Preparation and Properties of Waterborne Polyurethane and SBS Composite-Modified Emulsified Asphalt
Abstract
1. Introduction
2. Materials and Methods
2.1. Materials and Their Preparation
2.1.1. Materials
2.1.2. Preparation and Evaporation Method of Composite-Modified Asphalt Emulsion
2.1.3. Technical Roadmap
2.2. Performance Test Methods
2.2.1. Conventional Performance Test
2.2.2. Temperature Sweep Test
2.2.3. Frequency Sweep Test
2.2.4. Linear Amplitude Sweep Test
2.2.5. Multi-Stress Creep Recovery Test
2.2.6. Surface Free Energy Test
2.2.7. Fourier Transform Infrared Spectroscopy Test
2.2.8. Fluorescence Microscopy Test
3. Results and Discussion
3.1. Conventional Performance Analysis
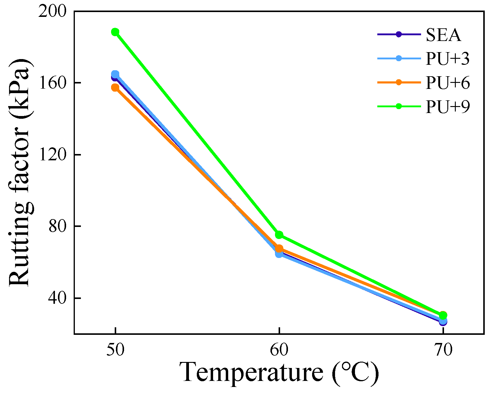
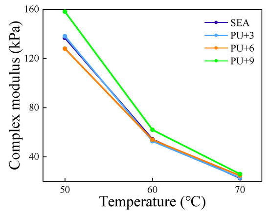
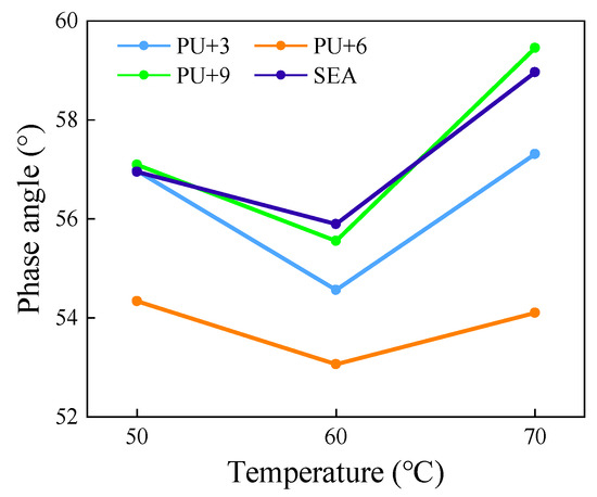
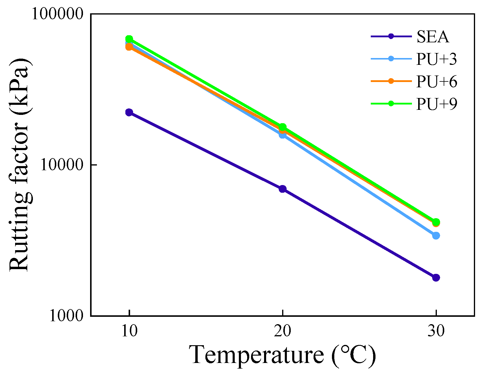
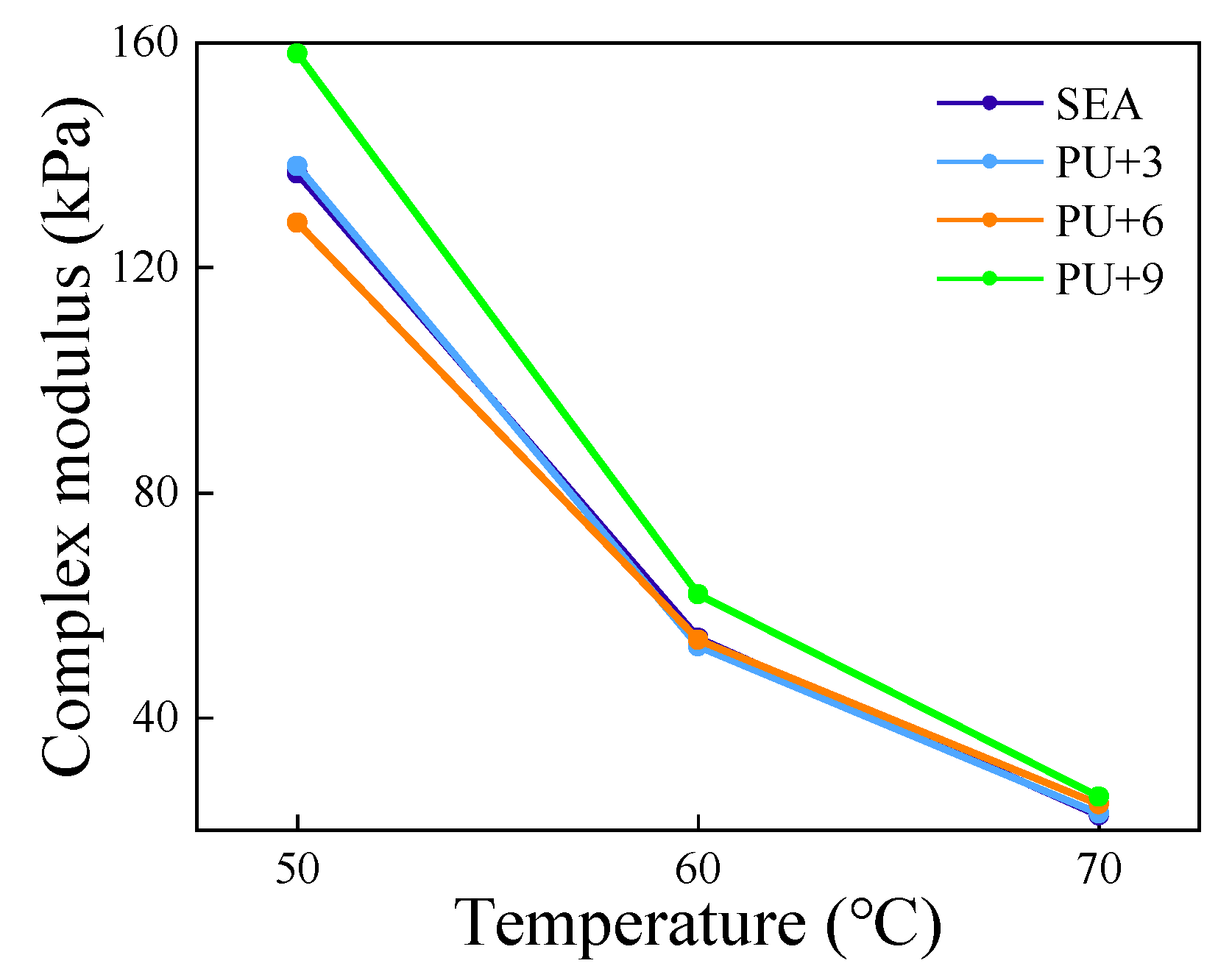
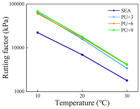
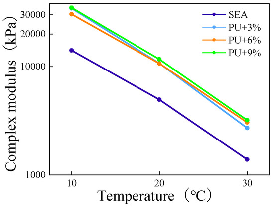
3.2. Temperature Sweep Analysis
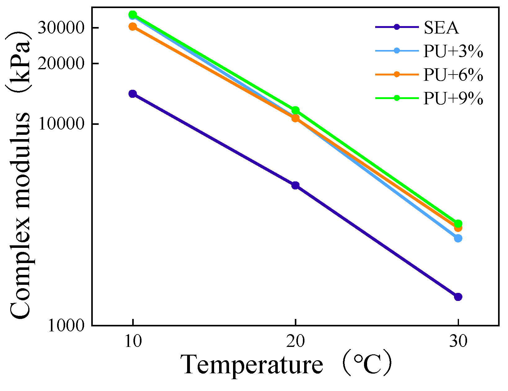
3.3. Frequency Sweep Analysis
3.4. Fatigue Performance Analysis
3.5. Multi-Stress Creep Recovery Analysis
3.6. Surface Free Energy Analysis
3.6.1. Experimental Data and Cohesive Energy Analysis
3.6.2. Analysis of Adhesion Energy and Compatibility Indicators
- For diabase:
- ○
- SEA had the highest ER1 and ER2 among the four types;
- ○
- PU+9 had the lowest ER1 and ER2 among the four types;
- ○
- PU+6 had the highest ER1 and ER2 among the three dosages of PU+.
- For limestone:
- ○
- SEA had the highest ER1 and ER2 among the four types;
- ○
- PU+3 had the lowest ER1 and ER2 among the four types;
- ○
- PU+6 had the highest ER1 and ER2 among the three dosages of PU+.
3.7. Fourier Transform Infrared Spectroscopy Analysis
3.8. Fluorescence Microscopy Analysis
4. Conclusions
- Physical Mixing: The preparation method of mechanical stirring after mixing did not result in any chemical changes between cationic waterborne polyurethane and SBS-modified emulsified asphalt, indicating that the process involves only physical mixing.
- Enhanced Shear Modulus and Rutting Coefficient: Experimental results show that the addition of cationic waterborne polyurethane improves the complex shear modulus and rutting coefficient of SBS-modified emulsified asphalt. However, MSCR tests reveal that the addition of cationic waterborne polyurethane may reduce the elastic recovery performance of modified asphalt, thereby weakening its resistance to rutting. Among the samples, the modified asphalt with a PU+ content of 6% exhibited good high-temperature shear resistance and elastic recovery performance, demonstrating the best anti-rutting performance.
- Improved Fatigue Performance: LAS test results indicate that the addition of cationic waterborne polyurethane can enhance the fatigue performance of modified asphalt.
- Cohesive Energy and Adhesion: Surface free energy tests show that the addition of cationic waterborne polyurethane improves the cohesive energy and adhesion performance of modified asphalt. However, it also somewhat weakens the water damage resistance of the modified emulsified asphalt.
- Modification Potential and Future Research: In summary, cationic waterborne polyurethane shows good modification potential for SBS-modified emulsified asphalt.
Author Contributions
Funding
Institutional Review Board Statement
Informed Consent Statement
Data Availability Statement
Conflicts of Interest
References
- Lu, S.M.; Lu, C.; Tseng, K.T.; Chen, F.; Chen, C.L. Energy-saving potential of the industrial sector of Taiwan. Renew. Sustain. Energy Rev. 2013, 21, 674–683. [Google Scholar] [CrossRef]
- Ryms, M.; Denda, H.; Jaskuła, P. Thermal stabilization and permanent deformation resistance of LWA/PCM-modified asphalt road surfaces. Constr. Build. Mater. 2017, 142, 328–341. [Google Scholar] [CrossRef]
- Luo, X.; Gu, F.; Ling, M.; Lytton, R.L. Review of mechanistic-empirical modeling of top-down cracking in asphalt pavements. Constr. Build. Mater. 2018, 191, 1053–1070. [Google Scholar] [CrossRef]
- Kakar, M.R.; Hamzah, M.O.; Valentin, J. A review on moisture damages of hot and warm mix asphalt and related investigations. J. Clean. Prod. 2015, 99, 39–58. [Google Scholar] [CrossRef]
- Hu, X.; Lei, Y.; Wang, H.; Jiang, P.; Yang, X.; You, Z. Effect of tack coat dosage and temperature on the interface shear properties of asphalt layers bonded with emulsified asphalt binders. Constr. Build. Mater. 2017, 141, 86–93. [Google Scholar] [CrossRef]
- Gómez-Meijide, B.; Pérez, I. Binder–aggregate adhesion and resistance to permanent deformation of bitumen-emulsion-stabilized materials made with construction and demolition waste aggregates. J. Clean. Prod. 2016, 129, 125–133. [Google Scholar] [CrossRef]
- Tchoukov, P.; Czarnecki, J.; Dabros, T. Study of water-in-oil thin liquid films: Implications for the stability of petroleum emulsions. Colloids Surf. A Physicochem. Eng. Asp. 2010, 372, 15–21. [Google Scholar] [CrossRef]
- Grilli, A.; Graziani, A.; Bocci, M. Compactability and thermal sensitivity of cement–bitumen-treated materials. Road Mater. Pavement Des. 2012, 13, 599–617. [Google Scholar] [CrossRef]
- Fang, X.; Winnefeld, F.; Lura, P. Precipitation of anionic emulsifier with ordinary Portland cement. J. Colloid Interface Sci. 2016, 479, 98–105. [Google Scholar] [CrossRef]
- Sheng, X.; Wang, M.; Xu, T.; Chen, J. Preparation, properties and modification mechanism of polyurethane modified emulsified asphalt. Constr. Build. Mater. 2018, 189, 375–383. [Google Scholar] [CrossRef]
- Carrera, V.; Cuadri, A.A.; García-Morales, M.; Partal, P. The development of polyurethane modified bitumen emulsions for cold mix applications. Mater. Struct. 2015, 48, 3407–3414. [Google Scholar] [CrossRef]
- Xiang, Q.; Xiao, F. Applications of epoxy materials in pavement engineering. Constr. Build. Mater. 2020, 235, 117529. [Google Scholar] [CrossRef]
- Liu, J.; Zhang, Y. Effect of ethylene-acrylic acid copolymer on flame retardancy and properties of LLDPE/EAA/MH composites. Polym. Degrad. Stab. 2011, 96, 2215–2220. [Google Scholar] [CrossRef]
- Scaffaro, R.; La Mantia, F.P.; Canfora, L.; Polacco, G.; Filippi, S.; Magagnini, P. Reactive compatibilization of PA6/LDPE blends with an ethylene–acrylic acid copolymer and a low molar mass bis-oxazoline. Polymer 2003, 44, 6951–6957. [Google Scholar] [CrossRef]
- Yuan, X.; Zhu, B.; Cai, X.; Liu, J.; Qiao, K.; Yu, J. Improved interfacial adhesion in carbon fiber/epoxy composites through a waterborne epoxy resin sizing agent. J. Appl. Polym. Sci. 2017, 134, 199. [Google Scholar] [CrossRef]
- Zhang, Z.; Huang, Y.; Liao, B.; Cong, G. Studies on particle size of waterborne emulsions derived from epoxy resin. Eur. Polym. J. 2001, 37, 1207–1211. [Google Scholar] [CrossRef]
- Behnood, A.; Gharehveran, M.M. Morphology, rheology, and physical properties of polymer-modified asphalt binders. Eur. Polym. J. 2019, 112, 766–791. [Google Scholar] [CrossRef]
- Hsieh, T.H.; Kinloch, A.J.; Masania, K.; Taylor, A.C.; Sprenger, S. The mechanisms and mechanics of the toughening of epoxy polymers modified with silica nanoparticles. Polymer 2010, 51, 6284–6294. [Google Scholar] [CrossRef]
- Roselli, S.N.; Romagnoli, R.; Deyá, C. The anti-corrosion performance of water-borne paints in long term tests. Prog. Org. Coat. 2017, 109, 172–178. [Google Scholar] [CrossRef]
- Zamanian, M.; Mortezaei, M.; Salehnia, B.; Jam, J.E. Fracture toughness of epoxy polymer modified with nanosilica particles: Particle size effect. Eng. Fract. Mech. 2013, 97, 193–206. [Google Scholar] [CrossRef]
- Fu, H.; Wang, C.; Niu, L.; Yang, G.; Liu, L. Composition optimisation and performance evaluation of waterborne epoxy resin emulsified asphalt tack coat binder for pavement. Int. J. Pavement Eng. 2022, 23, 4034–4048. [Google Scholar] [CrossRef]
- Liu, F.; Zheng, M.; Liu, X.; Ding, X.; Wang, F.; Wang, Q. Performance evaluation of waterborne epoxy resin-SBR composite modified emulsified asphalt fog seal. Constr. Build. Mater. 2021, 301, 124106. [Google Scholar] [CrossRef]
- Xu, P.; Wang, Y.; Cheng, P.; Cong, P.; Li, D.; Zhang, Z.; Hui, J.; Ye, M. Toughness modification of waterborne epoxy emulsified asphalt by waterborne polyurethane elastomer. Constr. Build. Mater. 2023, 386, 131547. [Google Scholar] [CrossRef]
- Xu, L.; Li, X.; Zong, Q.; Xiao, F. Chemical, morphological and rheological investigations of SBR/SBS modified asphalt emulsions with waterborne acrylate and polyurethane. Constr. Build. Mater. 2021, 272, 121972. [Google Scholar] [CrossRef]
- Xu, G.; Wang, H.; Zhu, H. Rheological properties and anti-aging performance of asphalt binder modified with wood lignin. Constr. Build. Mater. 2017, 151, 801–808. [Google Scholar] [CrossRef]
- Ameri, M.; Nowbakht, S.; Molayem, M.; Mirabimoghaddam, M.H. A study on fatigue modeling of hot mix asphalt mixtures based on the viscoelastic continuum damage properties of asphalt binder. Constr. Build. Mater. 2016, 106, 243–252. [Google Scholar] [CrossRef]
- Park, S.W.; Kim, Y.R.; Schapery, R.A. A viscoelastic continuum damage model and its application to uniaxial behavior of asphalt concrete. Mech. Mater. 1996, 24, 241–255. [Google Scholar] [CrossRef]
- Sun, Y.; Wang, W.; Chen, J. Investigating impacts of warm-mix asphalt technologies and high reclaimed asphalt pavement binder content on rutting and fatigue performance of asphalt binder through MSCR and LAS tests. J. Clean. Prod. 2019, 219, 879–893. [Google Scholar] [CrossRef]
- Schapery, R.A. Correspondence principles and a generalized J integral for large deformation and fracture analysis of viscoelastic media. Int. J. Fract. 1984, 25, 195–223. [Google Scholar] [CrossRef]
- Bhasin, A.; Little, D.N. Application of Microcalorimeter to Characterize Adhesion between Asphalt Binders and Aggregates. J. Mater. Civ. Eng. 2009, 21, 235–243. [Google Scholar] [CrossRef]
- Transportation Research Board and National Academies of Sciences, Engineering, and Medicine. Final Report for NCHRP RRD 316: Using Surface Energy Measurements to Select Materials for Asphalt Pavement; The National Academies Press: Washington, DC, USA, 2007. [Google Scholar] [CrossRef]
- Xu, W.; Luo, R. Evaluation of interaction between emulsified asphalt and mineral powder using rheology. Constr. Build. Mater. 2022, 318, 125990. [Google Scholar] [CrossRef]
- Duan, S.C.; Cui, J.X.; Hu, J.Y.; Han, T.; Chen, Y.; Wang, H.Y.; Ma, T. Research on the adhesion mechanism and compatibility of acrylate composite polyurethane binder-aggregate based on surface free energy theory. Constr. Build. Mater. 2024, 438, 137236. [Google Scholar] [CrossRef]
- Bhasin, A.; Little, D.N. Characterization of Aggregate Surface Energy Using the Universal Sorption Device. J. Mater. Civ. Eng. 2007, 19, 634–641. [Google Scholar] [CrossRef]
- Singh, D.; Ashish, P.K.; Kataware, A.; Habal, A. Evaluating performance of PPA-and-Elvaloy-modified binder containing WMA additives and lime using MSCR and LAS tests. Mater. Civ. Eng. 2017, 29, 04017064. [Google Scholar] [CrossRef]

























| Test Project | Unit | Test Value | Test Method | |
|---|---|---|---|---|
| The residue on the sieve (1.18) | % | 0.06 | T0652 | |
| Charge | / | Cationic | T0653 | |
| Engler viscosity (25 °C) | / | 5.8 | T0622 | |
| Evaporation residue content | % | 65 | T0651 | |
| Storage stability (1 d) | % | 0.5 | T0655 | |
| Storage stability (5 d) | % | 1.5 | T0655 | |
| Evaporation residue | Penetration (25 °C) | 0.1 mm | 60 | T0604 |
| Soft point (glycerol) | °C | 72 | T0606 | |
| Ductility | cm | 66 | T0605 | |
| Test Project | Unit | PU+ |
|---|---|---|
| Appearance | / | Transparent, high glossiness |
| Solid content | % | 30 ± 1 |
| pH | / | 2.0–6.0 |
| Viscosity | mPa·s | / |
| Density | g/cm3 | / |
| Storage stability | Months | <6 |
| Reagent | Density (g/cm3) | Surface Energy Parameter (mJ/m2) | ||||
|---|---|---|---|---|---|---|
| Distilled water | 1.000 | 21.800 | 51.000 | 25.500 | 25.500 | 72.800 |
| Formamide | 1.134 | 39.000 | 19.000 | 2.280 | 39.600 | 58.000 |
| Glycerol | 1.261 | 34.000 | 30.000 | 3.920 | 57.400 | 64.000 |
| Temperature (°C) | Asphalt | Reagent | ||
|---|---|---|---|---|
| Formamide | Glycerol | Distilled Water | ||
| 20 | SEA | 83.86 | 89.01 | 88.35 |
| PU+3 | 82.39 | 88.60 | 83.97 | |
| PU+6 | 83.32 | 89.46 | 83.54 | |
| PU+9 | 83.53 | 89.76 | 88.79 | |
| Aggregate | Surface Energy Parameter (mJ/m2) | ||||
|---|---|---|---|---|---|
| diabase | 63.82 | 51.06 | 3.02 | 216.88 | 114.88 |
| limestone | 143.22 | 1.903 | 0.0023 | 393.68 | 145.12 |
| Asphalt | Surface Energy Parameter (mJ/m2) | ||||
|---|---|---|---|---|---|
| SEA | 15.495 | 2.580 | 0.144 | 11.540 | 18.075 |
| PU+3 | 19.260 | 0.784 | 0.010 | 16.050 | 20.044 |
| PU+6 | 18.966 | 1.486 | 0.032 | 17.395 | 20.452 |
| PU+9 | 18.468 | 0.438 | 0.004 | 11.034 | 18.906 |
Disclaimer/Publisher’s Note: The statements, opinions and data contained in all publications are solely those of the individual author(s) and contributor(s) and not of MDPI and/or the editor(s). MDPI and/or the editor(s) disclaim responsibility for any injury to people or property resulting from any ideas, methods, instructions or products referred to in the content. |
© 2024 by the authors. Licensee MDPI, Basel, Switzerland. This article is an open access article distributed under the terms and conditions of the Creative Commons Attribution (CC BY) license (https://creativecommons.org/licenses/by/4.0/).
Share and Cite
Chen, R.; Xu, W.; Chen, Y. Preparation and Properties of Waterborne Polyurethane and SBS Composite-Modified Emulsified Asphalt. Appl. Sci. 2024, 14, 7288. https://doi.org/10.3390/app14167288
Chen R, Xu W, Chen Y. Preparation and Properties of Waterborne Polyurethane and SBS Composite-Modified Emulsified Asphalt. Applied Sciences. 2024; 14(16):7288. https://doi.org/10.3390/app14167288
Chicago/Turabian StyleChen, Ruiqi, Wen Xu, and Yixing Chen. 2024. "Preparation and Properties of Waterborne Polyurethane and SBS Composite-Modified Emulsified Asphalt" Applied Sciences 14, no. 16: 7288. https://doi.org/10.3390/app14167288
APA StyleChen, R., Xu, W., & Chen, Y. (2024). Preparation and Properties of Waterborne Polyurethane and SBS Composite-Modified Emulsified Asphalt. Applied Sciences, 14(16), 7288. https://doi.org/10.3390/app14167288

