Numerical Analysis of the Vehicle Damping Performance of a Magnetorheological Damper with an Additional Flow Energy Path
Abstract
1. Introduction
1.1. Research Background and Conventional Study Status
1.2. Research Purpose
2. Research Method
2.1. Mathematical Modeling
2.1.1. Damping Force Model
2.1.2. Viscous Damping Force Model
- The MR fluid is assumed to be an incompressible fluid due to its high density and minimal volume change even under operating input;
- The flow within the MR damper is considered steady-state, assuming laminar flow in the low-velocity, low-Reynolds-number region. Therefore, it is treated as steady flow;
- The flow in the additional flow path and upper and lower chambers is friction-free;
- The flow in the additional flow path and upper and lower chambers is the flow along the streamline;
- To simplify the energy conservation analysis, the control volume is divided into sections A and B, as shown in Figure 3;
- It is assumed that the MR fluid conserves energy within each section, so the pressure drop between the inlet and outlet of each MR fluid section is the same;
- To reflect that the kinetic energy of the piston is fully transferred to the fluid, it is assumed that the piston velocity and the MR fluid velocity at the inlet are the same.
2.1.3. Magnetic Damping Force Models
2.1.4. Quarter-Car Model
2.2. Numerical Analysis Modeling
2.2.1. Additional Flow Path MR Damper Design
2.2.2. Vibration Analysis Method Using the Quarter-Car Model
2.2.3. Magnetic Circuit Model
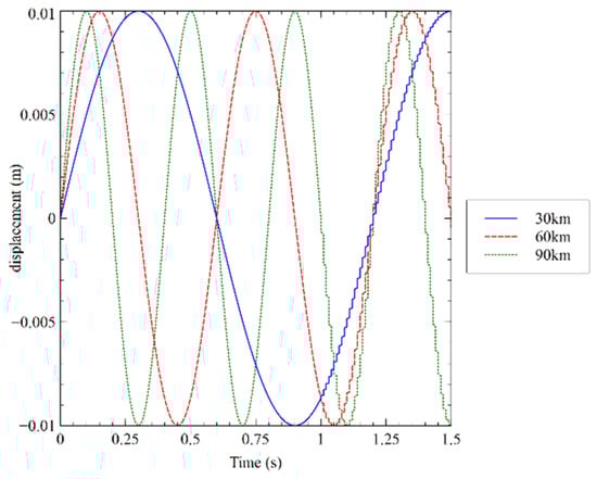
2.2.4. Road Surface Model
3. Results and Discussion
3.1. Electromagnetic Analysis Results
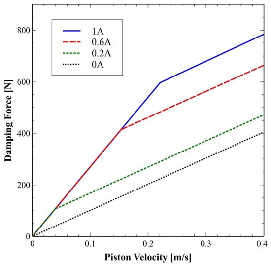
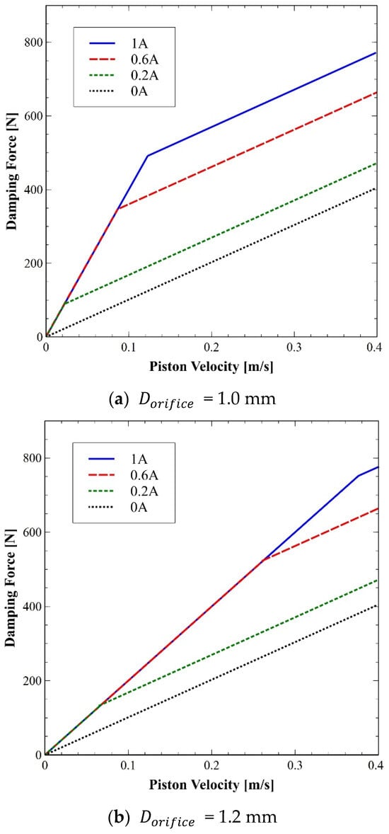
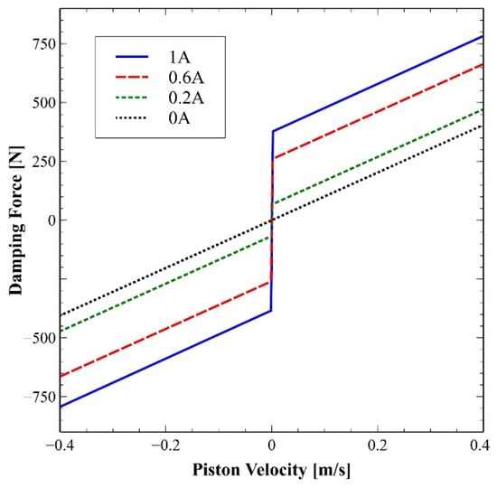
3.2. Flow Analysis Results
3.3. Vibration Analysis Results
4. Conclusions
- (1)
- The MR damper with a non-magnetic orifice significantly reduces abrupt variations in damping force at very low piston velocities, decreasing force variation by approximately 56% compared to a conventional MR damper. This design modification effectively resolves the “block-up phenomenon,” resulting in smoother damping transitions and improved ride comfort during low-speed vertical vibrations;
- (2)
- The MR damper exhibits excellent performance in controlling the acceleration of the upper part of the vehicle by adjusting the applied current when the vehicle is driven at low and medium speeds. At 30 km/h, it could be adjusted by up to 37.9% from 0.0451 m/s2 to 0.0622 m/s2, and at 60 km/h it could be adjusted by up to 18.7% from 1.66 m/s2 to 1.97 m/s2;
- (3)
- The MR damper can significantly reduce the displacement, speed, and acceleration of the upper part of the vehicle owing to road excitation when the vehicle is driven at a high speed. The displacement decreased by up to 14.1% from 0.00708 m to 0.00608 m, the velocity decreased by up to 7.09% from 0.127 m/s to 0.118 m/s, and the acceleration decreased by up to 7.73% from 1.94 m/s2 to 1.79 m/s2.
Author Contributions
Funding
Institutional Review Board Statement
Informed Consent Statement
Data Availability Statement
Acknowledgments
Conflicts of Interest
References
- Kwon, Y.; Park, S.; Kim, K.; Baek, D.; Lee, S. Study on performance comparison of MR damper for fluid properties and orifice shapes. J. Korea Acad.-Ind. Coop. Soc. 2014, 15, 1305–1310. [Google Scholar]
- Park, J.; Park, K.; Baek, W.; Lee, I. Magnetic circuit design of MRF damper for semi-active suspension. Trans. Korean Soc. Mech. Eng. 2002, 2002, 3835–3840. [Google Scholar]
- Liu, G.; Gao, F.; Liao, W.H. Shape optimization of magnetorheological damper piston based on parametric curve for damping force augmentation. Smart Mater. Struct. 2021, 31, 015027. [Google Scholar] [CrossRef]
- Lee, H.; Choi, S.; Lee, S. Vibration control of a passenger vehicle featuring MR suspension units. J. Korean Soc. Noise Vib. Eng. 2001, 11, 41–48. [Google Scholar]
- Lee, S.; Choi, S. Hysteresis model of damping forces of MR damper for a passenger car. J. Trans. Korean Soc. Mech. Eng. 2000, 9, 189–197. [Google Scholar]
- Yoon, H.; Moon, I.; Kim, J.; Oh, C.; Lee, H. Semi-active control of a suspension system with a MR damper of a large-sized bus. J. Korean Soc. Manuf. Technol. Eng. 2012, 21, 683–690. [Google Scholar]
- Jin, S.; Kim, N.; Kim, M.; Rhee, E. A study for estimation of vehicle driving performance according to response time of MR damper. Trans. Korean Soc. Mech. Eng. 2020, 2020, 243. [Google Scholar]
- Kim, N.; Jin, S.; Rhee, E. A study on the comparison of performance characteristics of MR dampers and passive dampers in driving conditions. Trans. Korean Soc. Mech. Eng. 2021, 2021, 323. [Google Scholar]
- Sohn, J.; Oh, J.; Choi, S. Damping force characteristics of MR damper with additional flow path. Trans. Korean Soc. Noise Vib. Eng. 2015, 25, 426–431. [Google Scholar] [CrossRef]
- Park, J.; Kang, K. Development of MR damper with asymmetric damping force using additional oil path shut-off system. Trans. Korean Soc. Mech. Eng. 2023, 2023, 237. [Google Scholar]
- Jeon, K.; Juong, R.; Han, Y.; Oh, J. Fuzzy control performance and ride comfort evaluation of MR damper with additional flow path. Trans. Korean Soc. Mech. Eng. 2020, 30, 591–596. [Google Scholar]





































| Magnetics (Unit) | Symbol | Electronics (Unit) | Symbol |
|---|---|---|---|
| MMF (At) | F | EMF (V) | V |
| Reluctance (A/Weber) | R | Resistance (ohm) | R |
| Flux (Weber) | Ø | Current (A) | I |
| Flux density (Tesla) | B | Current density (A/) | J |
| Field Intensity | H | Field intensity (V/m) | E |
| Permeability (H/m) | μ | Resistivity (Ohm∙m) | ρ |
| Permeance (Weber/A) | P |
| Parameter | Value | Units |
|---|---|---|
| Whole sprung mass (M) | 1270 | kg |
| Unsprung mass (mf, mr) | 35.3 | kg |
| Spring stiffness (kf, fr) | 28,500 | N/m |
| Damping coefficient (c) | 1850 | Ns/m |
| Damper response time (t) | 7 | ms |
| Tire radius (r) | 0.335 | m |
| Tire stiffness (ktf, ktr) | 268,000 | N/m |
| CG to front wheel | 1.02 | m |
| CG to rear wheel | 1.9 | m |
| Vehicle tread | 1.7 | m |
| Parameters | Values |
|---|---|
| 0.42 mm | |
| 388.09 mm2 | |
| 36 mm2 | |
| 1.1 mm2 | |
| 26.1 mm | |
| 80 mm | |
| 1.1 mm | |
| 84.8 mm2 | |
| 26.1 mm | |
| No. turns per coil | 162 turns |
| current | 0.2~1.0 A |
| Core and Flux Ring | AISI 1008 |
| MR fluid | LOAD Cooperation MRF-132DG |
| Cylinders and piston rod | AL6061 |
| Properties | Values |
|---|---|
| 2.5 | |
| 0.03 |
| Parameter | Velocity [km/h] | Frequency [Hz] |
|---|---|---|
| Sine wave excitation frequency | 30 | 0.833 |
| 60 | 1.667 | |
| 90 | 2.5 |
| Ampere [A] | Magnetic Flux Density [T] | Error [%] | |
|---|---|---|---|
| ANSYS Maxwell Model | Permeance Model | ||
| 0.6 | 1.408 | 1.532 | 8.08% |
| 0.8 | 1.598 | 1.642 | 2.67% |
| 1.0 | 1.713 | 1.702 | −0.646% |
| Current [A] | Damping Force [N] |
|---|---|
| 0 | |
| 66.83 | |
| 258.98 | |
| 374.06 |
[mm] | Average Damping Coefficient [N·s/m] |
|---|---|
| 1.0 | 1945 |
| 1.1 | 1949 |
| 1.2 | 1939 |
| Current [A] | Damping Coefficient [N·s/m] |
|---|---|
| 0.0 | 1013 |
| 0.2 | 1180 |
| 0.6 | 1676 |
| 1.0 | 1949 |
| Current [A] | 0 | 0.6 | 1.0 | Vehicle | |
|---|---|---|---|---|---|
| Kinematic | Variables | Displacement | |||
| Peak Point | (x, y) | (0.414, 0.015) | (0.399, 0.014) | (0.394, 0.0136) | (0.395, 0.0138) |
| Velocity | |||||
| (1.15, 0.0844) | (1.20, 0.0769) | (1.21, 0.0754) | (1.21, 0.0759) | ||
| Acceleration | |||||
| (0.871, 0.622) | (0.884, 0.485) | (0.892, 0.451) | (0.889, 0.462) | ||
| Current [A] | 0 | 0.6 | 1.0 | Vehicle | |
|---|---|---|---|---|---|
| Kinematic | Variables | Displacement | |||
| Peak Point | (x, y) | (0.287, 0.0124) | (0.269, 0.0119) | (0.262, 0.0117) | (0.265, 0.0118) |
| Velocity | |||||
| (0.766, 0.219) | (0.74, 0.184) | (0.7305, 0.175) | (0.7335, 0.178) | ||
| Acceleration | |||||
| (0.621, 1.97) | (0.5935, 1.73) | (0.584, 1.66) | (0.5875, 1.69) | ||
| Current [A] | 0 | 0.6 | 1.0 | Vehicle | |
|---|---|---|---|---|---|
| Kinematic | Variables | Displacement | |||
| Peak Point | (x, y) | (0.676, 0.00608) | (0.6445, 0.00672) | (0.6335, 0.00708) | (0.638, 0.00695) |
| Velocity | |||||
| (0.5635, 0.118) | (0.536, 0.123) | (0.527, 0.127) | (0.535, 0.125) | ||
| Acceleration | |||||
| (0.4535, 1.79) | (0.43, 1.88) | (0.422, 1.94) | (0.425, 1.92) | ||
| Max Amplitude [m] | Period [s] | |
|---|---|---|
| AMESim | 0.0143 | 1.20000 |
| Theorical Model | 0.013589 | 1.20012 |
| Error [%] | 5.23 | 0.01 |
Disclaimer/Publisher’s Note: The statements, opinions and data contained in all publications are solely those of the individual author(s) and contributor(s) and not of MDPI and/or the editor(s). MDPI and/or the editor(s) disclaim responsibility for any injury to people or property resulting from any ideas, methods, instructions or products referred to in the content. |
© 2024 by the authors. Licensee MDPI, Basel, Switzerland. This article is an open access article distributed under the terms and conditions of the Creative Commons Attribution (CC BY) license (https://creativecommons.org/licenses/by/4.0/).
Share and Cite
Kim, M.; Yoo, S.; Yoon, D.; Jin, C.; Won, S.; Lee, J. Numerical Analysis of the Vehicle Damping Performance of a Magnetorheological Damper with an Additional Flow Energy Path. Appl. Sci. 2024, 14, 10575. https://doi.org/10.3390/app142210575
Kim M, Yoo S, Yoon D, Jin C, Won S, Lee J. Numerical Analysis of the Vehicle Damping Performance of a Magnetorheological Damper with an Additional Flow Energy Path. Applied Sciences. 2024; 14(22):10575. https://doi.org/10.3390/app142210575
Chicago/Turabian StyleKim, Minje, Seungin Yoo, Dongjin Yoon, Chanyoung Jin, Seongjae Won, and Jinwook Lee. 2024. "Numerical Analysis of the Vehicle Damping Performance of a Magnetorheological Damper with an Additional Flow Energy Path" Applied Sciences 14, no. 22: 10575. https://doi.org/10.3390/app142210575
APA StyleKim, M., Yoo, S., Yoon, D., Jin, C., Won, S., & Lee, J. (2024). Numerical Analysis of the Vehicle Damping Performance of a Magnetorheological Damper with an Additional Flow Energy Path. Applied Sciences, 14(22), 10575. https://doi.org/10.3390/app142210575

