Abstract
The aromatic profile of red wines is influenced by various factors, among them being distinguished the pedoclimatic ones, the variety, or the production technology. In the winemaking process, the use of different yeast strains can lead to obtaining wines with specific or conventional aromas (commercial strains), but also to the production of wines with a regional character using local strains. This study focuses on the analysis and comparison of the compounds that offer aromas in five wine varieties (Pinot noir, Feteasca Neagra, Burgund Mare, Syrah, and Novac) from Recaș, Romania, obtained through microvinification under the influence of several types of starter strains (Enartis Ferm SC, Viniferm Sensacion, SCR297, SCR462). The concentrations of polyphenols and anthocyanins, as well as their antioxidant activity, were monitored, resulting in significant values, mainly using autochthonous strains isolated from local plantations. A total of 30 aroma compounds were identified, maximum amounts being noted in the assortments where SCR297/SCR462 yeasts were used within the fermentation process. From a sensory point of view, a lower floral modulation was found when using commercial Enartis Ferm SC Saccharomyces cerevisiae yeasts. In conclusion, it the importance was demonstrated of isolated strains from the region used in fermentation processes, resulting in more aromatic and locally specific red wines.
1. Introduction
Wine is considered a true hub of valuable elements and compounds, with a complex chemical structure that shapes its aromatic, nutritional, and even medical character. Some of these compounds are found in the skin and pulp of the grapes, while others are formed during the fermentation and aging processes of the wine [1]. The quality of wines is marked especially by phenolic and volatile compounds, recent studies demonstrating the ability of some Saccharomyces cerevisiae yeast strains to amplify them [1,2,3,4,5,6,7,8].
The precursors found in the must lead to the formation of aromas during the alcoholic fermentation period, the quantities identified being variable and largely dependent on all the elements involved in wine production [9]. The applied technologies lead to the improvement of aromatic attributes, or can influence the characters of the wine—currently, the methods used are very diverse [10,11]. The aromatic quality of a wine depends to a high extent on the variety of transformations that can take place during the must fermentation period, and on the conditions imposed on this process. The aromatic palette that accumulates in wines is made up mainly of esters and their derivatives, volatile fatty acids, aldehydes, ketones, terpene compounds, higher alcohols, polyphenols, and micro and macro elements [11,12,13]. Volatile compounds and other elements contribute to the formation of aromas; they can be markers for identifying wines or they can give them authenticity, but their concentration is directly proportional to the specifics of the variety, the possibility of accumulation of various elements, and characteristics specific to the area of origin [11,14,15]. The number of different classes of chemical compounds is an important index of the quality and antioxidant capacity of wine, especially red wine [16]. They have a major contribution in the prevention of cardiovascular diseases, with anti-cancer or anti-inflammatory effects [16,17,18,19,20,21].
Around 100 volatile compounds (esters, terpene compounds, higher alcohols, volatile fatty acids, aldehydes, and other compounds) were identified and quantified by gas chromatography (GC-MS, GC-FID) methods, the values obtained being diverse, depending on the elements presented above [8,22,23,24]. The expansion of French varieties all over the world and the establishment of standardized viticulture techniques can lead to the phenomenon of wine uniformity; therefore, it is recommended to adopt new techniques and procedures that emphasize the typicality and authenticity of the wine. An approachable method is also the isolation of yeast strains from the region of the vineyard where the vine is grown. Studies have shown that each area, plantation, or region is marked by a specific microbiota. This contributes to the formation of distinct sensory characteristics of the wines establishing a connection between them and the region of origin [25,26,27,28,29,30,31].
The purpose of this study is to identify chemical compounds (polyphenols, total anthocyanins, antioxidant activity, and volatile compounds) in wines obtained by using commercial and domestic yeasts in terms of their use and selection to obtain typical, authentic wines specific to the region of origin of grape varieties. Five wine varieties (Pinot noir, Feteasca Neagra, Burgund Mare, Syrah, and Novac) were targeted. One of the studied wines, Feteasca Neagra, results from one of Romania’s most cherished indigenous grape varieties, known for producing high-quality red wines. Feteasca Neagra dates back to ancient times, this grape variety being widely grown in Romania and Moldova [32]. The wine is mainly full-bodied, rich, and complex, with a deep ruby to garnet color, often exhibiting aromas of dark fruits (such as blackberries, black cherries, or plums), combined with hints of liquorice, spices, or a smoky and earthy undertone [33]. Burgund Mare is a lesser-known red hybrid grape type, remaining an important part of Romania’s viticultural heritage. It is primarily grown in regions like Moldova or Muntenia, being cultivated for many years, mainly due its ability to adapt to different growing conditions [34]. The wine is characterized by a deep red color, rich fruit flavor, and average tannin structure, with a balanced acidity [35,36]. Syrah, also known as Shiraz, is one of the most popular and intensively cultivated red wine grape varieties. Its origin is rooted in the Rhône Valley in France, but today it is planted in many wine-producing regions, including Romania. The Syrah wine has a dark color, rich flavors, and strong tannins [36,37]. Novac is a newer and lesser-known red grape variety from Romania. It is a hybrid between two native varieties (Negru vartos and Saperavi), and it gained attention due to its unique qualities [38]. The wine is a medium-bodied red wine exhibiting fresh and fruity flavors (such as black pepper, cloves, dark chocolate, juniper, raspberries, and soured cherries), with good structure and balance, relatively soft tannins, and bright acidity [39].
2. Materials and Methods
2.1. Wine Samples and Cultured Yeasts
To carry out this study, red grapes from the varieties Pinot noir, Feteasca Neagra, Burgund Mare, Syrah, and Novac were harvested from the vineyards of Recaş, in the hills of Banat, Romania. The grapes were harvested by hand at full maturity in the autumn of 2023. The area of interest has maximum heights of 150 m, with gentle slopes or plateaus, and southern, south-west, or south-east exposure. The soils are rich in microelements, iron oxides, the ecoclimatic data recommending the planting of red vine varieties. In the winemaking process, four types of yeasts were used: commercial culture yeasts—Enartis Ferm SC from Enartis, San Marino, Italy and Viniferm Sensacion produced by Agrovin, Ciudad Real, Spain; and yeast strains isolated from the area under study—Saccharomyces cerevisiae SCR297 and SCR462, from the collection of the Microbiology Laboratory of the Center for Research in Biotechnologies and Food Industries of the Faculty of Agricultural Sciences, Food Industry, and Environmental Protection, “Lucian Blaga” University of Sibiu, Sibiu, Romania.
2.2. Reagents and Standards
Part of the reagents were purchased from Sigma-Aldrich GmbH (Steinheim, Germany) and used without further purification: Na2SO4 (ACS reagent, ≥99.0%); NaCl (ACS reagent, ≥99.0%); sodium carbonate (ACS reagent, anhydrous, ≥99.5%); Folin–Ciocalteu reagent (Quality Level-200); ABTS (2,2-azinobis-3-ethylbenzothiazoline-6-sulfonic acid); Trolox; reference standards (tyrosol 97%, 4-vinilguaiacol 98%, benzyl alcohol 99.8%, beta-linalool 97%, 2,3-butandiol 96%, e-3-hexenol 97%, 1-hexanol 99%, 3-methylthio-1-propanol 99%, isopentyl alcohol 98%, 2-nonanol 97%, 2-pentanol 98%, 2-phenyl ethanol 99%, n-amyl alcohol 99%, n-propanol 99%, terpineol 96%, trans-geraniol 98%, diethyl succinate 99%, ethyl cinnamate 98%, ethyl lactate 98%, ethyl hexanoate 99%, ethyl butyrate 99%, ethyl decanoate 99%, 3-nonenoic acid, ethyl ester 99%, phenyl acetate 99%, butyric acid 99%, caprylic acid 98%, decanoic acid 98%, hexanoic acid 99%, isovaleric acid 99%, octanoic acid 99%). Dichloromethane (≥99.9%, GC Ultra Grade) used for the volatile’s extraction was purchased from Roth (Carl Roth International, Karlsruhe, Germany). Amounts of 10 mg of the reference standards were dissolved in 10 mL dichloromethane resulting in the stock solutions. The stock solutions were stored for a maximum of 5 days at 4 °C prior to their use.
2.3. Winemaking Method
The red wines were obtained by microvinification: 25 kg grapes were de-stemmed by hand, crushed, macerated for 8 days, and then pressed; the must was subjected to the process of controlled fermentation at 18 °C for 30 days. The grapes showed a sugar concentration between 225 g/L and 240 g/L. Vinification was carried out using a standard Galoferm package for premium quality red wines (SC Util Vinificatie SRL, Ploiesti, Romania). To highlight the influence of yeasts in the fermentation process, four types of yeasts were used: Enartis Ferm SC yeast (EFSC), Viniferm Sensacion yeast (VS) (SC Util Vinificatie SRL, Ploiesti, Romania), and the other two yeasts were isolated from the Recaș area, Romania—SCR297 and SCR462 (SC: Saccharomyces cerevisiae; R: Recaș).
2.4. Determination of the Folin–Ciocalteu Index
Total polyphenols (TPs) were determined by the spectrophotometric method using the slightly modified Folin–Ciocalteu method [40]. Wine samples were diluted 1:20 with deionized water. Amounts of 0.25 mL diluted wine were homogenized with 1.25 mL Folin–Ciocalteu reagent; after 5 min, 1 mL 7.5% sodium carbonate was added. The samples were incubated in the dark at room temperature for 60 min, then the absorbance reading was achieved using a spectrophotometer (UV-1900 SHIMADZU spectrophotometer, Shimadzu Corporation, Kyoto, Japan) at a wavelength of 765 nm. The results were expressed according to the calibration curve in mg equivalent gallic acid/L.
2.5. Total Anthocyanin Content
Total anthocyanin content (TAC) was determined using the spectrophotometric method [41]. The method involves measuring the optical density of the anthocyanins at different pH values (1 and 4.5) and two wavelengths (520 nm and 700 nm). The wine samples are homogenized with two different pH solutions (0.025 M KCl/0.4 M CH3CO2Na·3H2O), incubated at room temperature for 20 min, and then the absorbance is read. The results were expressed in mg equivalent Oenin/L, the calculation being carried out according to the following formula [14]:
where A = absorbance; MW (molecular mass) = 493.5 g/mol for Oenin (malvidin-3-glucoside); DF = dilution factor; l = width of the cuvette (1 cm); ε = 2690—molar extinction coefficient for L × mol−1 × cm−1.
All determinations were performed in triplicate.
2.6. Determination of Antioxidant Activity
The antioxidant capacity of the red wines obtained by the four variants was determined by the DPPH (1,1′-diphenyl-2-picrylhydrazyl radical) slightly modified method [42]. An 80 μM methanolic solution of DPPH was prepared and kept cold. Amounts of 250 μL wine were homogenized with 1750 μL DPPH solution and allowed to react for 30 min. The control sample was prepared in the same way, replacing the wine sample with methanol. The absorbance was read at 517 nm using the same spectrophotometer (UV-1900 SHIMADZU spectrophotometer, Shimadzu Corporation, Kyoto, Japan):
where Ab is the absorbance of the blank sample, and Aa is the absorbance of the sample.
In parallel, a calibration curve for the TEAC test was made using Trolox over a range of 0–600 μM/L [41]. The TEAC (mmol equivalent Trolox/L) test was applied to evaluate the antioxidant activity of samples using the ABTS+ radical, and as an equivalent Trolox. This radical results from the oxidation reaction between ABTS (2,2-azinobis-3-ethylbenzothiazoline-6-sulfonic acid) with potassium persulfate. The reaction took place at a temperature of 20 °C for 15 h in the absence of light. Decolorization occurred at room temperature after six minutes. The calibration curve was registered at a wavelength of 734 nm by diluting the ABTS+ solution with water and homogenization with 20 μL of Trolox standard solutions (standard solutions with concentrations starting from 0 to 25 μM). The results were expressed as mmol equivalent Trolox/L. All determinations were made in triplicates, the results being their average (n = 3).
2.7. GC-MS Determination of Aroma Compounds
The wines were stored at 4 °C prior to analysis. Liquid–liquid microextraction (LLME) adapted to the existing laboratory conditions and capabilities was used for sample preparation [43]. In total, 2.5 g sodium chloride (NaCl) were placed into a glass test tube (15 mL), then 8 mL wine sample and 4 mL dichloromethane were poured, the mixture being shaken for 10 s using a vibrating shaker for 3 min at 2500 rpm, then placed in an ice bath for 5 min. The aqueous and organic phases were isolated into test tubes using centrifugation at 3000 rpm for 15 min, then placed in an ice bath for 5 min. With a syringe with a long needle, 2 mL organic phase were transferred to a 4 mL ampoule containing 0.5–0.6 g anhydrous Na2SO4, the precipitated and condensed phase being centrifuged in vials at 3000 rpm for 3 min. The dichloromethane containing the extracted analytes was filtered using a 0.45 μm PTFE filter and poured into 3 GC vials with micro-inserts (for injection in ppb and ppm modes, store 1 spare vial in the freezer). For this adapted sample preparation algorithm, the analyte recoveries were obtained by processing a series of 8 identical simulated wine samples (composition: deionized water, 12.5% ethanol, 2 ppm from each sample).
The volatile substances from wine extracts were analyzed through gas chromatography with a three-quadrupole mass detector (Nexis GC-2030 GCMS-TQ8050NX, Shimadzu, Kyoto, Japan), using a previous developed method [44].
A capillary column (Rtx-5MS, 30 m × 0.25 mm × 0.25 µm) was used, and the injector temperature was established at 220 °C, with a 1 µL injection volume, using the splitless approach for the ppb concentration method and the split mode (20:1) for the ppm concentration method, at a 1.5 mL/min flow ratio. The difference between the two methods is the migration of the first 7 analytes with a small time difference. The rest of the settings for the methods were identical (except for the signal integration parameters). Helium (He, 99.999%) was used as carrier gas, at a 1.4 mL/min flow rate. The column temperature ranged, to separate the volatiles, from 40 °C (held for 7 min) to 95 °C (for 4 min) at a rate of 5 °C/min, then up to 120 °C (for 7 min) at a rate of 55 °C/min, and finally up to 280 °C for 12 min.
Target compounds were identified through comparison of their mass spectra with those existing in NIST MS Search 2.4 (National Institute of Standards and Technology, Gaithersburg, MD, USA).
2.8. Statistical Analysis
Tukey multiple range evaluation was achieved by applying variance analysis (ANOVA) for univariate analysis [45]. Partial least squares regression (PLSR) was accomplished using XLSTAT Addinsoft 2014.5.03 (Addinsoft Inc., New York, NY, USA). The concentration of the analytes during the extraction and during the 2-fold sample preparation were considered (8 mL wine → 4 mL dichlroromethane), the results being corrected both for the concentration and extraction degree [46]. PCA was applied to reduce the dimensionality of the data, increasing the capacity to differentiate groups based on their type and used yeast. The software made use of input data consisting of 30 variables for each wine sample. PCA converted the original data, representing volatile compound concentrations, into “scores” computed along the principal component axes. Scatter plots of the scores for the first principal components resulted in a clear visualization, effectively separating different sample types or samples with diverse values. These plots supported the identification of the compounds that contributed the most to the separation of samples into groups, with the most significant compounds reaching the highest absolute values. Normally, the top four principal components represent the most important. To reach an optimal screen plot, various methods were employed, including the Kaiser rule—selecting principal components with eigenvalues of at least 1—and a variance proportion plot, where the chosen principal components were considered for at least 80% of the total variance.
3. Results and Discussion
Figure 1 and Table S1 (Supplementary Materials) reveals the results for different yeast strains used in the vinification of five wine varieties: Pinot noir, Feteasca Neagra, Burgund Mare, Syrah, and Novac. The evaluated indicators included the following: total polyphenolic content (TPC, expressed in mg GAE/L), total anthocyanins (TAs, expressed in mg equivalent Oenin/L), DPPH radical scavenging activity (% DPPH), and total antioxidant activity (TEAC, expressed in mmol equivalent Trolox/L).
Figure 1.
Total polyphenolic content (TPC), total anthocyanins (TAs) (a), and antioxidant activity (DPPH and TEAC) (b) in wine samples obtained by using commercial and indigenous cultured yeasts.
As it can be seen, the results varied with the yeast strain used. Thus, in the case of using the ESFC strain, the values for total polyphenolic content are relatively high for all wine varieties, with the highest values for Syrah (2121.1 ± 17.4 mg GAE/L) and Feteasca Neagra (1803.4 ± 10.8 mg GAE/L). In the case of the total anthocyanin content, Syrah had the highest value (111.2 ± 1.8 mg equivalent Oenin/L) and Burgund Mare the lowest one (69.1 ± 1.2 mg equivalent Oenin/L). DPPH scavenging activity registered high values for Pinot noir (77.7%), Syrah (73.3%), and Novac (77.8%), while the total antioxidant capacity values were high for Pinot noir (7.72 mmol equivalent Trolox equivalent/L) and Novac (7.88 mmol equivalent Trolox equivalent/L). In the case of using the VS strain in the fermentation process, the TPC values are lower compared to other strains, but still quite consistent, Syrah having a high value (2027.4 ± 12.3 mg GAE/L). The concentration of anthocyanins varied, with Syrah again showing the highest value (129.7 ± 1.6 mg equivalent Oenin/L) and Burgund Mare the lowest (64.7 ± 1.1). DPPH is high for Pinot noir (92.3%) and Feteasca Neagra (87.3%), and TAs for Pinot Noir (9.31) and Feteasca Neagra (8.69) show high values.
The cultured yeasts obtained from the Recaș area (SCR297 and SCR462) gave the wines superior qualities, so the polyphenol values were generally high, with the highest for Syrah (2201.9 ± 15.8) and Feteasca Neagra (1822.1 ± 11.1 mg GAE/L), and Syrah (2028.3 ± 16.1 mg GAE/L) and Burgund Mare (1873.4 ± 12.3 mg GAE/L), respectively. When SCR297 was used, TAs showed the highest value in Syrah wine (134.9 ± 1.3 111.2 ± 1.8 mg equivalent Oenin/L), and Burgund Mare showed the lowest value (56.9 ± 1.3 111.2 ± 1.8 mg equivalent Oenin/L). Also, when the SCR462 strain was used, respectively, TAs in Syrah wine of 108.2 ± 1.5 were the highest and in Burgund Mare the lowest (64.5 ± 1.2 111.2 ± 1.8 mg equivalent Oenin/L). Instead, the scavenging activity was high for Feteasca Neagra (93.1%) and Syrah (88.1%) when SCR297 was applied, and in the case of the SCR462 strain it increased to 96.8% for Pinot noir and 93.4% for Syrah.
The total antioxidant activity was high in the case of Feteasca Neagra (9.04 mmol equivalent Trolox equivalent/L) and Pinot noir wine (8.34 mmol equivalent Trolox equivalent/L) when the SCR297 strain was used. For the autochthonous strain SCR462, the values were high for Pinot noir (9.73 mmol equivalent Trolox equivalent/L) and Feteasca Neagra (8.67 mmol equivalent Trolox equivalent/L).
It can be observed that yeast strains ESFC and SCR297 tended to generate high values for TPC and TAs, mainly for the Syrah and Feteasca Neagra varieties. The VS strain showed high antioxidant activities, especially for Pinot noir and Feteasca Neagra. Strain SCR462 promoted notable values for TPC and DPPH in Pinot noir and Feteasca Neagra. These observations suggest that yeast strain selection can significantly influence the phenolic composition and antioxidant activity of wines produced from different grape varieties.
The obtained results are in accordance with the literature, which has demonstrated the efficiency of using selected yeast strains in the fermentation process to obtain wines, the results covering a wide range of polyphenol values between 699–3900 mg GAE/L, total anthocyanins with values between 74–130 mg equivalent Oenin/L, and antioxidant activity up to 11.5 mmol equivalent Trolox/L [41,42,47,48,49,50].
It has been demonstrated that the volatile compounds are generally responsible for the various aromas and sensory characteristics of a wine [51]. Among them, volatile aliphatic alcohols and phenols, organic fatty acids, and esters must be identified and quantified.
Figure 2 and Tables S2–S6 (Supplementary Materials) provides information regarding the volatile alcohols in red wines obtained using commercial and native culture yeasts ESFC, VS, SCR297, and SCR462. A total of 16 superior alcohols were identified and quantified within the four types of red wine.
Figure 2.
Alcohols concentrations sum (µg/L) in red wines obtained using commercial and native culture yeasts (ESFC, VS, SCR297, SCR462).
The phenolic compounds, such as tyrosol, were quantified at values between 732.66 ± 30.17 µg/L (VS strain) and 913.61 ± 31.22 µg/L (SCR462 strain) in the case of Pinot noir wines. The cloves or carnations aroma can be detected when 4-vinylguaiacol is presented in a wine [52]. This was quantified in Pinor noir at high values when using strain SCR297 (5627.34 ± 93.36 µg/L), followed by SCR462 (4336.57 ± 81.64 µg/L).
For Feteasca Neagra wine, tyrosol was identified at values between 755.18 ± 29.50 µg/L in the case of the SCR297 strain and 860.59 ± 30.11 µg/L in the case of the ESFC strain. In addition, 4-vinylguaiacol falls between 1549.21 ± 58.14 µg/L (VS strain) and 5589.44 ± 49.15 µg/L (SCR297 strain). For Burgund Mare wine, maximum values were noted for tyrosol—897.78 ± 29.59 µg/L (strain SCR462)—and 4-vinylguaiacol—5484.21 ± 49.59 µg/L (strain SCR297).
On the other hand, Syrah wines presented much lower tyrosol and 4-vinylguaiacol concentrations (453.98 ± 22.11 µg/L and 1922.31 ± 48.45 µg/L, respectively) when strain SCR297 was used. In Novac wines, VS commercial strains stood out instead, leading to maximum values of tyrosol of 1032.31 ± 30.22 µg/L and 4-vinylguaiacol of 3414.19 ± 45.28 µg/L, respectively.
High values of 1-hexanol were observed in Pinot noir wine when strains SCR462 (1345.63 ± 65.80 µg/L) and SCR297 (1223.12 ± 59.81 µg/L) were applied. Strain SCR297 usage induced a 2-phenyl ethanol concentration of 7000.01 ± 49.34 µg/L, while SCR462 induced a concentration of 6899.35 ± 55.18 µg/L. In Feteasca Neagra wine, 1-hexanol showed a maximum concentration in the case of strain SCR462 (1533.14 ± 50.84 µg/L). The strain SCR297 induced a 2-phenyl ethanol concentration of 7089.69 ± 53.58 µg/L and an isopentyl alcohol concentration of 5777.58 ± 80.54 µg/L. For Burgund Mare and Syrah, the strain SCR462 led to maximum amounts of 1-hexanol (1421.59 ± 47.82 µg/L and 1247.53 ± 46.18 µg/L, respectively). The strain ESFC led in Syrah wine to maximum values of 2-phenyl ethanol (7701.39 ± 68.06 µg/L) and isopentyl alcohol (6609.05 ± 81.21 µg/L). In addition, 2-phenyl ethanol, together with some aromatic esters, induces one of the most pleasant tastes, like a flavour of roses [44].
In the case of Novac wine, the strains ESFC, VS, and SCR297 led to similar values of 1-hexanol (1113.73 ± 39.39 µg/L-1118.19 ± 45.17 µg/L); instead, strain SCR462 developed a value of 1333.21 ± 40.31 µg/L. In addition, 2-phenyl ethanol reached 4891.44 ± 39.11 µg/L (strain SCR462) and isopentyl alcohol reached 6821.29 ± 89.93 µg/L (strain SCR297). The high concentrations of isopentyl alcohol imprinted a harsh and bitter taste [53].
Figure 3 and Tables S2–S6 (Supplementary Materials) provide information regarding the organic acids in red wines obtained using commercial and native culture yeasts ESFC, VS, SCR297, and SCR462.
Figure 3.
Acids concentrations sum (µg/L) in red wines obtained using commercial and native culture yeasts (ESFC, VS, SCR297, SCR462).
It can be observed that, after the strains’ application within the winemaking process, the highest acids values were obtained for octanoic acid. Octanoic acid, an aliphatic acid, results during fermentation and imprints a buttery, fatty, and almond aroma [54,55]. For Pinot noir wine, the strain SCR297 induced the highest concentration (1893.16 ± 65.78 µg/L), while the ESFC strain resulted in the lowest concentration (1578.92 ± 63.23 µg/L). In the case of Feteasca Neagra, the highest octanoic acid value was obtained in the case of the VS stain (1799.1 ± 70.07 µg/L). Still, when indigen strains were used, the values obtained were close to this value (1753.29 ± 65.66 µg/L-SCR297 and 1659.69 ± 70.58 µg/L-SCAR462). The strains’ usage led to values between 1581.24 ± 59.67 µg/L and 1889.39 ± 68.71 µg/L in Burgund Mare wine and between 1672.92 ± 60.43 µg/L and 1795.31 ± 61.29 µg/L in Novac wine. The lowest concentration of octanoic acid was observed when ESFC strains was used for Syrah wine (1277.95 ± 60.93 µg/L).
The lowest concentrations were observed for butyric acid in all cases. In the Pinot noir wine, the values varied from 5.32 ± 0.15 to 6.71 ± 0.12 µg/L. Similar values were determined for Feteasca Neagra (from 5.69 ± 0.12 to 6.82 ± 0.09 µg/L µg/L) and Novac (from 5.33 ± 0.11 to 7.15 ± 0.12 µg/L). In the case of Burgund Mare, the lowest value was 4.88 ± 0.24 µg/L (when the VS strain was applied) and the highest was 7.01 ± 0.21 µg/L when the SCR297 strain was used. Close values were obtained for Syrah wine, from 6.77 ± 0.11 up to 7.61 ± 0.16 µg/L.
The highest caprylic acid concentration was determined in Novac wine when SCR297 was used (695.27 ± 49.12 µg/L), the lowest concentration being observed in the Feteasca Neagra wine when the VS strain was applied (476.19 ± 45.90 µg/L). Decanoic acid registered values from 202.53 ± 17.31 µg/L (Novac wine–ESFC strain) up to 311.55 ± 12.19 µg/L (Feteasca Neagra wine–SCR462 strain).
The values of hexanoic acid were high, varying from 870.84 ± 61.12 µg/L (Feteasca Neagra–SCR462) to 1358.12 ± 80.24 µg/L (Feteasca Neagra–ESFC). The isovaleric acid concentrations varied, from 498.77 ± 39.99 µg/L (Burgund Mare–SCR297) to 812.81 ± 46.34 µg/L (Syrah wine–ESFC).
Figure 4 and Tables S2–S6 (Supplementary Materials) provide information regarding the esters observed in the wines’ samples when commercial and native culture yeasts were applied.
Figure 4.
Esters concentrations sum (µg/L) in red wines obtained using commercial and native culture yeasts (ESFC, VS, SCR297, SCR462).
Eight esters were identified and quantified within the obtained wines when different strains were used.
An ester that contributes with significant values in the aromatic profile of wines is diethyl succinate, which registered the highest values among esters. Under the action of SCR462 autochthonous yeast it reached values between 555.15 ± 31.21 µg/L (Novac) and 1305.38 ± 31.54 µg/L (Feteasca Neagra). Another ester with high concentrations was phenyl acetate. The concentrations varied from 404.68 ± 13.05 µg/L (Novac–SCR462) up to 900.52 ± 25.98 µg/L (Feteasca Neagra–SCR297). The ethyl lactate and 3-nonenoic acid, ethyl ester had the lowest concentrations: from 29.14 ± 2.55 µg/L (Pinot noir–SCR297) to 60.12 ± 1.27 µg/L (Feteasca Neagra–VS) and from 16.27 ± 3.33 µg/L (Novac–SCR297) to 77.34 ± 4.96 µg/L (Pinot noir–VS), respectively.
It must be mentioned that the influence of yeasts on the aromatic character of wines has been previously presented in various studies at an international level [8,9,41,56,57]. The values obtained within this study for the detected volatile compounds were compared with the literature, the results being consistent, proving that strains can enhance the aromatic profile of red wines.
The volatile compounds codes for PCA analysis are highlighted in Table 1.
Table 1.
Volatile compounds codification for PCA.
Figure 5 displays the Pearson correlation coefficients between volatile phenols, alcohols, esters, and fatty acids identified in Pinot noir, Feteasca Neagra, Burgund Mare, Syrah, and Novac wines.
Figure 5.
Pearson correlation matrix of the volatile compounds detected in Pinot Noir, Feteasca Neagra, Burgund Mare, Syrah, and Novac wines produced using commercial and native yeast strains ESFC, VS, SCR297, and SCR462.
This matrix indicates a strong positive correlation between V2 (4-vinylguaiacol) and A1 (1-hexanol) with a coefficient of 0.712, as well as between A4 (2-pentanol) and A5 (2-phenylethanol) with a coefficient of 0.688, suggesting that these compounds tend to increase together. The very strong positive correlation between E1 (3-nonenoic acid, ethyl ester) and E2 (ethyl cinnamate) with a coefficient of 0.929 suggests that these esters likely vary together, while the correlation between F1 (butanedioic acid) and E5 (diethyl succinate) with a coefficient of 0.567 reflects a moderate positive correlation. Negative correlations, such as V1 (tyrosol) and A4 (2-pentanol) with a coefficient of −0.605, A3 (2-nonanol) and F6 (isovaleric acid) with a coefficient of −0.696, and A5 (2-phenylethanol) and F4 (decanoic acid) with a coefficient of −0.586, indicate an inversely proportional relationship. Several moderate correlations (ranging from 0.3 to 0.6) are also observed, such as between A2 (2,3-butanediol) and E1 (3-nonenoic acid, ethyl ester) (0.553) and A7 (benzyl alcohol) and E3 (phenyl acetate) (0.640). Similarly, F5 (hexanoic acid) and F6 (isovaleric acid) show a moderate negative correlation of −0.388, indicating an inverse relation. Many of the fatty acids (F1 to F7) exhibit complex interrelations, with some showing strong negative correlations with alcohols and other classes. This suggests that the metabolic processes during fermentation with different yeast strains may lead to varying concentrations of these compounds. Understanding these correlations can provide insights into how different yeast strains affect the flavor profiles of wines by influencing the concentrations of specific volatile compounds. For winemakers, knowledge of these interactions can be crucial for crafting wines with desirable aroma and flavor profiles.
Principal component analysis (PCA) was applied to determine the volatile compounds detected in wines produced using commercial and native yeast strains ESFC, VS, SCR297, and SCR462. In the PCA plot (Figure 6), the length of each eigenvector is proportional to the variation in the data for independent factors, and the angle between the eigenvectors denotes the correlation among wine, yeast strain, and volatile compound.
Figure 6.
2D principal component analysis plot of the volatile compounds detected in (A) Pinot noir, (B) Feteasca Neagra, (C) Burgund Mare, (D) Syrah, (E) Novac, and all wines produced using commercial and native yeast strains ESFC, VS, SCR297, and SCR462.
The major sources of variance captured by the principal component analysis are the yeast strains used to produce the wines. For the Pinot noir and Burgund Mare wines, the principal component loadings suggest that SCR297 contributes the most to the first principal component (F1). In the case of the second principal component (F2), the largest contribution comes from ESFC for Pinot noir, Feteasca Neagra, and Burgund Mare wines. For Syrah and Novac, the variables with the greatest influence were ESFC and SCR297 for F1 and VS for F2. According to the 2D principal component analysis, the two principal components, F1 and F2, together explain between 77.76% and 84.03% of the total variance in the data. In the Pinot noir wine plot, the first principal component (F1) is strongly correlated (with a correlation above 0.5) with twenty of the volatile compounds (V2, A1, A2, A5, A6, A7, A8, A11, A12, A13, E1, E2, E3, E4, E7, E8, F1, F2, F6, and F7). A strong positive correlation was noted between F1 and the volatile compounds V1, V2, A1, A2, A4, A6, A12, A14, E1, E2, E4, E7, E8, F1, and F6 in Feteasca Neagra wines. Similarly, for the Burgund Mare, Syrah, and Novac wines, volatile compounds from all groups had a major influence on F1. A strong correlation with V2 exists across all wines, except for the Syrah wines. Notably, Novac wines do not show a strong positive correlation with alcohols A1 and A2. Most alcohols were positively correlated with F1 in Pinot noir wines, while the fewest correlations were observed in Feteasca Neagra wines (Figure 6A–E). Wines with similar aromatic profiles after fermentation with commercial yeasts ESFC, VS, SCR297, and SCR462 were grouped into four clearly differentiated clusters, with Syrah and Novac wines being distinct, regardless of the yeast strain used.
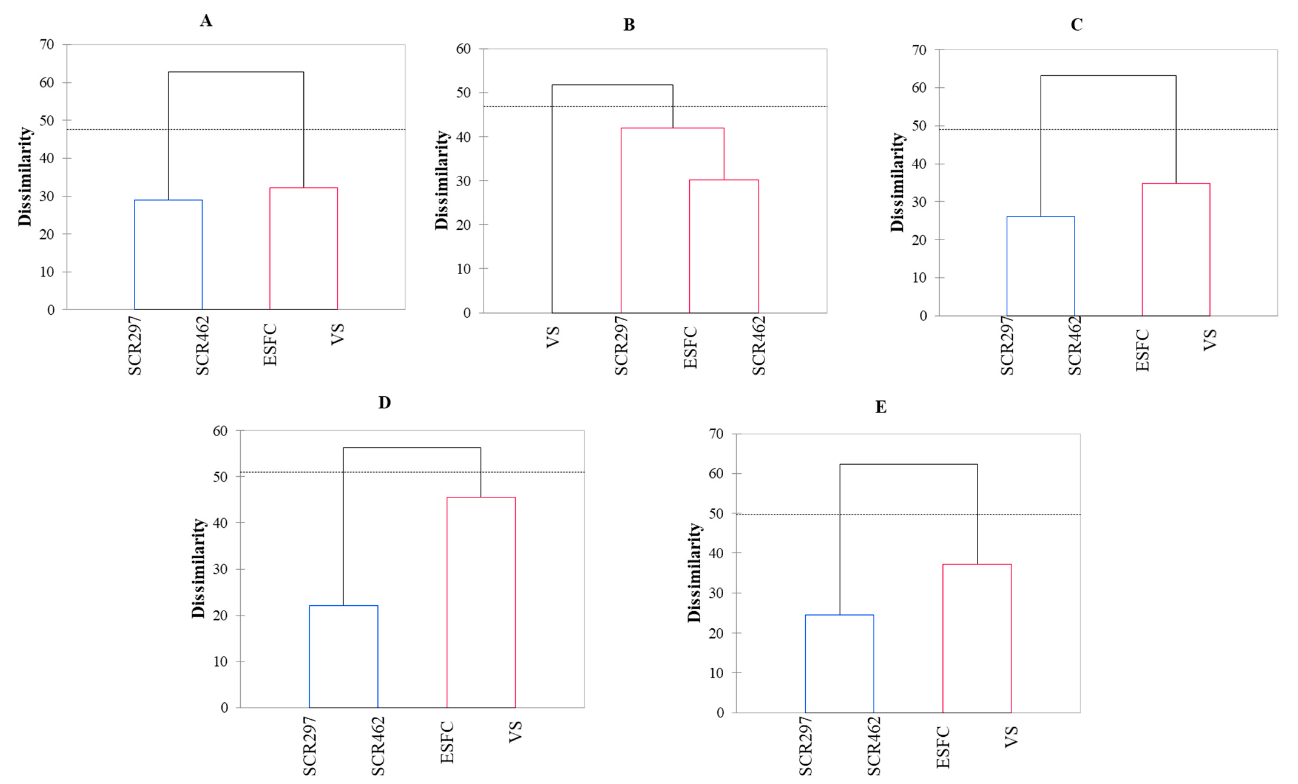
The dendrogram analysis (Figure 7) highlights two bifolious clades for Pinot noir, Burgund Mare, Syrah, and Novac: one composed of SCR297 and SCR462, which are more similar to each other than to any other samples, and another composed of ESFC and VS. For Feteasca Neagra, the dendrogram analysis highlights two clades, with one being trifolious, suggesting that SCR297, SCR462, and ESFC are most similar to each other, while the other is simplicifolious—VS—indicating a different fermentation pattern than the other yeast strains.
Figure 7.
Dendrogram of hierarchical cluster analysis of wine samples of (A) Pinot noir, (B) Feteasca Neagra, (C) Burgund Mare, (D) Syrah, and (E) Novac produced using commercial and native yeast strains ESFC, VS, SCR297, and SCR462.
4. Conclusions
The results highlight the significant impact of yeast strains on the phenolic composition and antioxidant capacity of wines, thus contributing to the final aromatic character of the product.
It can be stated that the Pinot noir and Feteasca Neagra wines showed high antioxidant activities and high polyphenol content when fermented with SCR462 and SCR297 strains. Burgund Mare wine had more moderate values for all indicators, with the SCR462 strain performing best overall. Syrah stood out for its high anthocyanin content, mainly when fermented with SCR297 and VS strains.
These observations indicate that each wine variety reacted differently to various yeast strains, significantly influencing the phenolic composition and antioxidant activity. The desired aromatic characteristics of a wine can be optimized when the right yeast strain is chosen.
In the case of Pinot noir, the strain SCR297 was evidenced, producing high amounts of 4-vinylguaiacol, 2-phenyl ethanol, isopentyl alcohol, phenyl acetate, and octanoic acid. In this way, it contributes to the spicy, honey, and floral aromas of the wine. Strain SCR462 led to the production of tyrosol, 4-vinylguaiacol, 1-hexanol, and diethyl succinate, contributing to fuselic, vanillin, floral, and fruity aromas. The ESFC strain induced high concentrations of caprylic acid and hexanoic acid, contributing to orange and cheesy, baked potato flavors. The VS strain conducted the production of phenyl acetate and diethyl succinate, contributing to floral and quince flavors.
In the Feteasca Neagra wine, the local yeasts led to significant concentrations of 4-vinylguaiacol, 2-phenyl ethanol, caprylic acid, and octanoic acid, giving spicy, honey, rose, floral, and fruity aromas.
The autochthonous strains imprinted in the Burgund Mare wine floral, fruity, herbaceous, and slightly astringent notes, due to the cumulative contribution of esters, alcohols, and acids.
Yeasts also made a significant contribution in the case of Novac wine, observing that the strain SCR462 produced the highest concentrations of 2-phenyl ethanol and ethyl cinnamate, contributing to aromas of spice, honey, rose, and cinnamon. SCR297 induced high concentrations of 4-vinylguaiacol and isopentyl alcohol, adding spicy and fusel flavors.
All these data may be considered an indicator on how each yeast strain influences the concentration of volatile compounds, determining both the final aroma and the sensory characteristics of the produced wine. Consequently, it allows winemakers to select the right strain to imprint specific aromas and tastes in the wines. However, different yeast strains, fermentation conditions, and winemaking practices can drastically alter the aromatic profile of a wine. The yeast strain’s selection will depend on the desired style and complexity.
Supplementary Materials
The following supporting information can be downloaded at https://www.mdpi.com/article/10.3390/app142210239/s1: Table S1: Total polyphenolic content (TPC), total anthocyanins (TAs), and antioxidant activity (DPPH and TEAC) in wine samples obtained by using commercial and indigenous cultured yeasts; Table S2: Volatile compounds in Pinot noir wine; Table S3: Volatile compounds in Feteasca Neagra wine; Table S4: Volatile compounds in Burgund Mare wine; Table S5. Volatile compounds in Syrah wine; Table S6: Volatile compounds in Novac wine.
Author Contributions
Conceptualization, D.I.P. and V.-C.N.; data curation, V.-C.N., D.S., O.R.B. and N.A.S.; formal analysis, D.I.P., D.S., O.R.B. and N.A.S.; funding acquisition, D.I.P. and O.R.B.; investigation, D.I.P., V.-C.N., D.S. and N.A.S.; methodology, D.I.P., V.-C.N., D.S. and N.A.S.; project administration, D.I.P. and O.R.B.; resources, D.I.P. and O.R.B.; software, O.R.B. and N.A.S.; supervision, D.I.P. and O.R.B.; validation, D.I.P., V.-C.N., O.R.B. and N.A.S.; visualization, D.I.P., V.-C.N. and O.R.B.; writing—original draft, D.I.P. and V.-C.N.; writing—review and editing, V.-C.N. All authors have read and agreed to the published version of the manuscript.
Funding
This complex research was funded by the Ministry of Agriculture and Rural Development—Romania, under Sectorial Plan—ADER 2026, Project ADER 6.3.7—“Applicability measures regarding the investigation of the organochlorine and organophosphorus contaminants distribution on the soil-plant-vegetable/fruit-finished product chain, following different types of soils in various areas”, by the Romanian Ministry of Research, Innovation, and Digitization through NUCLEU Program, Financing Contract no. 20N/05.01.2023, Project PN 23 15 03 01.
Institutional Review Board Statement
Not applicable.
Informed Consent Statement
Not applicable.
Data Availability Statement
The data presented in this study are available on request from the corresponding authors. The data are not publicly available due to institutional policies.
Acknowledgments
Part of this complex research was conducted under Sectorial Plan—ADER 2026, Project ADER 6.3.7—“Applicability measures regarding the investigation of the organochlorine and organophosphorus contaminants distribution on the soil-plant-vegetable/fruit-finished product chain, following different types of soils in various areas” financed by the Ministry of Agriculture and Rural Development—Romania; the other part was conducted under the NUCLEU Program, Financing Contract no. 20N/05.01.2023, Project PN 23 15 03 01—“The implementation of integrated isotopic-chemical-nuclear analytical methodologies for the authentication of traditional Romanian food products—IsoPRod”, financed by the Romanian Ministry of Research, Innovation, and Digitization and I5 establishment and operationalization of a Competence Center for Soil Health and Food Safety—CeSoH, contract no.: 760005/2022, specific project no. 5, with the title “Improving soil conservation and resilience by boosting biodiversity and functional security of organic food products”, Code 2, financed through PNRR-III-C9-2022-I5 (PNRR—National Recovery and Resilience Plan, C9 support for the private sector, research, development, and innovation, I5 establishment and operationalization of Competence Centers), financed by the European Union through the Romanian Ministry of Research, Innovation, and Digitization.
Conflicts of Interest
The authors declare no conflicts of interest.
References
- Lengyel, E. Primary aromatic character of wines. Acta Univ. Cibiniensis Ser. E Food Technol. 2012, 16, 3–18. [Google Scholar]
- Mina, M.; Tsaltas, D. Contribution of yeast in wine aroma and flavour. In Yeast—Industrial Applications; Morata, A., Loira, I., Eds.; Intech: Vienna, Austria, 2017; ISBN 978-953-51-3599-9. [Google Scholar]
- Deed, R.C.; Hou, R.; Kinzurik, M.I.; Gardner, R.C.; Fedrizzi, B. The role of yeast aro8, aro9 and aro10 genes in the biosynthesis of 3-(methylthio)-1-propanol from l-methionine during fermentation in synthetic grape medium. Fems Yeast Res. 2019, 19, foy109. [Google Scholar] [CrossRef] [PubMed]
- Scutarașu, E.C.; Teliban, I.V.; Zamfir, C.I.; Luchian, C.E.; Colibaba, L.C.; Niculaua, M.; Cotea, V.V. Effect of different winemaking conditions on organic acids compounds of white wines. Foods 2021, 10, 2569. [Google Scholar] [CrossRef] [PubMed]
- Cotea, V.V.; Focea, M.C.; Luchian, C.E.; Colibaba, L.C.; Scutarașu, E.C.; Marius, N.; Zamfir, C.I.; Popîrdă, A. Influence of different commercial yeasts on volatile fraction of sparkling wines. Foods 2021, 10, 247. [Google Scholar] [CrossRef]
- Puertas, B.; Jiménez, M.J.; Cantos-Villar, E.; Cantoral, J.M.; Rodríguez, M.E. Use of torulaspora delbrueckii and saccharomyces cerevisiae in semi-industrial sequential inoculation to improve quality of palomino and chardonnay wines in warm climates. J. Appl. Microbiol. 2017, 122, 733–746. [Google Scholar] [CrossRef]
- Larnbrechts, M.G.; Pretorius, I.S. Yeast and its importance to wine aroma—A review. S. Afr. J. Enol. Vitic. 2000, 21, 97–129. [Google Scholar]
- Korenika, A.-M.J.; Tomaz, I.; Preiner, D.; Lavrić, M.; Šimić, B.; Jeromel, A. Influence of l. Thermotolerans and s. Cerevisiae commercial yeast sequential inoculation on aroma composition of red wines (cv trnjak, babic, blatina and frankovka). Fermentation 2020, 7, 4. [Google Scholar] [CrossRef]
- Ferreira, V.; Lopez, R.; Cacho, J.F. Quantitative determination of the odorants of young red wines from different grape varieties. J. Sci. Food Agric. 2000, 80, 1659–1667. [Google Scholar] [CrossRef]
- Di Lecce, G.; Boselli, E.; D’ignazi, G.; Frega, N.G. Evolution of phenolics and glutathione in verdicchio wine obtained with maceration under reductive conditions. LWT Food Sci. Technol. 2013, 53, 54–60. [Google Scholar] [CrossRef]
- Vicente, F. Wine Aroma Vectors and Sensory Attributes, 2021st ed.; Woodhead Publishing: San Diego, CA, USA, 2021; Volume Woodhead Publishing Series in Food Science, Technology and Nutrition; ISBN 978-0-08-102067-8. [Google Scholar]
- Holt, S.; Miks, M.H.; De Carvalho, B.T.; Foulquié-Moreno, M.R.; Thevelein, J.M. The molecular biology of fruity and floral aromas in beer and other alcoholic beverages. Fems Microbiol. Rev. 2019, 43, 193–222. [Google Scholar] [CrossRef]
- Gutiérrez-Escobar, R.; Aliaño-González, M.J.; Cantos-Villar, E. Wine polyphenol content and its influence on wine quality and properties: A review. Molecules 2021, 26, 718. [Google Scholar] [CrossRef] [PubMed]
- Lee, J.; Durst, R.W.; Wrolstad, R.E. Determination of total monomeric anthocyanin pigment content of fruit juices, beverages, natural colorants, and wines by the pH differential method: Collaborative study. J. AOAC Int. 2005, 88, 1269–1278. [Google Scholar] [CrossRef] [PubMed]
- Kaminski, M.; Steinhilber, B.; Stein, D. Phytochemicals resveratrol and sulforaphane as potential agents for enhancing the anti-tumor activities of conventional cancer therapies. Curr. Pharm. Biotechnol. 2012, 13, 137–146. [Google Scholar] [CrossRef] [PubMed]
- Jiang, H.; Shang, X.; Wu, H.; Huang, G.; Wang, Y.; Al-Holou, S.; Gautam, S.C.; Chopp, M. Combination Treatment with Resveratrol and Sulforaphane Induces Apoptosis in Human U251 Glioma Cells. Neurochem. Res. 2010, 35, 152–161. [Google Scholar] [CrossRef] [PubMed]
- Cuevas, A.M.; Guasch, V.; Castillo, O.; Irribarra, V.; Mizon, C.; Martin, A.S.; Strobel, P.; Perez, D.; Germain, A.M.; Leighton, F. A high-fat diet induces and red wine counteracts endothelial dysfunction in human volunteers. Lipids 2000, 35, 143–148. [Google Scholar] [CrossRef]
- Ferraz Da Costa, D.C.; Pereira Rangel, L.; Quarti, J.; Santos, R.A.; Silva, J.L.; Fialho, E. Bioactive compounds and metabolites from grapes and red wine in breast cancer chemoprevention and therapy. Molecules 2020, 25, 3531. [Google Scholar] [CrossRef]
- Dellagli, M. Vascular effects of wine polyphenols. Cardiovasc. Res. 2004, 63, 593–602. [Google Scholar] [CrossRef]
- Csiszar, A.; Smith, K.; Labinskyy, N.; Orosz, Z.; Rivera, A.; Ungvari, Z. Resveratrol attenuates tnf-α-induced activation of coronary arterial endothelial cells: Role of nf-κb inhibition. Am. J. Physiol. -Heart Circ. Physiol. 2006, 291, h1694–h1699. [Google Scholar] [CrossRef]
- Calabriso, N.; Scoditti, E.; Massaro, M.; Pellegrino, M.; Storelli, C.; Ingrosso, I.; Giovinazzo, G.; Carluccio, M.A. Multiple anti-inflammatory and anti-atherosclerotic properties of red wine polyphenolic extracts: Differential role of hydroxycinnamic acids, flavonols and stilbenes on endothelial inflammatory gene expression. Eur. J. Nutr. 2016, 55, 477–489. [Google Scholar] [CrossRef]
- Moroșanu, A.-M.; Luchian, C.E.; Niculaua, M.; Colibaba, C.L.; Tarțian, A.C.; Cotea, V.V. Assessment of major volatile and phenolic compounds from ‘fetească regală’ wine samples after pre-fermentative treatments using gc-ms analysis and hplc analysis. Not. Bot. Horti Agrobot. 2018, 46, 247–259. [Google Scholar] [CrossRef]
- Urcan, D.E.; Lung, M.-L.; Giacosa, S.; Torchio, F.; Ferrandino, A.; Vincenzi, S.; Río Segade, S.; Pop, N.; Rolle, L. Phenolic substances, flavor compounds, and textural properties of three native romanian wine grape varieties. Int. J. Food Prop. 2016, 19, 76–98. [Google Scholar] [CrossRef]
- Jakabová, S.; Fikselová, M.; Mendelová, A.; Ševčík, M.; Jakab, I.; Aláčová, Z.; Kolačkovská, J.; Ivanova-Petropulos, V. Chemical composition of white wines produced from different grape varieties and wine regions in slovakia. Appl. Sci. 2021, 11, 11059. [Google Scholar] [CrossRef]
- Iancu, M.; Tita, O.; Oprean, L.; Tita, M.; Lengyel, E.; Stegarus, D. The identification of dedicated usage varietal yeasts, geoconference on nano, bio and green—Technologies for a sustainable future. In Proceedings of the International Multidisciplinary Scientific GeoConference-SGEM, Albena, Bulgaria, 16–22 June 2013; pp. 279–286. [Google Scholar]
- Oprean, L.; Dezsi, C.C.; Iancu, R.M.; Lengyel, E. Biotechnological properties of fermentative yeasts of the genus Saccharomyces. Manag. Sustain. Dev. J. 2012, 4, 57–61. [Google Scholar]
- Lengyel, E.; Oprean, L.; Rosca, L.; Tita, M.; Ognean, M.; Tita, O.; Blaga, L. Identification of saccharomyces cerevisiae wine yeasts isolated from local area. In Proceedings of the 43rd International Symposium on Agricultural Engineering, Actual Tasks on Agricultural Engineering, Opatija, Croatia, 24–27 February 2015; pp. 557–562. Available online: https://cabidigitallibrary.org (accessed on 5 October 2024).
- Belda, I.; Ruiz, J.; Esteban-Fernández, A.; Navascués, E.; Marquina, D.; Santos, A.; Moreno-Arribas, M. Microbial contribution to wine aroma and its intended use for wine quality improvement. Molecules 2017, 22, 189. [Google Scholar] [CrossRef]
- Li, S.; Zhu, B.; Reeves, M.J.; Duan, C. Phenolic analysis and theoretic design for chinese commercial wines’ authentication. J. Food Sci. 2018, 83, 30–38. [Google Scholar] [CrossRef]
- Capozzi, V.; Garofalo, C.; Chiriatti, M.A.; Grieco, F.; Spano, G. Microbial terroir and food innovation: The case of yeast biodiversity in wine. Microbiol. Res. 2015, 181, 75–83. [Google Scholar] [CrossRef]
- Garofalo, C.; Berbegal, C.; Grieco, F.; Tufariello, M.; Spano, G.; Capozzi, V. Selection of indigenous yeast strains for the production of sparkling wines from native apulian grape varieties. Int. J. Food Microbiol. 2018, 285, 7–17. [Google Scholar] [CrossRef]
- Feteasca Neagra—Red Wine Grape Variety. Available online: https://www.wine-searcher.com/grape-2061-feteasca-neagra (accessed on 5 October 2024).
- Alexandru, G. Understanding Feteasca Neagra—The Romanian Signature Grape Variety. Available online: https://absoluteguides.ro/en/feteasca-neagra (accessed on 5 October 2024).
- Bolfa, P.; Sarac, F.; Filip, A.; Gal, A.; Taulescu, M.; Cuc, C.; Nagy, A.; Tabaran, F.; Borza, G.; Catoi, C. Preclinical evaluation of red grapes seeds extract from vitis vinifera, burgund mare, recas, romania as skin photochemoprotective agent. Planta Medica 2011, 77, pk4. [Google Scholar] [CrossRef]
- Red Wine—Familia Darabont—Nt Burgund Mare 2020 » Familia Darabont. Familia Darabont. Available online: https://familiadarabont.ro/en/produs/red-wine-nt-burgund-mare-2020/ (accessed on 5 October 2024).
- Wine Grapes: A Complete Guide to 1368 Vine Varieties, Including Their Origins and Flavours. Available online: https://www.jancisrobinson.com/learn/booksdvdsapps/wine-grapes-a-complete-guide-to-1368-vine-varieties-including-their-origins-and-flavours (accessed on 5 October 2024).
- Domeniile Recaș Syrah·Cramele Recaș. Available online: https://cramelerecas.ro/domeniile-recas-syrah/ (accessed on 5 October 2024).
- Apvr Novac—Premium Wines of Romania. Available online: https://premiumwinesofromania.com/novac/ (accessed on 5 October 2024).
- Novac—Romanian Grape Varieties—Indigene Wines. Available online: https://indigenewines.com/novac-grape/ (accessed on 5 October 2024).
- Raczkowska, J.; Mielcarz, G.; Howard, A.; Raczkowski, M. UPLC and spectrophotometric analysis of polyphenols in wines available in the polish market. Int. J. Food Prop. 2011, 14, 514–522. [Google Scholar] [CrossRef]
- Romano, G.; Taurino, M.; Gerardi, C.; Tufariello, M.; Lenucci, M.; Grieco, F. Yeast starter culture identification to produce of red wines with enhanced antioxidant content. Foods 2024, 13, 312. [Google Scholar] [CrossRef]
- Banc, R.; Loghin, F.; Miere, D.; Ranga, F.; Socaciu, C. Phenolic composition and antioxidant activity of red, rosé and white wines originating from romanian grape cultivars. Not. Bot. Horti Agrobot. 2020, 48, 716–734. [Google Scholar] [CrossRef]
- Stegăruș, D.I.; Călugăr, A.; Tanase, C.; Muscă, A.; Botoran, O.R.; Manolache, M.; Babeș, A.C.; Bunea, C.; Gál, E.; Bunea, A.; et al. Influence of Oak Chips and Oak Barrel Ageing on Volatile Profile in Chardonnay Wine of Romania. Appl. Sci. 2021, 11, 3691. [Google Scholar] [CrossRef]
- Popescu (Stegarus), D.I.; Botoran, O.R.; Ionete, R.E.; Sandru, D.; Sutan, N.A.; Niculescu, V.-C. Highlighting the terroir influence on the aromatic profile of two romanian white wines. Appl. Sci. 2024, 14, 19. [Google Scholar] [CrossRef]
- Lin, L.; Yang, W.; Wei, X.; Wang, Y.; Zhang, L.; Zhang, Y.; Zhang, Z.; Zhao, Y.; Zhao, M. Enhancement of solasodine extracted from fruits of solanum nigrum l. By microwave-assisted aqueous two-phase extraction and analysis by high-performance liquid chromatography. Molecules 2019, 24, 2294. [Google Scholar] [CrossRef]
- Miricioiu, M.G.; Ionete, R.E.; Simova, S.; Gerginova, D.; Botoran, O.R. metabolite profiling of conifer needles: Tracing pollution and climate effects. Int. J. Mol. Sci. 2023, 24, 14986. [Google Scholar] [CrossRef]
- He, F.; Liang, N.-N.; Mu, L.; Pan, Q.-H.; Wang, J.; Reeves, M.J.; Duan, C.-Q. Anthocyanins and their variation in red wines i. Monomeric anthocyanins and their color expression. Molecules 2012, 17, 1571–1601. [Google Scholar] [CrossRef]
- Tofalo, R.; Suzzi, G.; Perpetuini, G. Discovering the influence of microorganisms on wine color. Front. Microbiol. 2021, 12, 790935. [Google Scholar] [CrossRef]
- Caridi, A.; Cufari, A.; Lovino, R.; Palumbo, R.; Tedesco, I. Influence of yeast on polyphenol composition of wine. Food Technol. Biotechnol. 2004, 42, 37–40. [Google Scholar]
- Milinčić, D.D.; Stanisavljević, N.S.; Kostić, A.Ž.; Gašić, U.M.; Stanojević, S.P.; Tešić, Ž.L.; Pešić, M.B. Bioaccessibility of phenolic compounds and antioxidant properties of goat-milk powder fortified with grape-pomace-seed extract after in vitro gastrointestinal digestion. Antioxidants 2022, 11, 2164. [Google Scholar] [CrossRef]
- Liu, S.; Lou, Y.; Li, Y.; Zhao, Y.; Laaksonen, O.; Li, P.; Zhang, J.; Battino, M.; Yang, B.; Gu, Q. Aroma characteristics of volatile compounds brought by variations in microbes in winemaking. Food Chem. 2023, 420, 136075. [Google Scholar] [CrossRef]
- 4-Vinyl Guaiacol. AroxaTM. Available online: https://aroxa.com/product/4-vinyl-guaiacol/ (accessed on 5 October 2024).
- Manolache, M.; Pop, T.I.; Babes, A.C.; Farcas, I.A.; Muncaciu, M.L.; Calugar, A.; Gal, E. Volatile composition of some red wines from romania assessed by GC-MS. Stud. Chem. Stud. Univ. Babes-Bolyai 2018, 63, 125–142. [Google Scholar] [CrossRef]
- Robles, A.D.; Fabjanowicz, M.; Płotka-Wasylka, J.; Konieczka, P. Organic acids and polyphenols determination in polish wines by ultrasound-assisted solvent extraction of porous membrane-packed liquid samples. Molecules 2019, 24, 4376. [Google Scholar] [CrossRef] [PubMed]
- Mota, R.V.D.; Peregrino, I.; Silva, C.P.C.; Raimundo, R.H.P.; Fernandes, F.D.P.; Souza, C.R.D. Row orientation effects on chemical composition and aromatic profile of syrah winter wines. Food Sci. Technol 2020, 41, 412–417. [Google Scholar] [CrossRef]
- Slegers, A.; Angers, P.; Ouellet, É.; Truchon, T.; Pedneault, K. Volatile compounds from grape skin, juice and wine from five interspecific hybrid grape cultivars grown in québec (canada) for wine production. Molecules 2015, 20, 10980–11016. [Google Scholar] [CrossRef]
- Mihail, M.; Călugăr, A.; Pop, N.; Gal, E.; Pop, T.I. Odor activity value in red wines aroma from three wine regions in Romania. Agricultura 2019, 109, 29–38. [Google Scholar]
Disclaimer/Publisher’s Note: The statements, opinions and data contained in all publications are solely those of the individual author(s) and contributor(s) and not of MDPI and/or the editor(s). MDPI and/or the editor(s) disclaim responsibility for any injury to people or property resulting from any ideas, methods, instructions or products referred to in the content. |
© 2024 by the authors. Licensee MDPI, Basel, Switzerland. This article is an open access article distributed under the terms and conditions of the Creative Commons Attribution (CC BY) license (https://creativecommons.org/licenses/by/4.0/).






