Power Positioning System Control Study of “Intelligent Research and Internship Vessel” Based on Terminal Sliding Mode
Abstract
1. Introduction
2. Intelligent Research and Practical Training Dual-Use Vessel of Dalian Maritime University
3. Mathematical Modelling of Ship Power Positioning Systems
3.1. Ship Power Positioning Systems
3.2. Establishment of a Coordinate System
3.3. Build a Mathematical Model of the Ship’s Motion
3.4. The Main Parameters of the Ship
3.5. Mathematical Models of Environmental Disturbances
3.5.1. Wind Disturbance Model
3.5.2. Wave Perturbation Model
3.5.3. Flow Perturbation Model
4. Experiments and Discussions
4.1. Sliding Form Controller for Ship Dynamic Positioning System
4.1.1. Sliding Mode Control
4.1.2. Terminal Sliding Mode Control
4.1.3. Terminal Sliding Mode Control Design for Dynamic Positioning of Dual-Purpose Ship for Intelligent Research and Training
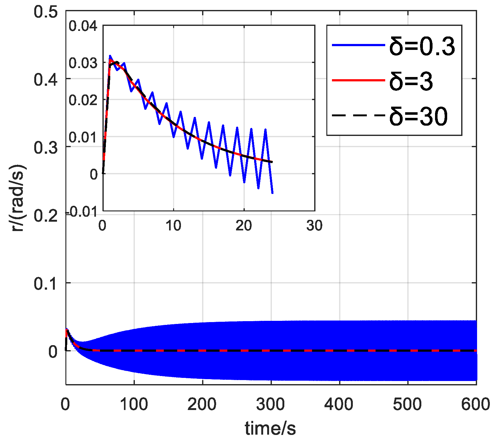
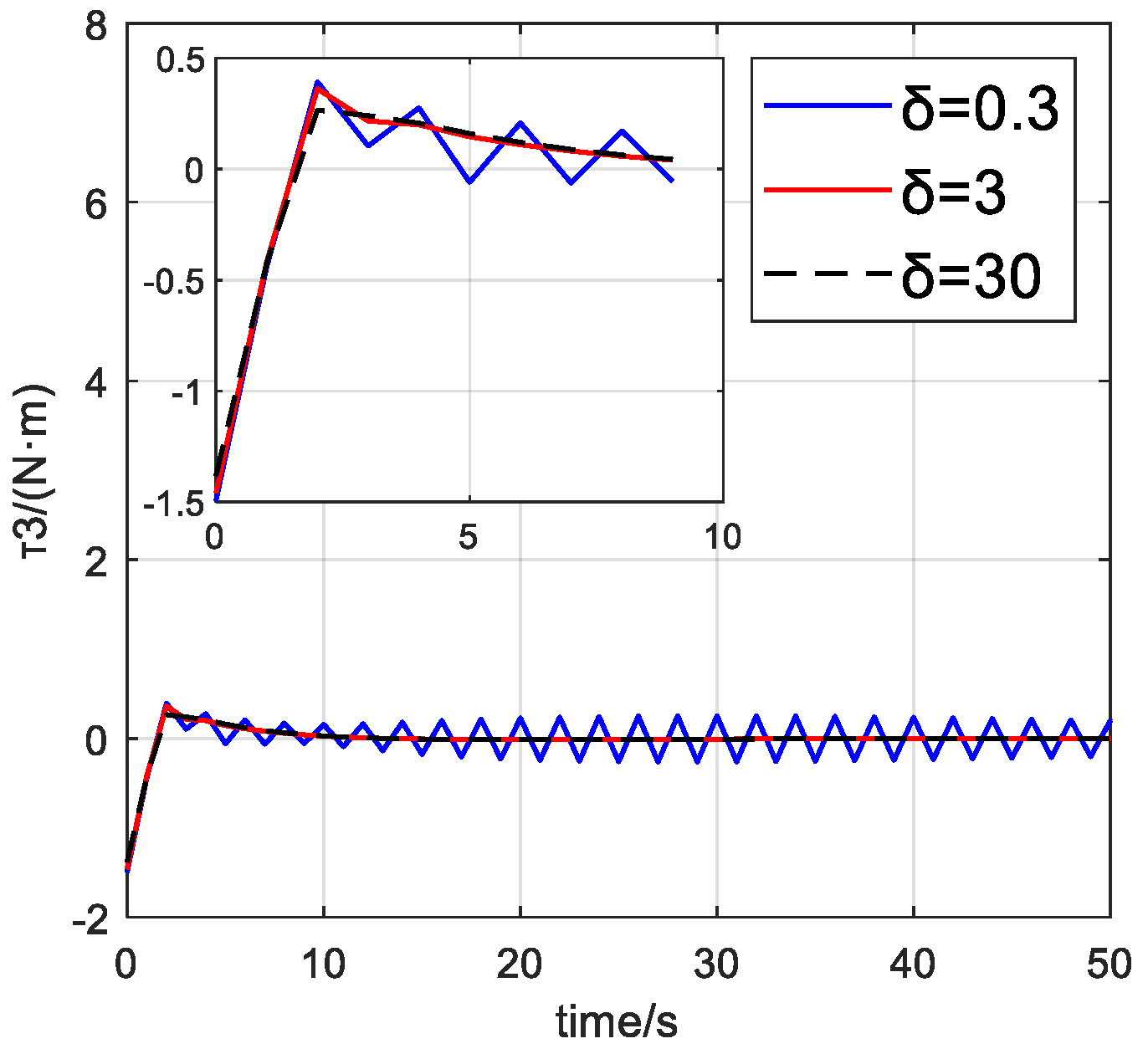
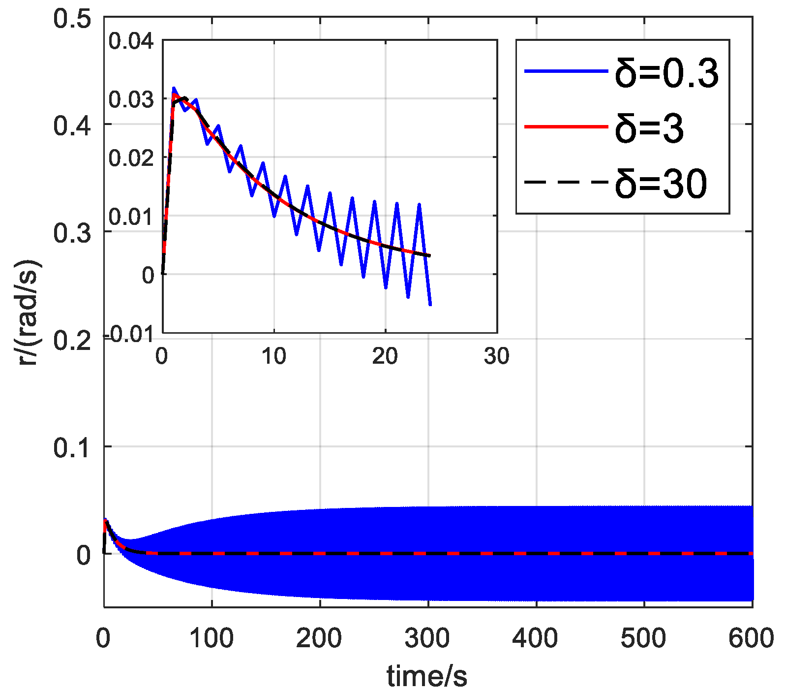
4.1.4. Simulation of Terminal Slip Film Controller for Power Positioning of Intelligent Research and Training Dual Purpose Vessels
5. Conclusions
Author Contributions
Funding
Institutional Review Board Statement
Informed Consent Statement
Data Availability Statement
Acknowledgments
Conflicts of Interest
References
- Jaros, K.; Śmierzchalski, R.; Witkowska, A. Analysis of data fusion algorithms for the vessel with the dynamic positioning system. Przegląd Elektrotechniczny 2022, 35–39. [Google Scholar] [CrossRef]
- Zhang, H.; Wei, X.; Wei, Y.; Hu, X. Anti-disturbance control for dynamic positioning system of ships with disturbances. Appl. Math. Comput. 2021, 396, 125929. [Google Scholar] [CrossRef]
- Luan, T.; Tan, Z.; Sun, M.; Wang, H.; Li, M.; Yao, H. Double-mode robust model predictive control of ship dynamic positioning system based on event-triggered mechanism. Ocean Eng. 2023, 286, 115536. [Google Scholar] [CrossRef]
- Marian, P. Mesopelagic fish avoidance from the vessel dynamic positioning system. ICES J. Mar. Sci. 2019, 76, 734–742. [Google Scholar]
- Mirosław, T.; Kamil, P. Control of Dynamic Positioning System with Disturbance Observer for Autonomous Marine Surface Vessels. Sensors 2021, 21, 6723. [Google Scholar]
- Ngongi, W.E.; Du, J.; Wang, R. Design of generalised predictive controller for dynamic positioning system of surface ships. Int. J. Intell. Syst. Technol. Appl. 2020, 19, 17–35. [Google Scholar] [CrossRef]
- Rynkiewicz, T.N.; Witkowska, A. Analysis of Impact of Ship Model Parameters on Changes of Control Quality Index in Ship Dynamic Positioning System. Pol. Marit. Res. 2019, 26, 6–14. [Google Scholar] [CrossRef]
- Hosseinnajad, A.; Loueipour, M. Dynamic Positioning System Design for A Marine Vessel with Unknown Dynamics Subject to External Disturbances Including Wave Effect. China Ocean Eng. 2020, 34, 651–663. [Google Scholar] [CrossRef]
- Wang, S.; Yang, X.; Wang, Z.; Guo, L. Summary of Research on Related Technologies of Ship Dynamic Positioning System. E3S Web Conf. 2021, 233, 04032. [Google Scholar] [CrossRef]
- Wei, X.; Zhang, H.; Wei, Y. Composite hierarchical anti-disturbance control for dynamic positioning system of ships based on robust wave filter. Ocean Eng. 2022, 262, 112173. [Google Scholar] [CrossRef]
- Wu, D.; Liao, Y.; Hu, C.; Yu, S.; Tian, Q. An Enhanced Fuzzy Control Strategy for Low-Level Thrusters in Marine Dynamic Positioning Systems Based on Chaotic Random Distribution Harmony Search. Int. J. Fuzzy Syst. 2020, 23, 1–17. [Google Scholar] [CrossRef]
- Hu, X.; Sun, Z.; Wang, R.; Feng, S. Adaptive generalized predictive control for dynamic positioning system of ships with model unknown parameters. Proc. Inst. Mech. Eng. Part M J. Eng. Marit. Environ. 2023, 237, 579–587. [Google Scholar] [CrossRef]
- Xu, S.; Wang, X.; Wang, L.; Li, B. Mitigating roll–pitch motion by a novel controller in dynamic positioning system for marine vessels. Ships Offshore Struct. 2017, 12, 1136–1144. [Google Scholar] [CrossRef]
- Yu, X.; Feng, Y.; Man, Z. Terminal Sliding Mode Control—An Overview. IEEE Open J. Ind. Electron. Soc. 2021, 2, 36–52. [Google Scholar] [CrossRef]
- Wang, Q. Research on Optimization and Control Strategy of Ship Power Positioning System. Master’s Thesis, Dalian Maritime University, Dalian, China, 2013. Available online: https://kns.cnki.net/kcms2/article/abstract?v=vs6GoGUIqCOBCrFvfI1T6bq7KuLgg81iRh6LrveV4QIJUrINAAd5il98D2UKZkl1C1d-g-uHeio_ufnzbuLdHriQRYB1qWqn9v108fUFJ6K4noXBzzSBMA1TbW44cU3KA5O7wF1rxE4=&uniplatform=NZKPT&language=CHS (accessed on 22 December 2023).
- Xu, H.X.; Feng, H. Principles of Ship Power Positioning System; National Defense Industry Press: Beijing, China, 2016. [Google Scholar]
- Dang, X.; Truong, H.; Do, V. A path planning control for a vessel dynamic positioning system based on robust adaptive fuzzy strategy. Autom. Časopis Autom. Mjer. Elektron. Računarstvo Komun. 2022, 63, 580–592. [Google Scholar] [CrossRef]
- Fu, M.; Wang, L.; Yu, L. A Finite-Time Output Feedback Control Scheme for Dynamic Positioning System of Ships. IEEE Access 2019, 7, 100638–100648. [Google Scholar] [CrossRef]
- Zheng, H.; Yu, M.; Yuan, W. Parameter identification of ship model based on feedback particle filter. Zhongguo Jianchuan Yanjiu 2019, 14, 158–162, 178. [Google Scholar]
- Liu, F. Modeling and Simulation Research on Power Positioning Control System of Semi-Submersible Vessel. Ph.D. Thesis, Wuhan University of Technology, Wuhan, China, 2011. Available online: https://kns.cnki.net/kcms2/article/abstract?v=vs6GoGUIqCMq4djyaIc3x-BgR71LYOYRmItdcnbhXyaCh-PGzTIThiYog90heZzX255LzcAZBNU93QCN2yhJeVAsNFHB4fw-KrtrSTT7eNQhQJWWpPBNUTf8lUWvbgxO&uniplatform=NZKPT&language=CHS (accessed on 22 December 2023).
- Lin, J. Research on Ship Power Positioning Control and Thrust Distribution. Master’s Thesis, Dalian Maritime University, Dalian, China, 2021. [Google Scholar] [CrossRef]
- Shi, L.-L. Modeling Study of Modern Ship Power Positioning System. Master’s Thesis, Guangdong University of Technology, Guangzhou, China, 2011. Available online: https://kns.cnki.net/kcms2/article/abstract?v=vs6GoGUIqCOZ8FEy4FvOV0NZHRDo9xKeehagnx5cAmG9XPLaYvPAizco13J3Uph9tOq-WUESv2Qw4TH6EBzeQ--VnqRoNVeoWKgPDMaq0GHyOWjx141f0o4kRTJDto5T&uniplatform=NZKPT&language=CHS (accessed on 22 December 2023).
- Liu, S. Modern Ship Control Engineering; Science Press: Beijing, China, 2011. [Google Scholar]
- Kalinin, I.; Ivanova, M.; Pautov, L.; Rudetskiy, A. Computer model of the ship’s dynamic positioning system. Trans. Krylov State Res. Cent. 2020, 4. [Google Scholar] [CrossRef]
- Li, W.; Sun, Y.; Chen, H.; Wang, G. Model predictive controller design for ship dynamic positioning system based on state-space equations. J. Mar. Sci. Technol. 2017, 22, 426–431. [Google Scholar] [CrossRef]
- Lin, X.; Nie, J.; Jiao, Y.; Liang, K.; Li, H. Nonlinear adaptive fuzzy output-feedback controller design for dynamic positioning system of ships. Ocean Eng. 2018, 158, 186–195. [Google Scholar] [CrossRef]
- Luobing, K.; Wei, L.; Xiaoshi, Z.; Haixiang, X. Hydrodynamic derivative regression formula for supply vessel position based on CFD method. China Ship Res. 2014, 9, 50–54. [Google Scholar]
- Nie, Q. Research on the Controller of Ship Power Positioning System Based on Self-Immunity Control. Master’s Thesis, Dalian Maritime University, Dalian, China, 2022. [Google Scholar] [CrossRef]
- Guan, K.P.; Zhang, X.F. Research on sliding mode control system for ship power positioning. Ship Sci. Technol. 2018, 40, 61–65. [Google Scholar]
- Fu, B.X.; Wang, Y.H. Ship Power Positioning; Science Press: Beijing, China, 2011. [Google Scholar]
- Man, J. Optimization and Programming of PID Controller for Ship Power Positioning System. Master’s Thesis, Harbin Institute of Technology, Harbin, China, 2021. [Google Scholar] [CrossRef]





















| Parameter | Numeric Value |
|---|---|
| Ship length L/m | 69.213 m |
| Ship width B/m | 10.90 m |
| Draft /m | 3.5 m |
| Weight load m/kg | 1500 t |
| Displacement ∇/t | 1450 t |
| Design speed Vd/kn | 18.0 kn |
Disclaimer/Publisher’s Note: The statements, opinions and data contained in all publications are solely those of the individual author(s) and contributor(s) and not of MDPI and/or the editor(s). MDPI and/or the editor(s) disclaim responsibility for any injury to people or property resulting from any ideas, methods, instructions or products referred to in the content. |
© 2024 by the authors. Licensee MDPI, Basel, Switzerland. This article is an open access article distributed under the terms and conditions of the Creative Commons Attribution (CC BY) license (https://creativecommons.org/licenses/by/4.0/).
Share and Cite
Wei, Z.; He, Z.; Wu, X.; Zhang, Q. Power Positioning System Control Study of “Intelligent Research and Internship Vessel” Based on Terminal Sliding Mode. Appl. Sci. 2024, 14, 808. https://doi.org/10.3390/app14020808
Wei Z, He Z, Wu X, Zhang Q. Power Positioning System Control Study of “Intelligent Research and Internship Vessel” Based on Terminal Sliding Mode. Applied Sciences. 2024; 14(2):808. https://doi.org/10.3390/app14020808
Chicago/Turabian StyleWei, Zhenghao, Zhibin He, Xiaoyu Wu, and Qi Zhang. 2024. "Power Positioning System Control Study of “Intelligent Research and Internship Vessel” Based on Terminal Sliding Mode" Applied Sciences 14, no. 2: 808. https://doi.org/10.3390/app14020808
APA StyleWei, Z., He, Z., Wu, X., & Zhang, Q. (2024). Power Positioning System Control Study of “Intelligent Research and Internship Vessel” Based on Terminal Sliding Mode. Applied Sciences, 14(2), 808. https://doi.org/10.3390/app14020808

