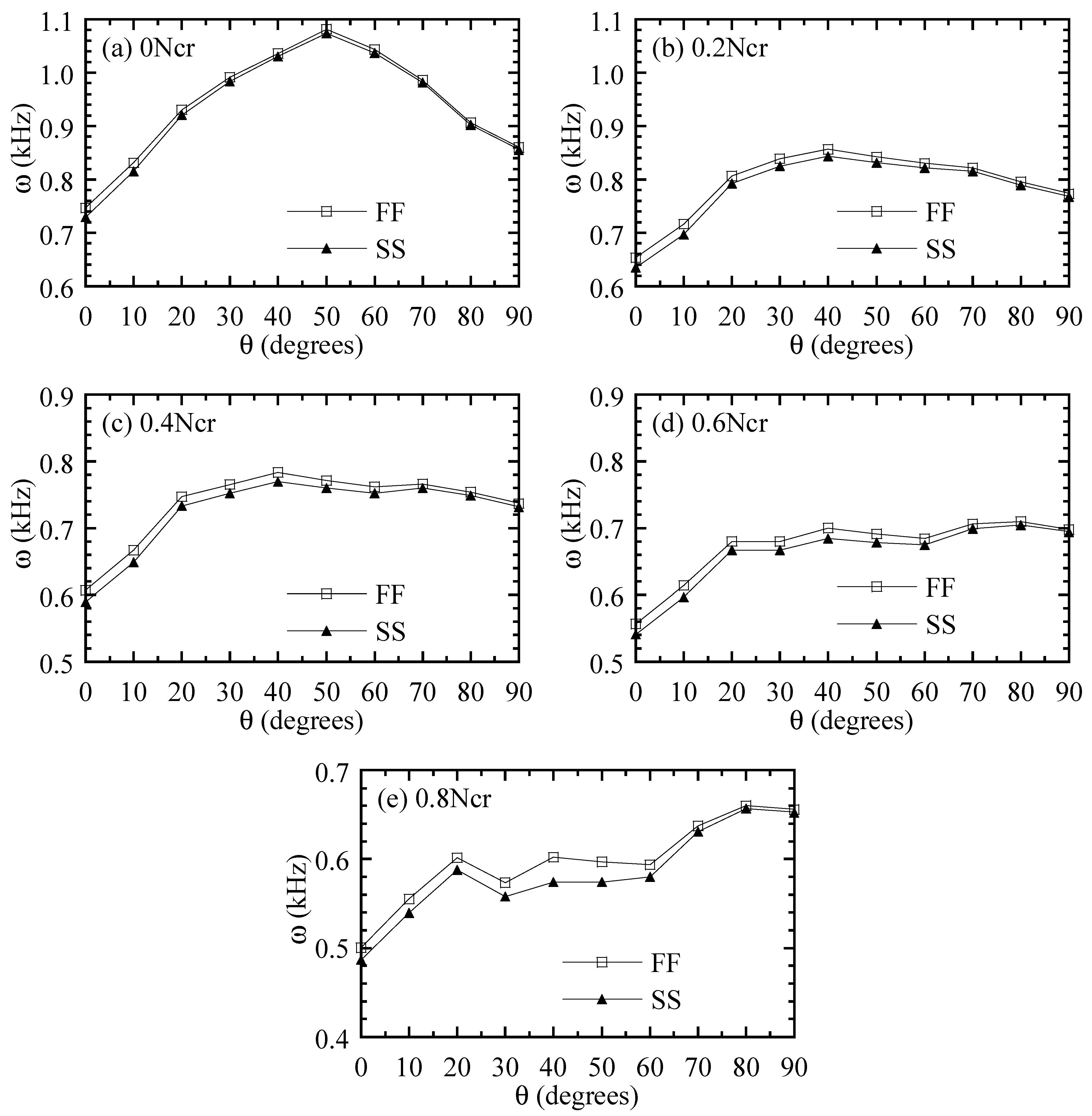
- The influence of boundary conditions between FF ends and SS ends on the fundamental frequency of laminated cylindrical shells gradually decreased when the L/R ratio was large.
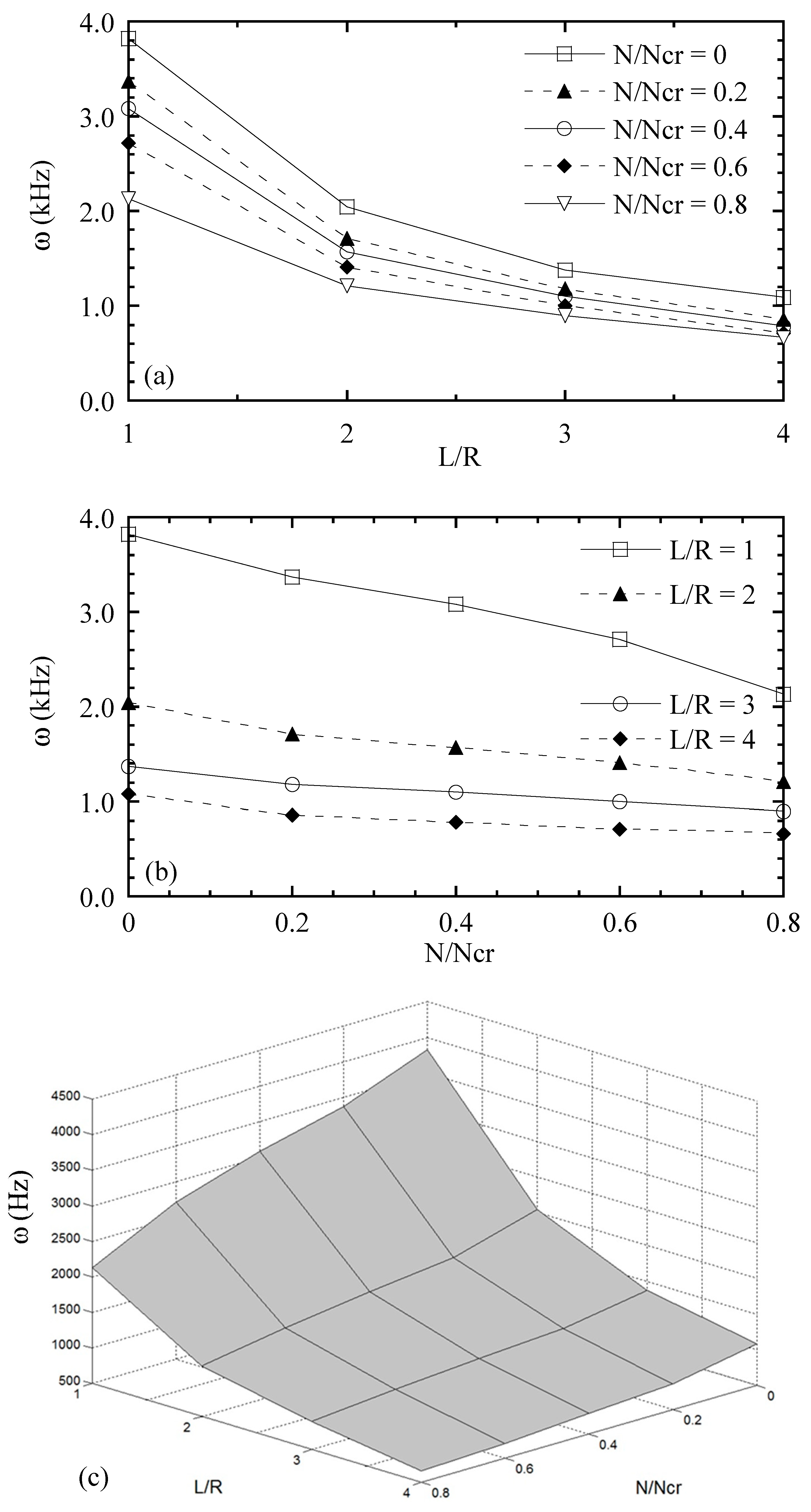
- The optimal frequency decreased with increasing L/R ratios and ratios. In addition, the influence of the L/R ratio on the optimal frequency was more significant than that of the ratio.
- With an increase in the L/R ratio, the fundamental vibration modes of the cylindrical shells displayed fewer waves in the circumferential direction. Additionally, when the L/R ratio was low, shells under higher axial compressive force exhibited fundamental vibration modes with fewer waves in the circumferential direction than those under lower axial compressive force.
- The maximum fundamental frequency of the cylinder shells increased with increasing rotation speed. When rotating speed was increased, the fundamental vibration modes of the shells with high rotating speed had fewer waves in the circumferential direction.
- The maximum fundamental frequency of the shell increased with increasing d/R ratios. In addition, the fundamental vibration modes of the cylindrical shells tended to have more local modes around the cutout when the L/R ratio was small, the d/R ratio was large, and the ratio was large.
- By understanding how the fiber orientation, L/R ratio, ratio, and rotation speed affect optimal fundamental frequency and vibration mode, engineers can tailor laminated cylindrical shells to achieve desired vibrational characteristics. This can minimize resonance issues and enhance stability in applications in aerospace engineering.
Author Contributions
Funding
Institutional Review Board Statement
Informed Consent Statement
Data Availability Statement
Conflicts of Interest
References
- Kim, C.D.; Bert, C.W. Critical speed analysis of laminated composite, hollow drive shafts. Compos. Eng. 1993, 3, 633–643. [Google Scholar] [CrossRef]
- Hua, L.; Lam, K.Y. Frequency characteristics of a thin rotating cylindrical shell using the generalized differential quadrature method. Int. J. Mech. Sci. 1998, 40, 443–459. [Google Scholar] [CrossRef]
- Hu, H.-T.; Tsai, J.-Y. Maximization of the fundamental frequencies of laminated cylindrical shells with respect to fiber orientations. J. Sound Vib. 1999, 225, 723–740. [Google Scholar] [CrossRef]
- Liew, K.M.; Ng, T.Y.; Zhao, X. Vibration of axially loaded rotating cross-ply laminated cylindrical shells via Ritz method. J. Eng. Mech. ASCE 2002, 128, 1001–1007. [Google Scholar] [CrossRef]
- Hu, H.-T.; Wang, K.-L. Vibration analysis of rotating laminated cylindrical shells. AIAA J. 2007, 45, 2051–2061. [Google Scholar] [CrossRef][Green Version]
- Song, X.; Zhai, J.; Chen, Y.; Han, Q. Traveling wave analysis of rotating cross-ply laminated cylindrical shells with arbitrary boundaries conditions via Rayleigh–Ritz method. Compos. Struct. 2015, 133, 1101–1115. [Google Scholar] [CrossRef]
- Li, C.; Li, P.; Zhong, B.; Miao, X. Large-amplitude vibrations of thin-walled rotating laminated composite cylindrical shell with arbitrary boundary conditions. Thin-Walled Struct. 2020, 156, 106966. [Google Scholar] [CrossRef]
- Ng, T.Y.; Lam, K.Y. Vibration and critical speed of a rotating cylindrical shell subjected to axial loading. Appl. Acoust. 1999, 56, 273–282. [Google Scholar] [CrossRef]
- Li, X.; Li, Y.H.; Xie, T.F. Vibration characteristics of a rotating composite laminated cylindrical shell in subsonic air flow and hygrothermal environment. Int. J. Mech. Sci. 2019, 150, 356–368. [Google Scholar] [CrossRef]
- Liu, X.; Hou, X.; Bai, B.; Zeng, M. Investigation on free vibration of rotating cylindrical shells with variable thickness. Shock Vib. 2023, 2023, 8887349. [Google Scholar]
- Chen, L.-W.; Peng, W.-K. The stability behavior of rotating composite shafts under axial compressive loads. Compos. Struct. 1998, 41, 253–263. [Google Scholar] [CrossRef]
- Ahmadi, I.; Najafi, M. Three-dimensional stresses analysis in rotating thin laminated composite cylindrical shells. Steel Compos. Struct. 2016, 22, 1193–1214. [Google Scholar] [CrossRef]
- Zhang, X.M. Parametric analysis of frequency of rotating laminated composite cylindrical shells with the wave propagation approach. Comput. Methods Appl. Mech. Eng. 2002, 191, 2029–2043. [Google Scholar] [CrossRef]
- Chang, C.Y.; Chang, M.Y.; Huang, J.H. Vibration analysis of rotating composite shafts containing randomly oriented reinforcements. Compos. Struct. 2004, 63, 21–32. [Google Scholar] [CrossRef]
- Ghasemi, A.R.; Meskini, M. Free vibration analysis of porous laminated rotating circular cylindrical shells. J. Vib. Control 2019, 25, 2494–2508. [Google Scholar] [CrossRef]
- Lam, K.Y.; Loy, C.T. Influence of boundary conditions for a thin laminated rotating cylindrical shell. Compos. Struct. 1998, 41, 215–228. [Google Scholar] [CrossRef]
- Liu, T.; Zhang, W.; Mao, J.J.; Zheng, Y. Nonlinear breathing vibrations of eccentric rotating composite laminated circular cylindrical shell subjected to temperature, rotating speed and external excitations. Mech. Syst. Signal Process. 2019, 127, 463–498. [Google Scholar] [CrossRef]
- Hu, H.-T.; Ou, S.-C. Maximization of the fundamental frequencies of laminated truncated conical shells with respect to fiber orientations. Compos. Struct. 2001, 52, 265–275. [Google Scholar] [CrossRef]
- Hu, H.-T.; Peng, H.-W. Maximization of fundamental frequency of axially compressed laminated curved panels with cutouts. Compos. Part B Eng. 2013, 47, 8–25. [Google Scholar] [CrossRef]
- Topal, U. Multiobjective optimization of laminated composite cylindrical shells for maximum frequency and buckling load. Mater. Des. 2009, 30, 2584–2594. [Google Scholar] [CrossRef]
- Hu, H.-T.; Tsai, W.-K. Maximization of the fundamental frequencies of axially compressed laminated plates against fiber orientation. AIAA J. 2009, 27, 916–922. [Google Scholar] [CrossRef]
- Hu, H.-T.; Chen, P.-J. Maximization of fundamental frequencies of axially compressed laminated truncated conical shells against fiber orientation. Thin-Walled Struct. 2015, 97, 154–170. [Google Scholar] [CrossRef]
- Sonmez, F.O. Optimum design of composite structures: A literature survey (1969–2009). J. Reinf. Plast. Compos. 2017, 36, 3–39. [Google Scholar] [CrossRef]
- Miller, B.; Ziemianski, L. Maximization of eigenfrequency gaps in a composite cylindrical shell using genetic algorithms and neural networks. Appl. Sci. 2019, 9, 2754. [Google Scholar] [CrossRef]
- Jing, Z. Optimal design of laminated composite cylindrical shells for maximum fundamental frequency using sequential permutation search with mode identification. Compos. Struct. 2022, 279, 114736. [Google Scholar] [CrossRef]
- Haftka, R.T.; Gürdal, Z.; Kamat, M.P. Elements of Structural Optimization, 2nd ed.; Kluwer Academic Publishers: Dordrecht, The Netherlands, 1990; Chapter 4. [Google Scholar]
- Christensen, P.W.; Klarbring, A. An Introduction to Structural Optimization; Springer: Berlin/Heidelberg, Germany, 2009. [Google Scholar]
- Vanderplaats, G.N. Numerical Optimization Techniques for Engineering Design with Applications; McGraw-Hill: New York, NY, USA, 1984; Chapter 2. [Google Scholar]
- Dassault Systèmes. Simulia Abaqus Analysis User’s Manuals, Theory Manuals and Example Problems Manuals; Dassault Systèmes: Vélizy-Villacoublay, France, 2024. [Google Scholar]
- Christensen, R.M. Mechanics of Composite Materials; Krieger Publishing Company: Malabar, FL, USA, 1991. [Google Scholar]
- Jones, R.M. Mechanics of Composite Materials, 2nd ed.; Taylor & Francis Group: Abingdon, UK, 1998. [Google Scholar]
- Hyer, M.W. Stress Analysis of Fiber-Reinforced Composite Materials; Destech Publications, Inc.: Lancaster, PA, USA, 2009. [Google Scholar]
- Cook, R.D.; Malkus, D.S.; Plesha, M.E.; Witt, R.J. Concepts and Applications of Finite Element Analysis, 4th ed.; John Wiley & Sons Inc.: Hoboken, NJ, USA, 2002. [Google Scholar]
- Hu, H.-T.; Chen, J.-M. Maximization of fundamental frequencies of axially compressed Laminated curved panels against fiber orientation. CMC: Comput. Mater. Contin. 2012, 28, 181–211. [Google Scholar]
- Crawley, E.F. The natural modes of graphite/epoxy cantilever plates and shells. J. Compos. Mater. 1979, 13, 195–205. [Google Scholar] [CrossRef]
- Huang, Y.-W. Maximization of Fundamental Frequencies of Axially Compressed Rotating Laminated Cylindrical Shells. Master’s Thesis, Department of Civil Engineering, National Cheng Kung University, Tainan, Taiwan, 2013. [Google Scholar]




































Disclaimer/Publisher’s Note: The statements, opinions and data contained in all publications are solely those of the individual author(s) and contributor(s) and not of MDPI and/or the editor(s). MDPI and/or the editor(s) disclaim responsibility for any injury to people or property resulting from any ideas, methods, instructions or products referred to in the content. |
© 2024 by the authors. Licensee MDPI, Basel, Switzerland. This article is an open access article distributed under the terms and conditions of the Creative Commons Attribution (CC BY) license (https://creativecommons.org/licenses/by/4.0/).
Share and Cite
Hu, H.-T.; Huang, Y.-W. Optimizing Fundamental Frequencies in Axially Compressed Rotating Laminated Cylindrical Shells. Appl. Sci. 2024, 14, 10595. https://doi.org/10.3390/app142210595
Hu H-T, Huang Y-W. Optimizing Fundamental Frequencies in Axially Compressed Rotating Laminated Cylindrical Shells. Applied Sciences. 2024; 14(22):10595. https://doi.org/10.3390/app142210595
Chicago/Turabian StyleHu, Hsuan-Teh, and Yi-Wei Huang. 2024. "Optimizing Fundamental Frequencies in Axially Compressed Rotating Laminated Cylindrical Shells" Applied Sciences 14, no. 22: 10595. https://doi.org/10.3390/app142210595
APA StyleHu, H.-T., & Huang, Y.-W. (2024). Optimizing Fundamental Frequencies in Axially Compressed Rotating Laminated Cylindrical Shells. Applied Sciences, 14(22), 10595. https://doi.org/10.3390/app142210595

