Next Article in Journal
Computational Modeling of U-Shaped Seismic Dampers for Structural Damage Mitigation
Previous Article in Journal
Application of Artificial Intelligence in Support of NAFLD Diagnosis
 
 
Font Type:
Arial Georgia Verdana
Font Size:
Aa Aa Aa
Line Spacing:
Column Width:
Background:
Article

FedDB: A Federated Learning Approach Using DBSCAN for DDoS Attack Detection

1
Department of Computer Science and Information Engineering, National Dong Hwa University, Hualien 974301, Taiwan
2
Department of Computer Science and Information Engineering, National Taitung University, Taitung 950309, Taiwan
*
Authors to whom correspondence should be addressed.
Appl. Sci. 2024, 14(22), 10236; https://doi.org/10.3390/app142210236
Submission received: 31 July 2024 / Revised: 25 October 2024 / Accepted: 28 October 2024 / Published: 7 November 2024
(This article belongs to the Topic Innovation, Communication and Engineering)

Abstract

The rise of Distributed Denial of Service (DDoS) attacks on the internet has necessitated the development of robust and efficient detection mechanisms. DDoS attacks continue to present a significant threat, making it imperative to find efficient ways to detect and prevent these attacks promptly. Traditional machine learning approaches raise privacy concerns when handling sensitive data. In response, federated learning has emerged as a promising paradigm, allowing model training across decentralized devices without centralizing data. However, challenges such as the non-IID (Non-Independent and Identically Distributed) problem persist due to data distribution imbalances among devices. In this research, we propose personalized federated learning (PFL) as a solution for detecting DDoS attacks. PFL preserves data privacy by keeping sensitive information localized on individual devices during model training, thus addressing privacy concerns that are inherent in traditional approaches. In this paper, we propose federated learning with DBSCAN clustering (FedDB). By combining personalized training with model aggregation, our approach effectively mitigates the common challenge of non-IID data in federated learning setups. The integration of DBSCAN clustering further enhances our method by effectively handling data distribution imbalances and improving the overall detection accuracy. Results indicate that our proposed model improves performance, achieving relatively consistent accuracy across all clients, demonstrating that our method effectively overcomes the non-IID problem. Evaluation of our approach utilizes the CICDDOS2019 dataset. Through comprehensive experimentation, we demonstrate the efficacy of personalized federated learning in enhancing detection accuracy while safeguarding data privacy and mitigating non-IID concerns.

1. Introduction

With the rapid development and widespread adoption of the Internet of Things (IoT), IoT has not only introduced unprecedented innovations and smart solutions but has also significantly enhanced the quality of life and work efficiency. These innovations have led to the rapid expansion of IoT across various domains. The broad application of IoT has resulted in a dramatic increase in the number of devices and communication entities within networks, making network management face unprecedented challenges. As the number and complexity of devices grow, traditional network management methods become increasingly inadequate, necessitating the adoption of more advanced technologies to maintain network stability and efficiency [1].
In this context, Software-Defined Networking (SDN) [2] has emerged and gradually become a mainstream technology in modern network management. SDN separates the network control layer from the data-forwarding layer, enabling centralized and flexible network management. This centralized control logic makes network resource allocation and management more efficient and capable of quickly adapting to changes in network traffic and demands. However, the centralized nature of SDN’s control introduces new challenges, particularly in terms of security. Because SDN’s control layer is centralized in a central controller, the entire network’s management and control rely on this controller. While this centralized architecture offers management convenience, it also makes it vulnerable to attacks. In particular, DDoS attacks pose a serious threat to SDN systems. DDoS attacks overwhelm the target network with a flood of fake requests, consuming network bandwidth and processing resources, which prevents legitimate traffic from passing through and leads to network service interruptions or performance degradation. In SDN, attackers might target the central controller with DDoS attacks, impacting the stability and availability of the entire network. Therefore, despite the significant advantages of SDN in enhancing network flexibility and management efficiency, the security issues associated with its centralized control architecture need to be addressed carefully.
DDoS attacks [3] are both common and extremely dangerous forms of network attacks. Their core strategy involves sending a massive volume of small and nearly invisible data packets to the target network. These attacks are executed in a distributed, collaborative, and large-scale manner, aiming to block legitimate users from accessing the target resources or services. Specifically, attackers utilize a large number of infected devices (such as botnets) to generate enormous traffic, thereby consuming the target system’s bandwidth and processing capacity, leading to system resource exhaustion or overload. This type of attack can cause not only server damage, system crashes, and file corruption, but also complete service interruption. Due to the destructive nature and potential long-term impacts of DDoS attacks, the timely and effective detection and mitigation of these attacks are crucial challenges in the field of network security.
A system for detecting and mitigating DDoS attacks in SDN typically involves two key steps: detecting attack types and mitigating attacks.
Once identified, mitigation strategies such as rate limiting, traffic filtering, and dynamic reconfiguration are applied to reduce the impact of the attack. The system may also implement a feedback mechanism to continuously learn from the traffic patterns and improve detection accuracy over time. The entire process focuses on maintaining network integrity and performance [4].
In this paper, we focus on the detection aspect because it is the core of DDoS attack defense. Only by accurately and promptly identifying abnormal traffic can subsequent classification and mitigation measures be effectively carried out. As attack methods become increasingly sophisticated, traditional approaches may not respond quickly enough. Therefore, enhancing detection capabilities is crucial for improving the overall defense effectiveness of the system.
In early defense attempts, deep learning techniques have been widely applied to train DDoS detectors due to their superior feature extraction capabilities. Deep learning methods can automatically learn complex features from large amounts of network traffic data and effectively identify abnormal behaviors, thus significantly improving the accuracy of DDoS attack detection. These methods model the characteristic patterns of attack behaviors, enabling responses in the early stages of an attack and thereby effectively reducing the risk of system compromise. Specifically, deep learning models can extract multi-level feature representations from network traffic data, revealing potential attack patterns and anomalous behaviors. For instance, deep learning models can identify unusual traffic patterns, abnormal traffic spikes, and various other indicators of potential attacks, allowing for early warning and intervention before the attack fully unfolds.
As deep learning technology progresses, its application in DDoS detection has become increasingly sophisticated and demonstrates significant performance improvements. These advancements enable deep learning methods to handle more complex and diverse attack patterns and show good detection results across various network environments [5]. However, these methods still face the challenge of data scarcity. In the context of big data, expanding datasets to enhance model performance is a feasible solution. However, this centralized model training approach typically requires uploading large volumes of data to central servers, which not only increases the burden of data transmission but also raises concerns about data privacy and security risks.
Privacy vulnerabilities during data sharing have become another critical issue. Sharing data among different clients might expose sensitive information from the original data, allowing attackers to exploit this information for further attacks or breaches. Additionally, machine learning models often rely on large quantities of high-quality data to perform well. Insufficient or low-quality data from clients can negatively impact model accuracy and predictive capability [6], potentially leading to overfitting or instability in the model, thereby reducing DDoS attack detection effectiveness. Consequently, addressing the challenge of effective model training while ensuring data privacy and security remains a key issue in current network attack research. Innovative approaches are needed in model training processes to enhance learning effectiveness and detection accuracy while protecting data privacy.
Federated learning (FL) provides a framework in which each local client trains a model using its own local data. Specifically, each client performs model training locally and uploads the resulting model parameters to a central server. The central server aggregates these parameters and generates a new global model based on the aggregated results. This global model is then distributed back to each client, and the process is repeated multiple times until the global model reaches the desired accuracy on the test set. A key advantage of federated learning is that it only uploads model parameters rather than raw data to the server, effectively protecting user data privacy. Additionally, federated learning offers benefits such as decentralized collaboration, scalability, and lower computational costs [7].
However, federated learning faces a significant challenge when dealing with non-IID (Non-Independent and Identically Distributed) datasets [8]. In federated learning, non-IID data can lead to imbalanced data distributions, which may affect the effectiveness of model training, making it difficult to train high-performance models on certain clients’ data. Particularly, when there are significant differences in feature distributions among different clients, the central model might overlook these non-IID features during training, impacting the final model’s performance. To address these challenges, personalized federated learning has been proposed as an effective solution. Personalized federated learning aims to adjust models based on the specific data characteristics of different clients, accommodating the unevenness of data across clients.
To tackle this issue, we propose a DDoS attack detection model based on personalized federated learning. This model not only plays a crucial role in protecting data privacy but also effectively addresses problems related to low accuracy and poor performance due to data imbalance. We utilize the FedMe framework for model training, combining it with LSTM models. Additionally, this paper employs a federated learning framework with LSTM neural networks for model training, integrating federated learning with DBSCAN clustering and mutual learning techniques. Specifically, DBSCAN clustering groups similar models together, enabling each client to receive models from the same cluster on the server. This approach reduces the risk of models overfitting to noise during mutual learning, especially when significant differences exist between models, which could otherwise lead to notable accuracy variations across clients. Our method focuses on addressing the non-IID data problem by minimizing discrepancies between the personalized model and the exchanged models, thereby enhancing model accuracy. Additionally, we utilize model exchange to achieve greater detection precision. This approach not only enhances model accuracy on clients with imbalanced data distributions but also significantly improves DDoS attack detection performance while maintaining data privacy.
Overall, our model demonstrates outstanding performance in addressing DDoS attacks and provides an effective solution for data privacy protection and model performance optimization. Our approach has made significant progress in handling non-IID data challenges and further advances the application of federated learning technologies in real-world scenarios.
The contributions of this paper are as follows:
  • We propose a model based on personalized federated learning to address the challenge of DDoS attack detection. This model not only significantly enhances the accuracy of DDoS attack detection but also plays a crucial role in protecting data privacy;
  • We combine the FedMe framework with LSTM models and utilize DBSCAN for model clustering and exchange. This approach not only improves model accuracy under data distribution imbalance but also further enhances the effectiveness of DDoS attack detection;
  • This study has made significant progress in handling non-IID datasets. By employing personalized federated learning, we are able to adapt to the diversity of data across different clients, thereby improving the overall performance of the model.

2. Related

Current methods for addressing DDoS attacks primarily utilize machine learning (ML) techniques, incorporating various artificial intelligence (AI) models for detection and mitigation. ML is the preferred choice for modern DDoS detection, particularly in the face of increasingly sophisticated and evolving cyber threats because it offers significant advantages over traditional DDoS detection methods, including adaptability, accuracy, automation, scalability, a diverse range of algorithms, and continuous improvement [9]. This article introduces machine learning methods and other approaches, such as threshold-based techniques, highlighting that no single algorithm can perfectly address all challenges or suit every scenario in DDoS detection. Moreover, different methods have varying evaluation criteria. Therefore, when designing a DDoS detection mechanism, it is essential to select an appropriate algorithm based on the specific scenario, considering factors such as normal network traffic, the potential types of DDoS attacks, and the datasets used. As machine learning methods have achieved higher accuracy and effectiveness in many practical applications. The following literature highlights significant results obtained using Convolutional Neural Networks (CNNs), Long Short-Term Memory (LSTM) networks, and Recurrent Neural Networks (RNNs). Each machine learning model has its own advantages.
CNNs have shown great potential in detecting Distributed Denial of Service (DDoS) attacks. Reference [10] proposes a hybrid neural network structure called DDosTC, which combines efficient and scalable Transformers with CNNs for detecting DDoS attacks on Software-Defined Networks (SDNs). Tested on the CICDDoS2019 dataset, DDosTC outperformed existing models in terms of average AUC, accuracy, recall, and F1 Score. Reference [11] employs CNNs to detect DDoS attacks by analyzing IP flow features. CNNs, as part of the detection module, are responsible for identifying abnormal network traffic potentially indicative of DDoS attacks. This method achieved approximately 95.4% accuracy in detecting different types of DDoS attacks. Reference [12] proposes a method using CNNs to detect DoS and DDoS attacks by converting network traffic data into image format. Standardized network traffic data are converted into three-channel images, enabling CNNs to analyze data more effectively. This method achieved 99.99% accuracy for binary classification and 87.06% accuracy for multi-class classification on the CICDDoS2019 dataset. Overall, CNN-based methods have demonstrated excellent performance in various scenarios.
LSTMs are frequently used for DDoS attack detection. Reference [13] uses a deep learning model based on Long Short-Term Memory (LSTM) networks to detect DDoS attacks that was capable of handling time-series data and long-term dependencies. Reference [14] presents an LSTM-based deep learning model that effectively addresses the gradient vanishing problem commonly encountered in traditional Recurrent Neural Networks (RNNs), thereby learning better from sequential data, which are prevalent in network traffic patterns related to DDoS attacks. This research demonstrated a high accuracy of up to 99.19% in detecting DDoS attacks using the CICDDoS2019 dataset.
Reference [15] introduces a model named DDoSNet, which combines RNNs with autoencoders to detect DDoS attacks in SDN environments. The RNN-Autoencoder architecture extracts features from input data automatically, classifying network traffic as normal or malicious, thereby reducing data dimensionality. This approach effectively handles complex nonlinear relationships in network traffic, crucial for accurate DDoS attack detection. The DDoSNet model achieved 99% accuracy in evaluations using the CICDDoS2019 dataset. In addition to accuracy, other metrics such as precision, recall, and F1 Score demonstrate the model’s effectiveness in detecting attacks and distinguishing benign traffic.
Machine learning methods for DDoS attack detection have achieved high accuracy, and combining these methods with federated learning frameworks has produced satisfactory results for user data security and privacy. Federated learning offers several advantages. Firstly, it allows model training without transferring raw data to a central server, thus protecting sensitive information and enhancing user privacy. Secondly, federated learning enables multiple participants to collaboratively train a shared model while keeping data local, creating a cooperative environment without compromising personal data security. Additionally, federated learning minimizes the need for extensive data transfer, reducing communication overhead compared to traditional centralized machine learning methods, which is crucial for improving training efficiency, especially with numerous edge devices. Finally, federated learning can improve the accuracy and generalization of machine learning models by aggregating data from multiple clients.
Regarding methods combining federated learning with machine learning, reference [5] proposes a decentralized DDoS classification method based on deep federated learning, allowing independent clients to train on local data while preserving data privacy. This framework employs a filter-based Pearson Correlation Coefficient (PCC) feature selection technique to select potential features, reducing model complexity and enhancing performance. The model achieved an excellent accuracy of 98.37% on the CICDDoS2019 dataset. Reference [16] designs a federated learning-based DDoS attack detection model called FLDDoS, incorporating a K-Means-based hierarchical aggregation algorithm and a SMOTEENN-based data resampling method. The results show a 4% improvement in accuracy and a 40% reduction in communication rounds compared to traditional methods. Reference [17] employs a lightweight residual neural network for detection and classification, deploying the classifier model within a federated learning framework, achieving DDoS traffic classification without data exchange and with fewer parameters.
Due to the non-IID nature of data held by different clients in federated learning, training processes can become complex. This non-IID property may pose challenges in achieving a universal global model. References [18,19] propose solutions to this issue. Reference [18] introduces FLAD, a novel adaptive mechanism addressing the limitations of the FedAvg algorithm in non-IID data network security applications. FLAD optimizes federated training processes by adjusting client selection and computation, achieving more efficient and precise model aggregation. Reference [19] utilizes a CNN model and data preprocessing algorithms to achieve 99% accuracy in DDoS attack detection, effectively handling non-IID data and providing personalized models for clients. Reference [20] proposes a novel Federated Intrusion Detection System (FIDS) to classify differences in non-IID concentrated DDoS attacks. The system introduces Prototypical Weights to measure the relevance between global and local data spaces and explores abnormal behavior feature combinations during preprocessing, enhancing training stability and convergence speed.

3. Methodology

3.1. Overview and Framework

Our approach builds upon the FedMe [21] personalized federated learning framework, with modifications aimed at enhancing overall accuracy and incorporating an automatic adaptation mechanism. We have refined the model clustering method to improve the system’s performance. FedMe facilitates model exchange between clients, enabling each client to train on local data with a personalized model. This approach allows for effective training even when clients utilize models with varying architectures, thereby supporting model adaptation and optimization tailored to each client’s needs.
In this setup, each client can adjust its personalized model based on the models exchanged with other clients. The decision to modify a personalized model is informed by the performance loss associated with exchanging models and local data. Additionally, FedMe features an automatic model architecture adaptation mechanism. This capability allows each client to modify the model structure according to the specific characteristics of its local data, thereby enhancing the accuracy of the model on the local dataset.
Our methodology also incorporates deep mutual learning, wherein two models are trained concurrently by learning from each other’s outputs. This approach leverages model clustering to mitigate the risk of overfitting due to noisy data. Specifically, we utilize the DBSCAN [22] clustering algorithm to group models into subsets with similar outputs. This grouping ensures that models with comparable behaviors are clustered together, enhancing the generalization ability and training efficacy of the federated learning system.
Overall, FedDB offers a comprehensive solution for heterogeneous personalized federated learning by integrating model exchange, automatic adaptation, and model clustering mechanisms. These innovations collectively provide a robust framework for optimizing model performance across diverse client environments. Below are the implementation steps corresponding to the architecture diagram in Figure 1:
1
The server initially distributes a model, and then the local clients generate personalized models;
2
Clients transmit their personalized models to the server for DBSCAN clustering;
3
The server decides which models to exchange with clients based on the results of model clustering and sends the exchanged models to the corresponding clients;
4
The server train personalized models and exchanged models using deep mutual learning;
5
The new exchange models are compared with the personalized models based on the loss values, and the better model is uploaded back to the server;
6
The server subsequently aggregates the better model (new personalized model) with the new exchange models to generate a new personalized model, which is finally distributed back to the local clients;
7
FedDB repeats steps 1 through 6 until the global communication count reaches the predetermined value T.
We have adopted the CICDDOS2019 dataset for our research, which exhibits characteristics based on time-series data [23]. LSTM (Long Short-Term Memory) neural networks are particularly well-suited for handling sequential data, making them a fitting choice, especially for datasets with temporal dependencies. Thus, within the FedDB framework, we have selected the LSTM neural network for model training.

3.2. Local Training

In FedDB, each client trains a personalized model locally using LSTM and exchanges its personalized model, allowing the model to be trained on the local data of multiple clients. This enables model training even when clients have different model architectures. Each model undergoes deep mutual learning on its local data, training both the personalized and exchanged models. The deep mutual learning between the personalized and exchanged models, as opposed to training them independently, can improve accuracy.
In practice, it is known that, when we train using multiple models, deep mutual learning effectively enhances the inference performance of the models. Therefore, deep mutual learning provides significant benefits to the learning process of FedDB.

3.3. Model Tuning

During the learning process of FedMe, model adjustment is a crucial step. Clients are free to choose any model architecture and receive models from other clients as exchange models in each round of global communication, thus providing multiple opportunities for optimizing the personalized federated learning model. If the exchanged model achieves better performance, the client will accordingly adjust. In this study, to verify the effectiveness of the FedMe design, a simple adjustment method was adopted, which involves replacing the personalized model with the exchanged model. The criterion for this judgment is comparing L ( w , D i ) as the losses of both models for each client after training with deep mutual learning, in which client i corresponds to w and D i , where D i is ith client’s local data.
s i t = w p i t if argmin w = w p i t , w e i t L ( w , D i ) w e i t otherwise .
In this equation, s i t determines if the loss of the exchanged model w e i t is superior to that of the personalized model w p i t , and the exchanged model will be prioritized for replacement. Unlike the original FedMe method, which evaluates whether to perform model exchange after each epoch, our experiment uses epochs that are spaced t rounds apart to assess the impact of exchange frequency and timing on model performance.

3.4. Model Clustering

Due to the data heterogeneity among clients, the output of personalized models varies between clients. If clients engage in deep mutual learning among models with significantly different outputs, the FedMe method utilizes K-means for clustering. However, this approach is not effective in grouping data to mitigate the non-IID problem. Therefore, our method replaces K-means with DBSCAN for improved performance. The DBSCAN clustering method has the advantage of not requiring a predefined number of clusters, directly grouping clients with similar characteristics.
In FedDB, the models are clustered using DBSCAN based on their outputs. Through DBSCAN, models with similar outputs are grouped together, and each client retrieves a model from the same cluster from the server, which we refer to as the exchanged model. In the subsequent mutual learning process, the personalized model and the exchanged model undergo mutual learning. During mutual learning, Kullback–Leibler (KL) divergence is used to assess the similarity between different models, reducing model bias and enhancing accuracy. This approach prevents overfitting to noise, ultimately alleviating the non-IID problem and narrowing the accuracy gap among clients.
DBSCAN is a density-based clustering algorithm with several advantages. Firstly, its shape diversity allows it to identify clusters of arbitrary shapes, not just convex shapes, distinguishing it from clustering methods like K-means that can only identify convex shapes. Secondly, DBSCAN does not require the pre-specification of the number of clusters; it only needs the setting of neighborhood EPS and the minimum number of cluster points MinPts to automatically determine the number of clusters, eliminating the need to know the number of clusters in advance.
Moreover, DBSCAN exhibits high robustness in handling noise. It can differentiate core points, edge points, and noise points within clusters, helping to identify and ignore noise in the data. This feature gives DBSCAN excellent capability in dealing with clusters of varying sizes, enabling it to identify and handle clusters with different densities without requiring all clusters to have the same density or size.
Aside from the neighborhood EPS and the minimum number of cluster points MinPts, DBSCAN does not require other complex parameter settings, making it relatively simple to use. Additionally, its computational efficiency is quite impressive. With appropriate data structures, its time complexity can reach O ( n log n ) , which is feasible in many situations.
Lastly, DBSCAN also possesses semi-supervised learning capabilities. By combining it with other methods, it can be applied in semi-supervised learning scenarios. These characteristics make DBSCAN a powerful and versatile clustering tool suitable for various data mining and machine learning applications.

4. Results

4.1. Dataset

We used the dataset CICDDoS2019 to verify our model, which contains 13 different examples of DDoS attack traffic and benign traffic [24], as we can see from Figure 2. To safeguard user privacy, our detection method refrains from using information such as ports, IP addresses, and other related data. Specifically, we exclude features such as Unnamed: 0, Flow ID, Source IP, Source Port, Destination IP, Destination Port, Protocol, and Timestamp. Following feature selection, a total of 79 features are employed as input nodes for the neural network.
We preprocess the dataset first, given the presence of various empty values (NaN) and infinite values (INF). NaN values are uniformly replaced with 0 to maintain consistency. Meanwhile, for INF values, we remove them from the dataset during experimentation. We divided the dataset into training and testing sets in an 8:2 ratio. This allocation ensures that the majority of the data are used for training the model, while a portion are reserved for evaluating the model’s performance on unseen data.

4.2. Robustness to Data Distribution

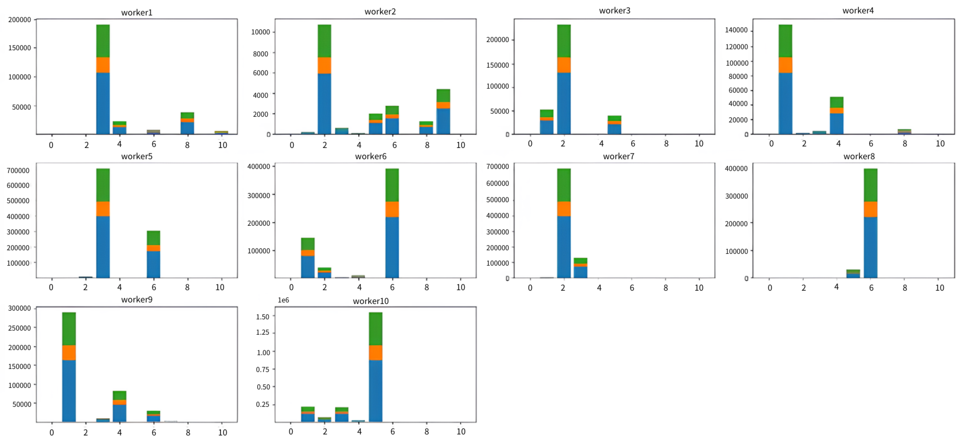
In federated learning, the data from multiple clients are often Non-Independent and Identically Distributed (non-IID) [25]. This means that the data patterns generated by different clients, ( X 1 , Y 1 ), ( X 2 , Y 2 ), , ( X k , Y k ), follow different distributions. This heterogeneity in data can significantly reduce the model’s accuracy. Therefore, we introduce the Dirichlet distribution [26] to our dataset to evaluate the model’s performance under different data conditions.
Specifically, we use Dirichlet distributions with parameters 0.9 and 0.2 to distribute the data among 10 clients, represented as Dir( α ), where α = 0.9 and α = 0.2. A larger α value leads to a more concentrated distribution, while a smaller value results in a more dispersed distribution. Figure 3 and Figure 4 illustrate the distributions for α = 0.9 and α = 0.2, respectively. It can be observed that the distribution for α = 0.9 is relatively balanced, whereas, for α = 0.2, the data are significantly dispersed, with each client focusing on a specific type of data. In the figures, the blue color represents the training set, orange represents the validation set, and green represents the test set.
In our approach to LSTM hyperparameter tuning, we focus on three key parameters: hidden size, the number of layers, and learning rate. Experimental results show that setting the learning rate to 0.01 leads to higher accuracy compared to 0.001 (Table 1). Additionally, when analyzing the hidden size and the number of layers, Table 2 indicates that, rather than a more complex network architecture, our dataset performs better with a simpler model structure, as evidenced in the tables. In this paper, when selecting DBSCAN parameters, we chose eps as 0.5 and MinPts as 5. The hyperparameters of DBSCAN, such as ϵ and MinPts, primarily depend on the structure and density distribution of the data. When the eps and MinPts values are set too low or too high, the clustering effectiveness of the model is significantly reduced, losing its core advantages. This leads the model to overly rely on individual client data for updates, ultimately resulting in decreased accuracy.
We compared our method with FedAvg and FedMe, as shown in Table 3. It can be observed that our proposed method achieves superior overall average accuracy compared to the other two. Additionally, we noticed that, although FedMe’s average accuracy is the same as our method, both exceeding 90%, the accuracy of FedMe’s Worker 2 is only 60%, while the average accuracy is 92%, indicating a significant discrepancy. In contrast, the accuracy of each worker in our method is very close to the average accuracy.
This situation becomes even more pronounced with α = 0.2 , as seen in Table 4, where the impact of training on accuracy is more significant in the case of more uneven data distribution. However, our method effectively addresses this issue, ensuring that the accuracy of each client remains close to the average value, even in uneven data scenarios. This confirms the effectiveness of our method in handling data heterogeneity and maintaining stable model performance in non-IID data environments.

4.3. Personalized Federated Learning Results

The performance evaluation of the proposed method is based on four commonly used indicators, including accuracy, recall, precision and F1 measure.
Accuracy—It reflects the percentage of correct predictions among all samples. It can be expressed by Equation (2).
Accuracy   ( acc ) = Accurately   classified   records Total   Samples × 100
Recall—It defines the proportion of correctly predicted positive samples within the original positive data; it is described by Equation (3).
Recall = True   Positive True   Positive + False   Negative × 100
Precision—It defines, among all the samples predicted as positive, the proportion that are actually positive. It is represented by Equation (4):
Precision = True   Positive True   Positive + False   Positive × 100
F1 Score—It is defined as the harmonic mean of precision and recall. It is represented by Equation (5).
F 1   Score = 2 · Precision · Recall Precision + Recall × 100
To test the adaptability of our classification model under different data distribution scenarios, we designed a series of experiments. We used CrossEntropyLoss as the loss function and SGD as the optimizer, setting the initial learning rate to η = 0.01 . We trained three models with 70 epochs and compared their performance under α = 0.2 and α = 0.9 conditions.
Under the α = 0.9 condition, the classification accuracy and loss rate of each model over the training epochs are shown in Figure 5 and Figure 6. Our method (FedDB) outperforms FedAvg and FedMe in terms of accuracy and also demonstrates better performance in terms of loss. Under the α = 0.2 condition, the results are shown in Figure 7 and Figure 8. From the trend curves in Figure 5 and Figure 7, it can be seen that all models have reached a stable convergence state. Our method continues to outperform the other two in accuracy and has a lower loss rate.
When the data distribution is particularly uneven, the advantages of DBSCAN become more evident. In contrast, the traditional K-means method, which fixes the number of clusters at the start, tends to include outliers in clusters. This limitation is especially pronounced when handling unevenly distributed data, such as outliers, non-spherical data, and the challenge of selecting the optimal number of clusters [27]. As shown in Table 5 and Table 6 our method outperforms FedMe in terms of accuracy under these conditions, effectively addressing the limitations of K-means.
These results fully demonstrate the superior performance of our method in handling data heterogeneity. Particularly in Non-Independent and Identically Distributed (non-IID) environments, our method maintains stable and efficient model performance.
Specifically, based on the data distribution shown in Figure 3 and Figure 4, when alpha = 0.2, certain types of DDoS attacks are not included in the data of each client. In contrast, with alpha = 0.9, the types of DDoS attacks included in each client’s data are significantly more than those in the alpha = 0.2 setting. A further analysis of the results in Table 3 and Table 4 shows that, although the accuracy of our method for alpha = 0.2 is lower than that for alpha = 0.9, it still reaches 95% and outperforms other methods. This demonstrates the effectiveness of our approach in managing the diversity of network attacks.
Under the condition of α = 0.9 , our method outperforms centralized learning (CL) and the other two federated learning (FL) architectures across all metrics, as observed in Table 5. This demonstrates that our method can effectively utilize the data from each client in scenarios where the data distribution is relatively even, thereby improving the overall performance of the model.
Furthermore, even in non-IID data scenarios, for each client, our method still shows significant advantages. As shown in Table 6, our method can better address the challenges of non-IID data by providing more personalized models for each client. These personalized models are better suited to the specific needs of each client, leading to a more stable training process and ultimately resulting in models with higher accuracy.
Overall, our method performs exceptionally well under both data distribution conditions. Particularly when dealing with non-IID data, it can significantly enhance the accuracy and stability of the model. This not only improves the overall performance of federated learning models but also provides each client with more personalized and adaptive models, thereby increasing the applicability and value of the models in real-world scenarios.

5. Discussion

We can explore how improving model accuracy and stability can contribute to the broader field of network security, particularly in the context of increasing DDoS threats. Enhancing these aspects not only improves the effectiveness of DDoS attack detection but also provides valuable insights for addressing other types of network attacks and different environments, such as IoT networks.
Expanding our DDoS detection method to cover other types of network attacks or testing it in different application environments can help further validate its general applicability and flexibility. In IoT networks, where there is a large number of diverse devices, the network attack patterns may be more complex. Addressing these challenges with our approach could offer significant insights and aid in designing more comprehensive security solutions. Although our research focuses on using federated learning to detect DDoS attacks, we have not tested the model in real-time or near-real-time scenarios. To enhance the model’s practicality, future research will focus on establishing an environment that is capable of capturing and processing real-time traffic to evaluate the model’s responsiveness under dynamic conditions.
In the future, the dataset will be expanded to include adversarial attack categories. By incorporating adversarial samples into the dataset, the LSTM can be trained to handle more complex and diverse attack scenarios. This inclusion of adversarial samples will enable the model to learn to recognize and defend against carefully crafted attacks, thereby enhancing its resilience to malicious behaviors.
Moreover, data selection and processing are crucial in AI model development because data from different sources may contain biases or inaccuracies that affect training and results. Bias or imbalance in training data may cause AI models in network security to treat certain user groups unfairly. To avoid the ethical issues associated with data bias, our method incorporates a mutual learning mechanism, using Kullback–Leibler (KL) divergence to assess the similarity between different models. This process requires alignment in the predictive probability distributions among models to reduce model bias, thereby addressing bias problems that may arise due to uneven data distribution. Ensuring data diversity and representativeness helps mitigate these biases. Additionally, deploying AI in network security must consider its ethical implications, including preventing AI systems from being used for malicious purposes, such as unwarranted surveillance. Ethical guidelines should be established to manage the use of AI technology in security environments to prevent misuse. To address this issue, our approach employs federated learning, leveraging its feature of uploading only model parameters, rather than raw data, to the server to effectively safeguard data security.

6. Conclusions

We have proposed a solution to address the issue of non-IID data distribution imbalance in DDoS attack detection, with the aim of significantly enhancing the performance and stability of detection systems. Our approach achieves consistent accuracy across different clients, ensuring its effectiveness in various practical application scenarios. This consistency is crucial for effective DDoS detection, as it enables the system to maintain a high level of detection accuracy under diverse network environments and data distribution conditions.
Our method not only significantly improves the overall performance of the detection system but also ensures its stability. This stability is particularly important in real-world applications, as it ensures that the system can maintain reliable detection performance even when faced with different types of attacks and imbalanced data. Our research demonstrates that the FedDB approach effectively addresses the challenges posed by data distribution imbalances, achieving stable detection performance across different clients.
Although the method aims to effectively handle non-IID data, real-world networks often exhibit significant data heterogeneity. Differences in data quality, quantity, and distribution among clients can still pose challenges to model training and performance stability. Moreover, utilizing federated learning, the proposed method allows each client to perform model training locally using their own data. This significantly reduces the need for data exchange and, compared to traditional centralized methods, not only enhances data privacy but also minimizes the bandwidth and computational resources required for data transmission. The method incorporates personalized federated learning, enabling the model to adapt to the specific data characteristics of each client. This personalization can lead to a more efficient training process. While federated learning is designed to enhance data privacy by keeping data localized, there are still risks associated with model updates. Adversaries might exploit shared model parameters to infer sensitive information about the training data, leading to potential privacy breaches.

Author Contributions

Methodology, Y.-C.L. and W.-C.C.; Software, W.-C.C.; Validation, Y.-C.C. All authors have read and agreed to the published version of the manuscript.

Funding

This research was funded by the National Science Council of the R.O.C. under grants 112-2221-E-259-004-MY2, 113-2622-E-259-002- and 111-2221-E-143-006-MY2.

Institutional Review Board Statement

Not applicable.

Informed Consent Statement

Not applicable.

Data Availability Statement

The original contributions presented in the study are included in the article, further inquiries can be directed to the corresponding authors.

Conflicts of Interest

The authors declare no conflicts of interest.

Abbreviations

The following abbreviations are used in this manuscript:
non-IIDNon-Independent and Identically Distributed
PFLPersonalized Federated Learning
DDOSDistributed Denial of Service
IoTInternet of Things
SDNSoftware-Defined Networking
FLFederated Learning
LSTMLong Short-Term Memory
CNNsConvolutional Neural Networks
RNNsRecurrent Neural Networks
MLMachine Learning

References

  1. Farhan, L.; Shukur, S.T.; Alissa, A.E.; Alrweg, M.; Raza, U.; Kharel, R. A survey on the challenges and opportunities of the Internet of Things (IoT). In Proceedings of the 2017 Eleventh International Conference on Sensing Technology (ICST), Sydney, NSW, Australia, 4–6 December 2017; pp. 1–5. [Google Scholar] [CrossRef]
  2. Benzekki, K.; El Fergougui, A.; Elbelrhiti Elalaoui, A. Software-defined networking (SDN): A survey. Secur. Commun. Netw. 2017, 9, 5083–5833. [Google Scholar] [CrossRef]
  3. Nugraha, B.; Murthy, R.N. Deep learning-based slow DDoS attack detection in SDN-based networks. In Proceedings of the 2020 IEEE Conference on Network Function Virtualization and Software Defined Networks (NFV-SDN), Leganes, Spain, 10–12 November 2020; pp. 51–56. [Google Scholar] [CrossRef]
  4. Joëlle, M.M.; Park, Y.H. Strategies for detecting and mitigating DDoS attacks in SDN: A survey. J. Intell. Fuzzy Syst. 2018, 35, 5913–5925. [Google Scholar] [CrossRef]
  5. Zainudin, A.; Akter, R.; Kim, D.S.; Lee, J.M. FedDDoS: An efficient federated learning-based DDoS attacks classification in SDN-enabled IIoT networks. In Proceedings of the 2022 13th International Conference on Information and Communication Technology Convergence (ICTC), Jeju Island, Republic of Korea, 19–21 October 2022; pp. 1279–1283. [Google Scholar] [CrossRef]
  6. Liu, J.; Huang, J.; Zhou, Y.; Li, X.; Ji, S.; Xiong, H.; Dou, D. From distributed machine learning to federated learning: A survey. Knowl. Inf. Syst. 2022, 64, 885–917. [Google Scholar] [CrossRef]
  7. Wen, J.; Zhang, Z.; Lan, Y.; Cui, Z.; Cai, J.; Zhang, W. A survey on federated learning: Challenges and applications. Int. J. Mach. Learn. Cybern. 2023, 14, 513–535. [Google Scholar] [CrossRef]
  8. Rahman, K.J.; Ahmed, F.; Akhter, N.; Hasan, M.; Amin, R.; Aziz, K.E.; Islam, A.N. Challenges, applications and design aspects of federated learning: A survey. IEEE Access 2021, 9, 124682–124700. [Google Scholar] [CrossRef]
  9. Cui, Y.; Qian, Q.; Guo, C.; Shen, G.; Tian, Y.; Xing, H.; Yan, L. Towards DDoS detection mechanisms in software-defined networking. J. Netw. Comput. Appl. 2021, 190, 103156. [Google Scholar] [CrossRef]
  10. Wang, H.; Li, W. DDosTC: A transformer-based network attack detection hybrid mechanism in SDN. Sensors 2021, 21, 5047. [Google Scholar] [CrossRef] [PubMed]
  11. de Assis, M.V.; Carvalho, L.F.; Rodrigues, J.J.; Lloret, J.; Proença, M.L., Jr. Near real-time security system applied to SDN environments in IoT networks using convolutional neural network. Comput. Electr. Eng. 2020, 86, 106738. [Google Scholar] [CrossRef]
  12. Hussain, F.; Abbas, S.G.; Husnain, M.; Fayyaz, U.U.; Shahzad, F.; Shah, G.A. IoTDoS and DDoS attack detection using ResNet. In Proceedings of the 2020 IEEE 23rd International Multitopic Conference (INMIC), Bahawalpur, Pakistan, 5–7 November 2020; pp. 1–6. [Google Scholar] [CrossRef]
  13. Gaur, V.; Kumar, R. DDoSLSTM: Detection of Distributed Denial of Service Attacks on IoT Devices using LSTM Model. In Proceedings of the 2022 International Conference on Communication, Computing and Internet of Things (IC3IoT), Chennai, India, 10–11 March 2022; pp. 1–7. [Google Scholar] [CrossRef]
  14. Shurman, M.; Khrais, R.; Yateem, A. DoS and DDoS attack detection using deep learning and IDS. Int. Arab J. Inf. Technol 2020, 17, 655–661. [Google Scholar] [CrossRef] [PubMed]
  15. Elsayed, M.S.; Le-Khac, N.A.; Dev, S.; Jurcut, A.D. DDoSNet: A deep learning model for detecting network attacks. In Proceedings of the 2020 IEEE 21st International Symposium on A World of Wireless, Mobile and Multimedia Networks(WoWMoM), Cork, Ireland, 31 August–3 September 2020; pp. 391–396. [Google Scholar] [CrossRef]
  16. Zhang, J.; Yu, P.; Qi, L.; Liu, S.; Zhang, H.; Zhang, J. Flddos: Ddos attack detection model based on federated learning. In Proceedings of the 2021 IEEE 20th International Conference on Trust, Security and Privacy in Computing and Communications (TrustCom), Shenyang, China, 20–22 October 2021; pp. 635–642. [Google Scholar] [CrossRef]
  17. Tian, Q.; Guang, C.; Wenchao, C.; Si, W. A lightweight residual networks framework for DDoS attack classification based on federated learning. In Proceedings of the IEEE INFOCOM 2021-IEEE Conference on Computer Communications Workshops (INFOCOM WKSHPS), Vancouver, BC, Canada, 10–13 May 2021; pp. 1–6. [Google Scholar] [CrossRef]
  18. Doriguzzi-Corin, R.; Siracusa, D. FLAD: Adaptive federated learning for DDoS attack detection. Comput. Secur. 2024, 137, 103597. [Google Scholar] [CrossRef]
  19. Lv, D.; Cheng, X.; Zhang, J.; Zhang, W.; Zhao, W.; Xu, H. DDoS Attack Detection Based on CNN and Federated Learning. In Proceedings of the 2021 Ninth International Conference on Advanced Cloud and Big Data (CBD), Xi’an, China, 26–27 March 2022; pp. 236–241. [Google Scholar] [CrossRef]
  20. Li, J.; Zhang, Z.; Li, Y.; Guo, X.; Li, H. Fids: Detecting ddos through federated learning based method. In Proceedings of the 2021 IEEE 20th International Conference on Trust, Security and Privacy in Computing and Communications (TrustCom), Shenyang, China, 20–22 October 2021; pp. 856–862. [Google Scholar] [CrossRef]
  21. Matsuda, K.; Sasaki, Y.; Xiao, C.; Onizuka, M. FedMe: Federated Learning via Model Exchange. In Proceedings of the 2022 SIAM International Conference on Data Mining (SDM), Alexandria, VA, USA, 28–30 April 2022; pp. 459–467. [Google Scholar] [CrossRef]
  22. Schubert, E.; Sander, J.; Ester, M.; Kriegel, H.P.; Xu, X. DBSCAN revisited, revisited: Why and how you should (still) use DBSCAN. ACM Trans. Database Syst. TODS 2017, 42, 19. [Google Scholar] [CrossRef]
  23. Singh, S.; Fernandes, S.V.; Padmanabha, V.; Rubini, P.E. Mcids-multi classifier intrusion detection system for iot cyber attack using deep learning algorithm. In Proceedings of the 2021 Third International Conference on Intelligent Communication Technologies and Virtual Mobile Networks (ICICV), Tirunelveli, India, 4–6 February 2021; pp. 354–360. [Google Scholar] [CrossRef]
  24. Sharafaldin, I.; Lashkari, A.H.; Hakak, S.; Ghorbani, A.A. Developing realistic distributed denial of service (DDoS) attack dataset and taxonomy. In Proceedings of the 2019 international carnahan conference on security technology (ICCST), Chennai, India, 1–3 October 2019; pp. 1–8. [Google Scholar] [CrossRef]
  25. Shen, T.; Zhang, J.; Jia, X.; Zhang, F.; Lv, Z.; Kuang, K.; Wu, C.; Wu, F. Federated mutual learning: A collaborative machine learning method for heterogeneous data, models, and objectives. Front. Inf. Technol. Electron. Eng. 2023, 24, 1390–1402. [Google Scholar] [CrossRef]
  26. Wu, Y.; Zhang, S.; Yu, W.; Liu, Y.; Gu, Q.; Zhou, D.; Chen, H.; Cheng, W. Personalized federated learning under mixture of distributions. In Proceedings of the International Conference on Machine Learning, Honolulu, HI, USA, 23–29 July 2023; pp. 37860–37879. [Google Scholar]
  27. Abdussamad, A.M.; Inayat, A. Addressing limitations of the K-means clustering algorithm: Outliers, non-spherical data, and optimal cluster selection. AIMS Math. 2024, 9, 25070–25097. [Google Scholar]
Figure 1. FedDB architecture.
Figure 1. FedDB architecture.
Applsci 14 10236 g001
Figure 2. Taxonomy of DDoS attacks in the CICDDOS2019 dataset [24].
Figure 2. Taxonomy of DDoS attacks in the CICDDOS2019 dataset [24].
Applsci 14 10236 g002
Figure 3. The distribution with alpha = 0.9.
Figure 3. The distribution with alpha = 0.9.
Applsci 14 10236 g003
Figure 4. The distribution with alpha = 0.2.
Figure 4. The distribution with alpha = 0.2.
Applsci 14 10236 g004
Figure 5. Accuracy results of federated learning models trained for 70 epochs with alpha set to 0.9.
Figure 5. Accuracy results of federated learning models trained for 70 epochs with alpha set to 0.9.
Applsci 14 10236 g005
Figure 6. Loss results of federated learning models trained for 70 epochs with alpha set to 0.9.
Figure 6. Loss results of federated learning models trained for 70 epochs with alpha set to 0.9.
Applsci 14 10236 g006
Figure 7. Accuracy results of federated learning models trained for 70 epochs with alpha set to 0.2.
Figure 7. Accuracy results of federated learning models trained for 70 epochs with alpha set to 0.2.
Applsci 14 10236 g007
Figure 8. Loss results of federated learning models trained for 70 epochs with alpha set to 0.2.
Figure 8. Loss results of federated learning models trained for 70 epochs with alpha set to 0.2.
Applsci 14 10236 g008
Table 1. Learning rate selection: model performance comparison between 0.01 and 0.001.
Table 1. Learning rate selection: model performance comparison between 0.01 and 0.001.
Hidden Size, LayerLearning RateAccuracy
(64,1), (64,2)0.0010.51
(64,1), (64,2)0.010.71
Table 2. Comparison of hidden size and layer count on model accuracy.
Table 2. Comparison of hidden size and layer count on model accuracy.
Hidden Size, LayerLearning RateAccuracy
(64,1), (64,3)0.010.65
(32,1), (32,1)0.010.81
(16,1), (16,1)0.010.95
(8,1), (8,1)0.010.87
Table 3. Each worker represents the accuracy rates achieved under various FL architectural configurations when alpha is set to 0.9.
Table 3. Each worker represents the accuracy rates achieved under various FL architectural configurations when alpha is set to 0.9.
WorkerFedAvg α = 0.9FedMe α = 0.9FedDB α = 0.9
Worker10.930.880.95
Worker20.70.710.88
Worker30.950.950.97
Worker40.980.990.99
Worker50.870.920.93
Worker60.980.980.98
Worker70.920.960.97
Worker80.910.970.97
Worker90.880.920.92
Worker100.980.980.98
Avg0.910.930.95
Table 4. Each worker represents the accuracy rates achieved under various FL architectural configurations when alpha is set to 0.2.
Table 4. Each worker represents the accuracy rates achieved under various FL architectural configurations when alpha is set to 0.2.
WorkerFedAvg α = 0.2FedMe α = 0.2FedDB α = 0.2
Worker10.760.890.91
Worker20.70.60.96
Worker30.940.970.97
Worker40.730.960.96
Worker50.950.980.99
Worker60.870.920.95
Worker70.950.990.99
Worker80.850.990.99
Worker90.750.970.96
Worker100.980.980.95
Avg0.850.920.97
Table 5. Evaluating the performance of the proposed model using other machine learning and federated learning methods when alpha is 0.9.
Table 5. Evaluating the performance of the proposed model using other machine learning and federated learning methods when alpha is 0.9.
α = 0.9AccuracyF1 ScoreRecallPrecision
FedAvg0.940.90.910.9
Fedme0.920.910.920.95
CL0.940.930.940.92
FedDB0.950.940.950.93
Table 6. Evaluating the performance of the proposed model using other machine learning and federated learning methods when alpha is 0.2.
Table 6. Evaluating the performance of the proposed model using other machine learning and federated learning methods when alpha is 0.2.
α = 0.2AccuracyF1 ScoreRecallPrecision
FedAvg0.960.860.850.88
FedMe0.920.900.920.88
CL0.940.930.940.92
FedDB0.970.960.970.95
Disclaimer/Publisher’s Note: The statements, opinions and data contained in all publications are solely those of the individual author(s) and contributor(s) and not of MDPI and/or the editor(s). MDPI and/or the editor(s) disclaim responsibility for any injury to people or property resulting from any ideas, methods, instructions or products referred to in the content.

Share and Cite

MDPI and ACS Style

Lee, Y.-C.; Chien, W.-C.; Chang, Y.-C. FedDB: A Federated Learning Approach Using DBSCAN for DDoS Attack Detection. Appl. Sci. 2024, 14, 10236. https://doi.org/10.3390/app142210236

AMA Style

Lee Y-C, Chien W-C, Chang Y-C. FedDB: A Federated Learning Approach Using DBSCAN for DDoS Attack Detection. Applied Sciences. 2024; 14(22):10236. https://doi.org/10.3390/app142210236

Chicago/Turabian Style

Lee, Yi-Chen, Wei-Che Chien, and Yao-Chung Chang. 2024. "FedDB: A Federated Learning Approach Using DBSCAN for DDoS Attack Detection" Applied Sciences 14, no. 22: 10236. https://doi.org/10.3390/app142210236

APA Style

Lee, Y.-C., Chien, W.-C., & Chang, Y.-C. (2024). FedDB: A Federated Learning Approach Using DBSCAN for DDoS Attack Detection. Applied Sciences, 14(22), 10236. https://doi.org/10.3390/app142210236

Note that from the first issue of 2016, this journal uses article numbers instead of page numbers. See further details here.

Article Metrics

Back to TopTop