Rifampicin-Loaded PLGA/Alginate-Grafted pNVCL-Based Nanoparticles for Wound Healing
Abstract
1. Introduction
2. Materials and Methods
2.1. Chemicals
2.2. Preparation of Grafted Biopolymer
2.3. Preparation of PLGA-Coated Alginate Grafted with pNVCL
2.4. Fourier Transform Infrared Spectroscopy (FTIR) Analysis
2.5. Particle Size and Size Distribution of Nanoparticles
2.6. Differential Scanning Calorimetry (DSC)
2.7. Scanning Electron Microscopy (SEM)
2.8. In Vitro Release Study of Formulations
2.9. Cytotoxicity Studies
2.10. Scratch Assay
3. Results and Discussions
3.1. Matrix Characterization
3.1.1. FTIR Spectroscopy
3.1.2. Particle Size Analysis
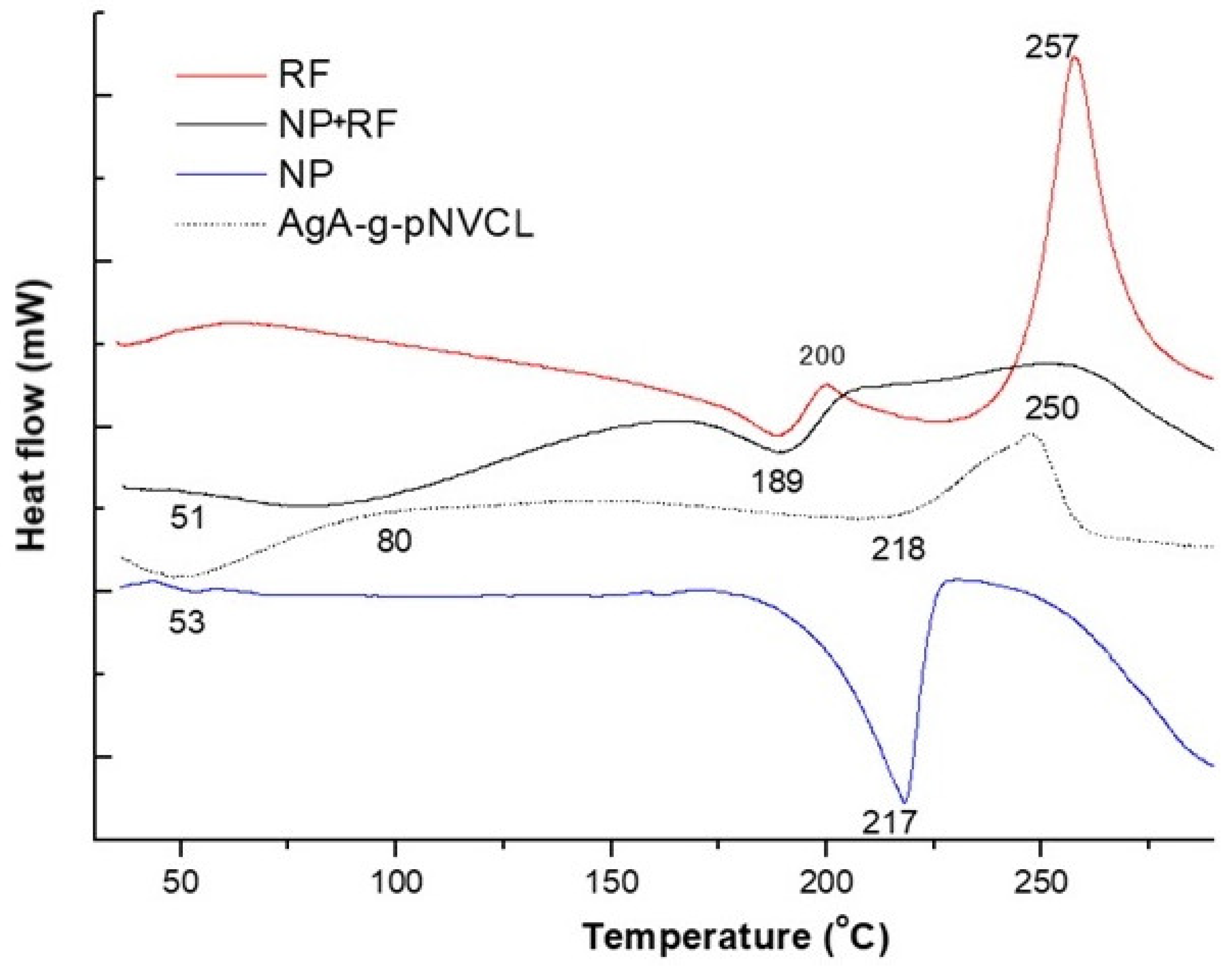
3.1.3. DSC Analysis
3.1.4. SEM Observations
3.2. In Vitro Release Profile
3.3. Cytotoxicity Studies
3.4. Cell Scratch Assay (Wound Healing)
4. Conclusions
Author Contributions
Funding
Institutional Review Board Statement
Informed Consent Statement
Data Availability Statement
Acknowledgments
Conflicts of Interest
References
- Akagi, I.; Furukawa, K.; Miyashita, M.; Kiyama, T.; Matsuda, A.; Nomura, T.; Makino, H.; Hagiwara, N.; Takahashi, K.; Uchida, E. Surgical wound management made easier and more cost-effective. Oncol. Lett. 2012, 4, 97–100. [Google Scholar] [CrossRef]
- Mangram, A.J.; Horan, T.C.; Pearson, M.L.; Silver, L.C.; Jarvis, W.R. Guideline for prevention of surgical site infection, 1999. Centers for Disease Control and Prevention (CDC) Hospital Infection Control Practices Advisory Committee. Am. J. Infect. Control. 1999, 27, 97–132; Quiz 133–134; Discussion 96. [Google Scholar] [CrossRef]
- Bibire, T.; Yilmaz, O.; Ghiciuc, C.M.; Bibire, N.; Dănilă, R. Biopolymers for Surgical Applications. Coatings 2022, 12, 211. [Google Scholar] [CrossRef]
- Bibire, T.; Ghiciuc, C.M.; Yilmaz, C.N.; Ursu, R.G.; Dănilă, R. The Development of Alginate Based Matrices Loaded with Rifampicin for Wound Healing. Med. Surg. J. 2024, 128, 167–176. [Google Scholar] [CrossRef]
- Hunt, N.C.; Grover, L.M. Cell encapsulation using biopolymer gels for regenerative medicine. Biotechnol. Lett. 2010, 32, 733–742. [Google Scholar] [CrossRef]
- Lim, F.; Sun, A.M. Microencapsulated islets as bioartificial endocrine pancreas. Science 1980, 210, 908–910. [Google Scholar] [CrossRef]
- Khattak, S.; Chin, K.S.; Bhatia, S.R.; Roberts, S.C. Enhancing oxygen tension and cellular functionin alginate cell encapsulation devices through the use of perfluorocarbons. Biotechnol. Bioeng. 2007, 96, 156–166. [Google Scholar] [CrossRef]
- Tan, W.H.; Takeuchi, S. Monodisperse alginate hydrogel microbeads for cell encapsulation. Adv. Mater. 2007, 19, 2696–2701. [Google Scholar] [CrossRef]
- Laurén, P.; Somersalo, P.; Pitkänen, I.; Lou, Y.R.; Urtti, A.; Partanen, J.; Seppälä, J.; Madetoja, M.; Laaksonen, T.; Mäkitie, A.; et al. Nanofibrillar cellulose-alginate hydrogel coated surgical sutures as cell-carrier systems. PLoS ONE 2017, 12, e0183487. [Google Scholar] [CrossRef] [PubMed]
- Purohit, P.; Bhatt, A.; Mittal, R.K.; Abdellatif, M.H.; Farghaly, T.A. Polymer Grafting and its chemical reactions. Front. Bioeng. Biotechnol. 2023, 10, 1044927. [Google Scholar] [CrossRef] [PubMed]
- Mohite, P.; Shah, S.R.; Singh, S.; Rajput, T.; Munde, S.; Ade, N.; Prajapati, B.G.; Paliwal, H.; Mori, D.D.; Dudhrejiy, A.V. Chitosan and chito-oligosaccharide: A versatile biopolymer with endless grafting possibilities for multifarious applications. Front. Bioeng. Biotechnol. 2023, 11, 1190879. [Google Scholar] [CrossRef] [PubMed]
- Cheaburu-Yilmaz, C.N.; Lupuşoru, C.E.; Vasile, C. New Alginate/PNIPAAm Matrices for Drug Delivery. Polymers 2019, 11, 366. [Google Scholar] [CrossRef] [PubMed]
- Cheng, S.C.; Feng, W.; Pashikin, I.I.; Yuan, L.H.; Deng, H.C.; Zhou, Y. Radiation Polymerization of Thermo-Sensitive Poly (N-Vinylcaprolactam). Radiat. Phys. Chem. 2002, 63, 517–519. [Google Scholar] [CrossRef]
- Marsili, L.; Dal Bo, M.; Eisele, G.; Donati, I.; Berti, F.; Toffoli, G. Characterization of Thermoresponsive Poly-N-Vinylcaprolactam Polymers for Biological Applications. Polymers 2021, 13, 2639. [Google Scholar] [CrossRef]
- Ward, M.A.; Georgiou, T.K. Thermoresponsive polymers for biomedical applications. Polymers 2011, 3, 1215–1242. [Google Scholar] [CrossRef]
- Gonzalez-Urias, A.; Licea-Claverie, A.; Sañudo-Barajas, J.A.; González-Ayón, M.A. NVCL-Based Hydrogels and Composites for Biomedical Applications: Progress in the Last Ten Years. Int. J. Mol. Sci. 2022, 23, 4722. [Google Scholar] [CrossRef]
- Motiei, M.; Pleno de Gouveia, L.; Šopík, T.; Vícha, R.; Škoda, D.; Císař, J.; Khalili, R.; Domincová Bergerová, E.; Münster, L.; Fei, H.; et al. Nanoparticle-Based Rifampicin Delivery System Development. Molecules 2021, 26, 2067. [Google Scholar] [CrossRef]
- Wallenwein, C.M.; Ashtikar, M.; Hofhaus, G.; Haferland, I.; Thurn, M.; König, A.; Pinter, A.; Dressman, J.; Wacker, M.G. How wound environments trigger the release from Rifampicin-loaded liposomes. Int. J. Pharm. 2023, 633, 122606. [Google Scholar] [CrossRef]
- Alvi, M.; Yaqoob, A.; Rehman, K.; Shoaib, S.M.; Akash, M.S.H. PLGA-based nanoparticles for the treatment of cancer: Current strategies and perspectives. AAPS Open 2022, 8, 12. [Google Scholar] [CrossRef]
- Ritger, P.L.; Peppas, N.A. A simple equation for description of solute release. II Fickian and anomalous release from swellable devices. J. Control. Release 1987, 5, 37–42. [Google Scholar] [CrossRef]
- Orsu, P.; Haider, H.Y.; Koyyada, A. Bioengineering for curcumin loaded carboxymethyl guar gum/reduced graphene oxide nanocomposites for chronic wound healing applications. Int. J. Pharm. 2021, 5, 120928. [Google Scholar] [CrossRef] [PubMed]
- Liang, C.C.; Park, A.Y.; Guan, J.L. In vitro scratch assay: A convenient and inexpensive method for analysis of cell migration in vitro. Nat. Protoc. 2007, 2, 329–333. [Google Scholar] [CrossRef] [PubMed]
- Henwood, S.Q.; Liebenberg, W.; Tiedt, L.R.; Lötter, A.P.; de Villiers, M.M. Characterization of the solubility and dissolution properties of several new rifampicin polymorphs, solvates, and hydrates. Drug. Dev. Ind. Pharm. 2001, 27, 1017–1030. [Google Scholar] [CrossRef] [PubMed]
- Liu, H.; He, Z.Z.; Yu, L.; Ma, J.; Jin, X.P. Improved solubility and stability of rifampicin as an inclusion complex of acyclic cucurbit[n]uril. J. Incl. Phenom. Macrocycl. Chem. 2021, 101, 111–120. [Google Scholar] [CrossRef]
- Rao, M.K.; Rao, K.S.V.; Sudhakar, P.; Chowdoji Rao, K.; Subha, M.C.S. Synthesis and Characterization of biodegradable Poly (Vinyl caprolactam) grafted on to sodium alginate and its microgels for controlled release studies of an anticancer drug. J. App. Pharm. Sci. 2013, 3, 61–69. [Google Scholar]
- Snejdrova, E.; Loskot, J.; Martiska, J.; Soukup, T.; Prokes, L.; Frolov, V.; Kucera, T. Rifampicin-loaded PLGA nanoparticles for local treatment of musculoskeletal infections: Formulation and characterization. Int. J. Drug Deliv. Technol. 2022, 73, 103435. [Google Scholar] [CrossRef]
- Rai, P.Y.; Sansare, V.A.; Warrier, D.U.; Shinde, U.A. Formulation, characterization and evaluation of inhalable effervescent dry powder of Rifampicin nanoparticles. Indian J. Tuberc. 2023, 70, 49–58. [Google Scholar] [CrossRef]
- Bibire, T.; Dănilă, R.; Yilmaz, C.N.; Verestiuc, L.; Nacu, I.; Ursu, R.G.; Ghiciuc, C.M. In vitro biological evaluation of an alginate-based hydrogel loaded with rifampicin for wound care. Pharmaceuticals 2024, 17, 943. [Google Scholar] [CrossRef]
- Parmar, R.; Misra, R.; Mohanty, S. In vitro controlled release of Rifampicin through liquid-crystalline folate nanoparticles. Colloids Surf. B Biointerfaces 2015, 129, 198–205. [Google Scholar] [CrossRef]
- Henwood, S.Q.; de Villiers, M.M.; Liebenberg, W.; Lötter, A.P. Solubility and dissolution properties of generic rifampicin raw materials. Drug. Dev. Ind. Pharm. 2000, 26, 403–408. [Google Scholar] [CrossRef]
- Khadka, P.; Hill, P.C.; Zhang, B.; Katare, R.; Dummer, J.; Das, S.C. A study on polymorphic forms of rifampicin for inhaled high dose delivery in tuberculosis treatment. Int. J. Pharm. 2020, 587, 119602. [Google Scholar] [CrossRef] [PubMed]
- Hiremath, S.P.; Saha, R.N. Design and study of rifampicin oral controlled release formulations. Drug Deliv. 2004, 11, 311–317. [Google Scholar] [CrossRef] [PubMed]
- Saravanan, P.; Dusthackeer, V.N.A.; Rajmani, R.S.; Mahizhaveni, B.; Nirmal, C.R.; Rajadas, S.E.; Bhardwaj, N.; Ponnuraja, C.; Bhaskar, A.; Hemanthkumar, A.K.; et al. Discovery of a highly potent novel rifampicin analog by preparing a hybrid of the precursors of the antibiotic drugs rifampicin and clofazimine. Sci. Rep. 2021, 11, 1029. [Google Scholar] [CrossRef]
- Warheit, D.B.; Oberdörster, G.; Kane, A.B.; Brown, S.C.; Klaper, R.D.; Hurt, R.H. Nanoparticle toxicology. In Casarett & Doull’s Toxicology: The Basic Science of Poisons, 9th ed.; Klaassen, C.D., Ed.; McGraw-Hill Education: New York City, NY, USA, 2019; pp. 546–559. [Google Scholar]
- Chèvre, N.; Gregorio, V. Mixture effects in ecotoxicology. In Encyclopedia of Aquatic Ecotoxicology; Férard, J.F., Blaise, C., Eds.; Springer: Dordrecht, The Netherlands, 2013; pp. 671–765. [Google Scholar]
- Sharma, A.; Puri, V.; Kumar, P.; Singh, I.; Huanbutta, K. Development and evaluation of rifampicin loaded alginate–gelatin biocomposite microfibers. Polymers 2021, 13, 1514. [Google Scholar] [CrossRef]
- Papadakis, M. Wound irrigation for preventing surgical site infections. World J. Methodol. 2021, 11, 222–227. [Google Scholar] [CrossRef]
- Gfeller, R.W.; Crowe, D.T. The emergency care of traumatic wounds: Current recommendations. Vet. Clin. N. Am. Small Anim. Pract. 1994, 24, 1249–1274. [Google Scholar] [CrossRef]











Disclaimer/Publisher’s Note: The statements, opinions and data contained in all publications are solely those of the individual author(s) and contributor(s) and not of MDPI and/or the editor(s). MDPI and/or the editor(s) disclaim responsibility for any injury to people or property resulting from any ideas, methods, instructions or products referred to in the content. |
© 2024 by the authors. Licensee MDPI, Basel, Switzerland. This article is an open access article distributed under the terms and conditions of the Creative Commons Attribution (CC BY) license (https://creativecommons.org/licenses/by/4.0/).
Share and Cite
Bibire, T.; Timofte, D.V.; Dănilă, R.; Panainte, A.-D.; Yilmaz, C.N.; Bibire, N.; Agoroaei, L.; Ghiciuc, C.M. Rifampicin-Loaded PLGA/Alginate-Grafted pNVCL-Based Nanoparticles for Wound Healing. Appl. Sci. 2024, 14, 9799. https://doi.org/10.3390/app14219799
Bibire T, Timofte DV, Dănilă R, Panainte A-D, Yilmaz CN, Bibire N, Agoroaei L, Ghiciuc CM. Rifampicin-Loaded PLGA/Alginate-Grafted pNVCL-Based Nanoparticles for Wound Healing. Applied Sciences. 2024; 14(21):9799. https://doi.org/10.3390/app14219799
Chicago/Turabian StyleBibire, Tudor, Daniel Vasile Timofte, Radu Dănilă, Alina-Diana Panainte, Cătălina Natalia Yilmaz, Nela Bibire, Luminița Agoroaei, and Cristina Mihaela Ghiciuc. 2024. "Rifampicin-Loaded PLGA/Alginate-Grafted pNVCL-Based Nanoparticles for Wound Healing" Applied Sciences 14, no. 21: 9799. https://doi.org/10.3390/app14219799
APA StyleBibire, T., Timofte, D. V., Dănilă, R., Panainte, A.-D., Yilmaz, C. N., Bibire, N., Agoroaei, L., & Ghiciuc, C. M. (2024). Rifampicin-Loaded PLGA/Alginate-Grafted pNVCL-Based Nanoparticles for Wound Healing. Applied Sciences, 14(21), 9799. https://doi.org/10.3390/app14219799

