Extreme Value Index Estimation for Pareto-Type Tails under Random Censorship and via Generalized Means
Abstract
1. Introduction and Preliminaries
- (a)
- The probability of exceedance for a high threshold , defined as .
- (b)
- A high quantile corresponding to a probability , where q is small, which is located at or beyond the range of the observed data. It is given bywith representing the generalized inverse function of F.
- (c)
- The right endpoint of the underlying distribution F, denoted .
2. The Extreme Value Index (EVI)
First- and Second-Order Conditions in EVT
3. EVI-Estimation for Complete Samples
3.1. A Few Comments on Reduced-Bias (RB) EVI-Estimation
3.2. Semi-Parametric Asymptotic Behaviour of EVI-Estimators
4. EVI-Estimation under Random Censorship
A Few Comments on Random Censoring
- (i)
- Given the observed sample and , compute, for , the observed values of , in (17).
- (ii)
- Obtain , the minimum value of j, a non-negative integer, such that the rounded values, to j decimal places, of the estimates in (i) are distinct. Define , , the rounded values of to j decimal places;
- (iii)
- Consider the sets of k values associated with equal consecutive values of , obtained in (ii). Set and the minimum and maximum values, respectively, of the set with the largest range. The largest run size is then .
- (iv)
- Consider all those estimates, , , now with two extra decimal places, i.e., compute . Obtain the mode of those estimates and denote by the set of k-values associated with this mode.
- (v)
- Take as the maximum value of .
- (vi)
- Compute .
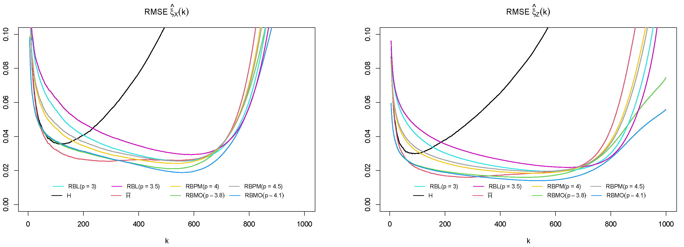
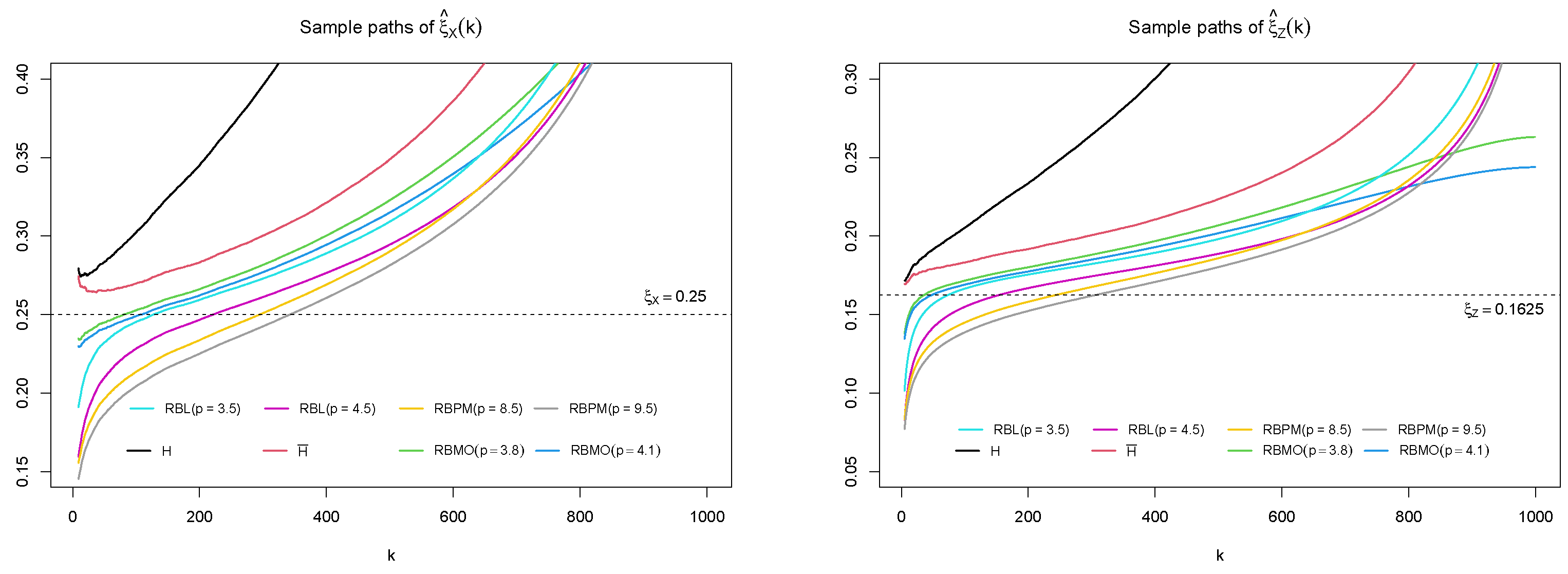
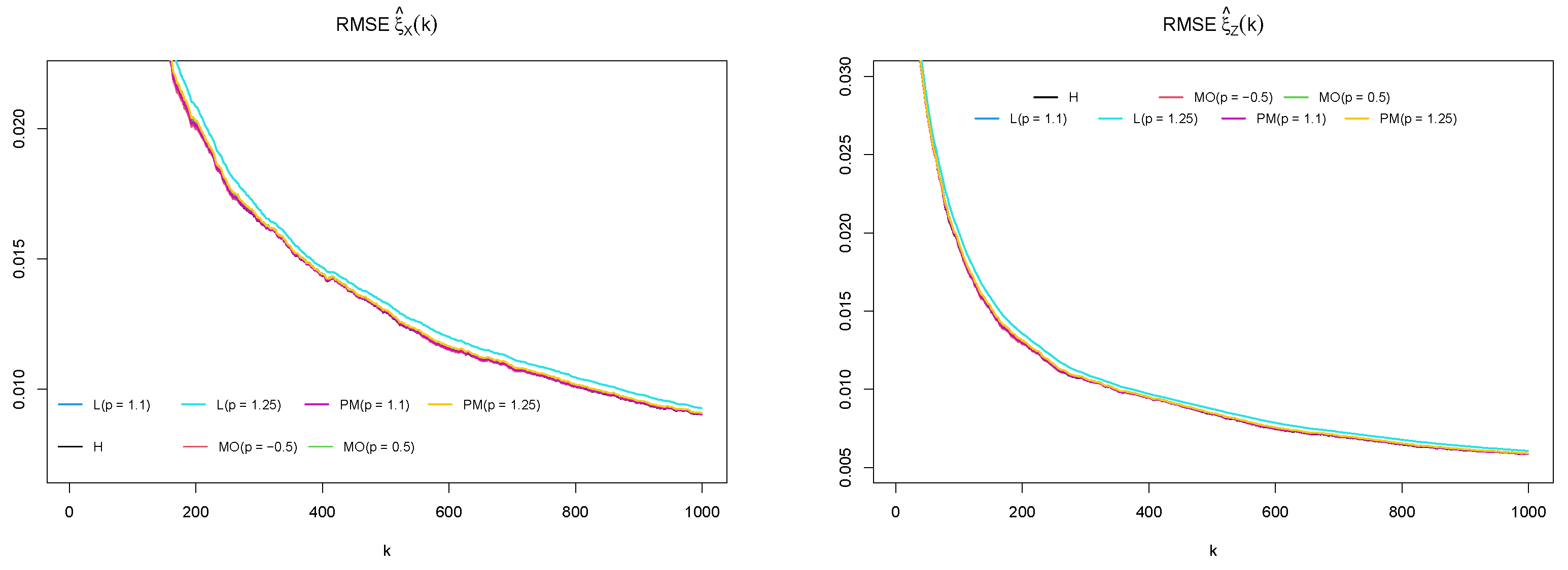
5. Monte-Carlo Simulation
- X and Y both come from Fréchet models (the CDF of a Fréchet model is , , ( and )).
- X and Y both come from Burr models (the CDF of a Burr model is , , , and ).
- X and Y both come from GP models (the CDF of a GP model is given in Example 2 ( and )).
- For an appropriate choice of p, the GM estimators of outperform the Hill EVI-estimator in terms of bias for the Fréchet, Burr and GP models under study.
- Once again, for an adequate choice of p, the GM estimators of outperform the MVRB EVI-estimator in terms of bias for a wide range of k-values, which depend on both the estimator and the value of the tuning parameter p, for the Fréchet, Burr and GP models under study.
- For the Fréchet and Burr models, all RB GM estimators of exhibit an even better solution, again for adequate choices of p.
- For the GP models under study, the use of the classic GM estimators is more efficient than the use of its RB versions.
- It is also worth noting that for the GP models under study, all GM estimators exhibit similar behaviour to the Hill estimator.
6. Lifetime Data Analysis (Cancer of the Tongue)
software [37]. Data are available through the link, https://www.rdocumentation.org/packages/KMsurv/versions/0.1-5/topics/tongue (accessed on 21 April 2024)).7. Overall Comments and Future Work
Author Contributions
Funding
Institutional Review Board Statement
Informed Consent Statement
Data Availability Statement
Conflicts of Interest
Abbreviations
| CDF | cumulative distribution function |
| EVI | extreme value index |
| EVT | extreme value theory |
| GEV | general extreme value |
| GM | generalized means |
| GP | generalized Pareto |
| H | Hill |
| L | Lehmer |
| ML | maximum likelihood |
| MO | mean of order |
| MSE | mean squared error |
| MVRB | minimum-variance reduced-bias |
| OS | order statistics |
| PM | power mean |
| RB | reduced-bias |
| RMSE | root-mean-squared error |
| RV | random variable |
Appendix A. Extended Literature Review
Appendix B. Additional GM EVI-Estimators for Complete Samples
References
- Bingham, N.H.; Goldie, C.M.; Teugels, J.L. Regular Variation; Cambridge University Press: Cambridge, MA, USA, 1987. [Google Scholar] [CrossRef]
- Reiss, R.-D.; Thomas, M. Statistical Analysis of Extreme Values with Applications to Insurance, Finance, Hydrology and Other Fields, 3rd ed.; Birkhaüser: Berlin, Germany, 2007. [Google Scholar]
- Beirlant, J.; Guillou, A.; Dierckx, G.; Fils-Viletard, A. Estimation of the extreme value index and extreme quantiles under random censoring. Extremes 2007, 10, 151–174. [Google Scholar] [CrossRef]
- Einmahl, J.H.J.; Fils-Villetard, A.; Guillou, A. Statistics of extremes under random censoring. Bernoulli 2008, 14, 207–227. [Google Scholar] [CrossRef]
- Beirlant, J.; Guillou, A.; Toulemonde, G. Peaks-Over-Threshold modeling under random censoring. Commun. Stat.—Theory Methods 2010, 39, 1158–1179. [Google Scholar] [CrossRef]
- Gomes, M.I.; Neves, M.M. A note on statistics of extremes for censoring schemes on a heavy right tail. In Proceedings of the ITI 2010, 32nd International Conference on Information Technology Interfaces, Cavtat, Croatia, 21–24 June 2010; Luzar-Siffler, V., Jarec, I., Bekic, Z., Eds.; SRCE University Computing Centre Editions. IEEE: Cavtat, Croatia, 2010; pp. 539–544. [Google Scholar]
- Gomes, M.I.; Neves, M.M. Estimation of the extreme value index for randomly censored data. Biomet. Lett. 2011, 48, 1–22. [Google Scholar]
- Gomes, M.I.; Martins, M.J. Generalizations of the Hill estimator—Asymptotic versus finite sample behaviour. J. Stat. Plan. Inference 2001, 93, 161–180. [Google Scholar] [CrossRef]
- Brilhante, M.F.; Gomes, M.I.; Pestana, D. A simple generalization of the Hill estimator. Comput. Stat. Data Anal. 2013, 57, 518–535. [Google Scholar] [CrossRef]
- Penalva, H.; Gomes, M.I.; Caeiro, F.; Neves, M.M. A couple of non-reduced bias generalized means in extreme value theory: An asymptotic comparison. Rev.—Stat. J. 2020, 18, 281–298. [Google Scholar] [CrossRef]
- Hill, B.M. A simple general approach to inference about the tail of a distribution. Ann. Stat. 1975, 3, 1163–1174. [Google Scholar] [CrossRef]
- Caeiro, F.; Gomes, M.I.; Pestana, D. Direct reduction of bias of the classical Hill estimator. Rev.—Stat. J. 2005, 3, 113–136. [Google Scholar] [CrossRef]
- Paulauskas, V.; Vaičiulis, M. A class of new tail index estimators. Ann. Inst. Stat. Math. 2017, 69, 461–487. [Google Scholar] [CrossRef]
- Fedotenkov, I. A Review of More than One Hundred Pareto-Tail Index Estimators. Statistica 2020, 80, 245–299. [Google Scholar] [CrossRef]
- von Mises, R. La distribution la plus grande de n valeurs. Rev. Math. Union Interbalcanique 1936, 1, 141–160, Erratum in Sel. Pap. Richard von Mises Am. Math. Soc. 1964, 2, 271–294.. [Google Scholar]
- Jenkinson, A.F. The frequency distribution of the annual maximum (or minimum) values of meteorological elements. Q. J. R. Meteorol. Soc. 1955, 81, 158–171. [Google Scholar] [CrossRef]
- Fréchet, M. Sur la loi de probabilité de l’écart maximum. Ann. Soc. Pol. Math. 1927, 6, 93–116. [Google Scholar]
- Fisher, R.A.; Tippett, L.H.C. Limiting forms of the frequency of the largest or smallest member of a sample. Proc. Camb. Philos. Soc. 1928, 24, 180–190. [Google Scholar] [CrossRef]
- Gnedenko, B.V. Sur la distribution limite du terme maximum d’une série aléatoire. Ann. Math. 1943, 44, 423–453. [Google Scholar] [CrossRef]
- de Haan, L. On Regular Variation and Its Application to the Weak Convergence of Sample Extremes; Mathematical Centre Tract 32: Amsterdam, The Netherlands, 1970. [Google Scholar]
- de Haan, L. Slow variation and characterization of domains of attraction. In Statistical Extremes and Applications; de Oliveira, T., Ed.; D. Reidel: Dordrecht, The Netherlands, 1984; pp. 31–48. [Google Scholar] [CrossRef]
- Geluk, J.; de Haan, L. Regular Variation, Extensions and Tauberian Theorems; CWI Tract 40; Center for Mathematics and Computer Science: Amsterdam, The Netherlands, 1987. [Google Scholar]
- de Haan, L.; Stadtmueller, U. Generalized regular variation of second order. J. Aust. Math. Soc. Ser. A 1996, 61, 381–395. [Google Scholar] [CrossRef]
- Hall, P.; Welsh, A.W. Adaptive estimates of parameters of regular variation. Ann. Stat. 1985, 13, 331–341. [Google Scholar] [CrossRef]
- Gomes, M.I.; Martins, M.J. Efficient alternatives to the Hill estimator. In Extreme Values and Additive Laws; Gomes, M.I., Pestana, D., Canto e Castro, L., Fraga Alves, M.I., Martins, M.J., Eds.; CEAUL Editions: Lisboa, Portugal, 1999; pp. 40–43. [Google Scholar]
- Segers, J. Residual estimators. J. Stat. Plan. Inference 2001, 98, 15–27. [Google Scholar] [CrossRef]
- Gomes, M.I.; Pestana, D. A sturdy reduced-bias extreme quantile (VaR) estimator. J. Am. Stat. Assoc. 2007, 102, 280–292. [Google Scholar] [CrossRef]
- Caeiro, F.; Gomes, M.I.; Beirlant, J.; de Wet, T. Mean-of-order-p reduced-bias extreme value index estimation under a third-order framework. Extremes 2016, 19, 561–589. [Google Scholar] [CrossRef]
- Caeiro, F.; Gomes, M.I. Threshold selection in extreme value analysis. In Extreme Value Modeling and Risk Analysis: Methods and Applications; Dey, D., Yan, J., Eds.; Chapman-Hall/CRC: Boca Raton, FL, USA, 2016; pp. 69–87. [Google Scholar]
- de Haan, L.; Peng, L. Comparison of extreme value index estimators. Stat. Neerl. 1998, 52, 60–70. [Google Scholar] [CrossRef]
- Balkema, A.A.; de Haan, L. Residual life time at great age. Ann. Probab. 1974, 2, 792–804. [Google Scholar] [CrossRef]
- Pickands, J., III. Statistical inference using extreme order statistics. Ann. Stat. 1975, 3, 119–131. [Google Scholar]
- Smith, R.L. Estimating tails of probability distributions. Ann. Stat. 1987, 15, 1174–1207. [Google Scholar] [CrossRef]
- Davison, A.C.; Smith, R.L. Models for exceedances over high thresholds. J. R. Stat. Soc. Ser. B—Stat. Methodol. 1990, 52, 393–442. [Google Scholar] [CrossRef]
- Sickle-Santanello, B.J.; Farrar, W.B.; DeCenzo, J.F.; Keyhani-Rofagha, S.; Klein, J.; Pearl, D.; Laufman, H.; O’Toole, R.V. Technical and statistical improvements for flow cytometric DNA analysis of paraffin-embedded tissue. Cytometry 1988, 9, 594–5999. [Google Scholar] [CrossRef] [PubMed]
- Klein, J.P.; Moeschberger, M.L. Datasets for Survival Analysis—Techniques for Censored and Truncated Data, 2nd ed.; Springer: Berlin, Germany, 2005. [Google Scholar]
- Original by Klein, Moeschberger and Modifications by Jun Yan. KMsurv: Data Sets from Klein and Moeschberger (1997), Survival Analysis, 2012, R Package Version 0.1-5. Available online: https://CRAN.R-project.org/package=KMsurv (accessed on 21 April 2024).
- Gomes, M.I.; Henriques-Rodrigues, L.; Pestana, D. Non-regular frameworks and the mean-of-order-p extreme value index estimation. J. Stat. Theory Pract. 2022, 16, 37. [Google Scholar] [CrossRef]
- Gomes, M.I.; Caeiro, F.; Henriques-Rodrigues, L.; Manjunath, B.G. Bootstrap methods in statistics of extremes. In Extreme Events in Finance: A Handbook of Extreme Value Theory and its Applications; Longin, F., Ed.; Handbook Series in Financial Engineering and Econometrics (Ruey Tsay Adv. Ed.); John Wiley & Sons: Hoboken, NJ, USA, 2016; Chapter 6; pp. 117–138. [Google Scholar] [CrossRef]
- Gumbel, E.J. Statistics of Extremes; Columbia University Press: New York, NY, USA, 1958. [Google Scholar]
- Castillo, E. Extreme Value Theory in Engineering; Academic Press: Cambridge, MA, USA; Elsevier: New York, NY, USA, 1988. [Google Scholar] [CrossRef]
- Beirlant, J.; Teugels, J.L.; Vynckier, P. Practical Analysis of Extremes; Leuven University Press: Leuven, Belgium, 1996. [Google Scholar]
- Embrechts, P.; Klüppelberg, C.; Mikosch, T. Modelling Extremal Events for Insurance and Finance; Springer: Berlin, Germany, 1997. [Google Scholar]
- Tiago de Oliveira, J. Statistical Analysis of Extremes; Pendor: Binghamton, NY, USA, 1997. [Google Scholar]
- Kotz, S.; Nadarajah, S. Extreme Value Distributions—Theory and Applications; Imperial College Press: London, UK, 2000. [Google Scholar]
- Coles, S. An Introduction to Statistical Modeling of Extreme Values; Springer: London, UK, 2001. [Google Scholar] [CrossRef]
- Beirlant, J.; Goegebeur, Y.; Segers, J.; Teugels, J. Statistics of Extremes. Theory and Applications; Wiley: Hoboken, NJ, USA, 2004. [Google Scholar] [CrossRef]
- Castillo, E.; Hadi, A.S.; Balakrishnan, N.; Sarabia, J.M. Extreme Value and Related Models with Applications in Engineering and Science; Wiley: Hoboken, NJ, USA, 2004. [Google Scholar]
- de Haan, L.; Ferreira, A. Extreme Value Theory: An Introduction; Springer Science+Business Media, LLC: New York, NY, USA, 2006. [Google Scholar]
- Resnick, S. Heavy-Tail Phenomena: Probabilistic and Statistical Modeling; Springer: New York, NY, USA, 2007. [Google Scholar]
- Markovich, N. Nonparametric Analysis of Univariate Heavy-Tailed Data: Research and Practice; Wiley: Hoboken, NJ, USA, 2007. [Google Scholar]
- Gomes, M.I.; Fraga-Alves, M.I.; Neves, C. Análise de Valores Extremos: Uma Introdução; SPE and INE Editions: Richardson, TX, USA, 2013. [Google Scholar]
- Balakrishnan, N.; Cohen, A.C. Order Statistics & Inference; Statistical Modeling and Decision Science; Academic Press: Cambridge, MA, USA, 2014. [Google Scholar]
- Ndao, P.; Diop, A.; Dupuy, J.-F. Nonparametric estimation of the conditional tail index and extreme quantiles under random censoring. Comput. Stat. Data Anal. 2014, 79, 63–79. [Google Scholar] [CrossRef]
- Ndao, P.; Diop, A.; Dupuy, J.F. Nonparametric estimation of the conditional extreme value index with random covariates and censoring. J. Stat. Plan. Inference 2016, 168, 20–37. [Google Scholar] [CrossRef]
- Worms, J.; Worms, R. New estimators of the extreme value index under random right censoring, for heavy-tailed distributions. Extremes 2014, 17, 337–358. [Google Scholar] [CrossRef]
- Worms, J.; Worms, R. A Lynden-Bell integral estimator for extremes of randomly truncated data. Stat. Prob. Lett. 2016, 109, 106–117. [Google Scholar] [CrossRef][Green Version]
- Worms, J.; Worms, R. (2018). Extreme value statistics for censored data with heavy tails under competing risks. Metrika 2018, 81, 849–889. [Google Scholar] [CrossRef]
- Brahimi, B.; Meraghni, D.; Necir, A. Gaussian approximation to the extreme value index estimator of a heavy-tailed distribution under random censoring. Math. Methods Stat. 2015, 24, 266–279. [Google Scholar] [CrossRef]
- Benchaira, S.; Meraghni, D.; Necir, A. Tail product-limit process for truncated data with application to extreme value index estimation. Extremes 2016, 19, 219–251. [Google Scholar] [CrossRef][Green Version]
- Stupfler, G. Estimating the conditional extreme-value index under random right-censoring. J. Multivar. Anal. 2016, 144, 1–24. [Google Scholar] [CrossRef]
- Stupfler, G. On the study of extremes with dependent random right-censoring. Extremes 2019, 22, 97–129. [Google Scholar] [CrossRef]
- Beirlant, J.; Worms, J.; Worms, R. Estimation of the extreme value index in a censorship framework: Asymptotic and finite sample behavior. J. Stat. Plan. Inference 2019, 202, 31–56. [Google Scholar] [CrossRef]
- Goegebeur, Y.; Guillou, A.; Qin, J. Bias-corrected estimation for conditional Pareto-type distributions with random right censoring. Extremes 2019, 22, 459–498. [Google Scholar] [CrossRef]
- Haouas, N.; Necir, A.; Brahimi, B. Estimating the second-order parameter of regular variation and bias reduction in tail index estimation under random truncation. J. Stat. Theory Pract. 2019, 13, 7. [Google Scholar] [CrossRef]
- Bladt, M.; Albrecher, H.; Beirlant, J. Trimmed extreme value estimators for censored heavy-tailed data. arXiv 2021, arXiv:2105.05523v1. [Google Scholar] [CrossRef]
- Escobar-Bach, M.; Van Keilegom, I. Nonparametric estimation of conditional cure models for heavy-tailed distributions and under insufficient follow-up. Comput. Stat. Data Anal. 2023, 183, 107728. [Google Scholar] [CrossRef]
- Bladt, M.; Rodionov, I. Censored Extreme Value Estimation. arXiv, 2024; arXiv:2312.10499. [Google Scholar]
- Diop, A.; Deme, E.H. A bias-reduced estimation for reinsurance risk premiums of heavy-tailed loss distributions under random truncation. Far East J. Theor. Stat. 2024, 68, 199–226. [Google Scholar] [CrossRef]
- Mann, N.R.; Schafer, R.E.; Singpurwalla, N.D. Methods for Statistical Analysis of Reliability and Life Data; Wiley: New York, NY, USA, 1975; ISBN 047156737X. [Google Scholar]
- Maller, R.A.; Zhou, X. Survival Analysis with Long-Term Survivors; John Wiley & Sons: Hoboken, NJ, USA, 1996. [Google Scholar]
- Bagdonavicius, V.; Kruopis, J.; Nikulin, M.S. Non-Parametric Tests for Censored Data; ISTE/WILEY: London, UK, 2011. [Google Scholar]
- Prescott, P.; Walden, A.T. Maximum likelihood estimation of the parameters of the generalized extreme-value distribution. Biometrika 1980, 67, 723–724. [Google Scholar] [CrossRef]
- Prescott, P.; Walden, A.T. Maximum likelihood estimation of the parameters of the three-parameter generalized extreme-value distribution from censored samples. J. Stat. Comput. Simul. 1983, 16, 241–250. [Google Scholar] [CrossRef]
- Hosking, J.R.M. Algorithm AS 215: Maximum likelihood estimation of the parameters of the generalized extreme value distribution. J. R. Stat. Soc. Ser. C Appl. Stat. 1985, 34, 301–310. [Google Scholar] [CrossRef]
- Smith, R.L. Maximum likelihood estimation in a class of nonregular cases. Biometrika 1985, 72, 67–90. [Google Scholar] [CrossRef]
- Macleod, A.J. A remark on the algorithm AS215: Maximum likelihood estimation of the parameters of the generalized extreme value distribution. Appl. Stat. 1989, 38, 198–199. [Google Scholar] [CrossRef]
- Paulauskas, V.; Vaičiulis, M. On an improvement of Hill and some other estimators. Lith. Math. J. 2013, 53, 336–355. [Google Scholar] [CrossRef]
- Beran, J.; Schell, D.; Stehlík, M. The harmonic moment tail index estimator: Asymptotic distribution and robustness. Ann. Inst. Stat. Math. 2014, 66, 193–220. [Google Scholar] [CrossRef]
- Henriques-Rodrigues, L.; Caeiro, F.; Gomes, M.I. A New Class of Reduced Bias Generalized Hill Estimators. Mathematics 2024, 12, 2866. [Google Scholar] [CrossRef]
- Gomes, M.I.; Brilhante, M.F.; Pestana, D. New reduced-bias estimators of a positive extreme value index. Commun. Stat.—Simul. Comput. 2016, 45, 833–862. [Google Scholar] [CrossRef]
- Gomes, M.I.; Penalva, H.; Caeiro, F.; Neves, M.M. Non-reduced versus reduced-bias estimators of the extreme value index-efficiency and robustness. In Proceedings of the COMPSTAT 2016—22nd International Conference on Computational Statistics, Oviedo, Spain, 23–26 August 2016; Colubi, A., Blanco, A., Gatu, C., Eds.; The International Statistical Institute/International Association for Statistical Computing: Den Hague, The Netherlands, 2016; pp. 279–290. [Google Scholar]













| Estimator | H | RBMO | RBMO | RBL | RBL | RBPM | RBPM | |
|---|---|---|---|---|---|---|---|---|
| p | ||||||||
| 33 | 43 | 42 | 28 | 30 | 39 | 32 | 29 | |
| 0.4292 | 0.2947 | 0.3061 | 0.2818 | 0.2796 | 0.2865 | 0.2731 | 0.2535 |
Disclaimer/Publisher’s Note: The statements, opinions and data contained in all publications are solely those of the individual author(s) and contributor(s) and not of MDPI and/or the editor(s). MDPI and/or the editor(s) disclaim responsibility for any injury to people or property resulting from any ideas, methods, instructions or products referred to in the content. |
© 2024 by the authors. Licensee MDPI, Basel, Switzerland. This article is an open access article distributed under the terms and conditions of the Creative Commons Attribution (CC BY) license (https://creativecommons.org/licenses/by/4.0/).
Share and Cite
Gomes, M.I.; Henriques-Rodrigues, L.; Neves, M.M.; Penalva, H. Extreme Value Index Estimation for Pareto-Type Tails under Random Censorship and via Generalized Means. Appl. Sci. 2024, 14, 8671. https://doi.org/10.3390/app14198671
Gomes MI, Henriques-Rodrigues L, Neves MM, Penalva H. Extreme Value Index Estimation for Pareto-Type Tails under Random Censorship and via Generalized Means. Applied Sciences. 2024; 14(19):8671. https://doi.org/10.3390/app14198671
Chicago/Turabian StyleGomes, M. Ivette, Lígia Henriques-Rodrigues, M. Manuela Neves, and Helena Penalva. 2024. "Extreme Value Index Estimation for Pareto-Type Tails under Random Censorship and via Generalized Means" Applied Sciences 14, no. 19: 8671. https://doi.org/10.3390/app14198671
APA StyleGomes, M. I., Henriques-Rodrigues, L., Neves, M. M., & Penalva, H. (2024). Extreme Value Index Estimation for Pareto-Type Tails under Random Censorship and via Generalized Means. Applied Sciences, 14(19), 8671. https://doi.org/10.3390/app14198671

