Abstract
Successful communication between highly automated vehicles and vulnerable road users will be crucial in the future. In addition to the technical requirements of the communication system, the projected content is also essential to ensure successful communication. For this purpose, previous studies have investigated the necessary technical requirements for near-field projections. However, the impact of the presentation content, whether symbol- or text-based, on the technological domain, has yet to be investigated. Therefore, a psychophysical subject study investigated the necessary detection probability for symbol- and text-based projection in the near-field of a vehicle. The visibility of symbol- and text-based projections were analyzed by the subject’s detection rate of the tested projection in an ambient lighting scenario of 20 lx at two different distances. Additionally, the corresponding reaction time of the subjects was measured. The results of the subject study showed that, contrarily, an arbitrary increase does not reduce the reaction time and thus saturates at a level of 650 ms before the 90% detection threshold for both projection contents. The observed detection contrast indicates that symbol-based projections need approximately 25% less contrast level than text-based projections to reach a 90% detection rate.
1. Introduction
Traffic safety in urban environments requires a successful interaction among all present road users (RUs). Approximately 69.3% of all fatalities happen in metropolitan areas in Germany. Moreover, the share of vulnerable RUs (25%), which includes pedestrians and cyclists, emphasizes the need for reducing fatalities in urban areas [1].
With the introduction of automated vehicles (AVs) in the current traffic, new challenges will arise and extend the complexity of existing conflict situations. Various studies have shown possible solutions for how AVs can be integrated into the current traffic and what implementations are necessary to improve the interaction of AVs and other RUs [2,3,4,5,6,7,8,9]. Although displays mounted on AVs are a possible solution for communication and prevention of accidents, ground projections have advantages to preventing accidents or conflicts with vulnerable RUs by illustrating a projection directly in the addressed RUs field of view [4,6,7,10,11,12,13]. To guarantee successful communication of a projection-based human–machine interface, several studies are investigating aspects such as visibility thresholds, necessary resolution, comprehension of the projected content, and whether the projection should be in the near- or far-field of the vehicle [4,5,7,10,11,12,13,14,15,16,17,18,19].
The consideration of comprehensive near-field projections, whether symbol- or text-based, plays a significant role for the recipient of the projection. Additionally, the legibility of the content, which can be measured in reaction times, can influence the visibility and clarity of the projected message [14,20,21,22,23]. Under these circumstances, it is essential to note that those visual requirements, like visual acuity, are influenced by the complexity of the projected message, such as an increasing visual acuity of Chinese characters with increasing stimulus complexity [24,25].
However, current studies focus on simple pattern-based projection [7,10,11,12,13,16,18], except for Stuckert and Khanh’s [19] study which considers complex patterns such as text-based projections. The testing focuses on the resolution requirements under several ambient luminance levels in the mesopic vision with a constant contrast ratio to not influence the visual acuity perception [19]. Namely, Shibata’s [13] study investigated the influence of a vehicle’s projected turn indicator signal in the near-field of a car in hazardous situations. Exemplarily, Schlöder [12] defines the near-field area as a projection distance of 5 m and below around the vehicle. Several other studies by Namyslo [11] or Schlöder [12] also investigated this use case, as the scenario of the urban-turning accident resulted in the highest number of accidents between vehicles and vulnerable RUs in 2020, with 24.8% [1]. Therefore, the ambient luminance in the study varied to focus on the lighting conditions corresponding to dusk/dawn and nighttime, where Shibata examines two different projected symbol-based patterns (the rectangle and herringbone patterns) [13].
Moreover, Namyslo et al. [16] focused their study on the cyclist’s perspective and perceived safety in a low-light environment, usually during dusk/dawn or night-time. Both studies used questionnaires to evaluate the subjectively perceived brightness of the displayed ground projection [13,16].
Shibata [13] concluded that low ambient lighting levels require higher contrast to detect an object. Thus, the projected symbol-based pattern type did not affect the subjects’ perception of brightness. After all, the Weber contrast, which is represented by the following equation, is considered:
where LObject indicates the luminance of the projection and LBackground is the background luminance of the street’s surface [26]. Therefore, in Shibata’s [13] analysis, a minimum Weber contrast of 0.4 is necessary to detect a projection while looking directly at the street. Compared to the second scenario, when looking at the phone while approaching the projection, the minimum contrast increased to 1.
Plainis and Murray discovered that the observer’s reaction time decreases with the projections’ higher luminance and contrast levels. Indeed, early detection of a near-field projection will reduce the risk for vulnerable RUs. Furthermore, Plainis and Murray explain the higher severity of accidents during low-level ambient luminance, such as dusk and nighttime, with increasing reaction times. [22] In addition, Clear [13] modified Rea’s Relative Visual Performance Model [27] regarding reaction times with task-dependent factors for target size, luminance, and visibility level. The task-dependent factors play a significant role since the model is valid for simple detection tasks of squares or discs in a simplified laboratory environment, not a traffic environment [14,27].
Moreover, the complexity of the projected illustration will have a significant impact, since both Wang et al. [24] and Zhang et al. [25] discovered a relationship between the increasing complexity of Chinese characters and the coherent increase of visual acuity. According to Zhang et al. [25], Chinese CC1 characters are 37% less legible than English Sloan characters. In addition, Wang et al. [24] discovered a similar tendency which indicates that Chinese characters require a higher visual acuity and a larger critical font size than English characters.
After all, in metropolitan areas where many RUs interact, it is crucial to increase road safety with safety-relevant projections to reduce the risk of fatalities. Overall, the literature research shows that no studies have been carried out on the contrast perception near-field projections depending on the viewing distance, including reaction times. It is, therefore, important for future traffic in urban areas to understand whether the viewing distance and the resulting reaction time influence the perception of a subject and how this can be applied to the near-field projector’s design. As Plainis and Murray have already discovered, a higher brightness of the projection or a higher contrast should decrease the reaction time of the observer [22]. However, an arbitrary increase in the projector’s illuminance will lead to energy-consuming vehicles in the future. Furthermore, the requirements for the visual performance will change dependent on the projection content if it is symbol- or text-based. Therefore, this study aims to validate the fundamental perception process for applying near-field projections. So, the subject study seeks to answer the question: ‘Does content matter?’—and derive visibility requirements for near-field projections by analyzing the corresponding reaction times, the perceived Weber contrast by the participants for different content and to investigate the influence of the varying observation distances. Primarily, this subject study can guide the development of projection technology, the corresponding system efficiency, and the design of the projected content for vulnerable RUs to improve road safety.
Thus, the following three research questions arise, which are to be answered using a psychophysical subject study:
- Does the projected content (symbol- or text-based) influence the photometric requirements, such as the detection contrast and the visibility level?
- Does the projected content (symbol- or text-based) influence the participants’ reaction times based on the detection probability?
- Does the distance to the projection influence the photometric requirements, such as detection contrast or visibility level?
Hence, the structure of this article is as follows: Section 2 depicts an overview of the study design with the materials and the procedure used to operate the subject study and methods to analyze the collected data. Section 3 describes the theoretical background and derives an analytical approach for the examined data. Afterwards, Section 4 represents the examination results with a detailed discussion in Section 5. In the end, a conclusion and an outlook for further research are presented.
2. Materials and Methods
The subject study occurred in a light channel and included several sub-tests to investigate the independent parameters. The construction of the subject study consisted of a 3-LCD laser projector attached to a vehicle’s railing, which displayed ground projections next to the car, as illustrated in Figure 1 and Figure 2. The resolution of the digital projections was chosen as a maximum of the given projection system since this parameter was not investigated in this study. All corresponding Weber contrasts of the projected greyscales of the different contents were determined using a luminance camera, the TechnoTeam LMK-5 Color. Then, the projector displayed images controlled by the study instructor using Matlab and Psychtoolbox.
Figure 1.
Setup of the study with the mounted projector on the vehicle.
Figure 2.
Setup of the study with the position of the ground projection (grey rectangle) oriented to the vehicle and the different viewing distances of the subjects in 1 and 5 m (orange dots) distance to the projected area.
A total of 47 subjects with a mean age of 38.96 years participated in this study, which, according to Royer et al. [28], is considered a reasonably significant sample size for psychophysical testing. The corresponding age distribution is shown in Table 1. The subject population consisted of 15% female participants. Subjects with varying levels of lighting knowledge participated in this field test. All participants were encouraged to wear their visual aids when necessary. Participation in this study was voluntary and participants could withdraw anytime, so the subjects’ consent to participate in this study and to have their data analyzed anonymously was obtained prior to the start of the study.
Table 1.
Age distribution of the study subjects.
Before the study, participants read an instruction sheet and completed a questionnaire consisting of a personal and a content section. All subjects adapted to the ambient illuminance for at least 10 min to ensure complete adaptation of the visual system to the given environment. The experiments were performed under mesopic ambient lighting (20 lx, 0.6 cd/m2) by using fluorescent tubes on the ceiling of a light channel to obtain a homogeneous illumination of the projection area. According to Goldstein and Cacciamani, an adaptation period of at least 8 min is required to adapt to a mesopic environment [29]. The chosen ambient lighting scenario reflects an actual use case and demonstrates the necessary illuminance of a parking lot in a parking garage [30].
The following sections provide a detailed overview of the general study design, the different test conditions, the study procedure, and the methods used for data analysis.
2.1. Study Design
To answer the three research questions of this subject study, the detection probability and the resulting visibility level of a projected light stimulus and the corresponding reaction time of each subject served as the dependent parameters of the study, while the different contents, the greyscales and the resulting contrast, and the distance served as the independent parameters.
The projection content’s influence on the detection probability was investigated using two simple images as content for the projection (see Figure 3). The images used in Figure 3 represent typical use cases in the automotive sector. One text-based image, ‘Welcome to Munich,’ includes just three words for easy understanding and represents a welcoming scenario. The English language was selected for the text-based content to ensure that all participants could understand the wording. Furthermore, it encompassed a diverse range of letters and characters. The symbol-based content consisted of a battery, representing an everyday use case in future vehicle communication, particularly for electric vehicles, indicating the battery status. Consequently, the size of the two images was similar at 61 cm × 50 cm. The subject viewed the displayed contents (text, symbol) in different greyscales at a distance of 1 and 5 m to the center of the projection area, respectively; see Figure 2. The two distances studied represent different real-world scenarios. The 1 m viewing distance represents entering or exiting the vehicle (welcome/goodbye scenario for the vehicle owner), and the 5 m viewing distance relates to a safety-relevant scenario in urban areas (e.g., vehicle communicating with surrounding road users).
Figure 3.
Projected images: symbol—battery; text—Welcome to Munich.
Furthermore, the viewing angles of the two images were greater than 100 angular minute at both distances (1 and 5 m). Therefore, the Weber range is extensive enough and assumes a constant behaviour to the corresponding luminance [31].
The design used for the subject study was a constant stimulus method with two-alternative forced-choice implementations.
In all subtests (distance x content), the brightness of the projected content varied, while the subject had to press a key (‘y’—‘Yes’ or ‘n’—‘No’) on a keyboard upon detecting the displayed content as a light stimulus or not. The brightness of the projected content was adjusted by showing eight different greyscale levels for the text- and symbol-based content. These greyscale levels were presented randomly, one after the other, in the consecutive sub-trials. Each greyscale level was repeated three times to avoid any potential learning effect. Per one experimental part, the subjects thus had to evaluate 24 stimuli (1 distance (1 or 5 m) × 1 content (text or symbol) × 8 greyscale × 3 repetitions).
In addition, the different scenarios (distance of 1 or 5 m) and projected content (text or symbol) used different greyscales to present subthreshold and suprathreshold stimuli in all conditions. These thresholds were determined in advance with a smaller sample of subjects. The exact definition of detection was explained to the subjects beforehand. According to Schmidt-Clausen and Freiding [32], detection is the mere perception of the presence of an object, as opposed to recognition, which is the discrimination of an object. The Toolbox recorded the corresponding reaction time to estimate the reaction time between seeing the projected stimuli and pressing the participant’s button. In retrospect, the analysis shows a difference in the reaction time of the detection contrast for the different images compared to the research results of Rea and Oulette [27]. In total, the subjects judged 96 stimuli (8 greyscales × 3 repetitions × 2 contents (text, symbol) × 2 distances (1 and 5 m).
2.2. Statistical Methods and Data Analysis
The evaluation of the study data starts by determining the Weber contrasts of the different greyscales of the content projections from the recorded luminance images to use them for further evaluation (see Figure 4).
Figure 4.
Exemplary luminance image of the projected symbol (battery) taken by a luminance camera LMK 5 Color at mesopic lighting conditions (20 lx) at a distance of 5 m. The black rectangle represents the background area and the blue rectangle the projected content (for the calculation of the Weber contrast the specific shape of the content was used).
In further evaluation, threshold values for the safe detection of the projected visual signs are determined from the Weber contrasts. For this purpose, Adrian’s [31] small target visibility model calculates the threshold luminance difference between the object and the background. The threshold difference depends on the object size, the background luminance, the presentation time, the observer age, and the contrast polarity. Furthermore, a pre-factor k is chosen based on the desired detection probability. For a detection probability of 90%, the k-factor is determined to be 1.62 [33].
where:
- detection probability factor ( for 90 % detection probability);
- luminous flux, luminance function regarding Ricco’s/Weber’s law;
- target size of displayed content;
- Blondel–Rey constant;
- presentation time of displayed content ();
- contrast polarity factor ( for a positive contrast);
- age factor (individual, for young observers (age < 23)).
Since the small target visibility model was set up based on laboratory studies and is unable to represent the complexity of a real situation in road traffic, an additional factor is introduced in the form of the visibility level (VL) (see (3)), which describes the relationship between the calculated threshold luminance difference ΔLth and the actual luminance difference ΔLact required in road traffic and is also used as the basis for the design of street lighting installations in the USA [31].
This study used the constant stimulus method with a forced-choice implementation [34]. The detection probability (proportion of “yes” responses) is plotted against stimulus strength (grey level/contrast), resulting in a psychometric function. Since stimuli significantly below the threshold are never detected, and stimuli significantly above the threshold are always detected, a sigmoid function is obtained. This psychometric function can be fitted with logistic regression [35].
The actual luminance difference was determined from the study data. For this purpose, the data were evaluated using logistic regression with the psychometric formula to obtain the detection probability of the different stimuli, according to Linschoten [36] (see (4)). The advantage of this method is that the contrast and luminance differences for various detection probabilities can be derived from the results obtained.
where:
- detection probability of stimulus;
- stimulus intensity;
- stimulus with a 50 % probability of a positive response;
- steepness of the curve;
- probability of a randomly positive evaluation (here: = 0).
Finally, the luminance differences determined for the projection of the symbol and the text in the various scenarios were examined for significant differences. For this purpose, non-parametric tests were applied based on the data available. The selected data was analyzed through statistical evaluation methods to determine statistically significant differences between the individual independent parameters. The chi-square test ( analyzes the distribution and the corresponding significances between the compared data [37]. The chi-square test is a statistical test procedure to declare statements about the relationship between variables that are either nominally or ordinally scaled. This present study used nominally scaled variables. Additionally, Cramer’s V with the effect size V (see (5)) measures the strength of the correlation between two nominally scaled variables. For an effect size < 0.2, the result has a weak effect even though the results are significant; for 0.2 < < 0.6 the results have a moderate effect; and for > 0.6 the results are considered to have a strong effect [37,38]. A significance level of p = 0.05 was applied to all tests.
where:
- test statistic;
- sample size;
- degrees of freedom (min of: number of columns−1/number of rows−1).
3. Results
Initially, the used Weber contrasts of the projection system were calculated for the different constellations (projection distance: 1 m/5 m, content: symbol/text). For this purpose, the luminance images recorded at the various constellations and intensity settings led to the calculation of the Weber contrast. Figure 5 displays the resulting contrast curves. The projector intensity for the present detection study was 1.96–5.88%. The greyscale percentages correspond to an illumination level of 22.98–46.46 lx.
Figure 5.
Contrast curves for the presented symbol (blue lines) and text (red lines) at distances of 1 m (solid) and 5 m (dashed). depending on the projector intensity.
Figure 5 shows that the contrast curves are nearly linear over a large range, especially at a distance of 5 m. So, the contrasts at a distance of 5 m are lower than at a distance of 1 m for the same intensity settings, which shows the distance dependency of the Weber contrast. For example, the symbol indicates a maximum contrast of 60.24 at a distance of 1 m and a maximum contrast of 57.99 at 5 m. For the text, the maximum contrast is 73.06 at a 1 m distance and 53.59 at a distance of 5 m.
The subjects’ detection rates for the different contents (symbol, text) at distances of 1 and 5 m were plotted using logistic regression and plotted against the projected contrast. The fitted curves represent the required Weber contrast which presupposes a certain detection probability. To ensure the projection’s reliable detection, this study used a 90% detection probability.
Figure 6 and Figure 7 show the logistic regression functions of the detection probability over the contrast for the presented object symbol and text in the distances 1 and 5 m averaged for all test persons. For both contents (text, symbol), an increasing contrast is accompanied by higher detection probability, which goes into saturation above a particular contrast value.
Figure 6.
Logistic regression curves of detection probability (blue curves) and corresponding mean data points (blue crosses, black circles) and mean reaction time (orange curves) versus Weber contrast for the content symbol at distances 1 m (dashed) and 5 m (solid) averaged over all subjects.
Figure 7.
Logistic regression curves of detection probability (blue curves) and corresponding mean data points (blue crosses, black circles) as well as mean reaction time (orange curves) over Weber contrast for the content text at distances 1 m (dashed) and 5 m (solid) averaged over all subjects.
To obtain a 90% detection probability, a contrast of 0.089 is required for the symbol at a viewing distance of 1 m. The corresponding contrast at a 5 m distance is 0.1253 (Figure 6). Considering the detection probability of the presented text, a 90% detection probability at a 1 m observation distance results in a contrast of 0.111 and 5 m of 0.154 (Figure 7). Here, there is a 38% increase in the detection contrast with increasing distance.
By comparing the probability level of 90% for the detection contrasts of the text and symbol at different distances, the 90% detection contrast is significantly higher than that of the symbol at 1 and 5 m. There is an increase of 24% at 1 m distance and 23% at 5 m distance. Looking at the corresponding reaction time of the subjects at the different contrasts of the text- and symbol-based projection, there is a decreasing reaction time for text and symbol at both distances of 1 and 5 m with increasing contrast and increasing detection probability. For both contents at both distances, there is a saturation of the reaction time between 600 and 650 ms before the 90% detection probability has been reached (Figure 6 and Figure 7).
The chi-square test and Cramer’s V test were used on the study data to investigate whether the distance or content significantly influences the detection probability [36,37]. Due to the different shapes of the contents (text, symbol), different Weber contrasts were inherited with the same grey levels for the text-based and symbol-based contents. Since the distance changes the viewing angle and the reflection properties of the pavement vary as a result, these factors influence the measured Weber contrast. To achieve a generally valid statement of the statistical tests, they were determined utilizing the greyscale levels and the resulting illuminance levels. The illuminance levels are independent of the projection content and the viewing distance. The illuminance level is the photometric variable that is ultimately relevant to the design of the projection system.
Table 2 checks the detection grey scale levels for their significant dependency concerning the parameter content (text, symbol) and distance (1 and 5 m) looking at the p-value using the chi-square test. Additionally, the Cramer’s V as effect size V is calculated. Since eight different stimuli have been presented in one scenario, the degrees of freedom are m = 8 − 1 = 7. There is a considerable influence of the distances 1 and 5 m for the content text (p = 1.46 × 10−9, V = 0.203 (moderate)) and the content symbol (p = 1.079 × 10−6, V = 0.184 (weak)). Therefore, the illuminance required for detection is significantly higher at 5 m than at 1 m for both text and symbol. When looking at the different contents, there is a significant difference at a viewing distance of 5 m. The content text requires significantly higher illuminance levels for detection (p = 0.352 × 10−3, V = 0.139 (weak)) than the content symbol at 5 m. On the other hand, at a viewing distance of 1 m, the resulting illuminance levels of the content text are higher than those of the symbol, but this difference is not significant according to the chi-square test (p = 0.138, V = 0.0866).
Table 2.
Statistical values of the detection illuminance using the chi-square test (Χ2(m), ) and Cramer’s V for the effect size (V).
Figure 8 and Figure 9 show the logistic regression curves of the detection probability for different age groups of the subjects for the presented text and symbol at distances of 1 and 5 m. The subjects were divided into the age groups 20–29, 30–39, 40–49, and older than 50 years to investigate possible influences of age on the detection contrast. Due to the lower number of participants in each age group (approx. 10), the logistic regression cannot saturate at a detection probability level 1, specifically for age groups older than 40. On examining the curves, there are no significant differences concerning the age groups in the detection contrasts (α = 0.05, p = 0.138). Thus, the age groups shown in Figure 8 and Figure 9 could summarized and analyzed.
Figure 8.
Logistic regression curves of detection probability (blue curves) and the corresponding mean data points (blue crosses, black circles) over Weber contrast and mean reaction times (orange curves) over Weber contrast for the object symbol for the different age groups 20–29, 30–39, 40–49, and >50 at distances 1 m (dashed) and 5 m (solid).
Figure 9.
Logistic regression curves of detection probability (blue curves) and the corresponding mean data points (blue crosses, black circles) over Weber contrast and mean reaction times (orange curves) over Weber contrast for the object text for the different age groups 20–29, 30–39, 40–49, and >50 at the distances 1 m (dashed) and 5 m (solid).
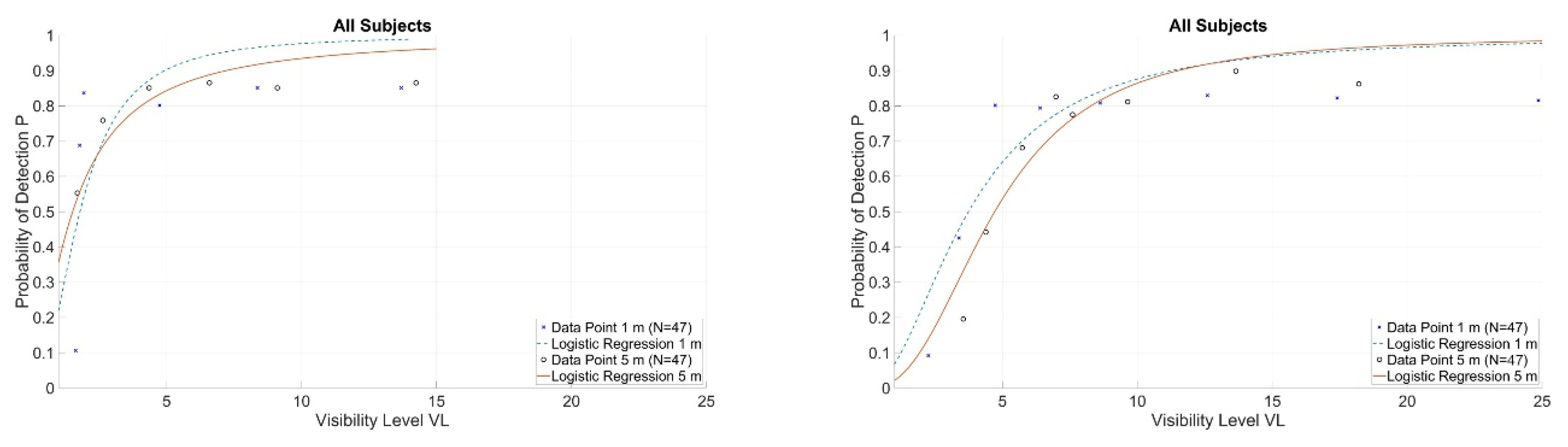
The visibility level related to the threshold luminance difference was considered to generalize the results. The results shown in Figure 10 indicate that a visibility level of approximately 5 for a distance of 1 m and a visibility level of approximately 7.5 for a distance of 5 m is required to detect the symbol with a probability of 90% (see Figure 10 left). Again, the text (Figure 10 right) also requires a higher visibility level of approximately 12 for both distances. Thus, the results of the contrast analysis are confirmed by the visibility level analysis.
Figure 10.
Logistic regression curves of detection probability for 1 m (blue line) and the corresponding data points (blue crosses) as well as of detection probability for 5 m (orange line) with the data points (black circles) over visibility level (VL) averaged over all subjects.
4. Discussion
Current research concentrates on the development of external human–machine interfaces (eHMI), such as displays or projections for interactions of a highly automated vehicle with a vulnerable road user, such as a pedestrian or a cyclist [2,3,4,5,6,7,8,9,11,12,19]. This research has yet to focus on the visibility factor correlating with comprehensibility relevant to developing eHMI for the automotive sector. Therefore, a projection-based eHMI is examined in detail, focusing on projections in the near-field of a vehicle. The subject study states that using a projection-based illustration, the Weber contrast of a symbol-based message is approximately 25% lower than a text-based content independent of the observation distance, even though the reaction times saturate for both contents in the 600 to 650 ms range. The saturation of the reaction time appears before the 90% contrast threshold level, which implies that an arbitrary increase, in contrast, does not lead to a reduction of the reaction time.
The reaction time saturation also ensures a feasible contrast for detecting the projection for both projection contents. Consideration of the statistical test of detection illuminance underlines the results of the Weber contrast. Higher illuminance levels are also necessary for the detection of the text. In addition, a higher illuminance is required for greater distances. Since the projection system receives specific digital values as input signals, the illuminance is the quantity that must be considered for an efficient projection system. The lower necessary contrast for symbol-based projections empowers using symbol-based over text-based content. This preference for symbol-based content has an advantage over text-based content worldwide, not only because of the lower contrast but also because, for example, Chinese characters are more complex than English characters and, therefore, could lead to even a higher necessary contrast [24,25]. Therefore, text- or language-based eHMI must be examined for each specific language for the visual requirements, when implementing different languages with the corresponding complexity of the languages.
Additionally, text-based messages can have cultural barriers and are not as understandable as symbols, which are known and used in daily traffic. Moreover, the usage of symbols nowadays is preferred in the regulations for homologating some projections, which support the driver [6,15,16,18]. In addition, research into symbol-based content for eHMIs needs to be targeted.
This subject study was conducted in a mesopic lighting scenario of 20 lx to represent a traffic use case in a parking lot. However, in real urban scenarios, dynamic environmental lighting conditions such as street lighting and additional lighting from oncoming vehicles are present. Current near-field projection systems around the vehicle still need to be visible in photopic lighting environments but should be considered in further research. These scenarios are becoming increasingly crucial for safety-related situations that must be visible in any lighting environment.
5. Conclusions
This study aimed to investigate whether the symbol- or text-based projection influences the detection contrast and the reaction time in various distances and, therefore, raises the question: Does content matter? Accordingly, a study with 47 test persons was analyzed, which examined both the projection content and the viewing distances using a psychophysical two-alternative forced-choice subject study.
The analyses suggest that the projected content, whether text- or symbol-based, and the viewing distance of the subject influence the detection probability. Therefore, the study results lead to the conclusion that content matters.
A symbol-based projection can be detected in the testing at significantly lower contrast levels than a text-based projection by approximately 25%. The findings of the visibility level underline these effects. There were no differences in reaction times to symbol or text-based projection. Due to the lower necessary contrast for symbol-based projections at the same reaction time, a lower greyscale input image for the projector is needed. This results in advantages for the projection system, as it can save energy due to lower required illuminance levels and benefits regarding the comprehensibility of symbols in different countries and cultures. This is beneficial for the electrically driven vehicle, which, e.g., is already dominant in urban traffic nowadays, since it is crucial to design an energy-saving driving assistance system with near-field projections instead of following the approach by Plains and Murray [22], who state maximal luminance is essential for low reaction times. Furthermore, the assumption is that symbols are understood independently of other languages. Compared to text-based messages, the easier understandability of symbols correlates with and confirms the fundamental perception process by Schmidt-Clausen and Freiding, where recognition demands a higher cognitive load than detection [32]. Further research should focus on the clarity and comprehensibility of these symbols because this subject study only investigated detection and not recognition. Regarding safety-critical situations, other studies should address the aspect of dynamic field studies and more complex cases, as this study has dealt with the fundamental elements of the detection of simplified images in a static test environment. Nevertheless, it will be challenging to put native participants into safety-critical situations. Therefore, a study design in virtual reality can be beneficial to elaborate safety-relevant projection content more realistically, as used already by some research institutes [2,3,4].
Another important aspect is the positioning of the projection on or next to the vehicle, as already shown in the first explorations by Colley et al., who state that projected exterior displays are a beneficial feature for urban mobility [39]. It is crucial to verify if the proposed results for near-field projections on the road are adaptable to projected exterior displays on the vehicle surface. Another essential point to consider is a projection in a photopic environment. The question is whether projectors with the technology used in this study are sufficient for this application to achieve the required brightness levels or whether another technology, such as a laser scanner, needs to be used. With the fundamental research of the detection probability of simple text and symbol-based contents, future studies for projection content for automated vehicle communication in safety-relevant situations can be derived.
Author Contributions
Conceptualization, T.S., A.S., A.E. and T.Q.K.; methodology, T.S., A.S., A.E. and T.Q.K.; software, T.S. and A.S.; validation, T.S., A.S. and A.E.; formal analysis, T.S. and A.S.; investigation, T.S., A.S., A.E. and T.Q.K.; resources, T.S. and A.S.; data curation, A.S.; writing—original draft preparation, T.S., A.S. and A.E.; writing—review and editing, T.S., A.S., A.E. and T.Q.K.; visualization, T.S., A.S. and A.E.; supervision, T.Q.K.; project administration, T.S. and A.S.; funding acquisition, T.S. and T.Q.K. All authors have read and agreed to the published version of the manuscript.
Funding
We acknowledge support by the Deutsche Forschungsgemeinschaft (DFG–German Research Foundation) and the Open Access Publishing Fund of Technical University of Darmstadt.
Institutional Review Board Statement
Not applicable.
Informed Consent Statement
Not applicable.
Data Availability Statement
All data generated or analyzed to support the findings of the present study are included in this article. The raw data supporting the conclusions of this article will be made available by the authors on request due to privacy.
Conflicts of Interest
Authors Tabea Schlürscheid and Alexander Stuckert were employed by the company BMW Group. The remaining authors declare that the research was conducted in the absence of any commercial or financial relationships that could be construed as a potential conflict of interest.
References
- Statistisches Bundesamt. Verkehrsunfälle—Fachserie 8 Reihe 7-2020. 2021. Available online: https://www.destatis.de/DE/Themen/Gesellschaft-Umwelt/Verkehrsunfaelle/Publikationen/Downloads-Verkehrsunfaelle/verkehrsunfaelle-jahr-2080700207004.pdf?__blob=publicationFile (accessed on 23 May 2022).
- Bazilinskyy, P.; Dodou, D.; de Winter, J. Survey on eHMI concepts: The effect of text, color, and perspective. Transp. Res. Part F Traffic Psychol. Behav. 2019, 67, 175–194. [Google Scholar] [CrossRef]
- De Clercq, K.; Dietrich, A.; Núñez Velasco, J.P.; de Winter, J.; Happee, R. External Human-Machine Interfaces on Automated Vehicles: Effects on Pedestrian Crossing Decisions. Hum. Factors J. Hum. Factors Ergon. Soc. 2019, 61, 1353–1370. [Google Scholar] [CrossRef] [PubMed]
- Dietrich, A.; Willrodt, J.-H.; Wagner, K.; Bengler, K. Projection-based external human-machine interfaces—Enabling interaction between automated vehicles and pedestrian. In Proceedings of the Driving Simulation Conference Europe, Antibes, France, 5–7 September 2018; pp. 43–50. [Google Scholar]
- Othersen, I.; Conti-Kufner, A.S.; Dietrich, A.; Maruhn, P.; Bengler, K. Designing for Automated Vehicle and Pedestrian Communication: Perspectives on eHMIs from Older and Younger Persons. Proc. Hum. Factors Ergon. Soc. Eur. 2018, 4959, 135–148. Available online: https://www.hfes-europe.org/wp-content/uploads/2018/10/Othersen2018.pdf (accessed on 10 June 2023).
- Rizvi, S.; Lachmayer, R.; Knöchelmann, M.; Ley, P.-P. Road safety enhancement: An investigation on the visibility of on-road image projections using DMD-based pixel light systems. SPIE 2018, 10554, 105541Q. [Google Scholar] [CrossRef]
- Singer, T.; Stuckert, A. Behaviour of Automated Vehicles in Critical Situations with Pedestrians. In Proceedings of the Société des Ingénierus de l’Automobile (SIA) VISION 2021, Online, 17–18 March 2021; pp. 174–178. [Google Scholar]
- Suwa, M.; Nishimura, M.; Sakata, R. LED Projection Module Enables a Vehicle to Communicate with Pedestrians and Other Vehicles. In Proceedings of the IEEE International Conference on Consumer Electronics (ICCE), Las Vegas, NV, USA, 8–10 January 2017. [Google Scholar] [CrossRef]
- Zandi, B.; Scheer, J.; Singer, T.; Polin, D.; Khanh, T.Q. How important is communication between automated vehicles and other road users? In Proceedings of the 13th International Symposium on Automotive Lighting (ISAL), Darmstadt, Germany, 23–25 September 2019; pp. 585–589. [Google Scholar]
- Azouigui, S.; Simon, B.; Balembois, F.; Saudrais, S.; Barbedette, B.; Millet, C.; Israelievitch, E. Contrast Requirements of Road Projections for Situational Awareness: Field test versus Virtual Reality testing. In Proceedings of the Société des Ingénieurs de l’Automobile (SIA) VISION 2021, Shanghai, China, 18 March 2021; pp. 64–71. [Google Scholar]
- Namyslo, S.; Courcier, M.; Moisy, E. 360° Near-field Projection—Enhanced safety or just a nice gadget? In Proceedings of the 14th International Symposium on Automotive Lighting (ISAL) 2021, Darmstadt, Germany, 28 April 2022. [Google Scholar]
- Schlöder, U. Dynamic Ground Projections around the Car: The Headlamp as Integrator. In Proceedings of the 14th International Symposium on Automotive Lighting (ISAL) 2021, Darmstadt, Germany, 4–6 April 2022. [Google Scholar]
- Shibata, Y. Detection rate of projected light signals by lighting condition and activation mode. In Proceedings of the Société des Ingénierus de l’Automobile (SIA) VISION 2021, Shanghai, China, 17 March 2021; pp. 53–58. [Google Scholar]
- Clear, R. Relationships between the VL and reaction time models. J. Illum. Eng. Soc. 1996, 25, 14–24. [Google Scholar] [CrossRef]
- Jahn, P.; Cristea, I.; Neumann, C. High-Resolution Light-Based Driver-Assistance—Optimal Contrast for Symbols. In Proceedings of the 12th International Symposium on Automotive Lighting (ISAL), Darmstadt, Germany, 11 October 2017; pp. 43–52. [Google Scholar]
- Krieft, F.; Thoma, A.; Willeke, B.; Kubitza, B.; Kaup, M. Symbol Projections: Gain or Gadget? In Proceedings of the 13th International Symposium on Automotive Lighting (ISAL), Darmstadt, Germany, 23–25 September 2019; pp. 321–330. [Google Scholar]
- Moisel, J. Requirements for Future High Resolution Adb Modules. In Proceedings of the 11th International Symposium on Automotive Lighting (ISAL), Darmstadt, Germany, 9 October 2015; pp. 161–169. [Google Scholar]
- Reiss, B.; Cladé, S. Road Marking Solutions with Pixelized Light Source. In Proceedings of the 13th International Symposium on Automotive Lighting (ISAL), Darmstadt, Germany, 23–25 September 2019; pp. 343–352. [Google Scholar]
- Stuckert, A.; Khanh, T.Q. Resolution Aspects for Near-Field Projections. Appl. Sci. 2023, 13, 1039. [Google Scholar] [CrossRef]
- Adrian, W.K.; Gibbons, R.B. Visibility level und die Sichtbarkeit in der Straßenbeleuchtung. Licht 1993, 10, 734–739. [Google Scholar]
- Bleecker, M.L.; Bolla-Wilson, K.; Agnew, J.; Meyers, D.A. Simple visual reaction time: Sex and age differences. Dev. Neuropsychol. 1987, 3, 165–172. [Google Scholar] [CrossRef]
- Plainis, S.; Murray, I.J. Reaction times as an index of visual conspicuity when driving at night. Ophthalmic Physiol. Opt. 2002, 22, 409–415. [Google Scholar] [CrossRef] [PubMed]
- Woods, D.L.; Wyma, J.M.; Yund, E.W.; Herron, T.J.; Reed, B. Factors influencing the latency of simple reaction time. Front. Hum. Neurosci. 2015, 9, 131. [Google Scholar] [CrossRef] [PubMed]
- Wang, C.-X.; Lin, N.; Guo, Y.-X. Visual requirement for Chinese reading with normal vision. Brain Behav. 2019, 9, e01216. [Google Scholar] [CrossRef] [PubMed]
- Zhang, J.-Y.; Zhang, T.; Xue, F.; Liu, L.; Yu, C. Legibility variations of Chinese characters and implications for visual acuity measurement in Chinese reading population. Investig. Ophthalmol. Vis. Sci. 2007, 48, 2383–2390. [Google Scholar] [CrossRef] [PubMed][Green Version]
- Kingdom, F.A.A.; Prins, N. Psychophysics: A Practical Introduction, 2nd ed.; University of Mississippi: Oxford, MS, USA, 2016. [Google Scholar] [CrossRef]
- Rea, M.S.; Ouellette, M.J. Visual Performance using reaction times. Light. Res. Technol. 1988, 20, 139–153. [Google Scholar] [CrossRef]
- Royer, M.; Houser, K.; Durmus, D.; Esposito, T.; Wei, M. Recommended methods for conducting human factors experiments on the subjective evaluation of colour rendition. Light. Res. Technol. 2022, 54, 199–236. [Google Scholar] [CrossRef]
- Goldstein, E.B.; Cacciamani, L. Sensation and Perception, 11th ed.; Cengage: Mason, OH, USA, 2021; Available online: https://books.google.de/books?id=Mz8BzgEACAAJ (accessed on 1 June 2023).
- DIN EN 12464-1:2021-11; Licht und Beleuchtung—Beleuchtung von Arbeitsstätten, Teil 1: Arbeitsstätten in Innenräume. Beuth-Verlag: Berlin, Germany, 2021.
- Adrian, W. Visibility of targets: Model for calculation. Light. Res. Technol. 1989, 21, 181–188. [Google Scholar] [CrossRef]
- Schmidt-Clausen, H.-J.; Freiding, A. Sehvermögen von Kraftfahrzeugen und Lichtbedingungen im nächtlichen Verkehr. In Berichte der Bundesanstalt für Straßenwesen: Mensch und Sicherheit, 158th ed.; Fachverlag, N.W., Schünemann, K.G., Eds.; SLUB: Dresden, Germany, 2014. [Google Scholar]
- Illuminating Engineering Society of North America. American National Standard Practice for Roadway Lighting, ANSI/IESNA, Volume RP-8-00; Illuminating Engineering Society of North America: New York, NY, USA, 2005; ISBN 0-87-99516-05. [Google Scholar]
- Kühner, M.; Bubb, H.; Bengler, K.; Wild, J. Adaptive Verfahren in der Psychophysik—Effiziente Bestimmung von Absolut- und Unterschiedsschwellen. Ergon. Aktuell. Ausg. 2012, 13, 2012. [Google Scholar]
- Harvey, A. Estimating Regression Models with Multiplicative Heteroscedasticity. Econometrica 1976, 44, 461–465. [Google Scholar] [CrossRef]
- Linschoten, M.R.; Harvey, L.O.; Eller, P.M.; Jafek, B.W. Fast and accurate measurement of taste and smell thresholds using a maximum-likelihood adaptive staircase procedure. Percept. Psychophys. 2001, 63, 1330–1347. [Google Scholar] [CrossRef] [PubMed]
- Field, A.; Miles, J.; Field, Z. Discovering statistics using R. In Choice Reviews Online; Choice Reviews: Middletown, CT, USA, 2012; p. 50. [Google Scholar] [CrossRef]
- Ellis, P.D. The Essential Guide to Effect Sizes: Statistical Power, Meta-Analysis, and the Interpretation of Research Results, 1st ed.; Cambridge University Press: Cambridge, UK, 2010. [Google Scholar] [CrossRef]
- Colley, A.; Häkkilä, J.; Forsman, M.T.; Pfleging, B.; Alt, F. Car exterior surface displays: Exploration in a real-world context. In Proceedings of the 7th ACM International Symposium on Pervasive Displays, Munich Germany, 8 June 2018. [Google Scholar] [CrossRef]
Disclaimer/Publisher’s Note: The statements, opinions and data contained in all publications are solely those of the individual author(s) and contributor(s) and not of MDPI and/or the editor(s). MDPI and/or the editor(s) disclaim responsibility for any injury to people or property resulting from any ideas, methods, instructions or products referred to in the content. |
© 2024 by the authors. Licensee MDPI, Basel, Switzerland. This article is an open access article distributed under the terms and conditions of the Creative Commons Attribution (CC BY) license (https://creativecommons.org/licenses/by/4.0/).









