Influence of Pre-Treatment on the Seasonal Variation of Smoked Baltic Sprat Texture and Color
Abstract
1. Introduction
2. Materials and Methods
2.1. Raw Materials
2.2. Fish Sample Pre-treatment and Smoking
2.3. Determination of Raw Sprat Moisture, Protein, and Fat Content
2.4. Determination of the Moisture, pH, Color, and Texture of Smoked Sprats
2.5. Statistical Analyses
3. Results and Discussion
3.1. The Moisture Content and pH of Smoked Sprats
3.2. Smoked Sprat Texture
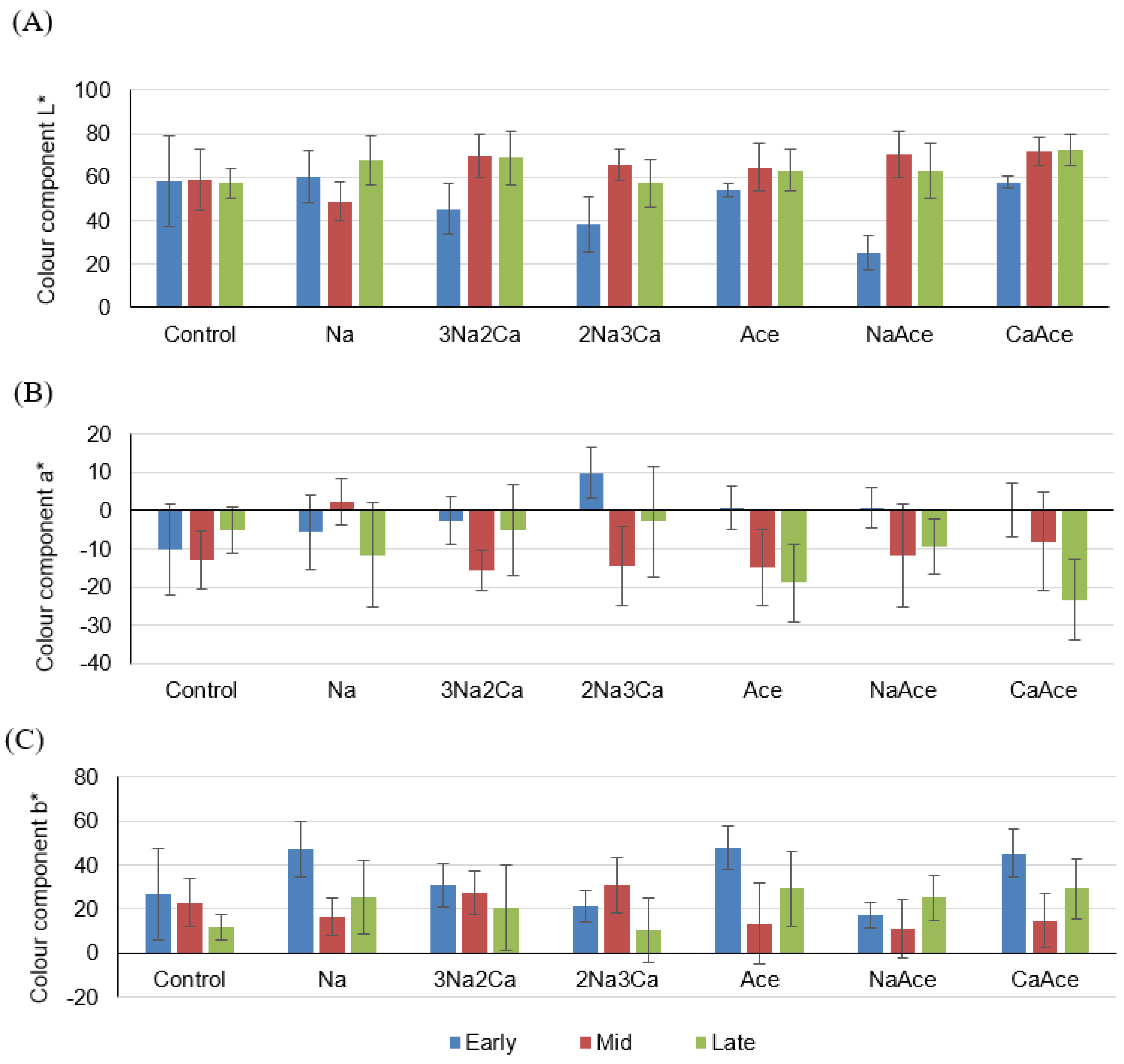
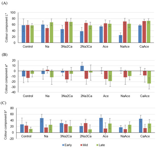
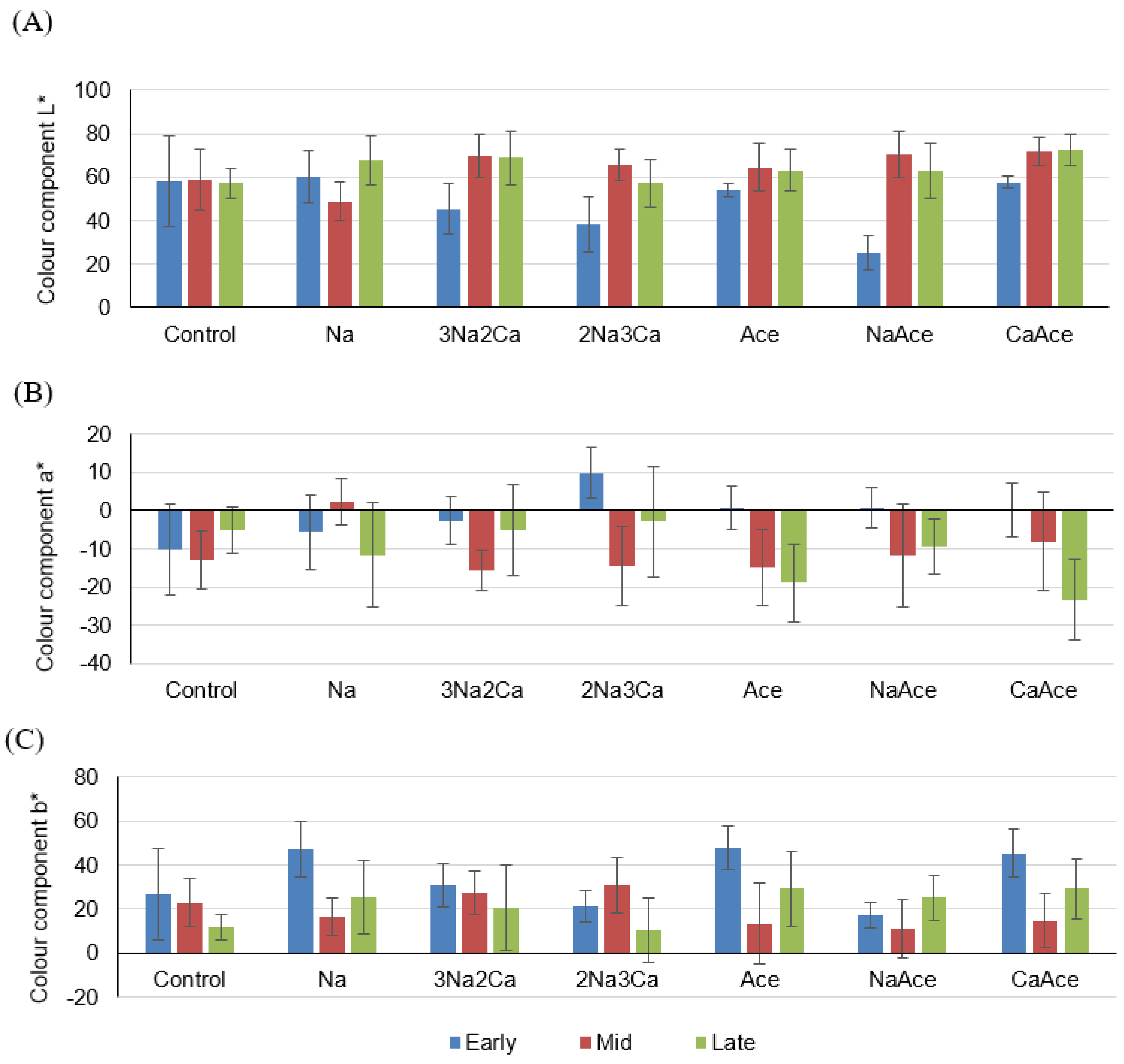
3.3. Smoked Sprat Color
4. Conclusions
Author Contributions
Funding
Institutional Review Board Statement
Informed Consent Statement
Data Availability Statement
Conflicts of Interest
References
- Döring, J.; Hauss, H.; Haslob, H. Spatial and Seasonal Variability in Reproductive Investment of Baltic Sprat. Fish. Res. 2018, 204, 49–60. [Google Scholar] [CrossRef]
- Babikova, J.; Hoeche, U.; Boyd, J.; Noci, F. Nutritional, Physical, Microbiological, and Sensory Properties of Marinated Irish Sprat. Int. J. Gastron. Food Sci. 2020, 22, 100277. [Google Scholar] [CrossRef]
- Moore, C.; Lynch, D.; Clarke, M.; Officer, R.; Mills, J.; Louis-Defour, J.; Brophy, D. Age Verification of North Atlantic Sprat. Fish. Res. 2019, 213, 144–150. [Google Scholar] [CrossRef]
- Usydus, Z.; Szlifder-Richert, J.; Adamczyk, M. Variations in Proximate Composition and Fatty Acid Profiles of Baltic Sprat (Sprattus Sprattus Balticus). Food Chem. 2012, 130, 97–103. [Google Scholar] [CrossRef]
- Timberg, L.; Koppel, K.; Kuldjärv, R.; Paalme, T. Sensory and Chemical Properties of Baltic Sprat (Sprattus Sprattus Balticus) and Baltic Herring (Clupea Harengus Membras) in Different Catching Seass. Agron. Res. 2011, 9, 489–494. [Google Scholar]
- Dawson, P.; Al-Jeddawi, W.; Remington, N. Effect of Freezing on the Shelf Life of Salmon. Int. J. Food Sci. 2018, 2018, 1686121. [Google Scholar] [CrossRef] [PubMed]
- Sigurgisladottir, S.; Sigurdardottir, M.S.; Torrissen, O.; Vallet, J.L.; Hafsteinsson, H. Effects of Different Salting and Smoking Processes on the Microstructure, the Texture and Yield of Atlantic Salmon (Salmo salar) Fillets. Food Res. Int. 2000, 33, 847–855. [Google Scholar] [CrossRef]
- Ruiz-Alonso, S.A.; Girón-Hernández, L.J.; López-Vargas, J.H.; Muñoz-Ramírez, A.P.; Simal-Gandara, J. Optimizing Salting and Smoking Conditions for the Production and Preservation of Smoked-Flavoured Tilapia Fillets. LWT Food Sci. Technol. 2021, 138, 110733. [Google Scholar] [CrossRef]
- Timberg, L. Spice-Cured Sprats Ripening, Sensory Parameters Development, and Quality Indicators. Ph.D. Thesis, Tallinn University of Technology, Tallinn, Estonia, 2012. [Google Scholar]
- Løje, H.; Jensen, K.N.; Hyldig, G.; Nielsen, H.H.; Nielsen, J. Changes in Liquid-Holding Capacity, Water Distribution and Microstructure during Chill Storage of Smoked Salmon. J. Sci. Food Agric. 2007, 87, 2684–2691. [Google Scholar] [CrossRef]
- Chow, C.-J.; Yang, J.-I.; Lee, P.-F.; Ochiai, Y. Effects of Acid and Alkaline Pretreatment on the Discoloration Rates of Dark Muscle and Myoglobin Extract of Skinned Tilapia Fillet during Iced Storage. Fish. Sci. 2009, 75, 1481–1488. [Google Scholar] [CrossRef]
- Pūķe, S.; Galoburda, R.; Straumīte, E. Effect of Pre-Treatment on the Quality of Smoked Baltic Sprats. Proc. Latv. Acad. Sci. Sect. B Nat. Exact Appl. Sci. 2022, 76, 69–75. [Google Scholar] [CrossRef]
- Zhang, J.; Jiang, L.; Yang, J.; Chen, X.; Shen, M.; Yu, Q.; Chen, Y.; Xie, J. Effect of Calcium Chloride on Heat-Induced Mesona Chinensis Polysaccharide-Whey Protein Isolation Gels: Gel Properties and Interactions. LWT Food Sci. Technol. 2022, 155, 112907. [Google Scholar] [CrossRef]
- Horita, C.N.; Messias, V.C.; Morgano, M.A.; Hayakawa, F.M.; Pollonio, M.A.R. Textural, Microstructural and Sensory Properties of Reduced Sodium Frankfurter Sausages Containing Mechanically Deboned Poultry Meat and Blends of Chloride Salts. Food Res. Int. 2014, 66, 29–35. [Google Scholar] [CrossRef]
- Martinez, O.; Salmerón, J.; Guillén, M.D.; Pin, C.; Casas, C. Physicochemical, Sensorial and Textural Characteristics of Liquid-Smoked Salmon (Salmo salar) as Affected by Salting Treatment and Sugar Addition. Int. J. Food Sci. Technol. 2012, 47, 1086–1096. [Google Scholar] [CrossRef]
- Kołakowski, E.; Bednarczyk, B. Physical and Sensory Changes in Headed and Gutted Baltic Herring during Immersed Salting in Brine with the Addition of Acetic Acid. Part 1. Weight Losses, Color and Flesh and Its Sensory Properties. Electron. J. Pol. Agric. Univ. 2003, 5, 9. [Google Scholar]
- Gomes, M.d.S.A.; Kato, L.S.; de Carvalho, A.P.A.; de Almeida, A.E.C.C.; Conte-Junior, C.A. Sodium Replacement on Fish Meat Products—A Systematic Review of Microbiological, Physicochemical and Sensory Effects. Trends Food Sci. Technol. 2021, 118, 639–657. [Google Scholar] [CrossRef]
- Totosaus, A.; Pérez-Chabela, M.L. Textural Properties and Microstructure of Low-Fat and Sodium-Reduced Meat Batters Formulated with Gellan Gum and Dicationic Salts. LWT Food Sci. Technol. 2009, 42, 563–569. [Google Scholar] [CrossRef]
- Hu, Y.; Zhang, M.; Zhao, Y.; Gao, X.; You, J.; Yin, T.; Xiong, S.; Liu, R. Effects of Different Calcium Salts on the Physicochemical Properties of Sliver Carp Myosin. Food Biosci. 2022, 47, 101518. [Google Scholar] [CrossRef]
- Martinez, O.; Salmerón, J.; Guillén, M.D.; Casas, C. Effect of Freezing on the Physicochemical, Textural and Sensorial Characteristics of Salmon (Salmo salar) Smoked with a Liquid Smoke Flavouring. LWT Food Sci. Technol. 2010, 43, 910–918. [Google Scholar] [CrossRef]
- Timberg, L.; Koppel, K.; Kuldjärv, R.; Paalme, T. Ripening and Sensory Properties of Spice-Cured Sprats and Sensory Properties Development. J. Aquat. Food Prod. Technol. 2014, 23, 129–145. [Google Scholar] [CrossRef]
- Gallart-Jornet, L.; Barat, J.M.; Rustad, T.; Erikson, U.; Escriche, I.; Fito, P. Influence of Brine Concentration on Atlantic Salmon Fillet Salting. J. Food Eng. 2007, 80, 267–275. [Google Scholar] [CrossRef]
- Bjørnevik, M.; Cardinal, M.; Vallet, J.L.; Nicolaisen, O.; Arnarson, G.Ö. Effect of Salting and Cold-Smoking Procedures on Atlantic Salmon Originating from Pre-or Post Rigor Filleted Raw Material. Based on the Measurement of Physiochemical Characteristics. LWT Food Sci. Technol. 2018, 91, 431–438. [Google Scholar] [CrossRef]
- Nie, X.P.; Zie, J.; Häubner, N.; Tallmark, B.; Snoeijs, P. Why Baltic Herring and Sprat Are Weak Conduits for Astaxanthin from Zooplankton to Piscivorous Fish. Limnol. Oceanogr. 2011, 56, 1155–1167. [Google Scholar] [CrossRef]
- Šimat, V.; Mićunović, A.; Bogdanović, T.; Listeš, I.; Generalić Mekinić, I.; Hamed, I.; Skroza, D. The Impact of Lemon Juice on the Marination of Anchovy (Engraulis encrasicolus): Chemical, Microbiological and Sensory Changes. Ital. J. Food Sci. 2019, 31, 604–617. [Google Scholar] [CrossRef]
- Chan, S.S.; Roth, B.; Skare, M.; Hernar, M.; Jessen, F.; Løvdal, T.; Jakobsen, A.N.; Lerfall, J. Effect of Chilling Technologies on Water Holding Properties and Other Quality Parameters throughout the Whole Value Chain: From Whole Fish to Cold-Smoked Fillets of Atlantic Salmon (Salmo salar). Aquaculture 2020, 526, 735381. [Google Scholar] [CrossRef]



| Identification of Samples | Ingredients (% from Solution Mass) | ||
|---|---|---|---|
| NaCl | CaCl2 | Acetic Acid | |
| Control | - | - | - |
| Na | 2.91 | - | - |
| 3Na2Ca | 2.86 | 1.67 | - |
| 2Na3Ca | 1.67 | 2.86 | - |
| Ace | - | - | 0.99 |
| NaAce | 2.88 | - | 0.71 |
| CaAce | - | 2.88 | 0.71 |
| Parameters | Content (g/100 g) | ||
|---|---|---|---|
| Early * | Mid | Late | |
| Protein | 16.4 ± 1.3 a | 14.9 ± 1.2 a | 16.8 ± 1.3 a |
| Fat | 19.2 ± 1.7 a | 12.9 ± 1.1 b | 12.1 ± 1.1 b |
| Moisture | 62.4 ± 1.2 b | 69.2 ± 1.2 a | 70.0 ± 1.2 a |
| Pre-Treatment | Moisture Content (%) | ||
|---|---|---|---|
| Early | Mid | Late | |
| Control | 67.5 ± 2.6 aA | 69.2 ± 0.8 aA | 69.5 ± 0.8 aA |
| Na | 66.7 ± 1.1 abA | 65.8 ± 2.1 abA | 65.0 ± 1.4 bA |
| 3Na2Ca | 62.5 ± 1.8 bA | 61.6 ± 1.5 cdA | 62.2 ± 1.2 bA |
| 2Na3Ca | 61.5 ± 1.5 bA | 60.6 ± 0.9 cdA | 59.8 ± 0.9 bcA |
| Ace | 65.7 ± 2.0 abA | 64.1 ± 0.9 bcA | 64.0 ± 2.5 bA |
| NaAce | 62.9 ± 1.6 abA | 62.2 ± 0.9 cdA | 58.6 ± 1.6 bcB |
| CaAce | 61.7 ± 2.3 bA | 59.0 ± 1.2 dA | 57.0 ± 1.1 dB |
| Pre-Treatment | Season | ||
|---|---|---|---|
| Early | Mid | Late | |
| Control | 7.01 ± 0.09 aA | 7.06 ± 0.04 aA | 7.12 ± 0.05 aA |
| Na | 6.74 ± 0.03 bA | 6.79 ± 0.01 bA | 6.74 ± 0.01 bA |
| 3Na2Ca | 6.41 ± 0.05 cA | 5.96 ± 0.07 cB | 6.23 ± 0.04 cAB |
| 2Na3Ca | 6.11 ± 0.14 dA | 5.95 ± 0.10 cA | 6.08 ± 0.03 dA |
| Ace | 6.48 ± 0.02 cA | 6.27 ± 0.05 cA | 6.32 ± 0.03 cA |
| NaAce | 6.48 ± 0.03 cA | 6.30 ± 0.02 cA | 6.08 ± 0.03 dB |
| CaAce | 6.02 ± 0.03 dA | 5.50 ± 0.06 dB | 6.24 ± 0.01 cdA |
| Item | Treatment | Treatment One-Way ANOVA (Post Hoc Tukey) | Season One-Way ANOVA (Post Hoc Tukey) | Treatment × Season Three by Seven Factorial Design ANOVA (Post Hoc LSD) |
|---|---|---|---|---|
| Work of shear | Control | F (6; 153) = 4.05, p = 0.001 Ace * > Control 3Na2Ca *, 2Na3Ca *, Ace ** > Na | F (2; 157) = 11.09, p < 0.05 S3 > S1 ***, S2 ** | F (12; 161) = 3.48, p < 0.001 Control: ns Na: S3 > S1 **, S2 ** 3Na2Ca: S1 < S2 ***, S3 ** 2Na3Ca: S3 > S1 ***, S2 *** Ace: ns NaAce: ns CaAce: S1 < S3 ** |
| Na | ||||
| 3Na2Ca | ||||
| 2Na3Ca | ||||
| Ace | ||||
| NaAce | ||||
| CaAce | ||||
| Cutting strength | Control | F (6; 153) = 4.26, p = 0.001 Ace * > Control 2Na3Ca **, Ace **, CaAce * > Na | F (2; 157) = 10.08, p < 0.001 S3 > S1 ***, S2 ** | F (12; 161) = 3.89, p < 0.001 Control: ns Na: S2 < S3 ** 3Na2Ca: S1 < S2 *** 2Na3Ca: S3 > S1 ***, S2 *** Ace: S3 > S2 ** NaAce: ns CaAce: S1 < S3 ** |
| Na | ||||
| 3Na2Ca | ||||
| 2Na3Ca | ||||
| Ace | ||||
| NaAce | ||||
| CaAce |
| Item | Treatment | Effect | ||
|---|---|---|---|---|
| Treatment One-Way ANOVA (Post Hoc Tukey) | Season One-Way ANOVA Post Hoc Tukey) | Treatment × Season Three by Seven Factorial Design ANOVA (Post Hoc LSD) | ||
| L* | Control | F (6; 157) = 2.50, p < 0.05 CaAce > 2Na3Ca *, NaAce * | F (2; 161) = 24.16, p < 0.001 S1 < S2 ***, S3 *** | F (12; 161) = 6.01, p < 0.001 Control: ns Na: S2 < S3 ** 3Na2Ca: S1 < S2 ***, S3 *** 2Na3Ca: S1 < S2 ***, S3 *** Ace: ns NaAce: S1 < S2 ***, S3 *** CaAce: S1 < S3 *** |
| Na | ||||
| 3Na2Ca | ||||
| 2Na3Ca | ||||
| Ace | ||||
| NaAce | ||||
| CaAce | ||||
| a* | Control | F (6; 157) = 1.70, p = ns | F (2,161) = 14.14, p < 0.001 S1 > S2 ***, S3 *** | F (12; 161) = 6.01, p < 0.001 Control: ns Na: S3 < S2 ** 3Na2Ca: S1 > S2 ** 2Na3Ca: S1 > S2 ***, S3 ** Ace: S1 > S2 **, S3 *** NaAce: ns CaAce: S3 < S1 ***; S2 ** |
| Na | ||||
| 3Na2Ca | ||||
| 2Na3Ca | ||||
| Ace | ||||
| NaAce | ||||
| CaAce | ||||
| b* | Control | F (6; 157) = 2.60, p < 0.05 NaAce < Na t, Ace t, CaAce t | F (2; 161) = 13.12, p < 0.001 S1>S2 ***, S3 *** | F (12; 161) = 6.01, p < 0.001 Control: ns Na: S1 > S2 ***, S3 ** 3Na2Ca: ns 2Na3Ca: S2 > S3 ** Ace: S1 > S2 ***, S3 ** NaAce: ns CaAce: S1 > S2 *** |
| Na | ||||
| 3Na2Ca | ||||
| 2Na3Ca | ||||
| Ace | ||||
| NaAce90 | ||||
| CaAce | ||||
Disclaimer/Publisher’s Note: The statements, opinions and data contained in all publications are solely those of the individual author(s) and contributor(s) and not of MDPI and/or the editor(s). MDPI and/or the editor(s) disclaim responsibility for any injury to people or property resulting from any ideas, methods, instructions or products referred to in the content. |
© 2024 by the authors. Licensee MDPI, Basel, Switzerland. This article is an open access article distributed under the terms and conditions of the Creative Commons Attribution (CC BY) license (https://creativecommons.org/licenses/by/4.0/).
Share and Cite
Puke, S.; Dmitrijeva, O.; Galoburda, R. Influence of Pre-Treatment on the Seasonal Variation of Smoked Baltic Sprat Texture and Color. Appl. Sci. 2024, 14, 504. https://doi.org/10.3390/app14020504
Puke S, Dmitrijeva O, Galoburda R. Influence of Pre-Treatment on the Seasonal Variation of Smoked Baltic Sprat Texture and Color. Applied Sciences. 2024; 14(2):504. https://doi.org/10.3390/app14020504
Chicago/Turabian StylePuke, Santa, Olga Dmitrijeva, and Ruta Galoburda. 2024. "Influence of Pre-Treatment on the Seasonal Variation of Smoked Baltic Sprat Texture and Color" Applied Sciences 14, no. 2: 504. https://doi.org/10.3390/app14020504
APA StylePuke, S., Dmitrijeva, O., & Galoburda, R. (2024). Influence of Pre-Treatment on the Seasonal Variation of Smoked Baltic Sprat Texture and Color. Applied Sciences, 14(2), 504. https://doi.org/10.3390/app14020504

