Multi-Stress Accelerated Degradation Testing Reliability Assessment of LED Lamp Beads Considering Generalized Coupling
Abstract
1. Introduction
2. Materials and Methods
2.1. Multi-Stress Acceleration Model Considering Generalized Coupling
2.1.1. Arrhenius-Based Multi-Stress Generalized Coupling Acceleration Model
2.1.2. Prerequisites of the Model
2.1.3. MLE Method for Full Samples
2.2. Accelerated Degradation Test
2.2.1. LED Failure Definition
2.2.2. Experiment Setting and Procedure
- Experiment setting
- 2.
- Number of testing samples
2.2.3. Testing Profile
2.2.4. ADT Process
- Put 6 groups of 10 LEDs into a PCB board under a certain condition for n hours;
- If the humidity of this experiment is 85%, it is necessary to bake and dehumidify for 1 h to prevent the PCB board from condensing with air and causing unexpected failure of the LED;
- Use an ion fan to remove static electricity to prevent the LED from being broken down when powered on;
- Use a power supply to test whether the LED is damaged;
- Put it into the Weimin tester to test the LOP of the LED.
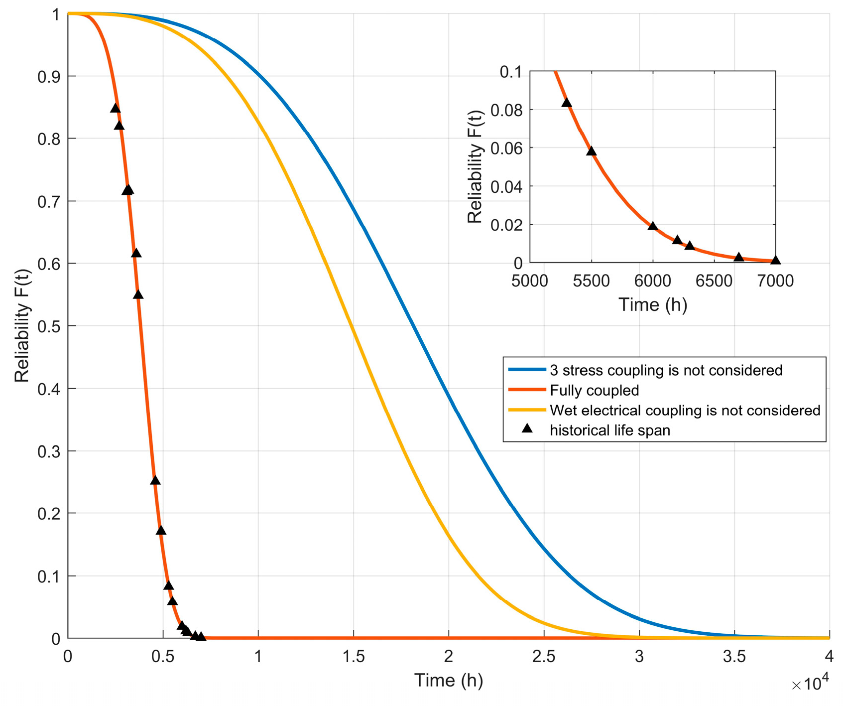
3. Results
4. Discussion
4.1. Statistical Data Analysis
4.2. Modeling of Generalized Coupled Acceleration Model
4.3. Multi-Parameter Estimation Based on Particle Swarm Optimization
- The positions and velocities of all particles are randomly initialized in the constraint space of the variables, ensuring that the constraint shape parameter β > 0 to ensure that the characteristic life is greater than 0;
- Calculate the objective function value of each particle, that is, the log-likelihood value of the test data under all stress combinations;
- For each particle, its current objective function value is compared with the optimal objective function value (pbest) in the particle’s history and the larger value of the two is selected and redefined as pbest;
- For each particle, its current objective function value is compared with the historical optimal objective function value (gbest) searched by all particles, and the larger value of the two is selected and redefined as gbest;
- Calculate the iteration speed and iteration position of each particle. The expressions are Equation (16).
5. Conclusions
Author Contributions
Funding
Institutional Review Board Statement
Informed Consent Statement
Data Availability Statement
Acknowledgments
Conflicts of Interest
Appendix A
References
- Chang, M.-H.; Das, D.; Varde, P. Light emitting diodes reliability review. Microelectron. Reliab. 2012, 52, 762–782. [Google Scholar] [CrossRef]
- Meneghini, M.; Podda, S.; Morelli, A.; Pintus, R.; Trevisanello, L.; Meneghesso, G. High brightness GaN LEDs degradation during DC and pulsed stress. Microelectron. Reliab. 2006, 46, 1720–1724. [Google Scholar] [CrossRef]
- Tan, C.M.; Chen, B.K.E.; Xu, G.; Liu, Y. Analysis of humidity effects on the degradation of high-power white LEDs. Microelectron. Reliab. 2009, 49, 1226–1230. [Google Scholar] [CrossRef]
- Trevisanello, L.; Zuani, F.D.; Meneghini, M.; Trivellin, N.; Zanoni, E.; Meneghesso, G. Thermally activated degradation and package instabilities of low flux LEDs. In Proceedings of the 2009 IEEE International Reliability Physics Symposium, Montreal, QC, Canada, 26–30 April 2009; pp. 98–103. [Google Scholar]
- Mehr, M.Y.; Van Driel, W.D.; Zhang, G.Q. Reliability and lifetime prediction of remote phosphor plates in solid-state lighting applications using accelerated degradation testing. Electron. Mater. 2016, 45, 444–452. [Google Scholar] [CrossRef]
- Nogueira, E.; Orlando, V. Accelerated life test of high luminosity blue LEDs. Microelectron. Reliab. 2016, 64, 631–634. [Google Scholar] [CrossRef]
- Li, Y.; Pan, G.Z. A novel accelerated life-test method under thermal cyclic loadings for electronic devices considering multiple failure mechanisms. Microelectron. Reliab. 2020, 144, 11–17. [Google Scholar] [CrossRef]
- Yang, Z.; Chen, Y. Smart electricity meter reliability prediction based on accelerated degradation testing and modeling. Int. J. Electr. Power Energy Syst. 2014, 56, 209–219. [Google Scholar] [CrossRef]
- Lin, K.; Chen, Y. Reliability assessment model considering heterogeneous population in a multiple stresses accelerated test. Reliab. Eng. Syst. Saf. 2017, 165, 134–143. [Google Scholar] [CrossRef]
- Wang, Y.; Chen, X. Optimal design of step-stress accelerated degradation test with multiple stresses and multiple degradation measures. Qual. Reliab. 2017, 33, 1655–1668. [Google Scholar] [CrossRef]
- Miao, H.; Guo, W. Lifetime prediction of UV LEDs based on Bayesian MCMC and other models. Acta Opt. Sin. 2024, 44, 2223001. [Google Scholar]
- Liang, B.; Wang, Z.; Qian, C. Investigation of step-stress accelerated degradation test strategy for ultraviolet light emitting diodes. Materials 2019, 12, 3319. [Google Scholar] [CrossRef] [PubMed]
- Ibrahim, M.S.; Jing, Z.; Yung, W.K.C. Bayesian based lifetime prediction for high-power white LEDs. Expert Syst. Appl. 2021, 185, 115627. [Google Scholar] [CrossRef]
- Liu, Y.; Wang, Y. A new universal multi-stress acceleration model and multi-parameter estimation method based on particle swarm optimization. Proc. Inst. Mech. Eng. Part O J. Risk Reliab. 2020, 234, 764–778. [Google Scholar] [CrossRef]
- Zhang, F.; Tian, R. Multi-stress accelerated life evaluation method considering generalized coupling. J. Syst. Eng. Electron. 2023, 45, 3350–3361. [Google Scholar]
- Escobar, L.A.; Meeker, W.Q. A review of accelerated test models. IMS 2006, 21, 552–577. [Google Scholar] [CrossRef]
- Wang, M.; Wang, S. Reliability analysis of ball screw based on double-stress accelerated life testing. J. Beijing Univ. Chem. Technol. 2022, 48, 703–709. [Google Scholar]
- Kang, Q.; Li, Y. Reliability estimation of thin film platinum resistance MEMS thermal mass flowmeter by step-stress accelerated life testing. Microelectron. Reliab. 2023, 147, 115026. [Google Scholar] [CrossRef]
- Amleh, M.A.; Raqab, M.Z. Inference in simple step-stress accelerated life tests for Type-II censoring Lomax data. JSTA 2021, 20, 364–379. [Google Scholar] [CrossRef]
- Abd El-Raheem, M.A.M.; Abu-Moussa, M.H. Accelerated Life Tests under Pareto-IV Lifetime Distribution: Real Data Application and Simulation Study. Mathematics 2020, 8, 1786. [Google Scholar] [CrossRef]
- Indmeskine, F.E.; Saintis, L.; Kobi, A. Review on accelerated life testing plan to develop predictive reliability models for electronic components based on design-of-experiments. Qual. Reliab. 2023, 39, 2594–2607. [Google Scholar] [CrossRef]
- Wang, H.; Teng, K. Design an optimal accelerated-stress reliability acceptance test plan based on acceleration factor. IEEE Trans. Reliab. 2018, 67, 1008–1018. [Google Scholar] [CrossRef]
- Nassar, M.; Dobbah, S.A. Inference on Constant Stress Accelerated Life Tests Under Exponentiated Exponential Distribution. EJASA 2023, 16, 234–256. [Google Scholar]
- Lee, I.C.; Hong, Y. Sequential Bayesian Design for Accelerated Life Tests. Technometrics 2018, 60, 472–483. [Google Scholar] [CrossRef]
- Alotaibi, R.; Almetwally, E.M. Optimal test plan of step stress partially accelerated life testing for alpha power inverse Weibull distribution under adaptive progressive hybrid censored data and different loss functions. Mathematics 2022, 10, 4652. [Google Scholar] [CrossRef]
- Wang, F.-K.; Chu, T.-P. Lifetime predictions of LED-based light bars by accelerated degradation test. Microelectron. Reliab. 2012, 52, 1332–1336. [Google Scholar] [CrossRef]
- Levada, S.; Meneghini, M.; Meneghesso, G. Analysis of dc current accelerated life tests of GaN LEDs using a weibull-based statistical model. IEEE Trans. Device Mater. Reliab. 2005, 5, 688–693. [Google Scholar] [CrossRef]
- Lu, G.; Yang, S.; Huang, Y. Analysis on failure modes and mechanisms of LED. In Proceedings of the 8th International Conference on Reliability, Maintainability and Safety, Chengdu, China, 20–24 July 2009; pp. 1237–1241. [Google Scholar]
- Meneghesso, G.; Levada, S.; Zanoni, E.; Podda, S.; Mura, G.; Vanzi, M.; Cavallini, A.; Castaldini, A.; Du, S.; Eliashevich, I. Failuremodes and mechanisms of DC-aged GaN LEDs. Phys. Status Solidi A 2002, 194, 389–392. [Google Scholar] [CrossRef]
- Khan, A.; Hwang, S.; Lowder, J. Reliability issues in AlGaN based deep ultravioletlight emitting diodes. In Proceedings of the IEEE 47th Annual International Reliability Physics Symposium, Montreal, QC, Canada, 26–30 April 2009; pp. 89–93. [Google Scholar]
- Zhang, J.-M.; Zou, D.-S.; Xu, C.; Zhu, Y.-X.; Liang, T.; Da, X.-L.; Shen, G.-D. High power and high reliability GaN/ InGaN flip-chip light-emitting diodes. Chin. Phys. 2007, 16, 1135–1139. [Google Scholar]
- IES TM-28-14; Projecting Long-Term Luminous Flux Maintenance of LED Lamps and Luminaires. IES-USA: New York, NY, USA, 2014.
- Yang, Y.-H.; Su, Y.-F.; Chiang, K.-N. Acceleration factor analysis of aging test on gallium nitride (GaN)-based high power light-emitting diode (LED). In Proceedings of the Intersociety Conference on Thermal and Thermomechanical Phenomena in Electronic Systems (ITherm), Orlando, FL, USA, 27–30 May 2014; pp. 178–181. [Google Scholar]










| Item | Value |
|---|---|
| Burden: voltage circuit | 3.3 V |
| Burden: current circuit | 10 mA (100 mA) |
| Rated temperature | −20–65 °C |
| Rated humidity | 40–75% |
| No. | Temperature (°C) | Humidity (%) | Current (mA) |
|---|---|---|---|
| S1 | 85 | 45 | 20 |
| S2 | 85 | 85 | 220 |
| S3 | 85 | 85 | 20 |
| S4 | 150 | 45 | 300 |
| S5 | 95 | 45 | 525 |
| Model | |||||||||
|---|---|---|---|---|---|---|---|---|---|
| Not considered | 9.9199 | 1.8379 | −0.2545 | 1.9083 | 3.2142 | ||||
| Wet electrical coupling is not considered | 9.7209 | 1.4733 | 2.3526 | 0.4251 | −4.5543 | 2.5625 | 3.2474 | ||
| Fully coupled | 8.3427 | −1.909 | −0.0742 | 1.4999 | 1.2987 | 2.6893 | −2.5929 | 1.3838 | 3.8845 |
Disclaimer/Publisher’s Note: The statements, opinions and data contained in all publications are solely those of the individual author(s) and contributor(s) and not of MDPI and/or the editor(s). MDPI and/or the editor(s) disclaim responsibility for any injury to people or property resulting from any ideas, methods, instructions or products referred to in the content. |
© 2024 by the authors. Licensee MDPI, Basel, Switzerland. This article is an open access article distributed under the terms and conditions of the Creative Commons Attribution (CC BY) license (https://creativecommons.org/licenses/by/4.0/).
Share and Cite
Dong, Y.; Zhou, Z.; Liu, K.; Yang, X. Multi-Stress Accelerated Degradation Testing Reliability Assessment of LED Lamp Beads Considering Generalized Coupling. Appl. Sci. 2024, 14, 8767. https://doi.org/10.3390/app14198767
Dong Y, Zhou Z, Liu K, Yang X. Multi-Stress Accelerated Degradation Testing Reliability Assessment of LED Lamp Beads Considering Generalized Coupling. Applied Sciences. 2024; 14(19):8767. https://doi.org/10.3390/app14198767
Chicago/Turabian StyleDong, Yinglong, Zhen Zhou, Kaixin Liu, and Xu Yang. 2024. "Multi-Stress Accelerated Degradation Testing Reliability Assessment of LED Lamp Beads Considering Generalized Coupling" Applied Sciences 14, no. 19: 8767. https://doi.org/10.3390/app14198767
APA StyleDong, Y., Zhou, Z., Liu, K., & Yang, X. (2024). Multi-Stress Accelerated Degradation Testing Reliability Assessment of LED Lamp Beads Considering Generalized Coupling. Applied Sciences, 14(19), 8767. https://doi.org/10.3390/app14198767
