How Climate Change Will Shape Pesticide Application in Quebec’s Golf Courses: Insights with Deep Learning Based on Assessing CMIP5 and CMIP6
Abstract
1. Introduction
2. Materials and Methods
2.1. Study Area
2.2. Pesticides Use Calculation
2.3. Climate Change Models
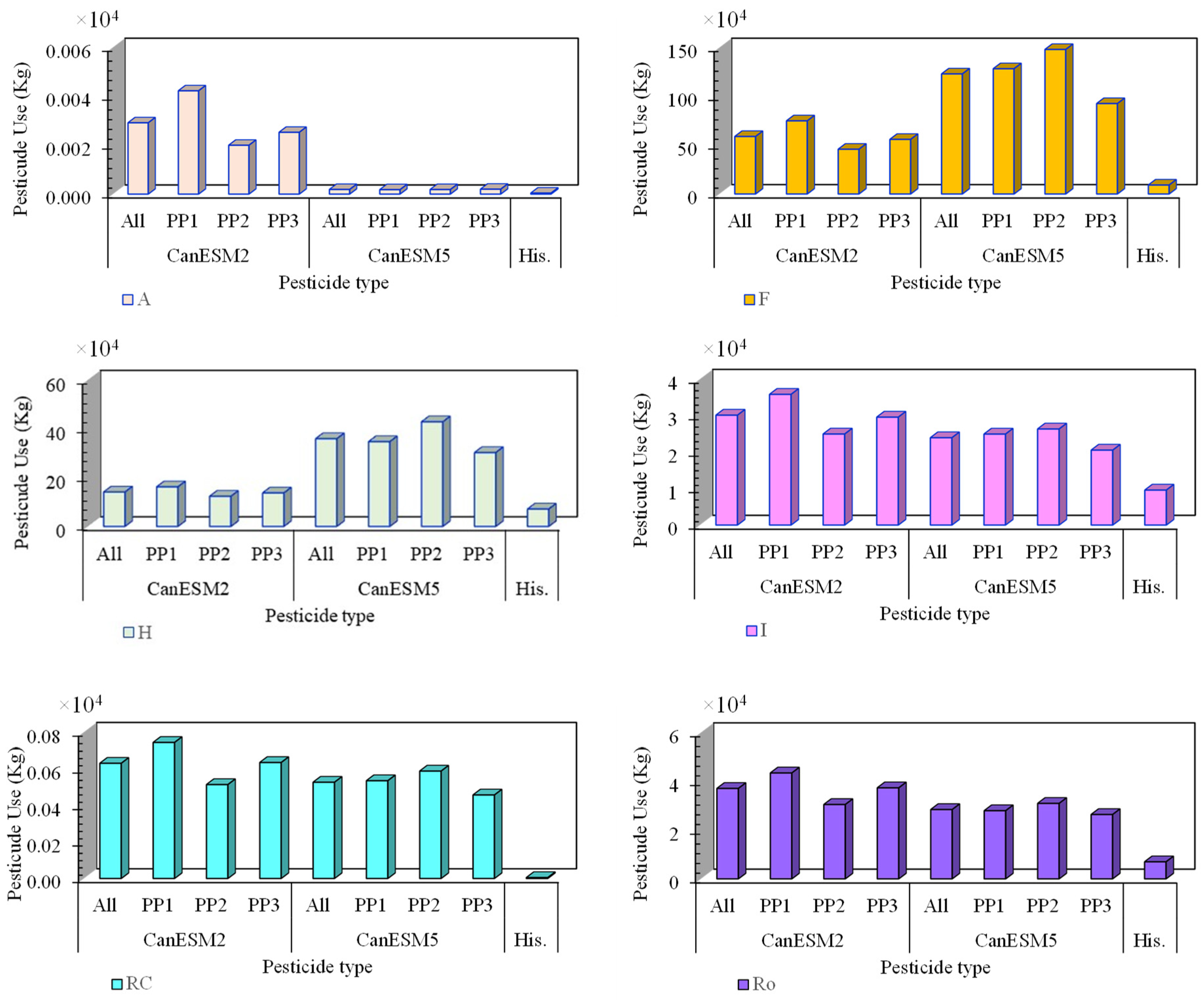
3. Results
3.1. Temperature and Precipitation
3.2. Pesticide Use
4. Discussion
5. Conclusions
Supplementary Materials
Author Contributions
Funding
Institutional Review Board Statement
Informed Consent Statement
Data Availability Statement
Acknowledgments
Conflicts of Interest
References
- Griggs, D.J.; Noguer, M. Climate Change 2001: The Scientific Basis. Contribution of Working Group I to the Third Assessment Report of the Intergovernmental Panel on Climate Change; IPCC: Paris, France, 2002; Volume 57, pp. 267–269. [Google Scholar]
- Wilson, E. Adapting to climate change at the local level: The spatial planning response. Local Environ. 2006, 11, 609–625. [Google Scholar] [CrossRef]
- Michailidou, A.V.; Vlachokostas, C.; Moussiopoulos, Ν. Interactions between climate change and the tourism sector: Multiple-criteria decision analysis to assess mitigation and adaptation options in tourism areas. Tour. Manag. 2016, 55, 1–12. [Google Scholar] [CrossRef]
- Scott, D.; Jones, B. A regional comparison of the implications of climate change for the golf industry in Canada. Can. Geogr./Le Géographe Can. 2007, 51, 219–232. [Google Scholar] [CrossRef]
- Delcour, I.; Spanoghe, P.; Uyttendaele, M. Literature review: Impact of climate change on pesticide use. Food Res. Int. 2015, 68, 7–15. [Google Scholar] [CrossRef]
- Lopes, M.S.; Royo, C.; Alvaro, F.; Sanchez-Garcia, M.; Ozer, E.; Ozdemir, F.; Karaman, M.; Roustaii, M.; Jalal-Kamali, M.R.; Pequeno, D. Optimizing winter wheat resilience to climate change in rain fed crop systems of Turkey and Iran. Front. Plant Sci. 2018, 9, 333003. [Google Scholar] [CrossRef]
- Soltani, K.; Ebtehaj, I.; Amiri, A.; Azari, A.; Gharabaghi, B.; Bonakdari, H. Mapping the spatial and temporal variability of flood susceptibility using remotely sensed normalized difference vegetation index and the forecasted changes in the future. Sci. Total Environ. 2021, 770, 145288. [Google Scholar] [CrossRef]
- Soltani, K.; Amiri, A.; Zeynoddin, M.; Ebtehaj, I.; Gharabaghi, B.; Bonakdari, H. Forecasting monthly fluctuations of lake surface areas using remote sensing techniques and novel machine learning methods. Theor. Appl. Climatol. 2021, 143, 713–735. [Google Scholar] [CrossRef]
- Ziska, L.H.; McConnell, L.L. Climate change, carbon dioxide, and pest biology: Monitor, mitigate, manage. J. Agric. Food Chem. 2016, 64, 6–12. [Google Scholar] [CrossRef]
- Ebtehaj, I.; Bonakdari, H. A comprehensive comparison of the fifth and sixth phases of the coupled model intercomparison project based on the Canadian earth system models in spatio-temporal variability of long-term flood susceptibility using remote sensing and flood frequency analysis. J. Hydrol. 2023, 617, 128851. [Google Scholar]
- Selhorst, A.L.; Lal, R. Carbon Sequestration in golf course turfgrass systems and recommendations for the enhancement of climate change mitigation potential. In Carbon Sequestration in Urban Ecosystems; Springer: Dordrecht, The Netherlands, 2012; pp. 249–263. [Google Scholar]
- Shaddox, T.W.; Unruh, J.B.; Johnson, M.E.; Brown, C.D.; Stacey, G. Survey of pest management practices on US golf courses. HortTechnology 2023, 33, 152–156. [Google Scholar] [CrossRef]
- Metcalfe, T.L.; Dillon, P.J.; Metcalfe, C.D. Detecting the transport of toxic pesticides from golf courses into watersheds in the Precambrian Shield region of Ontario, Canada. Environ. Toxicol. Chem. Int. J. 2008, 27, 811–818. [Google Scholar] [CrossRef] [PubMed]
- Indu; Baghel, A.S.; Bhardwaj, A.; Ibrahim, W. Optimization of pesticides spray on crops in agriculture using machine learning. Comput. Intell. Neurosci. 2022, 2022, 9408535. [Google Scholar] [CrossRef] [PubMed]
- Shen, Y.; Zhao, E.; Zhang, W.; Baccarelli, A.A.; Gao, F. Predicting pesticide dissipation half-life intervals in plants with machine learning models. J. Hazard. Mater. 2022, 436, 129177. [Google Scholar] [CrossRef] [PubMed]
- Grégoire, G.; Fortin, J.; Ebtehaj, I.; Bonakdari, H. Novel hybrid statistical learning framework coupled with random forest and grasshopper optimization algorithm to forecast pesticide use on golf courses. Agriculture 2022, 12, 933. [Google Scholar] [CrossRef]
- Grégoire, G.; Fortin, J.; Ebtehaj, I.; Bonakdari, H. Forecasting Pesticide Use on Golf Courses by Integration of Deep Learning and Decision Tree Techniques. Agriculture 2023, 13, 1163. [Google Scholar] [CrossRef]
- Molitor, M.R. The United Nations climate change agreements. In The Global Environment; Routledge: London, UK, 2023; pp. 210–235. [Google Scholar]
- Stocker, T.F.; Qin, D.; Plattner, G.-K.; Tignor, M.M.; Allen, S.K.; Boschung, J.; Nauels, A.; Xia, Y.; Bex, V.; Midgley, P.M. Climate Change 2013: The Physical Science Basis. Contribution of Working Group I to the Fifth Assessment Report of IPCC the Intergovernmental Panel on Climate Change; IPCC: Paris, France, 2014. [Google Scholar]
- Wang, H.; Su, W. Evaluating and understanding top of the atmosphere cloud radiative effects in Intergovernmental Panel on Climate Change (IPCC) Fifth Assessment Report (AR5) Coupled Model Intercomparison Project Phase 5 (CMIP5) models using satellite observations. J. Geophys. Res. Atmos. 2013, 118, 683–699. [Google Scholar] [CrossRef]
- Arias, P.; Bellouin, N.; Coppola, E.; Jones, R.; Krinner, G.; Marotzke, J.; Naik, V.; Palmer, M.; Plattner, G.-K.; Rogelj, J. Climate Change 2021: The Physical Science Basis. Contribution of Working Group I to the Sixth Assessment Report of the Intergovernmental Panel on Climate Change; Technical Summary; IPCC: Paris, France, 2021. [Google Scholar]
- Jayasankar, C.; Rajendran, K.; Sajani, S. Does increasing the spatial resolution in dynamical downscaling impact climate change projection of Indian summer monsoon, population and GDP? Theor. Appl. Climatol. 2021, 145, 441–453. [Google Scholar] [CrossRef]
- Li, J.; Huo, R.; Chen, H.; Zhao, Y.; Zhao, T. Comparative assessment and future prediction using CMIP6 and CMIP5 for annual precipitation and extreme precipitation simulation. Front. Earth Sci. 2021, 9, 687976. [Google Scholar] [CrossRef]
- Sobie, S.; Zwiers, F.; Curry, C. Climate model projections for Canada: A comparison of CMIP5 and CMIP6. Atmos.-Ocean 2021, 59, 269–284. [Google Scholar] [CrossRef]
- Hamed, M.M.; Nashwan, M.S.; Shahid, S.; bin Ismail, T.; Wang, X.-J.; Dewan, A.; Asaduzzaman, M. Inconsistency in historical simulations and future projections of temperature and rainfall: A comparison of CMIP5 and CMIP6 models over Southeast Asia. Atmos. Res. 2022, 265, 105927. [Google Scholar] [CrossRef]
- Li, X.; Tan, L.; Li, Y.; Qi, J.; Feng, P.; Li, B.; Liu, D.L.; Zhang, X.; Marek, G.W.; Zhang, Y. Effects of global climate change on the hydrological cycle and crop growth under heavily irrigated management—A comparison between CMIP5 and CMIP6. Comput. Electron. Agric. 2022, 202, 107408. [Google Scholar] [CrossRef]
- Grose, M.R.; Narsey, S.; Delage, F.; Dowdy, A.J.; Bador, M.; Boschat, G.; Chung, C.; Kajtar, J.; Rauniyar, S.; Freund, M. Insights from CMIP6 for Australia’s future climate. Earth’s Future 2020, 8, e2019EF001469. [Google Scholar] [CrossRef]
- Flynn, C.M.; Mauritsen, T. On the climate sensitivity and historical warming evolution in recent coupled model ensembles. Atmos. Chem. Phys. 2020, 20, 7829–7842. [Google Scholar] [CrossRef]
- Papalexiou, S.M.; Rajulapati, C.R.; Clark, M.P.; Lehner, F. Robustness of CMIP6 historical global mean temperature simulations: Trends, long-term persistence, autocorrelation, and distributional shape. Earth’s Future 2020, 8, e2020EF001667. [Google Scholar] [CrossRef]
- Li, J.; Barker, H. A radiation algorithm with correlated-k distribution. Part I: Local thermal equilibrium. J. Atmos. Sci. 2005, 62, 286–309. [Google Scholar] [CrossRef]
- Barker, H.; Cole, J.; Morcrette, J.J.; Pincus, R.; Räisänen, P.; von Salzen, K.; Vaillancourt, P. The Monte Carlo independent column approximation: An assessment using several global atmospheric models. Q. J. R. Meteorol. Soc. 2008, 134, 1463–1478. [Google Scholar] [CrossRef]
- Von Salzen, K.; McFarlane, N.A.; Lazare, M. The role of shallow convection in the water and energy cycles of the atmosphere. Clim. Dyn. 2005, 25, 671–688. [Google Scholar] [CrossRef]
- Swart, N.C.; Cole, J.N.; Kharin, V.V.; Lazare, M.; Scinocca, J.F.; Gillett, N.P.; Anstey, J.; Arora, V.; Christian, J.R.; Hanna, S. The Canadian earth system model version 5 (CanESM5. 0.3). Geosci. Model Dev. 2019, 12, 4823–4873. [Google Scholar] [CrossRef]
- Yhang, Y.-B.; Sohn, S.-J.; Jung, I.-W. Application of dynamical and statistical downscaling to East Asian summer precipitation for finely resolved datasets. Adv. Meteorol. 2017, 2017, 2956373. [Google Scholar] [CrossRef]
- Onarun, T.; Thepprasit, C.; Sittichok, K. Development of statistical downscaling methods for the assessment of rainfall characteristics under climate change scenarios. J. Water Clim. Change 2023, 14, 2970–2987. [Google Scholar] [CrossRef]
- Saraf, V.R.; Regulwar, D.G. Assessment of climate change for precipitation and temperature using statistical downscaling methods in Upper Godavari River Basin, India. J. Water Resour. Prot. 2016, 8, 31–45. [Google Scholar] [CrossRef]
- Op de Beeck, L.; Verheyen, J.; Olsen, K.; Stoks, R. Negative effects of pesticides under global warming can be counteracted by a higher degradation rate and thermal adaptation. J. Appl. Ecol. 2017, 54, 1847–1855. [Google Scholar] [CrossRef]
- Tudi, M.; Daniel Ruan, H.; Wang, L.; Lyu, J.; Sadler, R.; Connell, D.; Chu, C.; Phung, D.T. Agriculture development, pesticide application and its impact on the environment. Int. J. Environ. Res. Public Health 2021, 18, 1112. [Google Scholar] [CrossRef] [PubMed]
- Zinyemba, C.; Archer, E.; Rother, H.-A. Climate change, pesticides and health: Considering the risks and opportunities of adaptation for Zimbabwean smallholder cotton growers. Int. J. Environ. Res. Public Health 2021, 18, 121. [Google Scholar] [CrossRef]
- Bekken, M.A.; Schimenti, C.S.; Soldat, D.J.; Rossi, F.S. A novel framework for estimating and analyzing pesticide risk on golf courses. Sci. Total Environ. 2021, 783, 146840. [Google Scholar] [CrossRef]
- Virgin, J.G.; Fletcher, C.G.; Cole, J.N.; von Salzen, K.; Mitovski, T. Cloud Feedbacks from CanESM2 to CanESM5. 0 and their Influence on Climate Sensitivity. Geosci. Model Dev. Discuss. 2021, 14, 5355–5372. [Google Scholar] [CrossRef]
- Salimi, A.; Ghobrial, T.; Bonakdari, H. Comparison of the performance of CMIP5 and CMIP6 in the prediction of rainfall trends, case study Quebec City. Environ. Sci. Proc. 2023, 25, 42. [Google Scholar] [CrossRef]
- Koleva, N.G.; Schneider, U.A.; Tol, R.S. The impact of weather variability and climate change on pesticide applications in the US-An empirical investigation. Int. J. Ecol. Econ. Stat. 2009, 18, 64–81. [Google Scholar]
- Ziska, L.H. Increasing minimum daily temperatures are associated with enhanced pesticide use in cultivated soybean along a latitudinal gradient in the mid-western United States. PLoS ONE 2014, 9, e98516. [Google Scholar] [CrossRef]
- Shrestha, S. Effects of climate change in agricultural insect pest. Acta Sci. Agric. 2019, 3, 74–80. [Google Scholar] [CrossRef]
- Malhi, G.S.; Kaur, M.; Kaushik, P. Impact of climate change on agriculture and its mitigation strategies: A review. Sustainability 2021, 13, 1318. [Google Scholar] [CrossRef]
- Kearns, C.; Prior, L. Toxic greens: A preliminary study on pesticide usage on golf courses in Northern Ireland and potential risks to golfers and the environment. In Safety and Security Engineering V; WIT Press: Southampton, UK, 2013; pp. 173–182. [Google Scholar]
- Bhat, R.; Khajuria, M.; Mansotra, D.K. A systematic review on global environmental risks associated with pesticide application in agriculture. Contam. Agric. Environ. Health Risks Remediat. 2019, 1, 96. [Google Scholar]
- Koleva, N.G.; Schneider, U.A. The impact of climate change on the external cost of pesticide applications in US agriculture. Int. J. Agric. Sustain. 2009, 7, 203–216. [Google Scholar] [CrossRef]
- Kriticos, D.; Szyniszewska, A.; Bradshaw, C.; Li, C.; Verykouki, E.; Yonow, T.; Duffy, C. Modelling tools for including climate change in pest risk assessments. EPPO Bull. 2024, 54, 38–51. [Google Scholar] [CrossRef]
- McCarty, L.; Elliott, M.L. Pest management strategies for golf courses. In Handbook of Integrated Pest Management for Turf and Ornamentals; CRC Press: Boca Raton, FL, USA, 2020; pp. 193–202. [Google Scholar]
- Baker, B.P.; Green, T.A.; Loker, A.J. Biological control and integrated pest management in organic and conventional systems. Biol. Control 2020, 140, 104095. [Google Scholar] [CrossRef]
- Galli, M.; Feldmann, F.; Vogler, U.K.; Kogel, K.-H. Can biocontrol be the game-changer in integrated pest management? A review of definitions, methods and strategies. J. Plant Dis. Prot. 2024, 131, 265–291. [Google Scholar] [CrossRef]
- Möhring, N.; Ingold, K.; Kudsk, P.; Martin-Laurent, F.; Niggli, U.; Siegrist, M.; Studer, B.; Walter, A.; Finger, R. Pathways for advancing pesticide policies. Nat. Food 2020, 1, 535–540. [Google Scholar] [CrossRef]
- Bekken, M.; Soldat, D.J.; Koch, P.L.; Schimenti, C.S.; Rossi, F.S.; Aamlid, T.S.; Hesselsøe, K.J.; Petersen, T.K.; Straw, C.M.; Unruh, J.B. Analyzing Golf Course Pesticide Risk Across the Us and Europe. Available at SSRN 4265617. 2022. Available online: https://ssrn.com/abstract=4265617 (accessed on 2 November 2022).
- Storck, V.; Karpouzas, D.G.; Martin-Laurent, F. Towards a better pesticide policy for the European Union. Sci. Total Environ. 2017, 575, 1027–1033. [Google Scholar] [CrossRef]
- Kaur, T.; Kaur, M. Integrated Pest Management: A Paradigm for Modern Age; IntechOpen: London, UK, 2020. [Google Scholar]
- Williamson, S. Understanding the full costs of pesticides: Experience from the field with a focus on Africa. In Pesticides—The Impacts of Pesticides Exposure; IntechOpen: London, UK, 2011. [Google Scholar]







| Index | Total Precipitation (mm) | Total Precipitation (mm) | ||||
|---|---|---|---|---|---|---|
| Historical | CanESM2 | CanESM5 | Historical | CanESM2 | CanESM5 | |
| Minimum | 616.0 | 527.0 | 566.3 | 6.1 | 9.2 | 10.8 |
| 1st Quantile (Q1) | 718.4 | 636.1 | 683.3 | 9.2 | 12.5 | 13.8 |
| Mean | 754.7 | 662.9 | 704.4 | 10.6 | 13.6 | 15.0 |
| 3rd Quantile (Q3) | 825.3 | 710.7 | 765.3 | 11.4 | 14.5 | 15.8 |
| Maximum | 987.4 | 857.8 | 904.2 | 12.1 | 15.3 | 16.6 |
| Interquartile (IQR) | 106.9 | 74.6 | 82.1 | 2.1 | 2.0 | 2.0 |
| Climate Variables | Statistics | Historical vs. CanESM2 | Historical vs. CanESM5 | CanESM2 vs. CanESM5 |
|---|---|---|---|---|
| Temperature | F-Statistics | 1057.834 | 2105.13 | 198.438 |
| p-value | 4.67 × 10−143 | 4.14 × 10−215 | 6.05 × 10−40 | |
| Precipitation | F-Statistics | 273.9509 | 73.47208 | 105.2281 |
| p-value | 1.65 × 10−52 | 6.03 × 10−17 | 3.92 × 10−23 |
| Model | Scenario | Projected Period | Historical vs. CanESM2 | |
|---|---|---|---|---|
| F-Statistics | p-Value | |||
| Historical vs. CanESM2 | RCP2.6 | PP1 | 1.19 × 102 | 1.05 × 10−25 |
| PP2 | 1.17 × 102 | 2.72 × 10−25 | ||
| PP3 | 9.33 × 101 | 8.77 × 10−21 | ||
| Total | 1.10 × 102 | 6.34 × 10−24 | ||
| RCP2.6 | PP1 | 1.09 × 102 | 1.03 × 10−23 | |
| PP2 | 1.43 × 102 | 5.74 × 10−30 | ||
| PP3 | 1.41 × 102 | 1.10 × 10−29 | ||
| Total | 1.31 × 102 | 8.74 × 10−28 | ||
| RCP2.6 | PP1 | 1.09 × 102 | 1.06 × 10−23 | |
| PP2 | 1.50 × 102 | 2.21 × 10−31 | ||
| PP3 | 1.46 × 102 | 1.52 × 10−30 | ||
| Total | 1.35 × 102 | 1.64 × 10−28 | ||
| Historical vs. CanESM5 | RCP2.6 | PP1 | 1.43 × 102 | 4.08 × 10−30 |
| PP2 | 1.04 × 102 | 9.01 × 10−23 | ||
| PP3 | 1.31 × 102 | 8.58 × 10−28 | ||
| Total | 1.26 × 102 | 6.83 × 10−27 | ||
| RCP2.6 | PP1 | 1.45 × 102 | 2.36 × 10−30 | |
| PP2 | 1.49 × 102 | 3.51 × 10−31 | ||
| PP3 | 1.48 × 102 | 5.56 × 10−31 | ||
| Total | 1.47 × 102 | 7.44 × 10−31 | ||
| RCP2.6 | PP1 | 1.28 × 102 | 2.87 × 10−27 | |
| PP2 | 1.48 × 102 | 5.72 × 10−31 | ||
| PP3 | 1.54 × 102 | 4.07 × 10−32 | ||
| Total | 1.44 × 102 | 3.78 × 10−30 | ||
| CanESM2 vs. CanESM5 | RCP2.6 | PP1 | 7.13 × 102 | 1.82 × 10−16 |
| PP2 | 2.37 × 102 | 1.40 × 10−6 | ||
| PP3 | 2.57 × 102 | 2.69 × 10−49 | ||
| Total | 5.36 × 102 | 7.00 × 10−13 | ||
| RCP2.6 | PP1 | 1.79 × 102 | 1.84 × 10−36 | |
| PP2 | 5.27 | 2.20 × 10−2 | ||
| PP3 | 5.94 | 1.50 × 10−2 | ||
| Total | 4.72 × 101 | 1.47 × 10−11 | ||
| RCP2.6 | PP1 | 4.72 × 101 | 1.46 × 10−11 | |
| PP2 | 7.40 × 10−1 | 3.90 × 10−1 | ||
| PP3 | 1.38 × 101 | 2.23 × 10−4 | ||
| Total | 1.94 × 101 | 1.26 × 10−5 | ||
| Model | PT | Statistics | All | PP1 | PP2 | PP3 |
|---|---|---|---|---|---|---|
| Historical vs. CanESM2 | A | F-Statistics | 8.26 | 4.59 × 10 | 1.43 × 102 | 3.06 × 10 |
| p-value | 4.30 × 10−3 | 2.62 × 10−11 | 4.31 × 10−30 | 4.43 × 10−8 | ||
| F | F-Statistics | 1.84 × 103 | 1.46 × 10 | 5.25 × 10 | 1.40 × 10 | |
| p-value | 0.00 | 1.44 × 10−4 | 1.11 × 10−12 | 1.95 × 10−4 | ||
| H | F-Statistics | 2.09 × 102 | 1.72 | 6.95 | 2.34 | |
| p-value | 7.06 × 10−47 | 1.91 × 10−1 | 8.56 × 10−3 | 1.26 × 10−1 | ||
| I | F-Statistics | 1.41 × 102 | 3.41 | 1.48 × 10 | 5.86 | |
| p-value | 5.25 × 10−32 | 6.51 × 10−2 | 1.29 × 10−4 | 1.57 × 10−2 | ||
| RC | F-Statistics | 9.30 × 102 | 2.83 | 1.52 × 10 | 8.86 | |
| p-value | 3.16 × 10−162 | 9.29 × 10−2 | 1.06 × 10−4 | 3.01 × 10−3 | ||
| Ro | F-Statistics | 1.90 × 102 | 2.59 | 1.43 × 10 | 8.77 | |
| p-value | 1.13 × 10−37 | 1.08 × 10−1 | 1.69 × 10−4 | 3.17 × 10−3 | ||
| Historical vs. CanESM5 | A | F-Statistics | 3.93 | 1.19 × 10−1 | 6.87 × 10−3 | 1.42 |
| p-value | 4.81 × 10−2 | 7.31 × 10−1 | 9.34 × 10−1 | 2.34 × 10−1 | ||
| F | F-Statistics | 6.95 × 103 | 1.34 | 9.23 × 10−1 | 5.30 × 10 | |
| p-value | 1.00 × 10−7 | 2.47 × 101 | 3.37 × 10−1 | 8.96 × 10−13 | ||
| H | F-Statistics | 1.24 × 103 | 5.34 × 10−4 | 6.06 | 3.10 × 10 | |
| p-value | 2.20 × 10−254 | 9.82 × 10−1 | 1.41 × 10−2 | 3.62 × 10−8 | ||
| I | F-Statistics | 72.2 | 1.80 × 10−1 | 2.86 × 10−1 | 6.85 × 10 | |
| p-value | 2.69 × 10−17 | 6.71 × 10−1 | 5.93 × 10−1 | 9.04 × 10−3 | ||
| RC | F-Statistics | 5.94 × 102 | 4.10 × 10−2 | 9.44 × 10−1 | 7.97 | |
| p-value | 2.49 × 10−112 | 8.40 × 10−1 | 3.32 × 10−1 | 4.88 × 10−3 | ||
| Ro | F-Statistics | 1.12 × 102 | 6.03 × 10−2 | 1.68 | 4.04 | |
| p-value | 3.92 × 10−24 | 8.06 × 10−1 | 1.95 × 10−1 | 4.48 × 10−2 | ||
| CanESM2 vs. CanESM5 | A | F-Statistics | 9.41 × 102 | 8.48 × 102 | 3.76 × 102 | 1.11 × 103 |
| p-value | 1.96 × 10−132 | 1.72 × 10−123 | 1.25 × 10−67 | 3.56 × 10−147 | ||
| F | F-Statistics | 1.09 × 102 | 5.58 × 10 | 2.62 × 102 | 3.14 × 10 | |
| p-value | 7.25 × 10−24 | 2.36 × 10−13 | 2.12 × 10−50 | 2.98 × 10−8 | ||
| H | F-Statistics | 1.22 × 102 | 7.71 × 10 | 1.99 × 102 | 6.56 × 10 | |
| p-value | 3.35 × 10−26 | 1.19 × 10−17 | 5.20 × 10−40 | 2.42 × 10−15 | ||
| I | F-Statistics | 6.03 | 1.21 × 10 | 5.14 × 10−1 | 2.09 × 10 | |
| p-value | 1.43 × 10−2 | 5.21 × 10−4 | 4.74 × 10−1 | 5.81 × 10−6 | ||
| RC | F-Statistics | 2.85 | 8.09 | 3.47 | 1.64 × 10 | |
| p-value | 9.16 × 10−2 | 4.57 × 10−3 | 6.28 × 10−2 | 5.80 × 10−5 | ||
| Ro | F-Statistics | 6.33 | 1.64 × 10 | 8.37 × 10−1 | 1.74 × 10 | |
| p-value | 1.21 × 10−2 | 5.80 × 10−5 | 3.61 × 10−1 | 3.44 × 10−5 |
Disclaimer/Publisher’s Note: The statements, opinions and data contained in all publications are solely those of the individual author(s) and contributor(s) and not of MDPI and/or the editor(s). MDPI and/or the editor(s) disclaim responsibility for any injury to people or property resulting from any ideas, methods, instructions or products referred to in the content. |
© 2024 by the authors. Licensee MDPI, Basel, Switzerland. This article is an open access article distributed under the terms and conditions of the Creative Commons Attribution (CC BY) license (https://creativecommons.org/licenses/by/4.0/).
Share and Cite
Ebtehaj, I.; Fortin, J.; Bonakdari, H.; Grégoire, G. How Climate Change Will Shape Pesticide Application in Quebec’s Golf Courses: Insights with Deep Learning Based on Assessing CMIP5 and CMIP6. Appl. Sci. 2024, 14, 9209. https://doi.org/10.3390/app14209209
Ebtehaj I, Fortin J, Bonakdari H, Grégoire G. How Climate Change Will Shape Pesticide Application in Quebec’s Golf Courses: Insights with Deep Learning Based on Assessing CMIP5 and CMIP6. Applied Sciences. 2024; 14(20):9209. https://doi.org/10.3390/app14209209
Chicago/Turabian StyleEbtehaj, Isa, Josée Fortin, Hossein Bonakdari, and Guillaume Grégoire. 2024. "How Climate Change Will Shape Pesticide Application in Quebec’s Golf Courses: Insights with Deep Learning Based on Assessing CMIP5 and CMIP6" Applied Sciences 14, no. 20: 9209. https://doi.org/10.3390/app14209209
APA StyleEbtehaj, I., Fortin, J., Bonakdari, H., & Grégoire, G. (2024). How Climate Change Will Shape Pesticide Application in Quebec’s Golf Courses: Insights with Deep Learning Based on Assessing CMIP5 and CMIP6. Applied Sciences, 14(20), 9209. https://doi.org/10.3390/app14209209

