Beyond Traditional Metrics: Exploring the Potential of Hybrid Algorithms for Drought Characterization and Prediction in the Tromso Region, Norway
Abstract
1. Introduction
2. Methodology
2.1. Study Region and Data
2.2. SPI (Standardized Precipitation Index)
2.3. ANFIS-Adaptive Neuro-Fuzzy Inference System
2.4. SVM (Support Vector Machine)
2.5. Optimization Methods for Hybrid Models
2.5.1. PSO (Particle Swarm Optimization)
2.5.2. GA (Genetic Algorithm)
- (1)
- Crossover (stochastic): part of two solutions “is swapped” to produce new ones.
- (2)
- Mutation (stochastic): part of a new solution “is flipped” to generate a new one and prevent it from converging into local optima.
- (3)
- Selection: the new solutions are evaluated according to the objective function, and the best candidates are selected.
2.5.3. GWO (Grey Wolf Optimization)
2.5.4. ABC (Artificial Bee Colony)
2.6. Model Performance Assessment
2.7. Model Structure
3. Results and Discussion
- While the SPI is a widely used and well established drought index, exploring other drought indices could provide additional perspectives.
- Expanding the meteorological network in the region by incorporating data from additional stations, if feasible, would enhance the spatial resolution and accuracy of drought modeling.
- Incorporating additional meteorological variables, such as evaporation and temperature, along with data from nearby stations, could improve the model’s predictive capabilities.
4. Conclusions
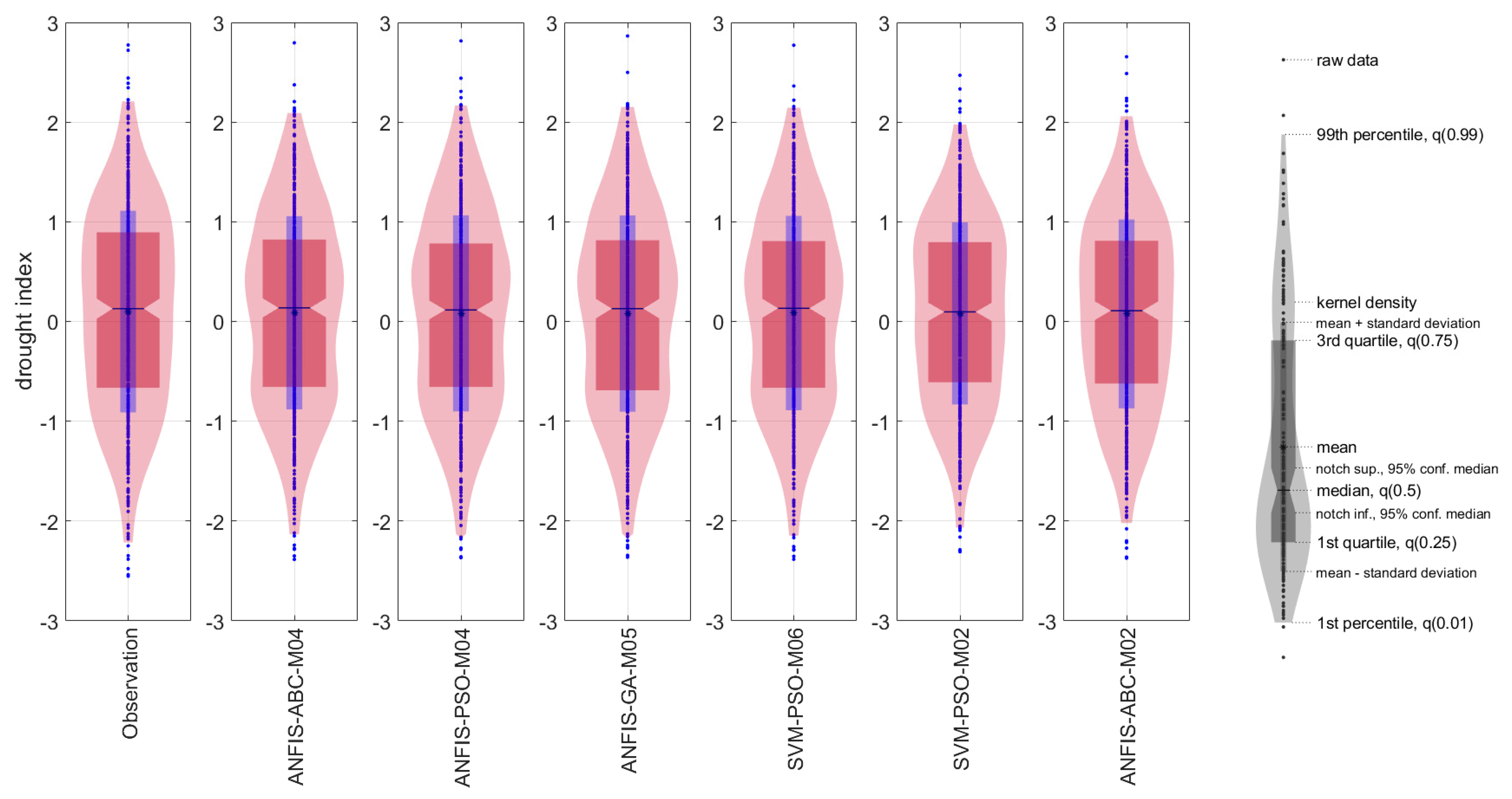
- ANFIS-ABC-M04 emerged as the most successful model in this study. This model and its corresponding input structures are recommended for future drought prediction modeling studies in this region. Given its strong performance, after ANFIS-ABC-M04 model, SVM-PSO-M06 should be another model that can be preferred as a viable alternative.
- Models using SPI12 data in their input structure consistently outperformed those incorporating SPI3 data.
- The input structures of M01, M02, and M03 were created using SPI12 data lagged up to 2, 3, and 4 months, respectively. These models demonstrated a lower performance compared to the M04, M05, and M06 models. As a result, incorporating SPI12 lagged by 11, 12, and 13 months, in addition to those shorter lags, positively impacted the model performance, similar to SPI3 data.
- All algorithms, except for ANFIS-GWO, produced comparable results. The ANFIS-GWO model yielded significantly different outcomes, indicating potential limitations of this algorithm under the specific conditions of the selected region.
- Among the models and algorithms using SPI3 data in their input structure, the ANFIS-GA algorithm with the M09 model/input structure was determined as the most effective.
- Drought analyses displayed higher extremely dry values for SPI3 compared to SPI12.
- The ridge chart visualization approach yielded results that did not match the statistical findings for this region.
- Graphical evaluation yielded the most effective results, with Taylor and Violin diagrams. These diagrams are recommended for use in future drought modeling studies based on the superior insights they provided compared to the others.
- The basic parameters in creating the Taylor diagram are the RMSE, standard deviation, and correlation coefficient. Accordingly, most of the patterns detected in this diagram overlap. NSE was used in the statistical evaluation in this study. This shows that it is an effective parameter used to distinguish performance between models.
- The utilization of the ABC optimization approach in drought prediction models is recommended due to its superior effectiveness compared to alternative optimization methods. It should be paired with different ML and DL algorithms and employed in future studies.
- Scatter diagrams should be used to evaluate the model performance in prediction models, as they provide precise information into whether the peak values can be predicted accurately or not.
Author Contributions
Funding
Institutional Review Board Statement
Informed Consent Statement
Data Availability Statement
Conflicts of Interest
References
- Ionita, M.; Nagavciuc, V.; Scholz, P.; Dima, M. Long-term drought intensification over Europe driven by the weakening trend of the Atlantic Meridional Overturning Circulation. J. Hydrol. Reg. Stud. 2022, 42, 101176. [Google Scholar] [CrossRef]
- Essa, Y.H.; Hirschi, M.; Thiery, W.; El-Kenawy, A.M.; Yang, C. Drought characteristics in Mediterranean under future climate change. Npj Clim. Atmos. Sci. 2023, 6, 133. [Google Scholar] [CrossRef]
- Cavus, Y.; Stahl, K.; Aksoy, H. Drought intensity–duration–frequency curves based on deficit in precipitation and streamflow for water resources management. Hydrol. Earth Syst. Sci. 2023, 27, 3427–3445. [Google Scholar] [CrossRef]
- Gevaert, A.I.; Veldkamp, T.I.; Ward, P.J. The effect of climate type on timescales of drought propagation in an ensemble of global hydrological models. Hydrol. Earth Syst. Sci. 2018, 22, 4649–4665. [Google Scholar] [CrossRef]
- Wang, Q.; Zhang, R.; Qi, J.; Zeng, J.; Wu, J.; Shui, W.; Wu, X.; Li, J. An improved daily standardized precipitation index dataset for mainland China from 1961 to 2018. Sci. Data 2022, 9, 124. [Google Scholar] [CrossRef] [PubMed]
- United Nations. The Sustainable Development Goals Report 2022; Cambridge University Press: Cambridge, UK, 2022.
- Balting, D.F.; AghaKouchak, A.; Lohmann, G.; Ionita, M. Northern Hemisphere drought risk in a warming climate. NPJ Clim. Atmos. Sci. 2021, 4, 61. [Google Scholar] [CrossRef]
- Collins, M.; Knutti, R.; Arblaster, J.; Dufresne, J.-L.; Fichefet, T.; Friedlingstein, P.; Gao, X.; Gutowski, W.J.; Johns, T.; Krinner, G. Long-term climate change: Projections, commitments and irreversibility. In Climate Change 2013: The Physical Science Basis; IPCC Working Group I Contribution to AR5, Ed.; Cambridge University Press: Cambridge, UK, 2013. [Google Scholar]
- Mustafa, S.M.T.; Ghag, K.; Panchanathan, A.; Dahal, B.; Ahrari, A.; Liedes, T.; Marttila, H.; Avellán, T.; Oussalah, M.; Klöve, B.; et al. Smart drainage management to limit summer drought damage in Nordic agriculture under the circular economy concept. Hydrol. Process. 2022, 36, e14560. [Google Scholar] [CrossRef]
- Bakke, S.J.; Ionita, M.; Tallaksen, L.M. The 2018 northern European hydrological drought and its drivers in a historical perspective. Hydrol. Earth Syst. Sci. 2020, 24, 5621–5653. [Google Scholar] [CrossRef]
- Rousi, E.; Fink, A.H.; Andersen, L.S.; Becker, F.N.; Beobide-Arsuaga, G.; Breil, M.; Cozzi, G.; Heinke, J.; Jach, L.; Niermann, D. The extremely hot and dry 2018 summer in central and northern Europe from a multi-faceted weather and climate perspective. Nat. Hazards Earth Syst. Sci. 2023, 23, 1699–1718. [Google Scholar] [CrossRef]
- Toreti, A.; Bavera, D.; Acosta Navarro, J.; Cammalleri, C.; de Jager, A.; Di Ciollo, C.; Hrast Essenfelder, A.; Maetens, W.; Magni, D.; Masante, D. Drought in Europe August 2022; Publications Office of the European Union: Luxembourg, 2022; p. 130493. [Google Scholar] [CrossRef]
- Spinoni, J.; Naumann, G.; Vogt, J.V. Pan-European seasonal trends and recent changes of drought frequency and severity. Glob. Planet. Chang. 2017, 148, 113–130. [Google Scholar] [CrossRef]
- Spinoni, J.; Vogt, J.V.; Naumann, G.; Barbosa, P.; Dosio, A. Will drought events become more frequent and severe in Europe? Int. J. Climatol. 2018, 38, 1718–1736. [Google Scholar] [CrossRef]
- Stagge, J.H.; Kingston, D.G.; Tallaksen, L.M.; Hannah, D.M. Observed drought indices show increasing divergence across Europe. Sci. Rep. 2017, 7, 14045. [Google Scholar] [CrossRef]
- Wilson, D.; Hisdal, H.; Lawrence, D. Has streamflow changed in the Nordic countries?—Recent trends and comparisons to hydrological projections. J. Hydrol. 2010, 394, 334–346. [Google Scholar] [CrossRef]
- Climate Change in Sápmi. An Overview and a Path forward RAPORTA; Sámiráđđi: Kárášjohka, Norga, 2023. [Google Scholar]
- Yang, X.; Huang, S. Attribution assessment of hydrological trends and extremes to climate change for Northern high latitude catchments in Norway. Clim. Chang. 2023, 176, 139. [Google Scholar] [CrossRef]
- Laudon, H.; Spence, C.; Buttle, J.; Carey, S.K.; McDonnell, J.J.; McNamara, J.P.; Soulsby, C.; Tetzlaff, D. Save northern high-latitude catchments. Nat. Geosci. 2017, 10, 324–325. [Google Scholar] [CrossRef]
- Mishra, A.K.; Singh, V.P. A review of drought concepts. J. Hydrol. 2010, 391, 202–216. [Google Scholar] [CrossRef]
- Laimighofer, J.; Laaha, G. How standard are standardized drought indices? Uncertainty components for the SPI & SPEI case. J. Hydrol. 2022, 613, 128385. [Google Scholar] [CrossRef]
- Palmer, W.C. Meteorological Drought; US Department of Commerce, Weather Bureau: Washington, DC, USA, 1965.
- McKee, T.B.; Doesken, N.J.; Kleist, J. The relationship of drought frequency and duration to time scales. In Proceedings of the 8th Conference on Applied Climatology, Anaheim, CA, USA, 17–22 January 1993; pp. 179–183. [Google Scholar]
- Vicente-Serrano, S.M.; Quiring, S.M.; Peña-Gallardo, M.; Yuan, S.; Domínguez-Castro, F. A review of environmental droughts: Increased risk under global warming? Earth Sci. Rev. 2020, 201, 102953. [Google Scholar] [CrossRef]
- Byun, H.-R.; Wilhite, D.A. Objective quantification of drought severity and duration. J. Clim. 1999, 12, 2747–2756. [Google Scholar] [CrossRef]
- Nalbantis, I. Evaluation of a hydrological drought index. Eur. Water 2008, 23, 67–77. [Google Scholar]
- Yao, C.; Shum, C.K.; Luo, Z.; Li, Q.; Lin, X.; Xu, C.; Zhang, Y.; Chen, J.; Huang, Q.; Chen, Y. An optimized hydrological drought index integrating GNSS displacement and satellite gravimetry data. J. Hydrol. 2022, 614, 128647. [Google Scholar] [CrossRef]
- Ghazi, B.; Dutt, S.; Torabi Haghighi, A. Projection of Future Meteorological Droughts in Lake Urmia Basin, Iran. Water 2023, 15, 1558. [Google Scholar] [CrossRef]
- Citakoglu, H.; Coşkun, Ö. Comparison of hybrid machine learning methods for the prediction of short-term meteorological droughts of Sakarya Meteorological Station in Turkey. Environ. Sci. Pollut. Res. 2022, 29, 75487–75511. [Google Scholar] [CrossRef]
- Rezaei, M.; Azhdary Moghaddam, M.; Azizyan, G.; Akbar Shamsipour, A. Prediction of agricultural drought index in a hot and dry climate using advanced hybrid machine learning. Ain Shams Eng. J. 2024, 15, 102686. [Google Scholar] [CrossRef]
- Siva Kumar, M.; Rajamani, D.; Abouel Nasr, E.; Balasubramanian, E.; Mohamed, H.; Astarita, A. A Hybrid Approach of ANFIS—Artificial Bee Colony Algorithm for Intelligent Modeling and Optimization of Plasma Arc Cutting on Monel™ 400 Alloy. Materials 2021, 14, 6373. [Google Scholar] [CrossRef]
- Oladipo, S.; Sun, Y. Enhanced adaptive neuro-fuzzy inference system using genetic algorithm: A case study in predicting electricity consumption. SN Appl. Sci. 2023, 5, 186. [Google Scholar] [CrossRef]
- Rahmati, O.; Panahi, M.; Kalantari, Z.; Soltani, E.; Falah, F.; Dayal, K.S.; Mohammadi, F.; Deo, R.C.; Tiefenbacher, J.; Tien Bui, D. Capability and robustness of novel hybridized models used for drought hazard modeling in southeast Queensland, Australia. Sci. Total Environ. 2020, 718, 134656. [Google Scholar] [CrossRef] [PubMed]
- Zare, M.; Koch, M. Groundwater level fluctuations simulation and prediction by ANFIS-and hybrid Wavelet-ANFIS/Fuzzy C-Means (FCM) clustering models: Application to the Miandarband plain. J. Hydro Environ. Res. 2018, 18, 63–76. [Google Scholar] [CrossRef]
- Keshtegar, B.; Kisi, O.; Ghohani Arab, H.; Zounemat-Kermani, M. Subset modeling basis ANFIS for prediction of the reference evapotranspiration. Water Resour. Manag. 2018, 32, 1101–1116. [Google Scholar] [CrossRef]
- Kikon, A.; Dodamani, B.M.; Barma, S.D.; Naganna, S.R. ANFIS-based soft computing models for forecasting effective drought index over an arid region of India. AQUA Water Infrastruct. Ecosyst. Soc. 2023, 72, 930–946. [Google Scholar] [CrossRef]
- Mirboluki, A.; Mehraein, M.; Kisi, O. Improving accuracy of neuro fuzzy and support vector regression for drought modelling using grey wolf optimization. Hydrol. Sci. J. 2022, 67, 1582–1597. [Google Scholar] [CrossRef]
- Liang, J.; Du, Y.; Xu, Y.; Xie, B.; Li, W.; Lu, Z.; Li, R.; Bal, H. Using Adaptive Chaotic Grey Wolf Optimization for the daily streamflow prediction. Expert Syst. Appl. 2024, 237, 121113. [Google Scholar] [CrossRef]
- Tuğrul, T.; Hinis, M.A. Improvement of drought forecasting by means of various machine learning algorithms and wavelet transformation. Acta Geophys. 2024. [Google Scholar] [CrossRef]
- Kamali, S.; Asghari, K. The Effect of Meteorological and Hydrological Drought on Groundwater Storage under Climate Change Scenarios. Water Resour. Manag. 2023, 37, 2925–2943. [Google Scholar] [CrossRef]
- Malik, A.; Tikhamarine, Y.; Sammen, S.S.; Abba, S.I.; Shahid, S. Prediction of meteorological drought by using hybrid support vector regression optimized with HHO versus PSO algorithms. Environ. Sci. Pollut. Res. 2021, 28, 39139–39158. [Google Scholar] [CrossRef]
- Piri, J.; Abdolahipour, M.; Keshtegar, B. Advanced Machine Learning Model for Prediction of Drought Indices using Hybrid SVR-RSM. Water Resour. Manag. 2023, 37, 683–712. [Google Scholar] [CrossRef]
- Du, J.; Liu, Y.; Yu, Y.; Yan, W. A Prediction of Precipitation Data Based on Support Vector Machine and Particle Swarm Optimization (PSO-SVM) Algorithms. Algorithms 2017, 10, 57. [Google Scholar] [CrossRef]
- AghaKouchak, A.; Chiang, F.; Huning, L.S.; Love, C.A.; Mallakpour, I.; Mazdiyasni, O.; Moftakhari, H.; Papalexiou, S.M.; Ragno, E.; Sadegh, M. Climate Extremes and Compound Hazards in a Warming World. Annu. Rev. Earth Planet. Sci. 2020, 48, 519–548. [Google Scholar] [CrossRef]
- Emamgholizadeh, S.; Bazoobandi, A.; Mohammadi, B.; Ghorbani, H.; Amel Sadeghi, M. Prediction of soil cation exchange capacity using enhanced machine learning approaches in the southern region of the Caspian Sea. Ain Shams Eng. J. 2023, 14, 101876. [Google Scholar] [CrossRef]
- Ewees, A.A.; Elaziz, M.A. Improved Adaptive Neuro-Fuzzy Inference System Using Gray Wolf Optimization: A Case Study in Predicting Biochar Yield. J. Intell. Syst. 2020, 29, 924–940. [Google Scholar] [CrossRef]
- Karaboga, D.; Kaya, E. Training ANFIS by Using an Adaptive and Hybrid Artificial Bee Colony Algorithm (aABC) for the Identification of Nonlinear Static Systems. Arab. J. Sci. Eng. 2019, 44, 3531–3547. [Google Scholar] [CrossRef]
- Saha, S.; Gayen, A.; Gogoi, P.; Kundu, B.; Paul, G.C.; Pradhan, B. Proposing novel ensemble approach of particle swarm optimized and machine learning algorithms for drought vulnerability mapping in Jharkhand, India. Geocarto Int. 2022, 37, 8004–8035. [Google Scholar] [CrossRef]
- Björsbo, E. Forest, Tree, and Shrub Limit Responses to a Century of Climate Change in Northern Norway; Umeå Universitet: Umeå, Sweden, 2023. [Google Scholar]
- Hayes, M.; Svoboda, M.; Wall, N.; Widhalm, M. The Lincoln declaration on drought indices: Universal meteorological drought index recommended. Bull. Am. Meteorol. Soc. 2011, 92, 485–488. [Google Scholar] [CrossRef]
- Thom, H.C. A note on the gamma distribution. Mon. Weather Rev. 1958, 86, 117–122. [Google Scholar] [CrossRef]
- Guttman, N.B. Accepting the standardized precipitation index: A calculation algorithm 1. JAWRA J. Am. Water Resour. Assoc. 1999, 35, 311–322. [Google Scholar] [CrossRef]
- Jang, J.-S. ANFIS: Adaptive-network-based fuzzy inference system. IEEE Trans. Syst. Man Cybern. 1993, 23, 665–685. [Google Scholar] [CrossRef]
- Ahmadianfar, I.; Shirvani-Hosseini, S.; He, J.; Samadi-Koucheksaraee, A.; Yaseen, Z.M. An improved adaptive neuro fuzzy inference system model using conjoined metaheuristic algorithms for electrical conductivity prediction. Sci. Rep. 2022, 12, 4934. [Google Scholar] [CrossRef]
- Robati, F.N.; Iranmanesh, S. Inflation rate modeling: Adaptive neuro-fuzzy inference system approach and particle swarm optimization algorithm (ANFIS-PSO). MethodsX 2020, 7, 101062. [Google Scholar] [CrossRef]
- Jang, J.-S.; Sun, C.-T. Neuro-fuzzy modeling and control. Proc. IEEE 1995, 83, 378–406. [Google Scholar] [CrossRef]
- Takagi, T.; Sugeno, M. Fuzzy identification of systems and its applications to modeling and control. IEEE Trans. Syst. Man Cybern. 1985, 116–132. [Google Scholar] [CrossRef]
- Blyverket, J.; Hamer, P.D.; Schneider, P.; Albergel, C.; Lahoz, W.A. Monitoring soil moisture drought over northern high latitudes from space. Remote Sens. 2019, 11, 1200. [Google Scholar] [CrossRef]
- Vapnik, V. The Nature of Statistical Learning Theory; Springer Science & Business Media: Berlin/Heidelberg, Germany, 1999. [Google Scholar]
- Müller, K.-R.; Mika, S.; Tsuda, K.; Schölkopf, K. An introduction to kernel-based learning algorithms. In Handbook of Neural Network Signal Processing; CRC Press: Boca Raton, FL, USA, 2018; pp. 1–40. [Google Scholar]
- Belayneh, A.; Adamowski, J.; Khalil, B.; Ozga-Zielinski, B. Long-term SPI drought forecasting in the Awash River Basin in Ethiopia using wavelet neural network and wavelet support vector regression models. J. Hydrol. 2014, 508, 418–429. [Google Scholar] [CrossRef]
- Achite, M.; Katipoglu, O.M.; Şenocak, S.; Elshaboury, N.; Bazrafshan, O.; Dalkılıç, H.Y. Modeling of meteorological, agricultural, and hydrological droughts in semi-arid environments with various machine learning and discrete wavelet transform. Theor. Appl. Climatol. 2023, 154, 413–451. [Google Scholar] [CrossRef]
- Katipoğlu, O.M. Prediction of Streamflow Drought Index for Short-Term Hydrological Drought in the Semi-Arid Yesilirmak Basin Using Wavelet Transform and Artificial Intelligence Techniques. Sustainability 2023, 15, 1109. [Google Scholar] [CrossRef]
- Katipoğlu, O.M. Implementation of hybrid wind speed prediction model based on different data mining and signal processing approaches. Environ. Sci. Pollut. Res. 2023, 30, 64589–64605. [Google Scholar] [CrossRef]
- Katipoğlu, O.M.; Yeşilyurt, S.N.; Dalkılıç, H.Y.; Akar, F. Application of empirical mode decomposition, particle swarm optimization, and support vector machine methods to predict stream flows. Environ. Monit. Assess. 2023, 195, 1108. [Google Scholar] [CrossRef] [PubMed]
- Belayneh, A.; Adamowski, J.; Khalil, B. Short-term SPI drought forecasting in the Awash River Basin in Ethiopia using wavelet transforms and machine learning methods. Sustain. Water Resour. Manag. 2016, 2, 87–101. [Google Scholar] [CrossRef]
- Panahi, M.; Sadhasivam, N.; Pourghasemi, H.R.; Rezaie, F.; Lee, S. Spatial prediction of groundwater potential mapping based on convolutional neural network (CNN) and support vector regression (SVR). J. Hydrol. 2020, 588, 125033. [Google Scholar] [CrossRef]
- Kennedy, J.; Eberhart, R. Particle swarm optimization. In Proceedings of the ICNN’95-International Conference on Neural Networks, Perth, WA, Australia, 27 November–1 December 1995; pp. 1942–1948. [Google Scholar]
- Achite, M.; Katipoğlu, O.M.; Jehanzaib, M.; Elshaboury, N.; Kartal, V.; Ali, S. Hydrological Drought Prediction Based on Hybrid Extreme Learning Machine: Wadi Mina Basin Case Study, Algeria. Atmosphere 2023, 14, 1447. [Google Scholar] [CrossRef]
- Cheng, C.; Sha, Q.; He, B.; Li, G. Path planning and obstacle avoidance for AUV: A review. Ocean Eng. 2021, 235, 109355. [Google Scholar] [CrossRef]
- Wang, D.; Tan, D.; Liu, L. Particle swarm optimization algorithm: An overview. Soft Comput. 2018, 22, 387–408. [Google Scholar] [CrossRef]
- Rajabi Kuyakhi, H.; Tahmasebi Boldaji, R. Developing an adaptive neuro-fuzzy inference system based on particle swarm optimization model for forecasting Cr(VI) removal by NiO nanoparticles. Environ. Prog. Sustain. Energy 2021, 40, e13597. [Google Scholar] [CrossRef]
- Eshaghzadeh, A.; Hajian, A. 2-D gravity inverse modelling of anticlinal structure using improved particle swarm optimization (IPSO). Arab. J. Geosci. 2021, 14, 1378. [Google Scholar] [CrossRef]
- Nimmanterdwong, P.; Chalermsinsuwan, B.; Piumsomboon, P. Optimizing utilization pathways for biomass to chemicals and energy by integrating emergy analysis and particle swarm optimization (PSO). Renew. Energy 2023, 202, 1448–1459. [Google Scholar] [CrossRef]
- Kashyap, N.; Mishra, A. A discourse on metaheuristics techniques for solving clustering and semisupervised learning models. In Cognitive Big Data Intelligence with a Metaheuristic Approach; Elsevier: Amsterdam, The Netherlands, 2022; pp. 1–19. [Google Scholar]
- Shorabeh, S.N.; Samany, N.N.; Minaei, F.; Firozjaei, H.K.; Homaee, M.; Boloorani, A.D. A decision model based on decision tree and particle swarm optimization algorithms to identify optimal locations for solar power plants construction in Iran. Renew. Energy 2022, 187, 56–67. [Google Scholar] [CrossRef]
- Hong, H.; Tsangaratos, P.; Ilia, I.; Liu, J.; Zhu, A.-X.; Xu, C. Applying genetic algorithms to set the optimal combination of forest fire related variables and model forest fire susceptibility based on data mining models. The case of Dayu County, China. Sci. Total Environ. 2018, 630, 1044–1056. [Google Scholar] [CrossRef]
- Zhang, G.; Wu, M.; Duan, W.; Huang, X. Genetic algorithm based QoS perception routing protocol for VANETs. Wirel. Commun. Mob. Comput. 2018, 2018, 3897857. [Google Scholar] [CrossRef]
- Sircar, A.; Yadav, K.; Rayavarapu, K.; Bist, N.; Oza, H. Application of machine learning and artificial intelligence in oil and gas industry. Pet. Res. 2021, 6, 379–391. [Google Scholar] [CrossRef]
- Elyan, E.; Gaber, M.M. A genetic algorithm approach to optimising random forests applied to class engineered data. Inf. Sci. 2017, 384, 220–234. [Google Scholar] [CrossRef]
- Brás, G.; Silva, A.M.; Wanner, E.F. A genetic algorithm for rule extraction in fuzzy adaptive learning control networks. Genet. Program. Evolvable Mach. 2024, 25, 11. [Google Scholar] [CrossRef]
- Zanganeh, M. Simultaneous optimization of clustering and fuzzy IF-THEN rules parameters by the genetic algorithm in fuzzy inference system-based wave predictor models. J. Hydroinformatics 2017, 19, 385–404. [Google Scholar] [CrossRef]
- Khanmohammadi, S.; Kizilkan, O.; Musharavati, F. Multiobjective optimization of a geothermal power plant. In Thermodynamic Analysis and Optimization of Geothermal Power Plants; Elsevier: Amsterdam, The Netherlands, 2021; pp. 279–291. [Google Scholar]
- Martinez, C.M.; Cao, D. iHorizon-Enabled Energy Management for Electrified Vehicles; Butterworth-Heinemann: Oxford, UK, 2018. [Google Scholar]
- Mirjalili, S.; Mirjalili, S.M.; Lewis, A. Grey wolf optimizer. Adv. Eng. Softw. 2014, 69, 46–61. [Google Scholar] [CrossRef]
- Jaafari, A.; Panahi, M.; Pham, B.T.; Shahabi, H.; Bui, D.T.; Rezaie, F.; Lee, S. Meta optimization of an adaptive neuro-fuzzy inference system with grey wolf optimizer and biogeography-based optimization algorithms for spatial prediction of landslide susceptibility. Catena 2019, 175, 430–445. [Google Scholar] [CrossRef]
- Hao, P.; Sobhani, B. Application of the improved chaotic grey wolf optimization algorithm as a novel and efficient method for parameter estimation of solid oxide fuel cells model. Int. J. Hydrog. Energy 2021, 46, 36454–36465. [Google Scholar] [CrossRef]
- Dehghani, M.; Seifi, A.; Riahi-Madvar, H. Novel forecasting models for immediate-short-term to long-term influent flow prediction by combining ANFIS and grey wolf optimization. J. Hydrol. 2019, 576, 698–725. [Google Scholar] [CrossRef]
- Muro, C.; Escobedo, R.; Spector, L.; Coppinger, R. Wolf-pack (Canis lupus) hunting strategies emerge from simple rules in computational simulations. Behav. Process. 2011, 88, 192–197. [Google Scholar] [CrossRef] [PubMed]
- Karaboga, D. An Idea Based on Honey Bee Swarm for Numerical Optimization; Technical Report-Tr06; Erciyes University, Engineering Faculty, Computer: Kayseri, Türkiye, 2005. [Google Scholar]
- Reda, M.; Onsy, A.; Haikal, A.Y.; Ghanbari, A. Path planning algorithms in the autonomous driving system: A comprehensive review. Robot. Auton. Syst. 2024, 174, 104630. [Google Scholar] [CrossRef]
- Li, Z.; Wang, W.; Yan, Y.; Li, Z. PS–ABC: A hybrid algorithm based on particle swarm and artificial bee colony for high-dimensional optimization problems. Expert Syst. Appl. 2015, 42, 8881–8895. [Google Scholar] [CrossRef]
- Vitorino, L.; Ribeiro, S.F.; Bastos-Filho, C.J. A mechanism based on artificial bee colony to generate diversity in particle swarm optimization. Neurocomputing 2015, 148, 39–45. [Google Scholar] [CrossRef]
- Xu, F.; Li, H.; Pun, C.-M.; Hu, H.; Li, Y.; Song, Y.; Gao, H. A new global best guided artificial bee colony algorithm with application in robot path planning. Appl. Soft Comput. 2020, 88, 106037. [Google Scholar] [CrossRef]
- Khan, M.M.H.; Muhammad, N.S.; El-Shafie, A. Wavelet based hybrid ANN-ARIMA models for meteorological drought forecasting. J. Hydrol. 2020, 590, 125380. [Google Scholar] [CrossRef]
- Zhang, D. A Coefficient of Determination for Generalized Linear Models. Am. Stat. 2017, 71, 310–316. [Google Scholar] [CrossRef]
- Ehteram, M.; Ahmed, A.N.; Ling, L.; Fai, C.M.; Latif, S.D.; Afan, H.A.; Banadkooki, F.B.; El-Shafie, A. Pipeline scour rates prediction-based model utilizing a multilayer perceptron-colliding body algorithm. Water 2020, 12, 902. [Google Scholar] [CrossRef]
- Mohammed, S.; Elbeltagi, A.; Bashir, B.; Alsafadi, K.; Alsilibe, F.; Alsalman, A.; Zeraatpisheh, M.; Széles, A.; Harsányi, E. A comparative analysis of data mining techniques for agricultural and hydrological drought prediction in the eastern Mediterranean. Comput. Electron. Agric. 2022, 197, 106925. [Google Scholar] [CrossRef]
- Won, J.; Seo, J.; Lee, J.; Lee, O.; Kim, S. Vegetation Drought Vulnerability Mapping Using a Copula Model of Vegetation Index and Meteorological Drought Index. Remote Sens. 2021, 13, 5103. [Google Scholar] [CrossRef]
- Turan, M.E. Fuzzy Systems Tuned By Swarm Based Optimization Algorithms for Predicting Stream flow. Water Resour. Manag. 2016, 30, 4345–4362. [Google Scholar] [CrossRef]
- Samantaray, S.; Sahoo, A.; Agnihotri, A. Prediction of Flood Discharge Using Hybrid PSO-SVM Algorithm in Barak River Basin. MethodsX 2023, 10, 102060. [Google Scholar] [CrossRef]
- Moayedi, H.; Salari, M.; Dehrashid, A.A.; Le, B.N. Groundwater quality evaluation using hybrid model of the multi-layer perceptron combined with neural-evolutionary regression techniques: Case study of Shiraz plain. Stoch. Environ. Res. Risk Assess. 2023, 37, 2961–2976. [Google Scholar] [CrossRef]












| Starting Data | End | Average (mm) | Standard Deviation | Minimum (mm) | Maximum (mm) |
|---|---|---|---|---|---|
| 08.1920 | 12.2022 | 85.49 | 46.62 | 0.6 | 339.8 |
| SPI | Category |
|---|---|
| above and (2.0) | Extremely wet |
| (1.99)–(1.50) | Severely wet |
| (1.49)–(1.00) | Moderately wet |
| (0.99)–(−0.99) | Near normal |
| (−1.0)–(−1.49) | Moderately dry |
| (−1.5)–(−1.99) | Severe dry |
| −2.0 and less | Extremely dry |
| Model | Inputs | Output | ||||||
|---|---|---|---|---|---|---|---|---|
| M01 | SPI12t−2 | SPI12t−1 | SPI12t | |||||
| M02 | SPI12t−3 | SPI12t−2 | SPI12t−1 | SPI12t | ||||
| M03 | SPI12t−4 | SPI12t−3 | SPI12t−2 | SPI12t−1 | SPI12t | |||
| M04 | SPI12t−13 | SPI12t−12 | SPI12t−11 | SPI12t−2 | SPI12t−1 | SPI12t | ||
| M05 | SPI12t−13 | SPI12t−12 | SPI12t−11 | SPI12t−3 | SPI12t−2 | SPI12t−1 | SPI12t | |
| M06 | SPI12t−13 | SPI12t−12 | SPI12t−11 | SPI12t−4 | SPI12t−3 | SPI12t−2 | SPI12t−1 | SPI12t |
| M07 | SPI3t−2 | SPI3t−1 | SPI3t | |||||
| M08 | SPI3t−3 | SPI3t−2 | SPI3t−1 | SPI3t | ||||
| M09 | SPI3t−4 | SPI3t−3 | SPI3t−2 | SPI3t−1 | SPI3t | |||
| M10 | SPI3t−13 | SPI3t−12 | SPI3t−11 | SPI3t−2 | SPI3t−1 | SPI3t | ||
| M11 | SPI3t−13 | SPI3t−12 | SPI3t−11 | SPI3t−3 | SPI3t−2 | SPI3t−1 | SPI3t | |
| M12 | SPI3t−13 | SPI3t−12 | SPI3t−11 | SPI3t−4 | SPI3t−3 | SPI3t−2 | SPI3t−1 | SPI3t |
| Models | SVM-PSO | ANFIS-PSO | ANFIS-GA | ||||||
|---|---|---|---|---|---|---|---|---|---|
| r | NSE | RMSE | r | NSE | RMSE | r | NSE | RMSE | |
| M01 | 0.9172 | 0.8284 | 0.4185 | 0.9343 | 0.8726 | 0.3606 | 0.9352 | 0.8743 | 0.3582 |
| M02 | 0.9258 | 0.8563 | 0.3830 | 0.9348 | 0.8736 | 0.3592 | 0.9338 | 0.8718 | 0.3618 |
| M03 | 0.9270 | 0.8587 | 0.3798 | 0.9352 | 0.8744 | 0.3580 | 0.9330 | 0.8702 | 0.3639 |
| M04 | 0.9494 | 0.9011 | 0.3177 | 0.9511 | 0.9038 | 0.3133 | 0.9388 | 0.8786 | 0.3520 |
| M05 | 0.9483 | 0.8990 | 0.3211 | 0.9500 | 0.9021 | 0.3161 | 0.9484 | 0.8984 | 0.3220 |
| M06 | 0.9514 | 0.9049 | 0.3116 | 0.9496 | 0.9013 | 0.3174 | 0.9429 | 0.8867 | 0.3401 |
| M07 | 0.7665 | 0.5740 | 0.6794 | 0.7850 | 0.6161 | 0.6450 | 0.7886 | 0.6219 | 0.6400 |
| M08 | 0.7806 | 0.5667 | 0.6852 | 0.8019 | 0.6431 | 0.6218 | 0.8031 | 0.6448 | 0.6204 |
| M09 | 0.8043 | 0.6459 | 0.6194 | 0.8015 | 0.6420 | 0.6228 | 0.8092 | 0.6545 | 0.6118 |
| M10 | 0.7823 | 0.6120 | 0.6484 | 0.7854 | 0.6162 | 0.6449 | 0.7857 | 0.6171 | 0.6441 |
| M11 | 0.7980 | 0.6365 | 0.6275 | 0.7960 | 0.6320 | 0.6315 | 0.8022 | 0.6432 | 0.6218 |
| M12 | 0.8085 | 0.6468 | 0.6186 | 0.8206 | 0.6731 | 0.5952 | 0.8140 | 0.6622 | 0.6050 |
| ANFIS-GWO | ANFIS-ABC | ||||||||
| r | NSE | RMSE | r | NSE | RMSE | ||||
| M01 | 0.9346 | 0.4964 | 0.7170 | 0.9340 | 0.8718 | 0.3617 | |||
| M02 | 0.9347 | 0.4973 | 0.7164 | 0.9345 | 0.8728 | 0.3604 | |||
| M03 | 0.9347 | 0.4973 | 0.7163 | 0.9335 | 0.8713 | 0.3625 | |||
| M04 | 0.9514 | 0.4614 | 0.7415 | 0.9516 | 0.9054 | 0.3108 | |||
| M05 | 0.9514 | 0.4607 | 0.7420 | 0.9512 | 0.9042 | 0.3127 | |||
| M06 | 0.9514 | 0.4618 | 0.7412 | 0.9515 | 0.9050 | 0.3114 | |||
| M07 | 0.7750 | 0.5104 | 0.7283 | 0.7793 | 0.6037 | 0.6552 | |||
| M08 | 0.7928 | 0.5223 | 0.7194 | 0.7935 | 0.6294 | 0.6337 | |||
| M09 | 0.8046 | 0.5294 | 0.7141 | 0.7980 | 0.6363 | 0.6278 | |||
| M10 | 0.7842 | 0.5189 | 0.7220 | 0.7867 | 0.6187 | 0.6428 | |||
| M11 | 0.7988 | 0.5284 | 0.7148 | 0.7979 | 0.6352 | 0.6287 | |||
| M12 | 0.8135 | 0.5374 | 0.7079 | 0.8121 | 0.6593 | 0.6075 | |||
| Performance Rating | Unsatisfactory | Satisfactory | Good | Very Good |
|---|---|---|---|---|
| RSR value | RSR ≥ 0.7 | 0.7 > RSR ≥ 0.6 | 0.6 > RSR ≥ 0.5 | 0.5 ≥ RSR |
Disclaimer/Publisher’s Note: The statements, opinions and data contained in all publications are solely those of the individual author(s) and contributor(s) and not of MDPI and/or the editor(s). MDPI and/or the editor(s) disclaim responsibility for any injury to people or property resulting from any ideas, methods, instructions or products referred to in the content. |
© 2024 by the authors. Licensee MDPI, Basel, Switzerland. This article is an open access article distributed under the terms and conditions of the Creative Commons Attribution (CC BY) license (https://creativecommons.org/licenses/by/4.0/).
Share and Cite
Oruc, S.; Tugrul, T.; Hinis, M.A. Beyond Traditional Metrics: Exploring the Potential of Hybrid Algorithms for Drought Characterization and Prediction in the Tromso Region, Norway. Appl. Sci. 2024, 14, 7813. https://doi.org/10.3390/app14177813
Oruc S, Tugrul T, Hinis MA. Beyond Traditional Metrics: Exploring the Potential of Hybrid Algorithms for Drought Characterization and Prediction in the Tromso Region, Norway. Applied Sciences. 2024; 14(17):7813. https://doi.org/10.3390/app14177813
Chicago/Turabian StyleOruc, Sertac, Turker Tugrul, and Mehmet Ali Hinis. 2024. "Beyond Traditional Metrics: Exploring the Potential of Hybrid Algorithms for Drought Characterization and Prediction in the Tromso Region, Norway" Applied Sciences 14, no. 17: 7813. https://doi.org/10.3390/app14177813
APA StyleOruc, S., Tugrul, T., & Hinis, M. A. (2024). Beyond Traditional Metrics: Exploring the Potential of Hybrid Algorithms for Drought Characterization and Prediction in the Tromso Region, Norway. Applied Sciences, 14(17), 7813. https://doi.org/10.3390/app14177813

