Using Petri Nets and 4M1E Identification Resolution for Manufacturing Process Control and Information Tracking: Case Study of Transformer Coil Production
Abstract
1. Introduction
2. Background
2.1. Industrial Internet Identification and Resolution
2.2. Petri Net Theory
2.3. Extenics Theory
3. Related Work
4. Materials and Methods
4.1. Structure and Process of Coil Production
4.2. Construction of Identification and Resolution System for Coil Manufacturing
4.2.1. Identification and Encoding Methods for All Element Information
4.2.2. A Shared Space Model for Full Process Data
4.3. Extenics-Based Identification Primitive Modeling of Coil Manufacturing Process Information
4.4. Information Fusion and Traceability of Coil Manufacturing Process Based on Extensible Petri Net Models
4.4.1. All Elements Information Fusion Based on Extensible Petri Net Model
- (1)
- Define the sets of places and transitions of the system model based on the technological processes and business operational flows of coil production.
- (2)
- Describe the extension of each transition through interactions between places and transitions, thereby forming a network structure with causal relationships and sequential orders, further constructing a set of directed arcs.
- (3)
- Establish mapping relationships of system model elements, including places to object elements (such as equipment, materials, and related information entities), transitions to event elements (such as manufacturing, inspection, etc.), and directed arcs to relation elements (such as relationships of quality data and information or resource flows), enabling the Petri net to accurately simulate and analyze the entities and information flows in the actual business processes of coil production. The mapping of places and transitions sets to resources and conditions in the production process is shown in Table 8.
4.4.2. The Construction of the Mathematical Model for Process Information Traceability Based on Expandable Identification Primitives
- (1)
- Identifiable Traceability Units (Unit, abbreviated as “u” below)
- (2)
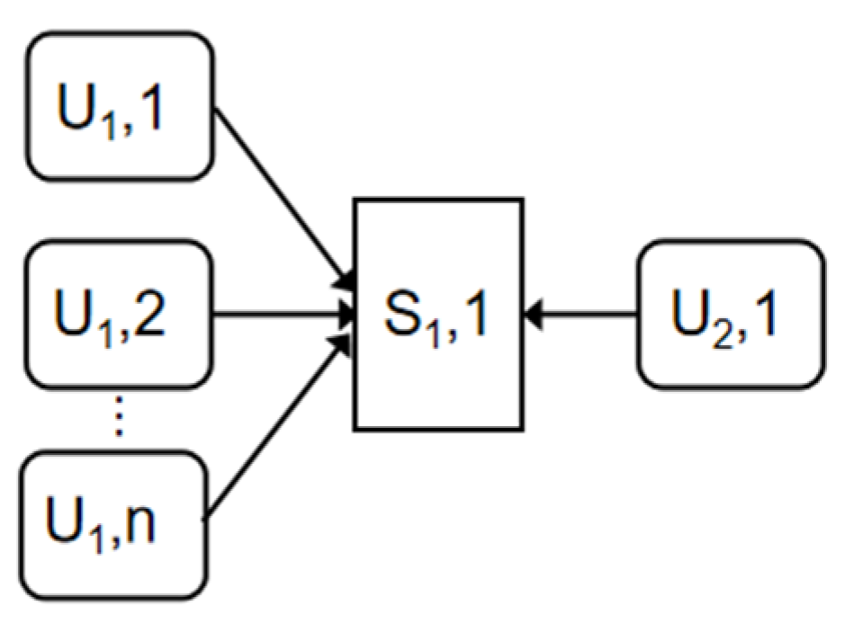
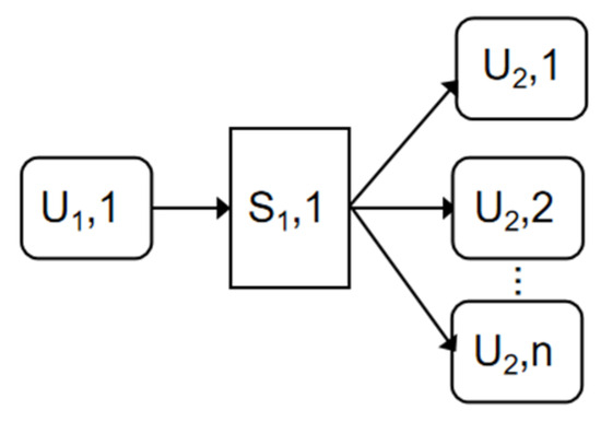
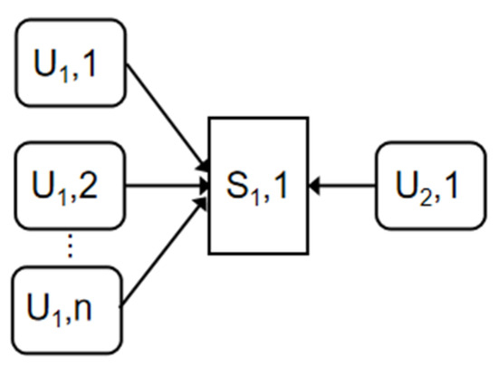
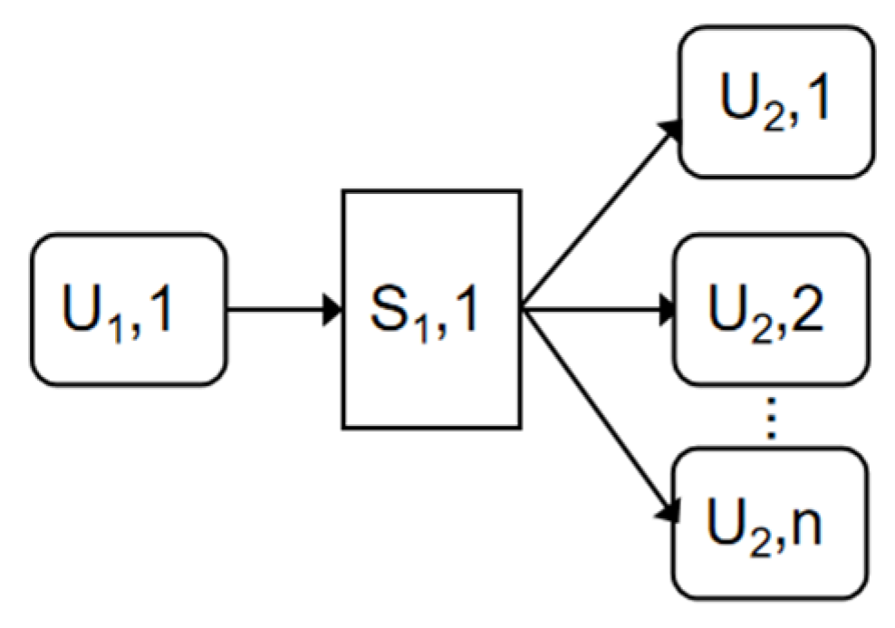
- Identifiable Traceability Scenarios (Site, abbreviated as “s” below)
- (1)
- Traceability Scenario Acquisition Transformation
- (2)
- Pioneer Traceability Unit Acquisition Transformation P
- (3)
- Follower Traceability Unit Acquisition Transformation F
- (1)
- Linear Type
- (2)
- Disassembly Type
- (3)
- Merging Type
5. Results
5.1. Experimental Setup
5.2. Construction of Industrial Internet Identification Resolution Platform
5.3. Coding and Identification of Resources in Coil Production Process
5.4. Mapping and Integration of Coil Production Process Data
5.5. Implementation of Coil Production Process Information Traceability
5.6. Analysis of Improvement Effects before and after Implementation
6. Discussion
Author Contributions
Funding
Institutional Review Board Statement
Informed Consent Statement
Data Availability Statement
Acknowledgments
Conflicts of Interest
References
- Kuhn, M.; Franke, J. Data continuity and traceability in complex manufacturing systems: A graph-based modeling approach. Int. J. Comput. Integr. Manuf. 2021, 34, 549–566. [Google Scholar] [CrossRef]
- Bougdira, A.; Akharraz, I.; Ahaitouf, A. A traceability proposal for industry 4.0. J. Ambient. Intell. Humaniz. Comput. 2020, 11, 3355–3369. [Google Scholar] [CrossRef]
- Schuitemaker, R.; Xu, X. Product traceability in manufacturing: A technical review. Procedia Cirp 2020, 93, 700–705. [Google Scholar] [CrossRef]
- Chien, C.H.; Trappey AJ, C.; Wang, C.C. ARIMA-AdaBoost hybrid approach for product quality prediction in advanced transformer manufacturing. Adv. Eng. Inform. 2023, 57, 102055. [Google Scholar] [CrossRef]
- Shi, M.-Y.; Liu, C.-Y.; Wen, C.-B.; Xu, X.; Liu, S.-N. Design and development of quality traceability system for circulation of Chinese herbal medicine based on blockchain and NB-IOT. China J. Chin. Mater. Medica 2020, 45, 4267–4272. [Google Scholar]
- Li, J.; Liu, L.-M.; Li, L.; Li, G.-S.; Xue, Q. Research on Traceability System and Standardization of Special Equipment Quality and Safety. Stand. Sci. 2019, 9, 150–154+176. [Google Scholar] [CrossRef]
- Chen, S.-Y.; Cui, Z.-J.; Liu, D.-F.; Liu, L.; Pu, Y.-M.; Zhong, Y.F. Application Progress of Blockchain in Product Traceability and Packaging Anti-counterfeiting. Packag. Eng. 2023, 44, 91–100. [Google Scholar]
- Li, C.-X.; Peng, X.-Y.; Li, Y. Tracking System for Parts of Automated Workshop Based on QR Code. Pop. Sci. Technol. 2019, 21, 7–9. [Google Scholar]
- Yang, Z.; Shang, W.L.; Zhang, H.; Garg, H.; Han, C. Assessing the green distribution transformer ma-nufacturing process using a cloud-based q-rung orthopair fuzzy multi-criteria framework. Appl. Energy 2022, 311, 118687. [Google Scholar] [CrossRef]
- Lettner, C.; Moser, M.; Pichler, J. An integrated approach for power transformer modeling and manufacturing. Procedia Manuf. 2020, 42, 351–355. [Google Scholar] [CrossRef]
- Noamna, S.; Thongphun, T.; Kongjit, C. Transformer Production Improvement by Lean and MTM-2 Technique. ASEAN Eng. J. 2022, 12, 29–35. [Google Scholar] [CrossRef]
- Atamanchuk, G.; Giraldo, O. Staged Investment for Intelligent Automatic Transformers Winding Manufacturing Lines. In Proceedings of the IEEE/PES Transmission and Distribution Conference and Exposition (T&D), Chicago, IL, USA, 12–15 October 2020; IEEE: New York, NY, USA, 2020; pp. 1–5. [Google Scholar]
- Ren, Y.; Xie, R.C.; Zeng, S.Q.; Zhao, H.R.; Yu, J.Y.; Huo, R. Survey of identity resolution system in industrial Internet of things. J. Commun. 2019, 40, 138–155. [Google Scholar] [CrossRef]
- Wan, X.; Jiao, Z.; Liu, M.; Liu, D. An Overview of Industrial Internet Applications. Print. Digit. Media Technol. Study 2021, 2, 1–26. [Google Scholar]
- Song, T.; Li, K. Data Communication Technology and Applications for Intelligent Manufacturing Workshops Based on OPC UA. China Mech. Eng. 2020, 31, 1693–1699. [Google Scholar]
- Zou, B.; Hou, X.; Huang, Z.; Liu, B. Research on Collaborative Manufacturing Based on Identification and Resolution System of Industrial Internet. Inf. Commun. Technol. Policy 2021, 47, 14–19. [Google Scholar]
- Wu, L. Design and Application of Identification Analysis System for Instrument Industry. Process Autom. Instrum. 2022, 43, 82–85. [Google Scholar]
- Fei, H.; Tang, B.; Yang, M. Application of Logo-based Analysis in New Chemical Materials Industry. Digit. Commun. World 2020, 8, 194–197. [Google Scholar] [CrossRef]
- Diao, J.; Wang, G.; Qiu, B. Research on the Application of Industrial Internet Identification Resolution System in the Petrochemical Industry. Internet Things Technol. 2022, 12, 89–92. [Google Scholar]
- Li, J.; Gao, Z.; Wu, W.; Chen, B.; Shi, Z. Research on application and development of an identity resolution system of the industrial internet in the power equipment manufacturing industry. Power Syst. Prot. Control 2020, 48, 179–187. [Google Scholar]
- Giua, A.; Silva, M. Petri nets and automatic control: A historical perspective. Annu. Rev. Control 2018, 45, 223–239. [Google Scholar] [CrossRef]
- Jangid, R.; Singh, G.P. Construction of m-cube mesh networks using Petri nets. Int. J. Syst. Assur. Eng. Manag. 2023, 14 (Suppl. 1), 256–262. [Google Scholar] [CrossRef]
- Grobelna, I.; Karatkevich, A. Challenges in application of Petri nets in manufacturing systems. Electronics 2021, 10, 2305. [Google Scholar] [CrossRef]
- Kaid, H.; Al-Ahmari, A.; Nasr, E.A.; Al-Shayea, A.; Kamrani, A.K.; Noman, M.A.; Mahmoud, H.A. Petri net model based on neural network for deadlock control and fault detection and treatment in automated manufacturing systems. IEEE Access 2020, 8, 103219–103235. [Google Scholar] [CrossRef]
- Luo, J.; Yi, S.; Lin, Z.; Zhang, H.; Zhou, J. Petri-net-based deep reinforcement learning for real-time scheduling of automated manufacturing systems. J. Manuf. Syst. 2024, 74, 995–1008. [Google Scholar] [CrossRef]




















| Serial Number | Major Element Category | Category Code | Element Type | Element Type Code | Element and Identifier Code (Illustration) |
|---|---|---|---|---|---|
| 1 | Man | 88.376.108/1 | R&D engineer | 88.376.108/101 | 88.376.108/101.001010 (Engineer A) |
| 2 | Process design engineer | 88.376.108/102 | 88.376.108/102.227758 (Engineer B) | ||
| 3 | Procurement engineer | 88.376.108/103 | 88.376.108/103.032711 (Engineer C) | ||
| 4 | Production engineer | 88.376.108/104 | 88.376.108/104.062001 (Engineer D) | ||
| 5 | Quality engineer | 88.376.108/105 | 88.376.108/105.094221 (Engineer E) | ||
| 6 | Inspection engineer | 88.376.108/106 | 88.376.108/106.403581 (Engineer F) | ||
| 7 | Testing engineer | 88.376.108/107 | 88.376.108/107.350021 (Engineer G) |
| Serial Number | Major Element Category | Category Code | Element Type | Element Type Code | Element and Identifier Code (Illustration) |
|---|---|---|---|---|---|
| 1 | Machine | 88.376.108/2 | Work center | 88.376.108/201 | 88.376.108/201.21 (Winding station) |
| 2 | Tooling | 88.376.108/202 | 88.376.108/202.010101 (Coil fixing jig) | ||
| 3 | Equipment | 88.376.108/203 | 88.376.108/203.020101 (High-frequency induction welding machine) | ||
| 4 | AGV | 88.376.108/204 | 88.376.108/204.101 (Coil transfer AGV) | ||
| 5 | Mold | 88.376.108/205 | 88.376.108/205.0401 (Coil inner mold) | ||
| 6 | Production line | 88.376.108/206 | 88.376.108/206.014 (Body assembly line) | ||
| 7 | Instrument | 88.376.108/207 | 88.376.108/207.020234 (Insulation resistance measurement equipment) | ||
| 8 | Stereo warehouse | 88.376.108/208 | 88.376.108/208.011 (Raw material warehouse) | ||
| 9 | Transportation line | 88.376.108/209 | 88.376.108/209.014 (Voltage coil guide roller) |
| Serial Number | Major Element Category | Category Code | Element Type | Element Type Code | Element and Identifier Code (Illustration) |
|---|---|---|---|---|---|
| 1 | Material | 88.376.108/3 | Raw materials | 88.376.108/301 | 88.376.108/301.02010045 (Enamel wire) |
| 2 | Components | 88.376.108/302 | 88.376.108/302.20010120 (Clamp) | ||
| 3 | Semi-finished products | 88.376.108/303 | 88.376.108/303.23010101 (Support pillar) | ||
| 4 | Parts | 88.376.108/304 | 88.376.108/30425030108 (Coil) | ||
| 5 | Finished product | 88.376.108/305 | 88.376.108/305.10013523 (Transformer) | ||
| 6 | Standard part | 88.376.108/306 | 88.376.108/306.03010203 (M12 Nut) | ||
| 7 | Spare part | 88.376.108/307 | 88.376.108/307.30040798 (M20 Grounding bolt) |
| Serial Number | Major Element Category | Category Code | Element Type | Element Type Code | Element and Identifier Code (Illustration) |
|---|---|---|---|---|---|
| 1 | Method | 88.376.108/4 | Process route | 88.376.108/401 | 88.376.108/401.PP10013523 (10013523 Coil process route) |
| 2 | Certain manufacturing process | 88.376.108/402 | 88.376.108/402.1001352307 (Winding process) | ||
| 3 | Certain inspection process | 88.376.108/403 | 88.376.108/403.11001352334 (Partial discharge testing) | ||
| 4 | Certain transportation process | 88.376.108/404 | 88.376.108/404.RK10013523 (Finished product storage) | ||
| 5 | Process document | 88.376.108/405 | 88.376.108/405.SOP10013523 (10013523 Assembly process SOP) | ||
| 6 | Testing process | 88.376.108/406 | 88.376.108/406.SY10013523 (10013523 Finished product testing) |
| Serial Number | Major Element Category | Category Code | Element Type | Element Type Code | Element and Identifier Code (Illustration) |
|---|---|---|---|---|---|
| 1 | Environment | 88.376.108/5 | Temperature | 88.376.108/501 | 88.376.108/501.100101 (Drying tank 01 temperature) |
| 2 | Humidity | 88.376.108/502 | 88.376.108/502.100201 (Drying tank 01 humidity) | ||
| 3 | Lighting | 88.376.108/503 | 88.376.108/503.102 (Lighting at winding station measurement point) | ||
| 4 | Air pressure | 88.376.108/504 | 88.376.108/504.100401 (Drying tank 01 air pressure) | ||
| 5 | Dust | 88.376.108/505 | 88.376.108/505.113 (Dust at winding station measurement point) | ||
| 6 | Noise | 88.376.108/506 | 88.376.108/507.104 (Noise at winding station measurement point) |
| Serial Number | Major Element Category | Category Code | Element Type | Element Type Code | Element and Identifier Code (Illustration) |
|---|---|---|---|---|---|
| 1 | Measurement | 88.376.108/6 | Inspection item | 88.376.108/601 | 88.376.108/601.3004512 (Coil inner diameter) |
| 2 | Inspection requirement | 88.376.108/602 | 88.376.108/602.100023 (Tolerance upper and lower limits of 0.1 mm) | ||
| 3 | Inspection tool | 88.376.108/603 | 88.376.108/603.3001011 (Digital caliper) | ||
| 4 | Inspection fixture | 88.376.108/604 | 88.376.108/604.020201 (Internal diameter gauge) |
| Logical Relationship | Business Process | Petri Net Representation |
|---|---|---|
| Sequential relationship | ![]() | ![]() |
| Parallel relationship | ![]() | ![]() |
| Selection relationship | ![]() | ![]() |
| Loop relationship | ![]() | ![]() |
| Place | Description | Transition | Description |
|---|---|---|---|
| P1 | Coil production order (Including material code, order number, process path, planned start time, planned completion time and other information) | t1 | Scan identification to decode and start work |
| P2 | Internal mold assembly (Including mold number, mold model, size parameters and other information) | t2 | Personnel-order-mold identification association; Process information identification association |
| P3 | Material flow (Including AGV number, starting point, ending point, path, and other information) | t3 | AGV-mold identification association |
| P4 | Winding station operation (Including personnel code, skills, winding equipment code, equipment operation parameters, workstation coordinates, start time, completion time, and other information) | t4 | Personnel-order-equipment-process-semi-finished coil identification association; Process information identification association |
| P5 | Real-time monitoring of coil winding (Including equipment code, inspection items, inspection standards, and other information) | t5 | Coil size detection and result association |
| P6 | Terminal welding station operation (Including welding equipment code, process parameters, and other information) | t6 | Process information identification association |
| P7 | External mold assembly station operation (Including mold number, mold model, size parameters, and other information) | t7 | Personnel-order-mold identification association; Process information identification association |
| P8 | Resin Casting Operation (Including casting equipment number, temperature, pressure, formulation, and other process information) | t8 | Equipment-formula-semi-finished product identification association; Process information identification association |
| P9 | High-pressure curing furnace operation information (Including equipment number and temperature of the furnace, and other process information) | t9 | Equipment-semi-finished product identification association; Process information identification association |
| P10 | Mold disassembly station operation (Including equipment number, disassembly sequence, working hours, and other information) | t10 | Robot-semi-finished product identification association; Process information identification association |
| P11 | Grinding station operation (Including personnel number, equipment number, working hours, and other information) | t11 | Personnel-semi-finished product identification association; Process information identification association |
| P12 | Finished Product Appearance Inspection Station Operation (Including equipment code, inspection items, inspection standards, and other information) | t12 | Association between finished product appearance inspection and results |
| P13 | Material Flow (Including AGV number, starting point, ending point, path, and other information) | t13 | Association between AGV-coil finished product-warehouse identification |
| P14 | 3D Warehouse (Including warehouse number, storage location, entry time, and other information) | t14 | Identification association of warehouse storage location, quantity, entry time, and other information |
| P15 | Coil Production Completion |
| Process Object | Characteristics | Corresponding to the Place of Petri Net |
|---|---|---|
| Mold inspection | Mold outer diameter, mold circumference, mold perpendicularity | Pq10-1, Pq10-2, Pq10-3, Pq10-4, … |
| Raw material inspection | Insulation paper without damage; insulation paper trademark, thickness, number of layers; cushion block without sharp edges or burrs; insulation tube surface smooth and flat; insulation tube outer diameter; wire insulation paper without damage | Pq9-1, Pq8-1, Pq8-2, … |
| Process Object | Characteristics | Corresponding to the Place of Petri Net |
|---|---|---|
| Winding process (divided into pre-winding, mid-winding, and post-winding) | Material code; rated capacity (KVA); drawing number (with transformer identification); this drawing number; mold drawing number; winding method (wire/foil); interlayer insulation thickness (mm); total number of segments; tapping range; length of elongated oval; wire material (mm); weight of single-phase wire (kg); number of parallel wires; number of interleaved wires; wire thickness (mm); wire width (mm); wire cross-sectional area (mm2); foil winding coil table height (mm); foil winding coil table width (mm); lead pitch (mm); lead thickness (mm); thickness of first air gap layer (mm); thickness of second air gap layer (mm); total thickness of coil in width direction (mm); inner diameter of air gap 1 in short axis direction of coil (mm); insulation thickness inside coil (mm); thickness of layer 1 in width direction of coil (mm); inner diameter of short axis of coil (mm); inner diameter on coil short axis line (mm); inner diameter of air gap 1 in short axis direction of coil (mm); outer diameter of long axis of coil (mm); axial height of coil (mm); height of coil in terms of reactance (mm); total number of turns in coil; number of turns per layer (1 segment; 1 layer); total number of layers in coil; number of layers (1 segment); stopping number of winding 1; stopping number of upper cutting; stopping number of lower cutting; recommended tension setting for foil material; recommended tension setting for foil material 1; recommended tension setting for interlayer 1; recommended tension setting for interlayer; recommended tension setting for unwinding; recommended tension setting for unwinding 1… | Pq7-1, Pq7-2, Pq7-3, Pq7-4, Pq6-1, Pq6-2, Pq5-1, Pq5-2, Pq5-3, … |
| Casting and curing process | Vacuum degree (mbar); temperature (°C); duration (min); bottom temperature 1 of the tank (°C); bottom temperature 2 of the tank (°C); front temperature of the tank (°C); middle temperature of the tank (°C); rear temperature of the tank (°C); mold temperature (°C); vacuum degree (°C); duration (min); epoxy resin ratio in resin tank A; toughening agent ratio in resin tank A; silica fume ratio in resin tank A; curing agent ratio in resin tank B; silica fume ratio in resin tank B; pressure; vacuum degree; failure; casting shrinkage; local softening | Pq4-1, Pq4-2, Pq4-3, Pq4-4, Pq4-5, Pq4-6, … |
| Coil grinding, appearance inspection, etc. | Finished product coil surface finish, roundness, perpendicularity, height, etc. | Pq3-1, Pq2-1, Pq2-2, Pq2-3, … |
| Performance Parameters | Barcode | QR Code | IC Card | RFID |
|---|---|---|---|---|
| Information storage capacity | 1–100 B | 1–110 B | 16–64 KB | 16–64 KB |
| Data carrier | Paper, plastic or metal | Paper, plastic or metal | EEPROM | EEPROM |
| Cost | Very low | Very low | Low | Medium |
| Reading method | CCD or laser scanning | CCD or laser scanning | Additional translation | Point erase Wireless radio frequency |
| Reading speed | Slow | Slow | Relatively slow | Fast |
| Covering effect | Complete failure | Complete failure | / | No impact |
| Read-write distance | 0–50 cm | 0–50 cm | Direct contact | 0–5 m |
| Capability Domains | Indicators | Description | Values of Nine-Point Scale | Weight Coefficient |
|---|---|---|---|---|
| Traceability capability | Traceability coverage (I1) | The proportion of traceable information to total information | 9 | 0.12 |
| Traceability accuracy (I2) | The degree of compliance between traceability information and actual data | 9 | 0.12 | |
| Traceability Response Speed (I3) | The time required from initiating traceability to retrieving the necessary information through the system | 8 | 0.10 | |
| Production efficiency | Cycle time (I4) | The time consumed to produce a single product | 4 | 0.05 |
| Equipment maintenance response time (I5) | The average time required from equipment failure to the start of troubleshooting | 5 | 0.06 | |
| Cost control | Material outbound operation time (I6) | The time taken to retrieve materials from the warehouse and load them onto the transport vehicle | 7 | 0.09 |
| Finished products inbound time (I7) | The time taken for a completed product to move from the workstation to the warehouse | 6 | 0.08 | |
| Raw material waste (I8) | The proportion of raw materials that are idle or wasted | 7 | 0.09 | |
| Work-in-progress transfer time (I9) | The time consumed for work-in-progress to flow between processes | 6 | 0.08 | |
| Quality control | Pass rate (I10) | The percentage of compliant products to the total quantity of products | 8 | 0.10 |
| Error-proofing status of materials (I11) | The number of times materials were incorrectly delivered or used | 9 | 0.12 |
| Day | I1/% | I2/% | I3/S | I4/min | I5/min | I6/min | I7/min | I8/% | I9/min | I10/% | I11/Times |
|---|---|---|---|---|---|---|---|---|---|---|---|
| D1 | 90 | 93 | 2 | 350 | 30 | 4 | 5 | 3% | 3.5 | 95 | 5 |
| D2 | 93 | 95 | 1.5 | 355 | 35 | 3.5 | 5 | 2.8% | 3.8 | 96 | 3 |
| … | … | … | … | … | … | … | … | … | … | … | … |
| D28 | 100 | 99 | 0.5 | 346 | 8 | 1 | 3 | 1.5% | 2 | 100 | 0 |
| D29 | 100 | 98 | 0.5 | 346 | 5 | 1.5 | 2 | 1.5% | 2 | 100 | 0 |
| D30 | 100 | 99 | 0.5 | 345 | 5 | 1 | 3 | 1% | 2 | 100 | 0 |
Disclaimer/Publisher’s Note: The statements, opinions and data contained in all publications are solely those of the individual author(s) and contributor(s) and not of MDPI and/or the editor(s). MDPI and/or the editor(s) disclaim responsibility for any injury to people or property resulting from any ideas, methods, instructions or products referred to in the content. |
© 2024 by the authors. Licensee MDPI, Basel, Switzerland. This article is an open access article distributed under the terms and conditions of the Creative Commons Attribution (CC BY) license (https://creativecommons.org/licenses/by/4.0/).
Share and Cite
Zhang, X.; Sun, W.; Song, S.; Lu, C. Using Petri Nets and 4M1E Identification Resolution for Manufacturing Process Control and Information Tracking: Case Study of Transformer Coil Production. Appl. Sci. 2024, 14, 9321. https://doi.org/10.3390/app14209321
Zhang X, Sun W, Song S, Lu C. Using Petri Nets and 4M1E Identification Resolution for Manufacturing Process Control and Information Tracking: Case Study of Transformer Coil Production. Applied Sciences. 2024; 14(20):9321. https://doi.org/10.3390/app14209321
Chicago/Turabian StyleZhang, Xuedong, Wenlei Sun, Shijie Song, and Chen Lu. 2024. "Using Petri Nets and 4M1E Identification Resolution for Manufacturing Process Control and Information Tracking: Case Study of Transformer Coil Production" Applied Sciences 14, no. 20: 9321. https://doi.org/10.3390/app14209321
APA StyleZhang, X., Sun, W., Song, S., & Lu, C. (2024). Using Petri Nets and 4M1E Identification Resolution for Manufacturing Process Control and Information Tracking: Case Study of Transformer Coil Production. Applied Sciences, 14(20), 9321. https://doi.org/10.3390/app14209321








