Abstract
To investigate the susceptibility of drifting snow along the Ya’an–Qamdo section of the railway, which is located in a high-altitude and cold plateau in Southwest China with scarce meteorological information, the Weather Research and Forecasting Model (WRF) is used in this paper to simulate the spatio-temporal distribution of meteorological data. According to the varying terrain, the railway section from Ya’an to Qamdo is divided into two regions along 100.8° E for double-layer nested simulation. The original land use data of the WRF model are used in region 1. Due to the increased number of mountains in region 2, the original data are replaced by the MCD12Q1v006 land use data, and the vertical direction layers are densified near the ground to increase simulation accuracy. The simulated results are compared with the observation data. It is found that after densification, the results have been significantly improved. The results obtained by the WRF model can accurately simulate the change trends of temperature, rainfall, and wind speed, and the correlation coefficients are relatively high, which verifies the accuracy of WRF for simulating complex terrain regions. The simulation results further indicate that approximately 300 km of the Ya’an–Qamdo railway may experience drifting snow. Among them, no drifting snow events occur in Ya’an County, and the areas with higher probability are located at the border between Luding County and Tianquan County, followed by Kangding area. The remaining areas have a probability of less than 10%. The WRF model demonstrates its capability in the drifting snow protection of railways with limited meteorological data.
1. Introduction
Drifting snow is a theoretical study that integrates geography, meteorology, fluid mechanics, glaciology, and other disciplines. It is common in winter and spring seasons, and mostly occurs in Xinjiang, Inner Mongolia, Tibet, and Northeast China. It can cause snow accumulation on roads and block traffic. In order to reduce the harm of drifting snow, many scholars have studied its physical properties and prevention measures.
In terms of the fundamental physical properties of drifting snow, the two-phase flow theory proposed by Bagnold [1] provides a theoretical foundation for the study of wind and snow. Owen [2] obtained the calculation formula for the height of the saltation layer through a theoretical analysis of snow particle movement and field measurements of drifting snow. Kind [3] derived equations for calculating the concentration profile of snow particles by incorporating the theory of turbulent diffusion. Budd [4] analyzed the probability distribution of the equivalent particle size of snow particles in drifting snow and found that both gamma distribution and log-normal distribution could fit the effective particle size distribution of snow particles well. Schmidt [5] proposed a critical wind speed formula based on average snow particle size using field measurement data. Kind et al. [6] discovered that using high-density particles to simulate the salting process of snow particles can better fulfill the dynamic similarity requirements compared to using low-density particles. This is because high-density particles exhibit closer resemblance to actual snow particles in terms of snow pile shape and transport rate. These observations and empirical models provide valuable references for selecting key parameters in numerical simulations and wind tunnel experiments.
In terms of drifting snow control measures, Flaga et al. [7] conducted wind tunnel experiments to study the snow particle deposition of three different forms of large sports stadium roofs and found that the shape parameters of buildings have an important influence on the design of snow loads at different locations. Therefore, shape factors cannot be ignored in building load design. Qiang et al. [8] used artificial snow particles to simulate snowfall and snow drifting on flat roofs when they occur simultaneously in a low-temperature wind tunnel. They observed that the development of snow transport before reaching a saturated state followed a consistent pattern, regardless of whether there was concurrent snowfall or not. However, in cases where snowfall occurred concurrently with drifting, uneroded regions could be observed on the roof. Liu et al. [9] proposed equipment named “snow-wind combined experimental facility” to investigate snowdrifts around buildings and snow loads on building roofs; the experimental results prove the feasibility of this method, and the method can also be adopted on various shapes of building roofs. The wind tunnel tests using simulated material or moving snow into a low-temperature wind tunnel are not capable of accurately replicating the genuine properties and conditions of snow particles. Therefore, Li et al. [10] studied the snow accumulation in railway cuttings using a movable direct current low-temperature wind tunnel set up in the field. By adjusting the wind tunnel to simulate natural flow fields, they compared their experimental results with the detection results to verify the rationality of wind tunnel design and the accuracy of the experimental results. Due to the high cost of building low-temperature wind tunnels and the need for a large amount of complex preparation work to be carried out before experiments, some scholars have begun to use numerical simulations to study them as computing power improves. Previous researchers used computational fluid dynamics (CFDs) to study the effect of fence height, porosity, bottom clearance, and inclination angle on the snow accumulation around snow fences and their ability to prevent snow, which helps optimize their design [11,12,13]. Ma et al. [14] examined the effect of different forms of windbreaks on typical roadbed snow accumulation from aspects such as flow field, snow phase concentration, and sedimentation length. The results showed that the inclination angle of the windbreak was a key parameter affecting its effectiveness. Forward-leaning guide plates were more effective in preventing drifting snow during windy and snowy weather, and the angle between guide plates and the vertical axis should be controlled at around 45°.
Meteorological factors such as temperature, precipitation, wind speed, and wind direction have an important impact on the occurrence of drifting snow. The threshold windspeed of dry snow is generally proportional to the temperature, with lower temperatures resulting in lower starting wind speeds [15]. However, when the temperature drops below −27.27 °C, the snow particles start to deteriorate, leading to an increase in the required starting wind speed [16]. Temperature is also a critical parameter affecting the shape of snow particles; −5 °C is the critical temperature at which snow crystals transition from plate-like to columnar [17]. Snow particles of different shapes undergo distinct development processes in a snowstorm flow. The number of suspended snow particles and the single-width snow transport rate of spherical, ellipsoidal, and cylindrical snow particles are two orders of magnitude higher than those of star-shaped and hexagonal prism-shaped snow particles [18]. At a height of 10 m, a wind speed of 3–8 m/s is sufficient to cause loose snow particles to jump and move [19]. When the angle between the line and the wind direction is greater than 55°, the most snow resistance is generated, and the closer the angle is to 90°, the greater the probability of snow resistance and the more severe the consequences [20]. These meteorological factors are interconnected and have various impacts on drifting snow.
The above research mainly focuses on the occurrence and aftermath of drifting snow. However, evaluating the susceptibility before its occurrence serves as the foundation for further research. Railway lines should avoid areas with high susceptibility or set different protection measures according to different occurrence probabilities along the way to save economic costs and improve protection efficiency. Most railways pass through high-altitude and cold regions with complex terrain and scarce meteorological information, making it difficult to judge the susceptibility of drifting snow along the railway line. The Weather Research and Forecasting Model (WRF) has been widely applied in regional simulations [21,22,23] and can partially address this issue. The model can decompose the simulated region into multiple grids with an accuracy of several kilometers. By providing boundary conditions, a series of atmospheric motion equations, including Newton’s second law, the first law of thermodynamics, the continuity equation, and the state equation, can be solved to achieve weather forecasting. Therefore, the WRF model can provide meteorological data with a high resolution and continuous long time series at any location in the simulation area. Yang [24] analyzed the wind speed and wind direction characteristics during a storm and snow disaster in the Mayitas traffic corridor using the WRF dataset. In a separate study, Qi [25] employed WRF to investigate route selection schemes for the Keta Railway. Additionally, Luo et al. [26] utilized WRF to analyze snowfall, wind speed, and direction along the entire Keta Railway line and derived the probability of drifting snow occurrence for the entire route. Currently, the application of WRF is limited to the study of drifting snow on the Keta Railway, and there is a need to extend this research to include the study of drifting snow on the southwest railway, which holds significant importance.
Regarding the railway in Southwest China, Ma et al. [27] studied the distribution characteristics of extreme summer precipitation and the variation mechanism of total precipitation of the railway using daily rainfall observations and ERA5 reanalysis data in summer. The results showed that the extreme summer precipitation in these areas accounted for 30% of the total summer precipitation, and the extreme precipitation in the central and western regions was lower than that in the east, but with higher precipitation frequency. Due to the scarcity of observational data, some scholars use satellite data to study the temperature and precipitation changes in the region where the railway is located [28,29]. The WRF model can provide a more detailed spatiotemporal distribution of meteorological information. Gao et al. [30] evaluated the WRF model by examining the interannual variation, spatial structure, and 33-year time variation trend of surface temperature and precipitation. They concluded that the WRF model is capable of accurately analyzing significant weather phenomena on the Qinghai-Tibet Plateau. Chen et al. [31], Minder et al. [32], and Wrzesien et al. [33] have all verified the feasibility of using the WRF model to simulate precipitation in a complex topography area, and many scholars have used the WRF model to calculate southwest China [34,35,36]. Therefore, the above studies have demonstrated that applying the WRF model to the southwest region has credibility and can partially compensate for the lack of meteorological data.
Existing studies on Southwest China based on the WRF model mainly focus on climate, but there are few applications in terms of engineering in Southwest China. Due to the complex terrain and wide elevation difference in Southwest China, it is very difficult to conduct an engineering field investigation. Therefore, the application of the WRF model to combine meteorology and engineering can produce a large achievement with a low cost. In order to provide an example for the study of the susceptibility of drifting snow in areas lacking measured meteorological information, this paper takes the railway section from Ya’an to Qamdo in Southwest China as an object and studies its drifting snow susceptibility based on the WRF results. This research method can provide reference for places with the same terrain and lack of meteorological data and render guidance for railway drifting snow protection in southwest China. The structure of the remainder of this present study is as follows: Section 2 describes the geographical environment of a region which southwest railway passes through, the configuration of the WRF model, and the verification of the simulation results. Section 3 discusses the calculated results of temperature, precipitation, wind speed, wind direction, and the susceptibility of drifting snow on the railway. The conclusion of this study is finally summarized in Section 4.
2. Data and Methodology
2.1. Study Area
The southwest railway, as shown in Figure 1, is situated on the margin of Qinghai-Tibet Plateau and crosses various geomorphic units, such as a high mountain and gorge area, western Sichuan high mountain and plain area, and the core area of the Hengduan Mountains high mountain and gorge. The section starts from Ya’an and passes through Kangding, Litang, Dege, and other places before reaching Qamdo. The length of the railway is about 700 km, and the altitude varies greatly along the way, as shown in Figure 2 (the elevation data used come from https://www.earthdata.nasa.gov/ (accessed on 2 June 2023)). The complex terrain results in climatic features along the railway, and the spatial distribution of meteorological elements is significantly different.
Figure 1.
The railway of Ya’an–Qamdo section.
Figure 2.
Elevation of Ya’an–Qamdo section.
Ya’an has a subtropical monsoon humid climate, with clear seasons, hot and rainy summers, and mild and humid winters. Tianquan area also has a subtropical monsoon climate, with warm winters and hot summers, and rain and heat occur simultaneously. Kangding to Xinduqiao area is divided into two parts by Zheduoshan Mountain. The eastern part has a warm climate with clear seasons, while the western part has cold and dry winters. Xinduqiao to Baiyu section is influenced by southwest monsoons and has cool and low-temperature summers and cold and dry winters. In Litang, Dege, and other places, the temperature is low and the annual precipitation is high and mainly in solid form.
2.2. WRF Setup and Experiment
2.2.1. Equations of WRF
In this paper, WRF (ARW) version 4.1.2 is employed, and a terrain following vertical coordinates is adopted, which is expressed as
where is the static part of the air pressure, , and and are the air pressure at the model surface and upper boundary, respectively.
Considering the horizontal pressure gradient error, the new variables are defined as the deviation from the reference state, and the atmospheric motion variables are expressed as follows
where p is the corrected air pressure, is the geopotential height, , g is the gravitational acceleration, and z is the height of the position. is the derivative of density, which is a non-conservative variable, and is a function of the vertical profile , , d represents dry air, and are the original values of those variables without considering the horizontal pressure gradient error.
In the calculation process, the perturbation form of momentum equations of the WRF model can be written as:
And the potential temperature equation can be expressed as:
where U, V, and W are the momentum components controlling the three directions of the equation of atmospheric motion on the projection plane, respectively. Ω is the momentum of the vertical velocity field, is the momentum of the potential temperature field, u, v, and w are velocity components in three directions, respectively, mx and my are magnification factors for map projections in x and y directions, respectively, , and are forced terms caused by model physical processes, turbulent mixing, spherical projection, and Earth rotation, respectively.
The mass conservation equation and the potential height equation are:
The static equation in the perturbation form is:
The diagnostic equation for complete air pressure (water vapor plus dry air) is:
where p0 is the reference pressure (usually 105 Pa), Rd is the ratio constant of dry air to gas, , , and is the ratio of heat capacity cp of dry air at constant pressure to heat capacity cv of passenger.
2.2.2. Model Configuration
Ya’an, with a subtropical monsoon climate, is located in the western edge of Sichuan Basin. The area from Kangding to Litang belongs to the western Sichuan high mountain plain, with a wide and flat or hilly top surface, and mainly has a continental plateau-type and mountain-type climate. On the other hand, the area from Litang to Changdu belongs to the southeastern Tibetan Hengduan Mountains area, with high mountains, deep valleys, complex terrain, and mainly plateau climate. Since the terrain of Ya’an and Kangding is flatter and the climate is warmer than that of Litang Changdu, in order to adapt these differences, this paper divides the railway section from Kangding to Changdu into two regions with 100.8° E as the boundary and performs double-layer nested simulation. The outer grid is marked as d01, and the inner grid is marked as d02. Region 1 mainly includes Ya’an to Kangding and other places, and region 2 includes Litang to Qamdo and other places. The center points of the two regions are 30.03° N, 101.97° E and 30.6° N, 98.62° E, respectively. Figure 3 shows the specific simulation range.
Figure 3.
Simulation range for both regions. (a) The simulation range of region 1; (b) the simulation range of region 2.
The National Centers for Environmental Prediction (NCEP) Final Operational Global Analysis (FNL) (https://rda.ucar.edu/datasets/ds083.2/ (accessed on 13 February 2023)) with a horizontal resolution of 1° × 1° and a frequency of 6 h are selected as the initial conditions of the model. The simulation covers the period from 12 December 2016 to 28 February 2017, and the specific grid parameters of the two regions are shown in Table 1. In region 2, which has many mountains, the simulation accuracy is improved by using MCD12Q1v006 land use data with a horizontal resolution of 500 m instead of the original data. Moreover, to simulate the atmospheric processes within the boundary layer more precisely, the vertical direction is divided into 41 layers, with 15 layers densely distributed at a height of about 1.5 km near the ground. Table 2 shows the heights of each layer grid, and Figure 4 illustrates the elevated layers in both regions, the red line shows the position of the 15th layer.
Table 1.
The grid parameters of two regions.
Table 2.
Vertical height of each mesh layer within 1.5 km.
Figure 4.
Vertical stratification of region 1 (left) and region 2 (right).
Physical processes are crucial for determining the source and redistribution of momentum, heat, and water vapor in the atmospheric motion. These processes have a great impact on the overall dynamics of the atmosphere. Microphysics schemes mainly affect the precipitation simulation, among which the Purdue–Lin scheme and Thompson scheme are two relatively complex calculation schemes. These schemes involve variables such as rain, ice, snow, and graupel, making them suitable for high-resolution simulations. The planetary boundary layer scheme affects the wind simulation, among which the MRF scheme can provide ideal simulation results for the boundary layer conditions with good mixing, such as instability or convection, and the YSU scheme can simulate the turbulent motion and energy conversion in the atmosphere well and has wide applicability. A radiative parameterization scheme is used to calculate the surface heat budget. The land surface process is used to calculate the heat and water vapor fluxes at land–sea grids. The surface layer parameterization scheme is used to describe the surface characteristics and simulate the interaction between the surface and the atmosphere. Since the grid resolution in this paper is 9 km, the cumulus parameter scheme is not disabled. It is found that the simulation results of rainfall and wind speed using the Purdue–Lin scheme [37] and YSU scheme [38] are closer to the observed results, respectively. According to the characteristics of various schemes, this study combines the Purdue–Lin and Thompson microphysics schemes, as well as the YSU and MRF boundary layer schemes, which have significant impacts on rainfall and wind speed results, as shown in Table 3.
Table 3.
Schemes of physical parameters for WRF simulation.
2.3. Verification of Simulation Results
2.3.1. Evaluation Statistics
To verify the accuracy of the simulation results, the Pearson correlation coefficient (R) is used to measure the linear correlation degree between the simulation sequence and the observation sequence. The closer R is to 1, the higher the correlation degree. The mean bias error (MBE) is used to verify the deviation between the simulation sequence and the observation sequence. The closer the result is to 0, the smaller the deviation. The root mean square error (RMSE) is used to verify the average deviation between the simulation sequence and the observation sequence. The closer the result is to 0, the better the simulation effect. The relevant calculation formulas are as follows:
where and are the simulated and observed value, and are the simulated and observed average values, and n is the number of records.
2.3.2. Verify Performance for WRF Model
The source of all the meteorological data used in this paper is from the China Meteorological Administration (https://data.cma.cn/ (accessed on 12 December 2022)). These kinds of data have advantages of high accuracy and stability, but the data of each station only represent the surrounding information. Taking the daily average wind speed from December 2016 to February 2017 as the verification data, the physical parameter scheme of case3 in Table 3, the original land use data of the WRF model, and the two vertical stratification methods mentioned above are used to calculate the meteorological information of Litang. Table 4 shows the evaluation index results of the two schemes. The scheme of vertical layers densified near the ground has increased the correlation coefficient by 77.72%, reduced the mean bias by 61.13%, and reduced the root mean square error by 59.04% compared with the non-density scheme. Figure 5 shows the comparison of the change trends of the simulation results and the measured results. It can be seen that the change trend of the calculation results with vertical layers densified near the ground is more consistent with the measured results. Therefore, near-surface encryption can significantly improve the simulation results of the mountain wind field.
Table 4.
Evaluation results of different ETA levels.
Figure 5.
Wind speed variation trends at different ETA levels.
In order to validate the computed results of four cases presented in Table 3, the daily average wind speed results and precipitation results from December 2016 to February 2017 at Kangding were used for comparison. Table 5 shows the correlation coefficients of the two data. For rainfall, the Purdue–Lin scheme demonstrated a higher correlation coefficient compared to the Thompson scheme, while for wind speed, the YSU scheme outperformed the MRF scheme. Figure 6 displays the actual simulated and observed values. All four schemes accurately captured the changing trends, but the maximum and minimum wind speeds were higher than the actual results. Considering the comparison of correlation coefficients and the actual trend results, case3, shown in Table 3, appeared to be more reasonable. Therefore, this study adopted the third scheme for calculations in both region 1 and region 2.
Table 5.
Comparison of results of different schemes.
Figure 6.
Comparison of simulation results in Kangding. (a) Comparison of precipitation result; (b) comparison of wind speed result.
To verify the accuracy of the calculation results of case3 comprehensively, this paper further validates the results of temperature, wind speed, and rainfall calculated by the WRF model. The simulated data are the WRF calculation results under the parameter settings in Table 1 and Table 2 and case3 of Table 3. The validation data used to verify the calculation results of temperature and wind speed are the ground-based meteorological observation data of Kangding and Litang stations. Because there was no precipitation in the actual situation of the two meteorological stations in the observation data of 2022, the feasibility verification of the WRF model for rainfall used the daily average observation data of Litang from December 2016 to February 2017. The comparison results are shown in Table 6, and it can be found that the correlation coefficient of temperature is above 0.80, and the correlation coefficients of wind speed and rainfall are also above 0.50. In addition, the average deviation and root mean square error values are relatively small. By comparing the correlation coefficients presented in this paper with those published in the literature for temperature [39], wind speed [40], and rainfall [41] in similar terrain, it can be observed in Table 6 that the calculated correlation coefficients for temperature and wind speed in this study are slightly higher than those reported in previous studies. The correlation coefficients for rainfall closely align with the published values. Thus, the calculation results obtained in this study can be utilized to assess the susceptibility of drifting snow, providing valuable insights.
Table 6.
Evaluation results of temperature, wind speed, and rainfall.
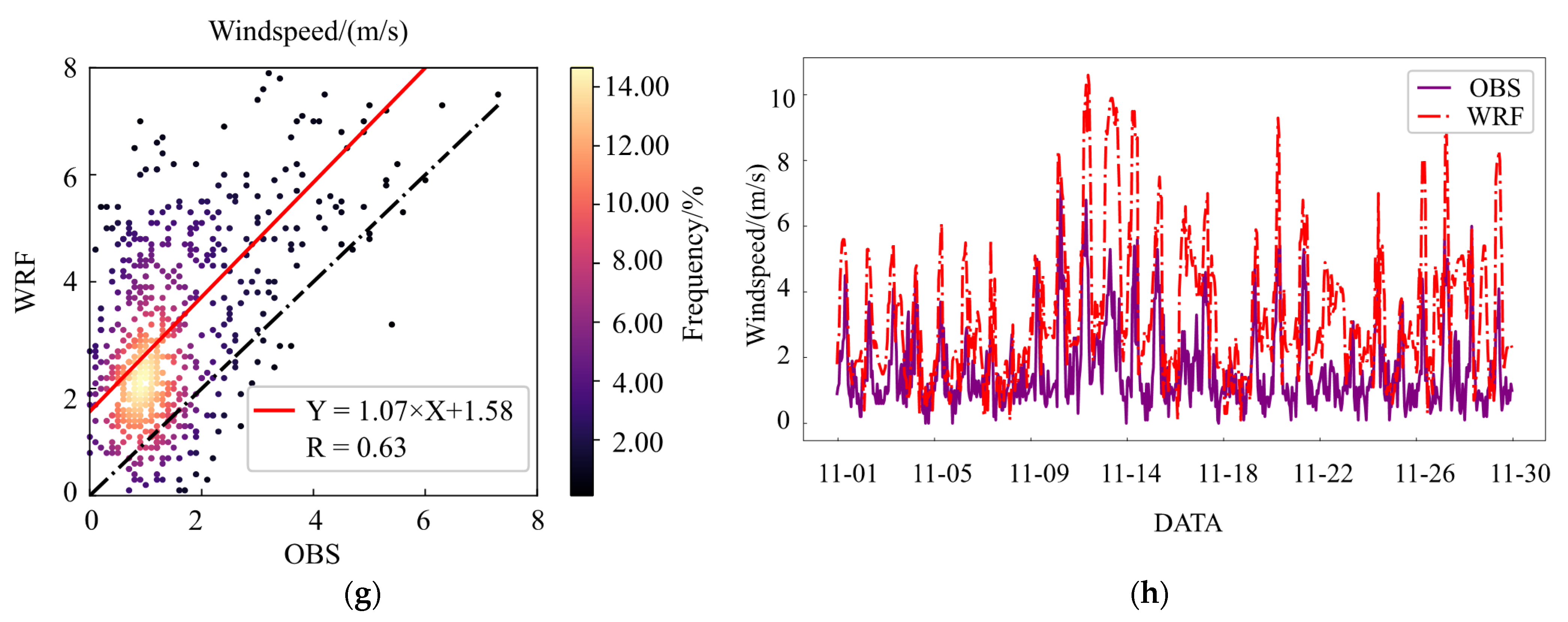
We performed linear fitting on the calculation results. The closer the points in the figure are to the diagonal line (the black dash line in figure), the closer the simulation results are to the real results. The brighter the color of the points, the more points fall in that area. Figure 7 shows the fitting results of temperature and wind speed calculation data and their changes over time. It can be found that the model can capture the temperature changes well. The simulated temperature of Kangding station is concentrated within 0 to 5 °C, and the temperature of Litang station is concentrated within −5 °C to 5 °C. The WRF simulation results of wind speed for both places are concentrated in 1–2 m/s. The simulation results of Litang station are higher than the actual recorded values; however, the WRF model accurately captured the change trend and extreme values of wind speed at both stations. Figure 8 shows the comparison between the rainfall calculation results and the actual results. The WRF model successfully captured the rainfall events. In summary, although there is some error between the data simulated by the WRF model and the actual data, the correlation of the simulation results is good, and it can accurately capture the change trend of the data, which also verifies the effectiveness of the simulation method.

Figure 7.
The results of the WRF fitting process and a comparison between the simulated and observed values. (a) The fitted line of temperature in Kangding; (b) the variation in temperature in Kangding; (c) the fitted line of temperature in Litang; (d) the variation in temperature in Litang; (e) the fitted line of wind speed in Kangding; (f) the variation in wind speed in Kangding; (g) the fitted line of wind speed in Litang; (h) the variation in wind speed in Litang.
Figure 8.
Comparison of daily rainfall in Litang.
2.4. Occurrence Probability Determination Method
Vionnet et al. [42] analyzed the meteorological data detected when drifting snow occurred near the Alps and found that the main meteorological feature was that snow occurred when the wind speed reached a certain range, and this model was also applied by Guyomarc’h et al. [43]. Based on this discovery and previous studies, the drifting snow in this paper is defined as periods with precipitating snow with a wind speed in the range of 3–8 m/s [19]. In order to ensure that the precipitation is solid, the temperature is limited to less than 0 °C. Therefore, we calculated the probability by the percentage in the number of times that met the three conditions during the simulation period.
3. Result and Discussion
3.1. Simulation Results of Temperature Distribution
The output results of the inner grid d02 are analyzed to obtain the monthly average temperature within the simulated area, as shown in Figure 9a–f. The results show that a minimum temperature of −14 °C in the study area is calculated by the WRF model, which ensures that the snow particles do not degrade due to excessively low temperatures. The temperature distribution around the railway is relatively regular. Region 1 bounded by Kangding is divided into two parts. The eastern side of Ya’an City has warmer temperatures than the western side, and the average monthly temperature stays above 0 °C, which matches the sub-tropical humid monsoon climate of Ya’an City that does not have harsh winters. On the other hand, most areas on the western side of Kangding are colder, with an average monthly temperature of around −2 °C. These temperatures change with time, and the average temperature in January is lower than that in December and February. In region 2, along the railway from Litang to Qamdo, the temperatures are frigid, always below 0 °C. Notably, the temperature in January is significantly lower than that in December and February.
Figure 9.
The distribution of average temperature in the simulation period. (a) Temperature of region 1 in December; (b) temperature of region 2 in December; (c) temperature of region 1 in January; (d) temperature of region 2 in January; (e) temperature of region 1 in February; (f) temperature of region 2 in February.
3.2. Simulation Results of Precipitation Distribution
Snow is the material condition for the occurrence of drifting snow. Sufficient snow sources will increase the probability of drifting snow, and the amount of snowfall will also affect the intensity and duration of drifting snow. Figure 10 illustrates the monthly cumulative precipitation around the railway in winter. In region 1, precipitation is mainly concentrated in the Ya’an area east of Kangding and the area south of Kangding station. Precipitation is affected by temperature, and the eastern area has higher temperatures, so it has more precipitation than other areas. Notably, January exhibits the lowest average temperature and, consequently, the lowest level of precipitation. In February 2017, there was more precipitation in Kangding area, and the cumulative precipitation reached 500 mm in the southern part of Kangding. Conversely, the precipitation in region 2 is significantly lower than that in region 1. During the simulation period, only a few places have weak precipitation, and the areas with higher precipitation are far away from the railway. Moreover, the precipitation was highest in February 2017, which is similar to the result of region 1.
Figure 10.
The distribution of cumulative precipitation in the simulation period. (a) Precipitation of region 1 in December; (b) precipitation of region 2 in December; (c) precipitation of region 1 in January; (d) precipitation of region 2 in January; (e) precipitation of region 1 in February; (f) precipitation of region 2 in February.
3.3. Simulation Results of Wind Field Distribution
Wind is the primary factor that affects the occurrence of drifting snow. The wind direction determines the movement direction of snow particles, and the wind speed determines the scale of drifting snow. Figure 11 illustrates the monthly average wind speed and direction distribution in the simulated area. The arrows in the figures represent the direction of wind speed. In region 1, the wind speed on the west side of 102° E is higher than that on the east side. In the three winter months, the wind speed in Kangding area is always higher than that in other surrounding areas. The average wind speed in January 2017 was higher than that in December 2016 and February 2017, with a maximum wind speed of 11.41 m/s. The wind direction around the railway is variable. In the section from Ya’an to Kangding, the wind direction is mainly eastward, parallel to the railway direction, with a small angle. On the west side of Kangding, the wind direction changes more frequently. Between 101.6° E and 102° E, it is mainly southwest wind. Between 101° E and 101.5° E, it is mainly south wind and southwest wind. In region 2, the whole area has high wind speed and higher than that in region 1, with a maximum wind speed of 12.33 m/s. The average wind speed in November is higher than that in the other two months. The wind direction is mainly southwest wind, forming a large angle with the railway.
Figure 11.
The distribution of average wind field in the simulation period. (a) Wind field of region 1 in December; (b) wind field of region 2 in December; (c) wind field of region 1 in January; (d) wind field of region 2 in January; (e) wind field of region 1 in February; (f) wind field of region 2 in February.
According to the different wind speeds and directions along the railway, five points, P1 (102° E, 30.13° N), P2 (101.6° E, 29.98° N), P3 (101.1° E, 30.03° N), P4 (99.50° E, 30.37° N), and P5 (97.7° E, 31.15° N), are selected as representatives to study the wind speed and direction distribution in their surrounding areas. The wind rose diagram and the wind speed probability density diagram are shown in Figure 12. In region 1, the maximum wind speed at P1 is 13.10 m/s, the primary dominant wind direction is south–southwest wind (SSW), accounting for 17.92% of the entire simulation period, the secondary dominant wind direction is southwest wind (SW), accounting for 16.82% of the entire simulation period, the wind speed is mainly concentrated around 2–5 m/s, and the wind speed in the probability interval of drifting snow occurrence (3–8 m/s) accounts for 61.82% of the total wind speed in the simulation period; at P2, the maximum wind speed is 17.91 m/s, the primary dominant wind direction is southwest wind (SW), accounting for 41.51% of the entire simulation period, the secondary dominant wind direction is west wind (E), accounting for 28.54% of the entire simulation period, the wind speed is mainly concentrated around 5–9 m/s, and the wind speed in the probability interval of drifting snow occurrence accounts for 56.39% of the total wind speed in the simulation period; at P3, the maximum wind speed is 16.7 m/s, the primary dominant wind direction is west–northwest wind (WNW), accounting for 22.51% of the entire simulation period, the secondary dominant wind directions are west wind and southwest wind, accounting for 18.81% and 18.39% of the entire simulation period, respectively, the wind speed is mainly concentrated around 6–10 m/s, and the wind speed in the probability interval of drifting snow occurrence accounts for 50.73% of the total wind speed in the simulation period.

Figure 12.
Wind rose diagram and the wind speed probability density graph. (a) the wind rose diagram of P1; (b) the wind speed probability density graph of P1; (c) the wind rose diagram of P2; (d) the wind speed probability density graph of P2; (e) the wind rose diagram of P3; (f) the wind speed probability density graph of P3; (g) the wind rose diagram of P4; (h) the wind speed probability density graph of P4; (i) the wind rose diagram of P5; (j) the wind speed probability density graph of P5.
In region 2, the maximum wind speed at P4 is 12 m/s, the primary dominant wind direction is south–southwest wind (SSW), accounting for 22.84% of the entire simulation period, the secondary dominant wind direction is west wind (W), accounting for 20.17% of the entire simulation period, the wind speed is mainly concentrated around 2–4 m/s, and the wind speed in the probability interval of drifting snow occurrence accounts for 55.59% of the total wind speed in the simulation period. At P5, the maximum wind speed is 14.90 m/s, the primary dominant wind direction is southwest wind (SW), accounting for 38.79% of the entire simulation period, the secondary dominant wind direction is southwest wind (SW), accounting for 26.81% of the entire simulation period, the wind speed is mainly concentrated around 4–8 m/s, and the wind speed in the probability interval of drifting snow occurrence accounts for 69.06% of the total wind speed in the simulation period. Since the climate of the study area is mainly influenced by the south branch jet stream of the westerly circulation, the wind direction is mostly west or southwest wind, which is consistent with the actual situation. Moreover, the proportion of wind speed in the interval of drifting snow occurrence is relatively large, which means a higher possibility of being affected by drifting snow.
3.4. Drifting Snow Susceptibility Judgment
As we can see in Figure 13, along the railway, the places with higher probability of drifting snow occurrence are located in Kangding County and Litang County, and there is a long railway line passing through the drifting snow susceptible areas in Litang, Batang, and Baiyu counties, with a total length of about 321 km that may experience drifting snow along the line. The entire area of Ya’an City has almost zero probability of drifting snow occurrence; about 12 km of railway in the adjacent area of Luding County and Tianquan County may experience drifting snow, with a probability of 15%; in Kangding County, there are two sections of railway that may experience drifting snow phenomenon, located at 101.9° E–102° E and 101.6° E–101.8° E, respectively, with lengths of 20 km and 23 km, respectively, and probabilities of 12% and 8%, respectively; about 22 km of railway in Yajiang County at 101.2° E–101.4° E may experience drifting snow, with a probability of about 4%; about 50 km of railway in Litang County at 99.8° E–100.2° E has a probability of 8%; about 87 km of railway passing through Batang County and Baiyu County at 99.15° E–99.7° E has a probability of 4% for drifting snow phenomenon; about 24 km of railway in Jomda County at 98.25° E–98.45° E has a probability of 6%; about 71 km of railway passing through Qamdo County and Chaya County at 97.50° E–97.90° E has a probability of 5%; about 12 km of railway in Chaya County and Basu County at 97.35° E–97.40° E has a probability of 6%. The railway located in Kangding County has a slightly higher probability of drifting snow phenomenon than other areas, and the length of the railway affected is larger, so the railway in this section needs to strengthen its protection against drifting snow.
Figure 13.
Probability of drifting snow along the railway. (a) The susceptibility of drifting snow in region 1; (b) the susceptibility of drifting snow in region 2.
3.5. Discussion of Occurrence Probability
As the WRF model relies on input boundary conditions, it can simulate diverse climatic scenarios by altering the input meteorological data to accommodate climate change. Climate variations, such as alterations in temperature and precipitation patterns, can exert influences on snow conditions. For instance, elevated temperatures can expedite snow melting rates, while shifts in precipitation can impact the formation and distribution of snow, ultimately affecting the occurrence of drifting snow. Given the WRF model’s capacity to adjust to climate change, it can similarly accommodate shifts in drifting snow conditions due to climate variations. As a result, the derived probability of drifting snow occurrence based on the WRF model remains dependable.
This study utilizes temperature, snowfall, and wind speed information derived from WRF simulations to assess the probability of drifting snow around the railway. The calculated results have been validated against measured data and data from other published papers, which enhances the credibility of the findings in the paper. However, there are two errors in this paper: one is the calculation error of the WRF model itself, and the other is the error caused by the judgment model of drifting snow. If these two aspects are improved, the calculation results will be more accurate.
The accuracy of the WRF calculation results is mainly affected by boundary conditions, parameter scheme combinations, and model parameters. The initial conditions are reanalysis data, that is, the historical weather information obtained by integrating radar satellite, aircraft, ship, and station observation data and numerical forecasting products using data assimilation technology. Therefore, the accuracy of the data used for assimilation will affect the accuracy of the reanalysis data and then affect the calculation results of the WRF model. The combination of different parameter schemes of the WRF model will produce different calculation results, and one model parameter of WRF may affect multiple meteorological variables, so the selection of model parameters needs to consider multiple meteorological variables. However, WRF has many parameter schemes and model parameters. With the current computing power, it is difficult to obtain the optimal parameter scheme combination and model parameters through thousands of long-time calculations, which will also affect the calculation results of WRF.
Meteorological information such as wind and snow are the main conditions that affect drifting snow occurrence, but the terrain around the railway, vegetation types, and the form of the roadbed of the railway also have a certain impact on it. Since the purpose of this paper is mainly to calculate the probability of drifting snow from the perspective of meteorological information, snow and wind data are mainly taken into account in the judgment model. However, terrain and other factors are not considered, so the occurrence probability calculated based on the drifting snow judgment model in this paper may be higher than the actual result, and the calculation result in this paper is more secure.
To reduce errors of possibility caused by various factors, improvements can be made in those aspects, and the data of temperature, precipitation, and wind speed in FNL can be replaced with observation data of weather stations to improve the accuracy of boundary conditions and further improve the accuracy of WRF simulation. Sensitivity analysis of the parameter scheme and model parameters can be carried out to find the optimal scheme and parameter under the condition of saving computing resources as much as possible. In addition to the main factors such as wind and snow, secondary factors such as terrain and vegetation are taken into account to establish a more comprehensive evaluation model of drifting snow susceptibility.
4. Conclusions
The railway from Kangding to Qamdo is divided into two regions for simulation in this paper. In region 2 with complex terrain, the vertical direction near the ground is densified to 15 layers at a height of about 1.5 km, and the MCD12Q1v006 land use data are used to replace the original data. The susceptibility of drifting snow along the railway is judged according to the simulation results. The conclusions are as follows:
- (1)
- Among the simulations of temperature, rainfall, and wind speed, the simulation result of temperature is the best, followed by wind speed and rainfall. The WRF model can simulate the change trend of the three meteorological elements very accurately during the calculation period.
- (2)
- For mountainous areas with complex terrain, using the method of increasing the number of layers in the vertical direction and densifying near the ground can significantly improve the simulation result of wind speed by the WRF model.
- (3)
- The regional climate of the Ya’an to Qamdo railway is influenced by the south branch jet stream of the westerly circulation. The temperature is high in the east and low in the west, the rainfall is more in the east and less in the west, and the wind speed is high in the west and low in the east. The average wind speed is concentrated around 5–8 m/s, and the dominant wind direction in winter is mainly westerly and southwesterly.
- (4)
- The WRF model can be applied to determine the susceptibility of drifting snow in areas lacking meteorological information: the total length of Ya’an–Qamdo section is about 700 km, of which about 321 km of railway may experience drifting snow. The railway is more likely to be affected by drifting snow disaster when passing through Kangding County, Luding County, and Tianquan County where they border each other; although there are places with higher probability of drifting snow occurrence in the simulation area, these places are far away from the railway and will not affect it.
In the term of railway protection with high susceptibility, the meteorological information calculated by WRF can be extracted and taken as the boundary condition of computational fluid dynamics (CFDs) so as to more accurately study the snow condition of various roadbeds and the protective effect of various forms of snow fence to achieve the best protection of the railway.
The WRF model is easy to access, has a fast calculation rate, and provides high reliability of results. It can be applied to any location lacking but requiring long time series and high-resolution meteorological information, creating significant economic value at a relatively low cost. Therefore, this computational method has enormous potential for applications in engineering, industry, and other fields.
Author Contributions
Conceptualization, Q.L.; Methodology, X.Z.; Data curation, W.Y.; Writing—original draft, X.Z.; Writing—review & editing, Z.Z. All authors have read and agreed to the published version of the manuscript.
Funding
This research was funded by Innovation research group project of Natural Science Foundation of Hebei Province of China (Grant No. E2022210078), Central Leading Local Science and Technology Development Fund Project (Grant No. 236Z5410G), High-end Talents Project of Hebei Province of China (Grant No. [2019] 63), and Funded by Science and Technology Project of Hebei Education Department (Grant No. QN2023093).
Institutional Review Board Statement
Not applicable.
Informed Consent Statement
Not applicable.
Data Availability Statement
The raw data supporting the conclusions of this article will be made available by the authors on request.
Conflicts of Interest
The authors declare no conflict of interest.
References
- Bagnold, R.A. The Physics of Blown Sand and Desert Dunes; Methuen & Co., Ltd.: London, UK, 1941; Volume 265. [Google Scholar]
- Owen, P.R. Saltation of uniform grains in air. J. Fluid Mech. 1964, 20, 225–242. [Google Scholar] [CrossRef]
- Kind, R.J. Mechanics of aeolian transport of snow and sand. J. Wind Eng. Ind. Aerodyn. 1990, 36, 855–866. [Google Scholar] [CrossRef]
- Budd, W.F. The drifting of nonuniform snow particles. Stud. Antarct. Meteorol. 1966, 9, 59–70. [Google Scholar]
- Schmidt, R.A. Estimates of threshold windspeed from particle sizes in blowing snow. Cold Reg. Sci. Technol. 1981, 4, 187–193. [Google Scholar] [CrossRef]
- Kind, R.J.; Murray, S.B. Saltation flow measurements relating to modeling of snowdrifting. J. Wind Eng. Ind. Aerodyn. 1982, 10, 89–102. [Google Scholar] [CrossRef]
- Flaga, A.; Flaga, L. Wind tunnel tests and analysis of snow load distribution on three different large size stadium roofs. Cold Reg. Sci. Technol. 2019, 160, 163–175. [Google Scholar] [CrossRef]
- Qiang, S.G.; Zhou, X.Y.; Kosugi, K.; Gu, M. A study of snow drifting on a flat roof during snowfall based on simulations in a cryogenic wind tunnel. J. Wind Eng. Ind. Aerodyn. 2019, 188, 269–279. [Google Scholar] [CrossRef]
- Liu, M.M.; Zhang, Q.W.; Fan, F.; Shen, S.Z. Modeling of the Snowdrift in Cold Regions: Introduction and Evaluation of a New Approach. Appl. Sci. 2019, 9, 3393. [Google Scholar] [CrossRef]
- Li, P.X.; Bai, M.Z.; Ding, L.S.; Cui, Z.Z.; Zhang, Z.C. Field measurement and outdoor wind tunnel test of snow-drifting: Snow distribution characteristics of railway subgrade and deposition mechanism. J. Wind Eng. Ind. Aerodyn. 2022, 230, 15. [Google Scholar] [CrossRef]
- Basnet, K.; Constantinescu, G.; Muste, M.; Ho, H. Method to Assess Efficiency and Improve Design of Snow Fences. J. Eng. Mech. 2015, 141, 04014136. [Google Scholar] [CrossRef]
- Li, P.X.; Bai, M.Z.; Li, J.X.; Qiu, S.M.; Wei, Z.J. Analysis of the influence of snow fences on snow redistribution under snow-drifting in railway cuttings. Cold Reg. Sci. Technol. 2022, 196, 103520. [Google Scholar] [CrossRef]
- Nieto, P.J.G.; Diaz, J.J.D.; Castro-Fresno, D.; Munoz, F.B. Numerical simulation of the performance of a snow fence with airfoil snow plates by FVM. J. Comput. Appl. Math. 2010, 234, 1200–1210. [Google Scholar] [CrossRef]
- Ma, W.; Luo, Y.; Li, F.; Sun, Y. The influence of wind deflectors on the snow distribution in road cuttings during snowdrift. Cold Reg. Sci. Technol. 2022, 196, 103505. [Google Scholar] [CrossRef]
- Li, L.; Pomeroy, J.W. Estimates of threshold wind speeds for snow transport using meteorological data. J. Appl. Meteorol. 1997, 36, 205–213. [Google Scholar] [CrossRef]
- Bychkova, V.I.; Kurbatova, M.M.; Zarochentsev, G.A.; Ignatov, R.Y. Blowing Snow Forecast Using Numerical Atmospheric Model Output Data. Russ. Meteorol. Hydrol. 2018, 43, 444–448. [Google Scholar] [CrossRef]
- Libbrecht, K.G. Physical Dynamics of Ice Crystal Growth. Annu. Rev. Mater. Res. 2017, 47, 271–295. [Google Scholar] [CrossRef]
- Huang, N.; Sang, J.B.; Han, K. A numerical simulation of the effects of snow particle shapes on blowing snow development. J. Geophys. Res.-Atmos. 2011, 116, D22206. [Google Scholar] [CrossRef]
- Mellor, M. Blowing Snow. Monogr. III-A3C; US Army Cold Regions Research and Engineering Laboratory: Hanover, NH, USA, 1965. [Google Scholar]
- He, B.H.; Bai, M.Z.; Liu, B.L.; Li, P.X.; Qiu, S.M.; Li, X.; Ding, L.S. Evaluation of Drifting Snow Susceptibility Based on GIS and GA-BP Algorithms. Isprs Int. J. Geo-Inf. 2022, 11, 142. [Google Scholar] [CrossRef]
- Caldwell, P.; Chin, H.N.S.; Bader, D.C.; Bala, G. Evaluation of a WRF dynamical downscaling simulation over California. Clim. Chang. 2009, 95, 499–521. [Google Scholar] [CrossRef]
- Chotamonsak, C.; Salathe, E.P.; Kreasuwan, J.; Chantara, S.; Siriwitayakorn, K. Projected climate change over Southeast Asia simulated using a WRF regional climate model. Atmos. Sci. Lett. 2011, 12, 213–219. [Google Scholar] [CrossRef]
- Goncalves, M.; Barrera-Escoda, A.; Guerreiro, D.; Baldasano, J.M.; Cunillera, J. Seasonal to yearly assessment of temperature and precipitation trends in the North Western Mediterranean Basin by dynamical downscaling of climate scenarios at high resolution (1971–2050). Clim. Chang. 2014, 122, 243–256. [Google Scholar] [CrossRef]
- Yang, X. Research on the Characteristics of Drifting Snow Disaster in Xinjiang Mayitas Traffic Corridor. J. Railw. Eng. Soc. 2018, 35, 1–6. [Google Scholar]
- Qi, Y. Strategies of railway alignment selection for Karamay-Tacheng railway in Xinjiang considering snow drifting disasters. J. Railw. Sci. Eng. 2018, 15, 2813–2824. [Google Scholar]
- Luo, Y.; Ma, W.-Y.; Sun, Y.-C. Prediction on wind speed and wind direction of traffic line in alpine region. Gongcheng Lixue/Eng. Mech. 2022, 39, 195–201. [Google Scholar] [CrossRef]
- Ma, J.L.; Yao, X.P. Summer Extreme Precipitation in the Key Region of the Sichuan-Tibet Railway. Adv. Atmos. Sci. 2023, 40, 843–855. [Google Scholar] [CrossRef]
- Lin, Z.Q.; Yao, X.P.; Du, J.; Zhou, Z.B. Refined Evaluation of Satellite Precipitation Products against Rain Gauge Observations along the Sichuan-Tibet Railway. J. Meteorol. Res. 2022, 36, 779–797. [Google Scholar] [CrossRef]
- Zhang, J.P.; Zhao, T.B.; Zhou, L.B.; Ran, L.K. Historical Changes and Future Projections of Extreme Temperature and Precipitation along the Sichuan-Tibet Railway. J. Meteorol. Res. 2021, 35, 402–415. [Google Scholar] [CrossRef]
- Gao, Y.; Xu, J.; Chen, D. Evaluation of WRF Mesoscale Climate Simulations over the Tibetan Plateau during 1979–2011. J. Clim. 2015, 28, 2823–2841. [Google Scholar] [CrossRef]
- Chen, S.; Hamdi, R.; Ochege, F.U.; Du, H.; Chen, X.; Yang, W.; Zhang, C. Added Value of a Dynamical Downscaling Approach for Simulating Precipitation and Temperature Over Tianshan Mountains Area, Central Asia. J. Geophys. Res.-Atmos. 2019, 124, 11051–11069. [Google Scholar] [CrossRef]
- Minder, J.R.; Letcher, T.W.; Skiles, S.M. An evaluation of high-resolution regional climate model simulations of snow cover and albedo over the Rocky Mountains, with implications for the simulated snow-albedo feedback. J. Geophys. Res.-Atmos. 2016, 121, 9069–9088. [Google Scholar] [CrossRef]
- Wrzesien, M.L.; Durand, M.T.; Pavelsky, T.M.; Howat, I.M.; Margulis, S.A.; Huning, L.S. Comparison of Methods to Estimate Snow Water Equivalent at the Mountain Range Scale: A Case Study of the California Sierra Nevada. J. Hydrometeorol. 2017, 18, 1101–1119. [Google Scholar] [CrossRef]
- Liu, L.; Zhang, X.Z.; Han, C.B.; Ma, Y.M. A performance evaluation of various physics schemes on the predictions of precipitation and temperature over the Tibet Autonomous Region of China. Atmos. Res. 2023, 292, 106878. [Google Scholar] [CrossRef]
- Minola, L.; Zhang, G.F.; Ou, T.H.; Kukulies, J.; Curio, J.; Guijarro, J.A.; Deng, K.Q.; Azorin-Molina, C.; Shen, C.; Pezzoli, A.; et al. Climatology of near-surface wind speed from observational, reanalysis and high-resolution regional climate model data over the Tibetan Plateau. Clim. Dyn. 2023. [Google Scholar] [CrossRef]
- Zhou, X.; Ding, B.H.; Yang, K.; Pan, J.M.; Ma, X.G.; Zhao, L.; Li, X.; Shi, J.C. Reducing the Cold Bias of the WRF Model Over the Tibetan Plateau by Implementing a Snow Coverage-Topography Relationship and a Fresh Snow Albedo Scheme. J. Adv. Model. Earth Syst. 2023, 15, e2023MS003626. [Google Scholar] [CrossRef]
- Zhi-Hui, Y.; Lian-Tang, D. Description of Microphysical Processes in WRF Model and Its Prediction Experiment. Desert Oasis Meteorol. 2007, 1, 1–6. [Google Scholar]
- Xie, B.; Fung, J.C.H.; Chan, A.; Lau, A. Evaluation of nonlocal and local planetary boundary layer schemes in the WRF model. J. Geophys. Res.-Atmos. 2012, 117, D12103. [Google Scholar] [CrossRef]
- Liu, L.; Ma, Y.; Menenti, M.; Zhang, X.; Ma, W. Evaluation of WRF Modeling in Relation to Different Land Surface Schemes and Initial and Boundary Conditions: A Snow Event Simulation Over the Tibetan Plateau. J. Geophys. Res. Atmos. 2019, 124, 209–226. [Google Scholar] [CrossRef]
- Fan, Z.U.; Shuxian, F.; Yongwei, W.; Xi, W.U. Numerical simulation and error characteristics for wind speed on a wind farm over a complex underlying surface. Trans. Atmos. Sci. 2016, 39, 672–682. [Google Scholar]
- Du, Y.; Xu, T.; Che, Y.; Yang, B.; Chen, S.; Su, Z.; Su, L.; Chen, Y.; Zheng, J. Uncertainty Quantification of WRF Model for Rainfall Prediction over the Sichuan Basin, China. Atmosphere 2022, 13, 838. [Google Scholar] [CrossRef]
- Vionnet, V.; Guyomarc’h, G.; Bouvet, F.N.; Martin, E.; Durand, Y.; Bellot, H.; Bel, C.; Puglièse, P. Occurrence of blowing snow events at an alpine site over a 10-year period: Observations and modelling. Adv. Water Resour. 2013, 55, 53–63. [Google Scholar] [CrossRef]
- Guyomarc’h, G.; Bellot, H.; Vionnet, V.; Naaim-Bouvet, F.; Déliot, Y.; Fontaine, F.; Puglièse, P.; Nishimura, K.; Durand, Y.; Naaim, M. A meteorological and blowing snow data set (2000–2016) from a high-elevation alpine site (Col du Lac Blanc, France, 2720 m a.s.l.). Earth Syst. Sci. Data 2019, 11, 57–69. [Google Scholar] [CrossRef]
Disclaimer/Publisher’s Note: The statements, opinions and data contained in all publications are solely those of the individual author(s) and contributor(s) and not of MDPI and/or the editor(s). MDPI and/or the editor(s) disclaim responsibility for any injury to people or property resulting from any ideas, methods, instructions or products referred to in the content. |
© 2024 by the authors. Licensee MDPI, Basel, Switzerland. This article is an open access article distributed under the terms and conditions of the Creative Commons Attribution (CC BY) license (https://creativecommons.org/licenses/by/4.0/).














