Hybrid Geopolymer Composites Based on Fly Ash Reinforced with Glass and Flax Fibers
Abstract
Featured Application
Abstract
1. Introduction
2. Materials and Methods
2.1. Materials
2.2. Methods
2.2.1. Raw Material Analysis
2.2.2. Thermal Conductivity
2.2.3. Microstructure Investigation
2.2.4. Mechanical Properties, Including Fracture Behavior Analysis
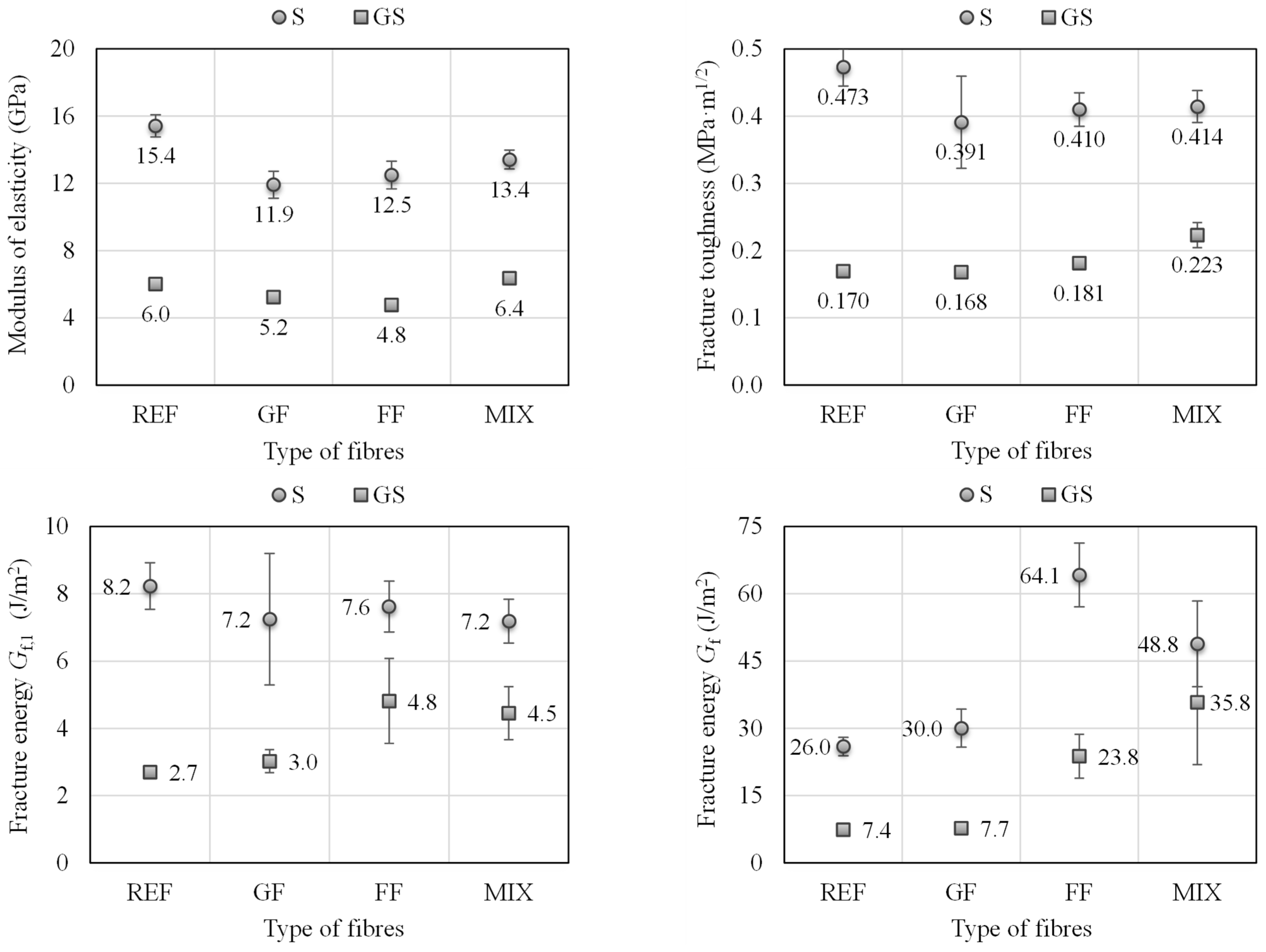
3. Results and Discussion
4. Conclusions
- The production of geopolymer materials modified by glass spheres reduced the compressive strength almost twice compared to the material made based on fly ash and river sand.
- The introduction of single-type fibers to the composite with river sand caused a more significant decrease in compressive strength than hybrid reinforcement.
- Single-type fibers in composites based on fly ash and glass spheres did not affect compressive strength. However, introducing hybrid reinforcement increased compressive strength by about 10% compared to the reference specimens.
- Flax fibers and hybrid reinforcement ensured higher fracture toughness and energy.
- Materials modified with glass spheres have a thermal conductivity twice as low as that of materials containing river sand.
- The introduction of single-type fibers and hybrid reinforcement slightly reduces the thermal conductivity of geopolymer materials modified with river sand, which is most likely related to the density of the material. In contrast, a slight increase in thermal conductivity characterized composites based on fly ash and glass spheres compared to the reference sample.
Author Contributions
Funding
Institutional Review Board Statement
Informed Consent Statement
Data Availability Statement
Conflicts of Interest
References
- Shi, C.; Fernández-Jiménez, A. Stabilization/solidification of hazardous and radioactive wastes with alkali-activated cements. J. Hazard. Mater. 2006, 137, 1656–1663. [Google Scholar] [CrossRef] [PubMed]
- Bakharev, T. Resistance of geopolymer materials to acid attack. Cem. Concr. Res. 2005, 35, 658–670. [Google Scholar] [CrossRef]
- Bagheri, A.; Nazari, A. Compressive strength of high strength class C fly ash-based geopolymers with reactive granulated blast furnace slag aggregates designed by Taguchi method. Mater. Des. 2014, 54, 483–490. [Google Scholar] [CrossRef]
- Jaasrveld, J.G.S.; Deventer, J. Potential use of geopolymeric materials to immobilize toxic metals: Part I. Theory and applications. Miner. Eng. 1996, 10, 659–669. [Google Scholar]
- Shehata, N.; Sayed, E.T.; Abdelkareem, M.A. Recent progress in environmentally friendly geopolymers: A review. Sci. Total Environ. 2021, 762, 143166. [Google Scholar] [CrossRef]
- Chuah, S.; Duan, W.H.; Pan, Z.; Hunter, E.; Korayem, A.H.; Zhao, X.L.; Collins, F.; Sanjayan, J.G. The properties of fly ash based geopolymer mortars made with dune sand. Mater. Des. 2016, 92, 571–578. [Google Scholar] [CrossRef]
- Agrawal, U.S.; Wanjari, S.P.; Naresh, D.N. Impact of replacement of natural river sand with geopolymer fly ash sand on hardened properties of concrete. Constr. Build. Mater. 2019, 209, 499–507. [Google Scholar] [CrossRef]
- Venkatesan, M.; Zaib, Q.; Shah, I.H.; Park, H.S. Optimum utilization of waste foundry sand and fly ash for geopolymer concrete synthesis using D-optimal mixture design of experiments. Resour. Conserv. Recycl. 2019, 148, 114–123. [Google Scholar] [CrossRef]
- Chen, Y.; Zhou, X.; Wan, S.; Zheng, R.; Tong, J.; Hou, H.; Wang, T. Synthesis and characterization of geopolymer composites based on gasification coal fly ash and steel slag. Constr. Build. Mater. 2019, 211, 646–658. [Google Scholar] [CrossRef]
- Apithanyasai, S.; Supakata, N.; Papong, S. The potential of industrial waste: Using foundry sand with fly ash and electric arc furnace slag for geopolymer brick production. Heliyon 2020, 6, e03697. [Google Scholar] [CrossRef]
- Shahedan, N.F.; Abdullah, M.M.A.B.; Mahmed, N.; Kusbiantoro, A.; Bouissi, A. Characterization of fly ash geopolymer concrete with glass bubble for thermal insulation application. AIP Conf. Proc. 2018, 2030, 020294. [Google Scholar] [CrossRef]
- Palmero, P.; Formia, A.; Antonaci, P.; Brini, S.; Tulliani, J.M. Geopolymer technology for application-oriented dense and lightened materials. Elaboration and characterization. Ceram. Int. 2015, 41, 12967–12979. [Google Scholar] [CrossRef]
- Zhang, Z.; Wang, K.; Mo, B.; Li, X.; Cui, X. Preparation and characterization of a reflective and heat insulative coating based on geopolymers. Energy Build. 2015, 87, 220–225. [Google Scholar] [CrossRef]
- Chen, L.; Han, W.; Li, Z.; Wei, T.; Xiao, C. Preparation and properties of alkali stimulated geopolymer and its application in thermal insulation coating. Adv. Mater. Res. 2011, 233–235, 2443–2446. [Google Scholar] [CrossRef]
- Kristály, F.; Szabó, R.; Mádai, F.; Debreczeni, Á.; Mucsi, G. Lightweight composite from fly ash geopolymer and glass foam. J. Sustain. Cem. Based Mater. 2021, 10, 1–22. [Google Scholar] [CrossRef]
- Mahmood, A.; Noman, M.T.; Pechočiaková, M.; Amor, N.; Petrů, M.; Abdelkader, M.; Militký, J.; Sozcu, S.; Hassan, S.Z.U. Geopolymers and fiber-reinforced concrete composites in civil engineering. Polymers 2021, 13, 2099. [Google Scholar] [CrossRef]
- Zuaiter, M.; El-Hassan, H.; El-Maaddawy, T.; El-Ariss, B. Properties of Slag-Fly Ash Blended Geopolymer Concrete Reinforced with Hybrid Glass Fibers. Buildings 2022, 12, 1114. [Google Scholar] [CrossRef]
- Vijai, K.; Kumutha, R.; Vishnuram, B.G. Properties of Glass Fibre Reinforced Geopolymer Concrete Composites. Asian J. Civ. Eng. 2012, 13, 511–520. [Google Scholar]
- Nematollahi, B.; Sanjayan, J.; Chai, J.X.H.; Lu, T.M. Properties of fresh and hardened glass fiber reinforced fly ash based geopolymer concrete. Key Eng. Mater. 2014, 594–595, 629–633. [Google Scholar] [CrossRef]
- Archez, J.; Texier-Mandoki, N.; Bourbon, X.; Caron, J.F.; Rossignol, S. Influence of the wollastonite and glass fibers on geopolymer composites workability and mechanical properties. Constr. Build. Mater. 2020, 257, 119511. [Google Scholar] [CrossRef]
- Ganesh, A.C.; Muthukannan, M. Development of high performance sustainable optimized fiber reinforced geopolymer concrete and prediction of compressive strength. J. Clean. Prod. 2021, 282, 124543. [Google Scholar] [CrossRef]
- Camargo, M.M.; Taye, E.A.; Roether, J.A.; Redda, D.T.; Boccaccini, A.R. A review on natural fiber-reinforced geopolymer and cement-based composites. Materials 2020, 13, 4603. [Google Scholar] [CrossRef] [PubMed]
- Lazorenko, G.; Kasprzhitskii, A.; Kruglikov, A.; Mischinenko, V.; Yavna, V. Sustainable geopolymer composites reinforced with flax tows. Ceram. Int. 2020, 46, 12870–12875. [Google Scholar] [CrossRef]
- Silva, G.; Kim, S.; Castañeda, A.; Donayre, R.; Nakamatsu, J.; Aguilar, R.; Korniejenko, K.; Łach, M.; Mikuła, J. A Comparative Study of Linen (Flax) Fibers as Reinforcement of Fly Ash and Clay Brick Powder Based Geopolymers. IOP Conf. Ser. Mater. Sci. Eng. 2018, 416, 012107. [Google Scholar] [CrossRef]
- Saccani, A.; Molari, L.; Totaro, G.; Manzi, S. Geopolymers reinforced with natural fibers: A comparison among different sources. Appl. Sci. 2021, 11, 11026. [Google Scholar] [CrossRef]
- Korniejenko, K.; Łach, M.; Hebdowska-Krupa, M.; Mikuła, J. Impact of Flax Fiber Reinforcement on Mechanical Properties of Solid and Foamed Geopolymer Concrete. Adv. Technol. Innov. 2021, 6, 11–20. [Google Scholar] [CrossRef]
- Correia, E.A.; Torres, S.M.; Alexandre, M.E.O.; Gomes, K.C.; Barbosa, N.P.; Barros, S.D.E. Mechanical performance of natural fibers reinforced geopolymer composites. Mater. Sci. Forum 2013, 758, 139–145. [Google Scholar] [CrossRef]
- Silva, G.; Kim, S.; Aguilar, R.; Nakamatsu, J. Natural fibers as reinforcement additives for geopolymers—A review of potential eco-friendly applications to the construction industry. Sustain. Mater. Technol. 2020, 23, e00132. [Google Scholar] [CrossRef]
- Asrani, N.P.; Murali, G.; Parthiban, K.; Surya, K.; Prakash, A.; Rathika, K.; Chandru, U. A feasibility of enhancing the impact resistance of hybrid fibrous geopolymer composites: Experiments and modelling. Constr. Build. Mater. 2019, 203, 56–68. [Google Scholar] [CrossRef]
- Baziak, A.; Pławecka, K.; Hager, I.; Castel, A.; Korniejenko, K. Development and characterization of lightweight geopolymer composite reinforced with hybrid carbon and steel. Materials 2021, 14, 5741. [Google Scholar] [CrossRef]
- Wang, Y.; Chan, C.L.; Leong, S.H.; Zhang, M. Engineering properties of strain hardening geopolymer composites with hybrid polyvinyl alcohol and recycled steel fibres. Constr. Build. Mater. 2020, 261, 120585. [Google Scholar] [CrossRef]
- Bazan, P.; Kozub, B.; Łach, M.; Korniejenko, K. Evaluation of hybrid melamine and steel fiber reinforced geopolymers composites. Materials 2020, 13, 5548. [Google Scholar] [CrossRef] [PubMed]
- Shaikh, F.U.A.; Patel, A. Flexural behavior of hybrid PVA fiber and AR-Glass textile reinforced geopolymer composites. Fibers 2018, 6, 2. [Google Scholar] [CrossRef]
- Khan, M.Z.N.; Hao, Y.; Hao, H.; Shaikh, F.U.A. Mechanical properties and behaviour of high-strength plain and hybrid-fiber reinforced geopolymer composites under dynamic splitting tension. Cem. Concr. Compos. 2019, 104, 103343. [Google Scholar] [CrossRef]
- Guo, L.; Wu, Y.; Xu, F.; Song, X.; Ye, J.; Duan, P.; Zhang, Z. Sulfate resistance of hybrid fiber reinforced metakaolin geopolymer composites. Compos. B Eng. 2020, 183, 107689. [Google Scholar] [CrossRef]
- Torres-Martínez, L.M.; Kharissova, O.V.; Kharisov, B.I. Handbook of Ecomaterials; Springer: Cham, Switzerland, 2019; Volume 1. [Google Scholar] [CrossRef]
- Kumar, S.; Mucsi, G.; Kristály, F.; Pekker, P. Mechanical activation of fly ash and its influence on micro and nano-structural behaviour of resulting geopolymers. Adv. Powder Technol. 2017, 28, 805–813. [Google Scholar] [CrossRef]
- Nikolić, V.; Komljenović, M.; Baščarević, Z.; Marjanović, N.; Miladinović, Z.; Petrović, R. The influence of fly ash characteristics and reaction conditions on strength and structure of geopolymers. Constr. Build. Mater. 2015, 94, 361–370. [Google Scholar] [CrossRef]
- Kocab, D.; Zitt, P.; Danek, P.; Canek, M.; Alexa, M.; Hanus, P. The influence of specimen size on the dynamic properties of lightweight concrete determined by the resonance method. IOP Conf. Ser. Mater. Sci. Eng. 2019, 583, 012028. [Google Scholar] [CrossRef]
- ASTM C215-19; Standard Test Method for Fundamental Transverse, Longitudinal, and Torsional Resonant Frequencies of Concrete Specimens. ASTM International: West Conshohocken, PA, USA, 2020.
- Frantik, P.; Masek, J. GTDiPS Software. 2015. Available online: http://gtdips.kitnarf.cz/ (accessed on 23 October 2024).
- Stibor, M. Fracture Parameters of Quasi-Brittle Materials and Their Determination. Ph.D. Thesis, Brno University of Technology, Brno, Czech Republic, 2004. [Google Scholar]
- Karihaloo, B.L. Fracture Mechanics and Structural Concrete, 1st ed.; Longman Scientific & Technical: Harlow, UK, 1995. [Google Scholar]
- Determination of the fracture energy of mortar and concrete by means of three-point bend tests on notched beams. Mater. Struct. 1985, 18, 285–290.
- ČSN EN 196-1; Methods of Testing Cement—Prat 1: Determination of Strength. ÚNMZ: Prague, Czech Republic, 2016.
- ASTM E1823-20b; Standard Terminology Relating to Fatigue and Fracture Testing. ASTM International: West Conshohocken, PA, USA, 2020.
- Korniejenko, K.; Figiela, B.; Miernik, K.; Ziejewska, C.; Marczyk, J.; Hebda, M.; Cheng, A.; Lin, W.-T. Mechanical and fracture properties of long fiber reinforced geopolymer composites. Materials 2021, 14, 5183. [Google Scholar] [CrossRef]
- Wang, Y.; Hu, S.; He, Z. Mechanical and fracture properties of geopolymer concrete with basalt fiber using digital image correlation. Theor. Appl. Fract. Mech. 2021, 112, 102909. [Google Scholar] [CrossRef]
- Silva, F.J.; Thaumaturgo, C. Fibre reinforcement and fracture response in geopolymeric mortars. Fatigue Fract. Eng. Mater. Struct. 2003, 26, 167–172. [Google Scholar] [CrossRef]
- Abid, S.R.; Murali, G.; Amran, M.; Vatin, N.; Fediuk, R.; Karelina, M. Evaluation of mode II fracture toughness of hybrid fibrous geopolymer composites. Materials 2021, 14, 349. [Google Scholar] [CrossRef]
- Lin, T.; Jia, D.; He, P.; Wang, M.; Liang, D. Effects of fiber length on mechanical properties and fracture behavior of short carbon fiber reinforced geopolymer matrix composites. Mater. Sci. Eng. A 2008, 497, 181–185. [Google Scholar] [CrossRef]
- Lin, T.; Jia, D.; He, P.; Wang, M. In situ crack growth observation and fracture behavior of short carbon fiber reinforced geopolymer matrix composites. Mater. Sci. Eng. A 2010, 527, 2404–2407. [Google Scholar] [CrossRef]
- Gomes, R.F.; Dias, D.P.; de Andrade Silva, F. Determination of the fracture parameters of steel fiber-reinforced geopolymer concrete. Theor. Appl. Fract. Mech. 2020, 107, 102568. [Google Scholar] [CrossRef]
- Łach, M.; Kluska, B.; Janus, D.; Kabat, D.; Pławecka, K.; Korniejenko, K.; Guigou, M.D.; Choińska, M. Effect of Fiber Reinforcement on the Compression and Flexural Strength of Fiber-Reinforced Geopolymers. Appl. Sci. 2021, 11, 10443. [Google Scholar] [CrossRef]
- Farhan, K.Z.; Johari, M.A.M.; Demirboğa, R. Impact of fiber reinforcements on properties of geopolymer composites: A review. J. Build. Eng. 2021, 44, 102628. [Google Scholar] [CrossRef]
- Moujoud, Z.; Sair, S.; Ousaleh, H.A.; Ayouch, I.; Bouari, A.E.; Tanane, O. Geopolymer composites reinforced with natural Fibers: A review of recent advances in processing and properties. Constr. Build. Mater. 2023, 388, 131666. [Google Scholar] [CrossRef]
- Shang, X.; Wang, S.; Gong, B.; Wang, y.; Li, Y.; Zhong, R. Improved carbon fibers dispersion in geopolymer composites. Case Stud. Constr. Mater. 2024, 21, e03480. [Google Scholar] [CrossRef]
- Rahman, M.Z. Mechanical and damping performances of flax fibre composites—A review. Compos. Part C Open Access 2021, 4, 100081. [Google Scholar] [CrossRef]
- Ranjbar, N.; Zhang, M. Fiber-reinforced geopolymer composites: A review. Cem. Concr. Compos. 2020, 107, 103498. [Google Scholar] [CrossRef]
- Jelle, B.P.; Gustavsen, A.; Baetens, R. The path to the high performance thermal building insulation materials and solutions of tomorrow. J. Build. Phys. 2010, 34, 99–123. [Google Scholar] [CrossRef]
- Kamseu, E.; Ngouloure, Z.N.; Ali, B.N.; Zekeng, S.; Melo, U.; Rossignol, S.; Leonelli, C. Cumulative pore volume, pore size distribution and phases percolation in porous inorganic polymer composites: Relation microstructure and effective thermal conductivity. Energy Build. 2015, 88, 45–56. [Google Scholar] [CrossRef]
- Vucinic, D.; Miljanovic, I.; Rosic, A.; Lazic, P. Effect of Na2O/SiO2 mole ratio on the crystal type of zeolite synthesized from coal fly ash. J. Serbian Chem. Soc. 2003, 68, 471–478. [Google Scholar] [CrossRef]
- Studart, A.R.; Gonzenbach, U.T.; Tervoort, E.; Gauckler, L.J. Processing routes to macroporous ceramics: A review. J. Am. Ceram. Soc. 2006, 89, 1771–1789. [Google Scholar] [CrossRef]








| D-Values [μm] | Fly Ash | River Sand | Glass Sphere |
|---|---|---|---|
| D10 | 2.210 | 173.235 | 41.944 |
| D50 | 11.892 | 342.393 | 108.735 |
| D90 | 34.414 | 474.750 | 169.308 |
| Mean size | 16.273 | 376.308 | 110.640 |
| SPAN * | 2.708 | 0.881 | 1.079 |
| D, [5.3] ** | 21.183 | 396.066 | 119.170 |
| Designation | Mixture Proportion [% by Weight] | ||||
|---|---|---|---|---|---|
| Fly Ash | Sand | Glass Sphere | Glass Fibers | Flax Fibers | |
| S_REF | 50 | 50 | - | - | |
| GS_REF | 50 | 50 | |||
| S_GF | 49.5 | 49.5 | 1.0 | - | |
| GS_GF | 49.5 | 49.5 | 1.0 | ||
| S_FF | 49.5 | 49.5 | - | 1.0 | |
| GS_FF | 49.5 | 49.5 | 1.0 | ||
| S_MIX | 49.5 | 49.5 | 0.5 | 0.5 | |
| GS_MIX | 49.5 | 49.5 | 0.5 | 0.5 | |
| Material | Identified Phase | Percentage Range, % | |
|---|---|---|---|
| Phase | Chemical Formula | ||
| Fly ash | Quartz | SiO2 | 43.3 |
| Mullite | Al6Si2O13 | 53.8 | |
| Hematite | Fe2O3 | 0.7 | |
| Magnetite | Fe3O4 | 0.3 | |
| Anhydrite | CaSO4 | 1.5 | |
| Rutile | TiO2 | 0.4 | |
| Sand | Glass Sphere | |||||||
|---|---|---|---|---|---|---|---|---|
| REF | GF | FF | MIX | REF | GF | FF | MIX | |
| [GPa] | 12.4 | 10.4 | 10.2 | 11.1 | 4.7 | 4.5 | 4.1 | 5.2 |
| STD [GPa] | 0.26 | 0.28 | 0.38 | 0.21 | 0.05 | 0.04 | 0.07 | 0.06 |
| [-] | 0.16 | 0.17 | 0.16 | 0.13 | 0.11 | 0.14 | 0.15 | 0.16 |
| STD [-] | 0.01 | 0.03 | 0.03 | 0.00 | 0.01 | 0.01 | 0.03 | 0.02 |
| [kg/m3] | 1730 | 1680 | 1710 | 1690 | 910 | 910 | 980 | 970 |
| STD [kg/m3] | 21 | 0 | 10 | 6 | 6 | 3 | 6 | 6 |
| [MPa] | 45.9 | 37.2 | 38.3 | 41.0 | 18.3 | 17.9 | 17.8 | 20.3 |
| STD [MPa] | 2.28 | 1.53 | 0.65 | 1.05 | 1.79 | 1.06 | 0.45 | 0.99 |
| [MPa] | 4.42 | 3.53 | 3.64 | 3.73 | 1.63 | 1.43 | 1.71 | 2.03 |
| STD [MPa] | 0.12 | 0.32 | 0.09 | 0.27 | 0.10 | 0.11 | 0.02 | 0.15 |
| E [GPa] | 15.4 | 11.9 | 12.5 | 13.4 | 6.0 | 5.2 | 4.8 | 6.4 |
| STD [GPa] | 0.66 | 0.80 | 0.82 | 0.56 | 0.16 | 0.20 | 0.21 | 0.33 |
| ] | 0.473 | 0.391 | 0.410 | 0.414 | 0.170 | 0.168 | 0.181 | 0.223 |
| ] | 0.028 | 0.069 | 0.025 | 0.024 | 0.004 | 0.007 | 0.009 | 0.019 |
| [J/m2] | 8.2 | 7.2 | 7.6 | 7.2 | 2.7 | 3.0 | 4.8 | 4.5 |
| STD [J/m2] | 0.69 | 1.95 | 0.76 | 0.65 | 0.15 | 0.34 | 1.26 | 0.79 |
| [J/m2] | 26.0 | 30.0 | 64.1 | 48.8 | 7.4 | 7.7 | 23.8 | 35.8 |
| STD [J/m2] | 2.1 | 4.3 | 7.1 | 9.5 | 0.3 | 1.17 | 4.9 | 13.9 |
| K)] | 0.906 | 0.721 | 0.869 | 0.778 | 0.273 | 0.296 | 0.291 | 0.303 |
Disclaimer/Publisher’s Note: The statements, opinions and data contained in all publications are solely those of the individual author(s) and contributor(s) and not of MDPI and/or the editor(s). MDPI and/or the editor(s) disclaim responsibility for any injury to people or property resulting from any ideas, methods, instructions or products referred to in the content. |
© 2024 by the authors. Licensee MDPI, Basel, Switzerland. This article is an open access article distributed under the terms and conditions of the Creative Commons Attribution (CC BY) license (https://creativecommons.org/licenses/by/4.0/).
Share and Cite
Šimonová, H.; Bazan, P.; Kucharczyková, B.; Kocáb, D.; Łach, M.; Mierzwiński, D.; Setlak, K.; Nykiel, M.; Nosal, P.; Korniejenko, K. Hybrid Geopolymer Composites Based on Fly Ash Reinforced with Glass and Flax Fibers. Appl. Sci. 2024, 14, 9787. https://doi.org/10.3390/app14219787
Šimonová H, Bazan P, Kucharczyková B, Kocáb D, Łach M, Mierzwiński D, Setlak K, Nykiel M, Nosal P, Korniejenko K. Hybrid Geopolymer Composites Based on Fly Ash Reinforced with Glass and Flax Fibers. Applied Sciences. 2024; 14(21):9787. https://doi.org/10.3390/app14219787
Chicago/Turabian StyleŠimonová, Hana, Patrycja Bazan, Barbara Kucharczyková, Dalibor Kocáb, Michał Łach, Dariusz Mierzwiński, Kinga Setlak, Marek Nykiel, Przemysław Nosal, and Kinga Korniejenko. 2024. "Hybrid Geopolymer Composites Based on Fly Ash Reinforced with Glass and Flax Fibers" Applied Sciences 14, no. 21: 9787. https://doi.org/10.3390/app14219787
APA StyleŠimonová, H., Bazan, P., Kucharczyková, B., Kocáb, D., Łach, M., Mierzwiński, D., Setlak, K., Nykiel, M., Nosal, P., & Korniejenko, K. (2024). Hybrid Geopolymer Composites Based on Fly Ash Reinforced with Glass and Flax Fibers. Applied Sciences, 14(21), 9787. https://doi.org/10.3390/app14219787

