Next Article in Journal
Serum Concentrations of IGF-1R, ERK2, and EGFR and Their Clinical Significance in Patients with Neuroendocrine Tumors
Previous Article in Journal
MRI Diffusion Connectomics-Based Characterization of Progression in Alzheimer’s Disease
 
 
Font Type:
Arial Georgia Verdana
Font Size:
Aa Aa Aa
Line Spacing:
Column Width:
Background:
Article

Physics-Informed Neural Networks for Cantilever Dynamics and Fluid-Induced Excitation

Department of Mechanical, Smart, and Industrial Engineering, Gachon University, Seongnam 13120, Republic of Korea
*
Author to whom correspondence should be addressed.
Appl. Sci. 2024, 14(16), 7002; https://doi.org/10.3390/app14167002
Submission received: 23 July 2024 / Revised: 8 August 2024 / Accepted: 8 August 2024 / Published: 9 August 2024
(This article belongs to the Section Computing and Artificial Intelligence)

Abstract

Physics-informed neural networks (PINNs) represent a continuous and differentiable mapping function, approximating solution curves for given differential equations. Recent studies have demonstrated the significant potential of PINNs as an alternative or complementary approach to conventional numerical methods. However, their application in structural dynamics, such as cantilever dynamics and fluid-induced excitations, poses challenges. In particular, limited accuracy and robustness in resolving high-order differential equations, including fourth-order differential equations encountered in structural dynamics, are major problems with PINNs. To address these challenges, this study explores optimal strategies for constructing PINNs in the context of cantilever dynamics: (1) performing scaling analysis for the configuration, (2) incorporating the second-order non-linear term of the input variables, and (3) utilizing a neural network architecture that reflects a series solution of decomposed bases. These proposed methods have significantly enhanced the predictive capabilities of PINNs, showing an order-of-magnitude improvement in accuracy compared to standard PINNs in resolving the dynamic oscillation of cantilevers and fluid-induced excitation driven by added mass forces. Furthermore, this study extends to the domain of fluid-induced excitation in cantilever dynamics, representing an extreme case of coupled dynamics in fluid–structure interaction. This research is expected to establish crucial baselines for the further development of PINNs in structural dynamics, with potential applicability to high-order coupled differential equations.

1. Introduction

Physics-informed neural networks (PINNs) have attracted extensive scientific interest in recent years due to their versatility in problem configurations. These include the forward problem of finding solution curves for integral and differential equations [1,2,3,4] and the inverse problem for data-driven discovery under the regulation of given physical laws [5,6,7]. Since the first invention of PINNs, which incorporate the residuals of partial differential equations (PDEs) into the loss function of neural networks [1], several pioneering studies have elaborated on PINNs concerning various aspects, including neural network architectures [8,9,10], loss functions [11,12,13], training strategies [14,15,16], and practical implementation techniques [17,18,19,20].
Despite the promising capabilities of PINNs, obtaining a reliable solution can be particularly difficult when solving high-order differential equations, such as fourth-order differential equations in structural dynamics. These equations are accompanied by high-order gradients that can easily vanish during neural network training. Therefore, previous studies describing dynamic beam bending based on PINNs are surprisingly rare, even though it is a fundamental concept in engineering problems [21,22]. While the PINN solution for static beam bending has been extensively studied [23,24,25,26], its dynamic counterpart has not. The relevant high-order differentials in a dynamic beam bending problem, fourth-order in space and second-order in time, could limit the acquisition of a reliable solution based on PINNs. This limitation will be confirmed later in this study. Resolving high-order differential equations remains one of the challenges with PINNs, prompting an active search for advanced strategies, including elaboration in loss construction, the implementation of adaptive activation, and domain decomposition.
Previous studies have highlighted that the solution of PINNs can be dramatically influenced by the weighted combination of loss components from ICs, BCs, and PDEs [11,27,28]. Consequently, the strategy to balance each loss component has been systematically investigated, as they can be integrated into the training process using a self-adaptive loss-balance approach. Adaptive weight balancing based on the eigenvalues of the neural tangent kernel (NTK) is one representative example of self-adaptive loss balancing [11]. However, it is noteworthy that the adjustment of the weights of loss components relies on the estimated scale of loss components during the training process, not on the physical interpretation of each loss component.
In the implementation of physics-informed neural networks (PINNs), the activation function plays a crucial role in ensuring a differentiable solution curve that satisfies the governing equations presented in differential form. Popular choices for activation functions in PINNs, such as tanh or sine, are favored for their multiple differentiability at the expense of poor expression capability [29,30,31]. Jagtap et al. (2020) proposed that PINNs can be guided to avoid suboptimal points by incorporating a scaling factor with a positive trainable parameter before a non-linear activation [32]. This adaptive activation strategy can be generalized based on the Kronecker product, incorporating trainable scaling parameters for weight matrices and bias vectors of varying dimensions, a concept introduced in Kronecker neural networks [33]. While the utilization of training parameters in the activation function enhances the accuracy and trainability of PINNs, the trade-off between enhanced performance and increased training costs must be carefully considered when designing PINNs.
The strategy to decompose the computational domain into discrete sub-domains has been proposed to enhance the capability of PINNs for resolving high-dimensional complex systems of (differential) equations [18,34,35,36]. Domain decomposition enables the construction of smooth solution curves using shallow neural networks for each sub-domain [34]. The additional constraints on interfacial flux between sub-domains ensure that the solution curve satisfies conservative equations [34]. An additional merit of the domain decomposition strategy is that the computations of each sub-domain can be parallelized to reduce the computational time and enhance the accuracy of the solution curve over a complex computational domain [18,35]. An alternative architecture construction of PINN, such as the addition of gating networks [36], is currently being actively investigated to elaborate the domain decomposition strategy.
However, these studies have not been extended to provide robust guidelines in order to construct PINNs for structural dynamics problems. This study aims to extend the application of PINNs within the domain of structural dynamics. The dynamics of cantilevered beams under the description of Euler–Bernoulli beam theory is considered, which involves the balance between fourth-order spatial differential of elastic force and second-order temporal differential of inertial force. Therefore, the optimal strategies to construct PINNs for resolving high-order differentials in structural dynamics are explored. In the following, the bottlenecks that hinder the construction of reliable PINN solutions for high-order differential equations are discussed, and potential remedies are proposed. These can be summarized as follows: (1) scaling analysis for loss configuration, (2) variants in adaptive activation, and (3) the elaboration of neural network architectures. Demonstrations of these remedies are provided through structural dynamics problems. Initially, the free vibration of a cantilevered beam is considered, subsequently extending the analysis to a more challenging problem involving the coupled interaction between a fluid and a structure.

2. Proposed Approach

The PINN aims to construct a continuous and differentiable mapping function, Φ , that approximates some physical quantity, u , while adhering to its governing equation. Suppose that the governing equation of u can be expressed as a differential operator, D , defined in space x and time t as follows:
D ( u x ,   t ) = 0
Here, space x Ω R n and Ω is the spatial domain of dimension n and time t [ 0 , ] . The mapping function constructed with neural networks is denoted as Φ x ,   t     θ ) with trainable weights θ . In general, feed-forward neural networks with fully connected layers and tanh activation are employed to construct a PINN [1,2,14].
The weights, θ , of the constructed PINN can be trained using gradient descent by minimizing the loss function L . The loss function is constructed from the residuals of the governing equation L P D E , the initial conditions L I C , and the boundary conditions L B C . The relative importance of each loss component can be adjusted by introducing regularization coefficients α P D E , α I C , and α B C , resulting in the following expression for the total loss function, L t o t :
L t o t = α P D E L P D E + α I C L I C + α B C L B C
When adopting a PINN for inverse problems, an additional loss term accounting for the prediction error with respect to the measurements, L D a t a , can be included [1,2]. In general, a PINN exhibits better performance when resolving inverse problems. This study only considered a forward problem without guidance from the data, L D a t a , to examine the robustness of the proposed strategies for constructing a PINN.

2.1. Scaling Analysis

The convergence and accuracy of PINNs are significantly impacted due to various problem configurations, such as loss-regularization coefficients, physical variables in PDEs, and reference values in PINNs. However, configuring PINNs is often challenging due to imbalances in physical dimensions and scales that can arise. The loss function is constructed from different physical dimensions in each loss category of PDEs, ICs, and BCs, and there is no guarantee that the scales of loss components are well balanced even within the same loss category. For instance, differential equations with second-order time derivatives require two initial conditions that have different physical dimensions, which can result in scale imbalances in L I C . To address these issues, scaling analysis can provide an advantageous initial estimate for the PINN configuration and help resolve any scale imbalances.
Let us assume that we want to use a PINN, Φ x ,   t     θ ) , to solve the differential operator D , which can be decomposed into spatial differential D x and temporal differential D t , in the domain of in L 2 < x < L 2 and 0 < t < τ h . We can scale the PDE residuals, D x ( Φ x ,   t ) and D t ( Φ x ,   t ) , with the physical variables of the problem, such as the characteristic length scale, L , and the desired time horizon, τ h . For example, if the PDE is constructed from first-order spatial and temporal differentials, with D x = / x and D t = / t , the scales of the differential operators correspond to / x ~   1 / L and / t ~   1 / τ h , respectively. If the characteristic length scale is much larger than the time scale L τ h , the differential operator can be approximated as D D t . Then, a trivial solution that remains constant in time would be found.
One way to prevent this problem is to adjust the time scale of the PINN to ensure that the scales of the differential operators are of the same order of magnitude, O ( D x )   ~   O D t . This can be achieved by adopting a time-marching strategy [14,15], which iteratively trains a series of PINNs with a time step of τ until the desired time horizon, τ h , is reached. The time step τ is then selected to balance the scales between differential operators. For the exemplified first-order differential operators, the scaling as O τ   ~   O ( L ) is obtained from the requirement O ( D x )   ~   O D t .
In addition, the scale imbalance in the loss function must be further addressed. The conventional regularization coefficients α P D E , α I C , and α B C in Equation (2) are insufficient for resolving the scale imbalance in second- or higher-order differential equations. For example, when solving a second-order ODE (ordinary differential equation) for u ( t ) in time t , the ICs can be given as u 0 and ( d u / d t ) | t = 0 . If the MSE (mean-squared error) is used as the loss metric for L , the resulting scales in each loss component, L I C , 1 Φ t | t = 0 ,   u 0 and L I C , 2 ( d Φ t / d t | t = 0 ,   d u / d t ) | t = 0 , correspond to O ( E ( u ) 2 ) and O ( E ( u ) 2 ) / τ 2 , respectively, with the operator E denoting the prediction error. Thus, a significant scale imbalance could arise due to the time step τ . To address this scale imbalance in L I C , additional regularization coefficients, such as α I C ,   1 and α I C ,   2 , can be employed by enforcing the scales in each loss component to be of the same order of magnitude with an additional requirement, α I C ,   1 L I C , 1   ~   α I C ,   2 L I C , 2 . One choice to meet this requirement could be to set α I C ,   1 = 1 and α I C ,   2 = O ( τ 2 ) .
The above argument can be generalized using the notations of L v ,   i and α v ,   i for the loss components and regularization parameters, respectively. Here, v   ϵ   { P D E ,   I C ,   B C } corresponds to the category of the loss, and i is the loss index in each category. The total loss is then rewritten as a weighted summation of loss components with regularization coefficients: L t o t = v i α v ,   i L v ,   i . The basic idea is to adjust the coefficients α v ,   i by enforcing additional conditions that the scales of the weighted loss components be of the same order of magnitude; for example, α v ,   i L v ,   i   ~   O ( 1 ) . Here, the order-of magnitude of the target physical variable O ( u v ,   i ) can be determined from the scaling analysis for the given physical problems, which is exemplified in the later sections.
Suppose that the loss component L v ,   i considers the MSE of a physical variable, u v ,   i , with a desired relative tolerance, ε v ,   i , for the PINN solution. The prediction error can be scaled as E v ,   i ~ ε v ,   i O ( u v ,   i ) , leading to the loss component expressed as L v ,   i   ~   ( E v ,   i ) 2   ~   ε v ,   i 2 O ( u v ,   i 2 ) . Therefore, the regularization coefficients α v ,   i have to be scaled as 1 / ε v ,   i 2 O ( u v ,   i 2 ) to adjust the scales of the weighted loss components to be of O ( 1 ) . Finally, the alternative description of the total loss is obtained as
L t o t = v i L v ,   i     ε v ,   i 2 O u v ,   i 2  
Here, the order of magnitude of the target physical variable, O ( u v ,   i ) , can be determined from the scaling analysis for the given physical problems, which is exemplified in the later sections.
As practical guidance, this study suggests using an initial guess of desired tolerances ε v ,   i as 10−2 for PDEs and 10−3 for BCs and ICs. The PDE loss tends to encourage convergence to a trivial solution of the PDE, such as a zero-valued function over the entire spacetime domain. On the other hand, the loss from ICs and BCs typically causes neural networks to reproduce ICs, regardless of the time change. Therefore, finding an optimal solution between two misguided points is desired. One effective way found in this study is to guide neural networks to learn temporal variations obeying the PDE from the ICs/BCs. Then, the suggestion of the PDE tolerance being 10 times smaller than that of ICs and BCs usually works well to find a solution for a given problem.
One of the easiest ways to satisfy the requirements of scaling analysis is to start with governing equations in dimensionless form, which configures most of the dimensional variables and their derivatives to be scaled as O ( 1 ) . However, when the problem involves multiple characteristic scales in the same physical dimension (for example, when the characteristic length scales in the x- and y-dimensions are distinct), the proposed scaling analysis could be adopted to resolve the scaling imbalances in a more rigorous way. Furthermore, the scale of the dimensionless number in the governing equation could involve an additional imbalance compared to ICs and BCs, which have to be properly resolved based on scaling analysis.

2.2. Variants in Activation

The last layer of a PINN is typically constructed by combining hidden variables linearly, which can be expressed as follows:
i W i σ i ( f x ,   t ) + b
where f represents the non-linear operator of hidden layers except the last layer, and W i and b correspond to the weights and biases in the last layer, respectively. The activation function, σ , plays a significant role in describing the mathematical expression of the PINN prediction. In this regard, the activation could express the expected mathematical representation of the solution curve. Although the tanh activation widely used in PINNs has a number of merits [29], there exist limitations that can deteriorate the expressivity of the neural networks in some problems [30,31].
First, the tanh activation function exhibits poor performance in reproducing periodic behavior [30]. This could be a serious limitation of the PINN since periodic functions are fundamental base functions that construct solution curves for many physical problems. Second, the tanh activation hardly conveys a tendency described from the second-order expansion of the given input vector x j . The first non-linear term in the Taylor series expansion of tanh, tanh x j = x j x j 3 3 + 2 x j 5 15 + O ( x j 7 ) , appears at the third order, which implies that the second-order tendency could not be directly transferred to the next layer. This limitation can be resolved by adding a number of layers, as the second-order variants are reconstructed from the increased higher-order terms. However, this leads to the addition of unnecessary layers as well.
To address the above-described problems, this study employed an alternative activation function, x j + s i n 2 x j , proposed by Ziyin et al. (2020). The Taylor series expansion of sin x j is given by sin x j = x j x j 3 3 ! + x j 5 5 ! + O ( x j 7 ) , leading to x j + s i n 2 x j = x j + x j 2 2 x j 4 3 ! + O ( x j 6 ) . This function ensures the inclusion of second-order tendencies in non-linear trends, as shown in the Taylor series expansion, capturing both linear and higher-order tendencies. However, this activation introduces a correlation between the phase and scale in the output, as it directly bypasses the input, x j , and incorporates a periodic function, s i n 2 x j , with x j as its phase. To overcome this limitation, a linear scaling layer, L S x j = w x j , can be added after the activation, resulting in the output L S x j + s i n 2 ( x j ) . The scaling constant w is determined during training. Although the linear scaling layer may seem unnecessary, it allows the network to explore the outcome of the activation without being affected by the correlation between phase and scale. This approach improves the convergence and robustness of the neural network in experiments. Similarly, adding a linear scaling layer before the activation can also improve performance, which is known as adaptive activation [32].

2.3. Neural Networks’ Architecture

Let us revisit the expression for the PINN prediction in Equation (4). It can be interpreted as a truncated series solution with elements of the form W i σ i . Therefore, it can be argued that the PINN describes a solution curve similar to that obtained from series solution methods, such as power series, Fourier series, and Laplace decomposition [31,32]. This argument inspires the following idea to extend the PINN architecture as a combination of parallels, which directly reflects the decomposed bases of a series solution.
Suppose that the PINN aims to describe a series solution of two decomposed bases. In this case, the neural network architecture can be modified as u ^ x ,   t = k g k x ,   t h k x ,   t , where g and h denote the decomposed bases produced from independent neural networks G x ,   t     θ ) and H x ,   t     θ ) , respectively. The k index corresponds to the truncated number of series solution, and u ^ is the final prediction of the PINN. Moreover, the input parameters of the decomposed bases can be designated to guide the PINN prediction. If we separate x and t inputs for each decomposed base, the PINN would represent the spatiotemporal decomposition (STD), and the prediction would be of the following form: u ^ x ,   t = k g k x h k t . The proposed neural network architectures will be further illustrated in the experimental sections that follow.

3. Experiments

3.1. Vibration of a Cantilever

3.1.1. Modeling

The vibrations of a cantilevered beam, shown in Figure 1a, can be described by the dynamic Euler–Bernoulli bending theory under the small amplitude assumption, which can be expressed as follows:
μ 2 ω ( x , t ) t 2 + B 4 ω ( x , t ) x 4 = q ( x , t )
Here, ω x ,   t represents the vertical deflection of the beam at the horizontal position x and time t . The horizontal position x varies from 0 to the beam length, L . The parameters μ and B are the mass per unit length and flexural rigidity, respectively. For a rectangular cross-section, the mass per unit length μ can be expressed as ρ s h l , where ρ s is the density of the beam, h is the thickness, and l is the width. The flexural rigidity is the product of Young’s modulus, E , and the area moment of inertia of the cross-section I , which can be expressed as B = E I . The area moment of inertia of the plate I can be calculated using the formula I = h 3 l 12 .
The cantilevered beam is subject to fixed and free end boundary conditions at x = 0 and x = L , respectively. These conditions require that ω = 0 and ω / x = 0 at x = 0 , and that 2 ω / x 2 = 0 and 3 ω / x 3 = 0 at x = L , and they are denoted as BC,1 to BC,4 in the following configuration. Additionally, to simulate the free vibration of the cantilevered beam, we consider an initial condition corresponding to a static cantilevered plate with end load P. This initial condition is characterized by the initial displacement of ω x , 0 = P x 2 ( 3 L x ) / 6 E I and an initial velocity of ω x , 0 / t of zero. At the start of the simulation ( t = 0 ), the load is released, and the cantilevered beam begins to vibrate freely, without any transverse load ( q x , t = 0 ). The initial displacement and velocity conditions are denoted as IC,1 and IC,2, respectively.

3.1.2. Configuration

The characteristic time scale, τ , and characteristic length scale of deflection, ω R e f , are considered at the beginning of the configuration. The time scale, τ , can be described by balancing the inertia and restoring forces in the governing Equation (5), resulting in τ ~ ( μ B L 4 ) 1 / 2 . ω R e f can be scaled by balancing the initial load and the restoring force, giving ω R e f ~ P L 3 / B . These characteristic scales allow for the expression of the following conditions for each loss component.
The PDE error E P D E ,   1 represents the difference between μ 2 ω ( x , t ) t 2 and B 4 ω ( x , t ) x 4 in Equation (5) in the absence of the external load q x ,   t . The PDE loss can be scaled using a desired relative tolerance ε P D E ,   1 such that E P D E ,   1   ~   ε P D E ,   1 μ 2 ω ( x , t ) t 2   ~   ε P D E ,   1 μ ω R e f τ 2 , leading to the scaling of the PDE loss as L P D E , 1   ~   E P D E ,   1 2   ~   ( ε P D E ,   1 μ ω R e f τ 2 ) 2 . Similar arguments can be made for the BCs and ICs. Specifically, L B C , 1 ~   ( ε B C ,   1 ω R e f ) 2 , L B C , 2   ~   ( ε B C ,   2 ω R e f L ) 2 , L B C , 3   ~   ( ε B C ,   3 ω R e f L 2 ) 2 , and L B C , 4   ~   ( ε B C ,   4 ω R e f L 3 ) 2 represent the loss due to boundary conditions, while L I C , 1 ~   ( ε I C ,   1 ω R e f ) 2 and L I C , 2 ~   ( ε I C ,   2 ω R e f τ ) 2 represent the loss due to initial conditions.
By integrating the above scaling relations into Equation (3), the total loss L t o t can be rewritten as follows:
L t o t = L ~ P D E     + L ~ I C + L ~ B C    
where the scaled losses are defined as follows:
L ~ P D E = τ 4 ε P D E ,   1 μ ω R e f 2 L P D E     L ~ I C = 1 ( ε I C ,   1 ω R e f ) 2 L I C , 1 + τ 2 ε I C ,   2 ω R e f 2 L I C , 2 L ~ B C = 1 ε B C ,   1 ω R e f 2 L B C , 1 + L 2 ( ε B C ,   2 ω R e f ) 2 L B C , 2 + L 4 ( ε B C ,   3 ω R e f ) 2 L B C , 3 +   L 6 ( ε B C ,   4 ω R e f ) 2 L B C , 4
The relative tolerances are adopted as ε I C = ε B C = 10 3 and ε P D E = 10 2 , corresponding to the guidance for the initial guess in the former section except for the elaboration made for ε B C , 1 = 10 4 . The loss construction based on the suggested scaling law dramatically improves the convergence of the PINN. It is worth noting that the hyperparameter search based on the regular configuration from Equation (2) could not obtain a reliable solution. This is supported by the absolute lack of the PINN solution for the dynamic beam bending problem [23], despite its abundance in engineering applications.

3.1.3. Neural Networks’ Architecture

Figure 1b shows the PINN architecture used to solve the free vibration of a cantilever. The model is designed to take two input variables, x and t , defined in the ranges [ 0 ,   L ] and [ 0 ,   τ ] , respectively, where τ is the characteristic time scale used in the configuration. A time-marching strategy is applied to extend the time horizon of the solution [14,15]. This involves training a sequence of independent PINN models with a time step, τ , using the predictions of the previous model as the initial conditions for the next one.
To separate the scales of trainable weights by physical dimensions, the PINN model has adopted two different global scaling layers at the top and bottom of the architecture. In the global scaling layers, the scaling constants are fixed by design, leading to zero trainable weights in those layers. The global scaling layer at the top adjusts the scales of the input variables ( x and t ) in the range of 1 to + 1 with respect to L and τ . The scaled inputs are denoted as x ~ and t ~ , respectively. Meanwhile, the global scaling layer at the bottom linearly increases the output with a proportionality constant equal to the characteristic deflection scale ω R e f .
The hidden layers between the two global scaling layers are constructed based on STD. The hidden layers consist of two parallel structures that reflect STD, denoted as G x ~   θ ) and H   t ~   θ ) . Each decomposed structure has two fully connected layers with ten neurons each at the top. The x j + s i n 2 x j activation is employed with a local scaling layer, w x j . The constructed architecture is schematically illustrated in Figure 1b. The proportional constant in the local scaling layer w is determined by training. The outcomes of these fully connected layers are combined using an additional fully connected layer without activation, which produces single numeric valued outcomes g ( x ~ ) and h ( t ~ ) for structure G and H , respectively. g ( x ~ ) and h ( t ~ ) are merged via multiplication, resulting in ω ~ x ~ ,   t ~ = g x ~ h ( t ~ ) . Therefore, the final prediction can be expressed as ω ( x , t ) = ω R e f ω ~ from the global scaling layer at the bottom. The constructed STD-PINN has a total of 286 trainable weights, which is orders of magnitude less than regular PINN architectures that have O ( 10 3 ) to O ( 10 4 ) trainable weights [1]. The regular PINN is constructed with fully connected layers and tanh activation, where three hidden layers of eleven neurons each are adopted, resulting in a similar size to the STD-PINN, with a total of 309 trainable weights.
The collocation points were randomly sampled from the simulation domain, with 300, 300, and 5000 points selected for ICs, BCs, and PDE losses, respectively. The training process began with the Adam optimizer [37], using a learning rate of 10−2 for 200 epochs, which successfully initiated the learning procedure. Afterwards, the optimizer was switched to the L-BFGS-G algorithm using the Scipy implementation [38,39].

3.1.4. Results

The performance of the proposed STD-PINN was examined through a comparison to the regular PINN, used as a baseline. The global scaling layer is also adopted at the top, which adjusts the input variables to range from −1 to +1, identical to those of the present STD-PINN and the original PINN model [1]. However, the configuration based on the scaling law and the resulting global scaling layer at the bottom were not adopted for the baseline model. The loss function was constructed based on Equation (2).
Therefore, the stepwise improvements from the regular PINN can be suggested from the strategies proposed in this study as (1) the configuration based on the scaling law with the regular PINN architecture and (2) STD-PINN in addition to the scaling law, which are termed model 1 and model 2, respectively, in the following. The predictions of the PINN models (baseline, model 1, and model 2) were evaluated compared to the truncated semi-analytic solution from beam bending theory, which accounts for up to the fifth bending modes. The semi-analytic solution was realized based on the Sympy library [40].
Table 1 shows the L 1 absolute and L 2 relative errors of the PINN models. The errors were calculated for five cycles of oscillation in terms of the period of the first bending mode. As mentioned earlier, the regular PINN was not able to find a reliable solution for the problem of the free vibration of the beam. The L 1 and L 2 errors of the regular PINN are 7.56 × 10 3 and 7.20 × 10 0 , respectively. As a remedy, the proposed strategies greatly improved the predictions of the PINN models, as shown in the errors of model 1 and model 2. The predictions of model 2 (STD-PINN) exhibited approximately 10-fold smaller errors compared to model 1 (the regular PINN with the scaling law). Furthermore, the corresponding R2 scores for Model 1 and Model 2 are 0.96964 and 0.99917, respectively.
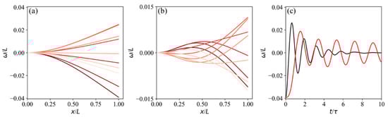
Figure 2a illustrates the beam displacement profiles obtained from the STD-PINN (solid lines) compared to those of the truncated solution (dots), where 10 consecutive snapshots are shown from the initial end load condition for half a cycle of the first bending mode. The predictions of the STD-PINN method exhibit good agreement with the semi-analytic solution. Note that the figure was drawn by amplifying the y-scale to clearly show the beam oscillation. The training procedure and predicted solutions of model 1 and model 2 are further compared in Figure 2b,c. The trend in training loss was plotted according to the training epochs in Figure 2b, where the black and red lines indicate model 1 and model 2, respectively.
As the L-BFGS-B optimization algorithm was employed, the iterative training epochs were prolonged as the loss function approached convergence. Consequently, the number of epochs varied by training case, in contrast to situations where the number of epochs was predetermined according to hyperparameters. The STD-PINN demonstrates more rapid convergence compared to the regular PINN. Model 1 (only with scaling law configuration) exhibited much slower convergence to an order-of-magnitude-greater training loss compared to model 2 (STD-PINN extension). The trajectories of the beam end are illustrated in Figure 2c. The predictions of models 1 and 2 were almost identical from the start of the oscillation to the first cycle. However, the oscillation amplitude predicted from the regular PINN architecture was attenuated gradually, indicating limited accuracy in describing beam oscillation.

3.2. Flutter of a Slender Cantlilever in Axial Flow

3.2.1. Modeling

The fluid flow-induced flutter of a cantilever was considered, where the transverse load q x ,   t in Equation (5) originated from the coupled interaction with fluid flow. When the cantilevered beam is assumed to be slender ( L l ), the aerodynamic force exerted on the cantilevered beam can be modeled using Lighthill’s elongated body theory [41]. The transverse load is approximated as a reaction force to the rate of change of the fluid momentum, m a ( D v / D t ) , where m a is the added mass, and v is the transverse fluid velocity. The added mass of the slender plate can be modeled as π ρ f l 2 / 4 , where ρ f is the fluid density [42].
The transverse fluid velocity, v , can be described by the kinematic boundary condition on the cantilevered beam, which is expressed as v = ω / t + U ω / x , based on the small-perturbation assumption with respect to the incoming fluid velocity, U . When all the equations are integrated, the transverse load q x ,   t is expressed as a second-order differential equation of the deflection of the beam ω :
q x , t = π ρ f l 2 4 2 ω t 2 + 2 U 2 ω x   t + U 2 2 ω x 2 .
Thus, the entire system is described by the coupled equations of fluid and structure, which correspond to the fourth-order differential equation from the dynamic beam-bending Equation (5) and the second-order differential equation from the elongated body theory (7).

3.2.2. Configuration

The fluid-induced flutter of a cantilever arises above a certain critical velocity as the fluid dynamic pressure excites an oscillatory mode [43]. The characteristic timescale is then redefined by considering the balance of the fluid dynamic force and inertia as follows. The fluid force per unit length can be expressed as 1 2 ρ f U 2 l ω R e f L , where ρ f is the fluid density, U is the incoming fluid velocity, l is the width of the cantilever, and ω R e f L , is the scale of a tilted angle. When the inertia force μ ω R e f τ 2 is equated with the fluid force 1 2 ρ f U 2 l ω R e f L , the characteristic timescale for fluid-induced flutter is obtained as τ ~ ( 2 μ L ρ f U 2 l ) 1 / 2 . The losses in Equation (6) are then reconfigured with the modified timescale, which leads to scale variations in L ~ I C , 2 and L ~ P D E . Furthermore, to improve the convergence, we employed the elaboration of relative tolerances in ε I C , 1 = 10 4 , in addition to ε B C , 1 = 10 4 . The rest of the relative tolerances were determined as ε I C = ε B C = 10 3 and ε P D E = 10 2 .

3.2.3. Neural Networks’ Architecture

The PINN architecture was constructed as a sequence of the following layers, as schematically illustrated in Figure 3: the global scaling layer at the top, which adjusts the input to the range of −1 to 1; two parallel structures reflecting decomposed bases; a merging layer; and the final global linear scaling with ω R e f . Whereas the global scaling layers are identical to those used for the free vibration problem, the parallel structures in the middle were designed to take both scaled space and time, in contrast to STD in the free vibration problem. Therefore, the parallel structures in the middle can be denoted as G x , ~ t ~ θ ) and H x , ~ t ~ θ ) . Fully connected neural networks composed of two hidden layers and 20 neurons are employed for each of the parallel structures with x + s i n 2 x activation. The outcomes of each structure are merged using elementwise multiplication as g i x , ~ t ~ h i x , ~ t ~ , where i corresponds to the number of hidden neurons, which is 20. The outputs are superimposed to produce a single value, ω ~ , using a fully connected layer without activation, leading to ω ~ = i W i g i x , ~ t ~ h i x , ~ t ~ + b , where W i represents the weights, and b represents the bias. The superimposed value is linearly scaled at the last layer to produce the final prediction as ω R e f ω ~ .

3.2.4. Results

The following experiment tested whether the PINN could accurately describe the sub-critical behavior of a cantilevered plate in axial flow [44,45]. Two different conditions were studied, corresponding to the stable and fluttering modes at a dimensionless velocity of U ~ = μ / B U L of around 2.6 and 15.8, respectively, at the given dimensionless mass of m ~ = ρ f L l / μ of around 0.14. It is important to note that the critical dimensionless velocity of flutter was expected to be around 15, based on Eloy et al. (2007). Below the critical velocity, the free vibration of a cantilever would be attenuated by stabilizing fluid dynamic pressure. On the other hand, beyond the critical velocity, the incoming fluid flow would destabilize the cantilever, leading to fluid-induced flutter with excitation of higher bending modes [46,47].
Figure 4 exhibits the predictions of the proposed PINN model for the stable mode (Figure 4a) and the fluttering mode (Figure 4b). The critical behavior of the fluttering cantilevered beam is successfully captured by the proposed PINN model. In Figure 4a, snapshots over one cycle are shown, starting from the release of the initial end load condition, with ten consecutive deflection profiles depicted in chronological order from dark to light red. The amplitude of displacement significantly decayed as the fluid dynamic pressure acted like a damping force. The displacement curve of the cantilever end for prolonged cycles is shown as a black line in Figure 4c, clearly demonstrating that the fluid-dynamic force stabilized the vibration of the cantilever by gradually reducing the amplitude of the oscillation.
As the incoming fluid velocity increased, the emergence of fluttering behavior was predicted via the PINN model. Whereas the higher-order bending mode appeared in the deflection profiles of the cantilever, as shown in Figure 4b, the domination of the first bending mode was observed in both free vibration (Figure 2b) and the stable mode (Figure 4a). The predicted profile corresponds to a single-neck flutter, widely observed in previous numerical simulations [43,44] and experiments [45,46,47] in flag flutter. The displacement profile of the cantilever end, depicted as a red line in Figure 4c, also confirms the appearance of periodic flutter in the PINN prediction. It is remarkable that the PINN could capture the emergence of the critical behavior of the cantilever in axial flow by resolving coupled differential Equations (5) and (7).

3.3. One-Dimensional Advection in High Velocity

3.3.1. Modeling

We next examined whether the proposed strategy could be extended to resolve issues beyond structural dynamics as follows. The 1D advection equation is one of the simplest equations in physics, typically used to describe wave propagation with constant velocity c, as shown below:
u ( x , t ) t + c u ( x , t ) x = 0
Krishnapriyan et al. (2021) proposed that the regular PINN fails to obtain a reliable solution for the 1D advection equation in high-velocity conditions, where c > 10 in a given domain of x [ 0 ,   2 π ) and t   [ 0 ,   1 ] . This observation prompted the use of a new training strategy, termed curriculum training, in that paper, which repeatedly trains the PINN by gradually increasing the wave speed, c . In this experiment, the strategies proposed in this study, including scaling analysis for configuration and alternative activation, were tested by resolving the extremely high-velocity condition of c = 30 . The solution curve was found in the same domain with the initial condition corresponding to u x , 0 = s i n ( x ) and periodic boundary conditions as u 0 , t = u ( 2 π , t ) .

3.3.2. Configuration

The characteristic time scale of the 1D advection problem can be expressed as τ   ~   L c = 2 π 30 , with L being the spatial domain size. This experiment used a reference time scale of 0.2 with five time-marching steps. Then, the PINN constructed the solution curve within the time domain of interest, t   [ 0 ,   1 ] . The characteristic scale of the wave amplitude u x , t can be considered O ( 1 ) based on the initial condition, u x , 0 = s i n ( x ) . The PDE error was then scaled as E P D E   ~   ε P D E u ( x , t ) t   ~   ε P D E u τ ~   ε P D E τ . The errors of IC and BCs correspond to the scales of desired tolerances, with E I C   ~   ε I C u   ~   ε I C and E B C   ~   ε B C u   ~   ε B C . Finally, the losses can be scaled with the square of the error, as follows: L P D E   ~   ( ε P D E τ ) 2 , L I C   ~   ε I C 2 and L B C   ~   ε B C 2 . The relative tolerances were selected as ε I C = ε B C = 10 3 and ε P D E = 10 2 .

3.3.3. Neural Networks

This experiment examined three stepwise enhancements to the regular PINN, which are referred to as models 1 to 3. All models utilized the scaling law configuration described earlier, as well as an identical PINN architecture shown in Figure 5, except for the activation function. The architecture consisted of fully connected neural networks with two hidden layers, each containing 20 neurons. Notably, the global scaling layer was applied only at the top, and the final layer produced a scalar output through a dense layer without a global scaling layer.
First, model 1 used the tanh activation function. The only difference between the regular PINN and model 1 was the scaling law configuration. Next, model 2 replaced the tanh activation with the x + s i n 2 x activation function and added a linear scaling layer after the activation layer. Finally, the prior knowledge of the solution curve of the 1D advection problem inspired the use of an alternative activation function. It was expected that the 1D advection equation had a traveling wave solution from the initial sinusoidal profile. Therefore, model 3 was constructed with two hidden layers of different activations, the x + s i n 2 x activation at the top and the s i n x activation at the bottom, as shown in Figure 5. As a result, the PINN models had a 2 × 20 × 20 × 1 structure, leading to 501 trainable weights for model 1 and 503 trainable weights for models 2 and 3 via the addition of two more weights to the local scaling layer.

3.3.4. Results

Table 2 exhibits the L 1 absolute and L 2 relative errors of the proposed PINN models; the prediction errors are compared with the baseline results of Krishnapriyan et al. (2021). The experiments suggest that the proposed strategy could dramatically elaborate the PINN solution. The prediction errors are improved by an order of magnitude: from two-digit to three-digit relative errors. It is noted that the two-digit error of the curriculum training strategy is already a tenfold improvement from the regular PINN [14]. Furthermore, the proposed modifications from model 1 to model 3 are shown to gradually improve PINN solutions. The best prediction error of model 3 suggests that the given knowledge of the mathematical expression of the solution curve can be used to guide the neural networks’ architecture.

4. Discussion

This study systematically investigated strategies for constructing PINNs to resolve the structural dynamics of a cantilever, specifically in scenarios where the application of PINN solutions was previously limited. Initially, the study addressed the free vibration of a cantilevered beam, involving fourth-order differentials in space and second-order differentials in time. Subsequently, the fluid-induced flutter of a cantilevered cylinder was examined, utilizing the coupled dynamic equations from Euler–Bernoulli beam bending theory and Lighthill’s elongated body theory. The primary contribution of this research is the development of reliable strategies that significantly enhance the capability of PINNs to model complex structural dynamics. Further considerations of inextensibility, large amplitude oscillation, and the integration of lift-driven and resistive forces could be the next challenge for the PINN in relevant areas. Additionally, replacing global scaling factors with sub-networks to address the inverse problem in our approach could be a potential extension of this strategy to further mitigate the vibration problem.
The novel strategies proposed in this study have significantly aided in resolving structural dynamics problems. Firstly, the configuration of the PINN was optimized using scaling analysis, which considers the relative scales of the physical variables in terms of their characteristic scales. This approach helped balance the relative importance of constraints from PDEs, BCs, and ICs, resulting in significant improvements in both the accuracy of PINN predictions and the efficiency of training procedures. Secondly, an alternative activation function to tanh, x j + s i n 2 ( x j ) activation, followed by a linear scaling layer w x j , was employed. This function proved effective in capturing the second-order non-linearity of the input variables, enabling the network to model the periodic nature of the phenomena under study. Lastly, the mathematical interpretation of the problem informed the PINN architecture. For instance, by constructing the neural network architecture to reflect the decomposed bases of the desired solution, akin to a combination of parallels, the PINN effectively resolved structural dynamics problems, informed by physical interpretations from modal behaviors. Furthermore, the time domain considered in the PINN model can be extended to additional time steps by repetitively training neural networks using the results from the previous model, which is similar to extrapolating the time domain data.
The strategies proposed in this study are expected to provide crucial guidelines for constructing PINNs in the realm of structural dynamics problems. Furthermore, these strategies, focusing on guided configuration and architecture designs, can be effectively integrated with recent advancements in PINN technology, including enhanced gradient flows [12], considerations of causality [10,13], parallelization techniques [18], and optimized collocation points sampling [20]. By synergizing these strategies with recent developments, the potential of PINNs to resolve complex problems in various scientific domains can be significantly expanded. Consequently, these strategies are anticipated to substantially broaden the scope and applicability of PINNs in addressing a wide range of challenging problems, notably in the field of structural dynamics.
In conclusion, this research not only delineates effective new methodologies for applying PINNs to structural dynamics but also sets a precedent for future work in the area. By showcasing the versatility and robustness of our approaches, we anticipate influencing both theoretical developments and practical applications in the broader field of computational mechanics. These contributions highlight the transformative potential of PINNs in engineering and science, promising substantial progress in tackling previously intractable problems.

Author Contributions

Conceptualization, J.L., K.P. and W.J.; methodology, J.L.; software, J.L. and W.J.; validation, J.L., K.P. and W.J.; writing—original draft preparation, J.L.; writing—review and editing, W.J. and K.P. All authors have read and agreed to the published version of the manuscript.

Funding

This work was supported by the National Research Foundation of Korea (NRF) grant, funded by the Korean government (MSIT) under Grant No. RS-2023-00279929, and by the 2022 Gachon University Research Fund under Grant No. GCU-202205780001.

Data Availability Statement

The source code and trained results for examples are available at https://github.com/JeongsLee/ (accessed on 1 July 2024).

Conflicts of Interest

The authors declare no conflicts of interest.

References

  1. Raissi, M.; Perdikaris, P.; Karniadakis, G.E. Physics-informed neural networks: A deep learning framework for solving forward and inverse problems involving nonlinear partial differential equations. J. Comput. Phys. 2019, 378, 686–707. [Google Scholar] [CrossRef]
  2. Mao, Z.; Jagtap, A.D.; Karniadakis, G.E. Physics-informed neural networks for high-speed flows. Comput. Methods Appl. Mech. Eng. 2020, 360, 112789. [Google Scholar] [CrossRef]
  3. Cai, S.; Wang, Z.; Wang, S.; Perdikaris, P.; Karniadakis, G.E. Physics-informed neural networks for heat transfer problems. J. Heat Transf. 2021, 143, 060801. [Google Scholar] [CrossRef]
  4. Peng, W.; Zhang, J.; Zhou, W.; Zhao, X.; Yao, W.; Chen, X. IDRLnet: A physics-informed neural network library. arXiv 2021, arXiv:2107.04320. [Google Scholar]
  5. Raissi, M.; Yazdani, A.; Karniadakis, G.E. Hidden fluid mechanics: Learning velocity and pressure fields from flow visualizations. Science 2020, 367, 1026–1030. [Google Scholar] [CrossRef]
  6. Lu, L.; Pestourie, R.; Yao, W.; Wang, Z.; Verdugo, F.; Johnson, S.G. Physics-informed neural networks with hard constraints for inverse design. SIAM J. Sci. Comput. 2021, 43, B1105–B1132. [Google Scholar] [CrossRef]
  7. Kharazmi, E.; Fan, D.; Wang, Z.; Triantafyllou, M.S. Inferring vortex induced vibrations of flexible cylinders using physics-informed neural networks. J. Fluids Struct. 2021, 107, 103367. [Google Scholar] [CrossRef]
  8. Gao, H.; Zahr, M.J.; Wang, J.X. Physics-informed graph neural Galerkin networks: A unified framework for solving PDE-governed forward and inverse problems. Comput. Methods Appl. Mech. Eng. 2022, 390, 114502. [Google Scholar] [CrossRef]
  9. Kim, Y.; Choi, Y.; Widemann, D.; Zohdi, T. A fast and accurate physics-informed neural network reduced order model with shallow masked autoencoder. J. Comput. Phys. 2022, 451, 110841. [Google Scholar] [CrossRef]
  10. Mojgani, R.; Balajewicz, M.; Hassanzadeh, P. Kolmogorov n-width and Lagrangian physics-informed neural networks: A causality-conforming manifold for convection-dominated PDEs. Comput. Methods Appl. Mech. Eng. 2023, 404, 115810. [Google Scholar] [CrossRef]
  11. Wang, S.; Yu, X.; Perdikaris, P. When and why PINNs fail to train: A neural tangent kernel perspective. J. Comput. Phys. 2022, 449, 110768. [Google Scholar] [CrossRef]
  12. Yu, J.; Lu, L.; Meng, X.; Karniadakis, G.E. Gradient-enhanced physics-informed neural networks for forward and inverse PDE problems. Comput. Methods Appl. Mech. Eng. 2022, 393, 114823. [Google Scholar] [CrossRef]
  13. Wang, S.; Sankaran, S.; Perdikaris, P. Respecting causality is all you need for training physics-informed neural networks. arXiv 2022, arXiv:2203.07404. [Google Scholar]
  14. Krishnapriyan, A.; Gholami, A.; Zhe, S.; Kirby, R.; Mahoney, M.W. Characterizing possible failure modes in physics-informed neural networks. Adv. Neural Inf. Process. Syst. 2021, 34, 26548–26560. [Google Scholar]
  15. Bihlo, A.; Popovych, R.O. Physics-informed neural networks for the shallow-water equations on the sphere. J. Comput. Phys. 2022, 456, 111024. [Google Scholar] [CrossRef]
  16. Haitsiukevich, K.; Ilin, A. Improved Training of Physics-Informed Neural Networks with Model Ensembles. In Proceedings of the 2023 International Joint Conference on Neural Networks (IJCNN), Gold Coast, Australia, 18–23 June 2023. [Google Scholar]
  17. Moseley, B.; Markham, A.; Nissen-Meyer, T. Finite Basis Physics-Informed Neural Networks (FBPINNs): A scalable domain decomposition approach for solving differential equations. Adv. Comput. Math. 2023, 49, 62. [Google Scholar] [CrossRef]
  18. Shukla, K.; Jagtap, A.D.; Karniadakis, G.E. Parallel physics-informed neural networks via domain decomposition. J. Comput. Phys. 2021, 447, 110683. [Google Scholar] [CrossRef]
  19. Leiteritz, R.; Pflüger, D. How to Avoid Trivial Solutions in Physics-Informed Neural Networks. arXiv 2021, arXiv:2112.05620. [Google Scholar]
  20. Daw, A.; Bu, J.; Wang, S.; Perdikaris, P.; Karpatne, A. Rethinking the importance of sampling in physics-informed neural networks. arXiv 2022, arXiv:2207.02338. [Google Scholar]
  21. Yuan, F.G.; Zargar, S.A.; Chen, Q.; Wang, S. Machine learning for structural health monitoring: Challenges and opportunities. Sens. Smart Struct. Technol. Civ. Mech. Aerosp. Syst. 2020, 11379, 1137903. [Google Scholar]
  22. Chen, Q. Physics Informed Learning for Dynamic Modeling of Beam Structures. Master’s Thesis, North Carolina State University, Raleigh, NC, USA, 2020. [Google Scholar]
  23. Zhang, Z.; Gu, G.X. Physics-informed deep learning for digital materials. Theor. Appl. Mech. Lett. 2021, 11, 100220. [Google Scholar] [CrossRef]
  24. Sukumar, N.; Srivastava, A. Exact imposition of boundary conditions with distance functions in physics-informed deep neural networks. Comput. Methods Appl. Mech. Eng. 2022, 389, 114333. [Google Scholar] [CrossRef]
  25. Katsikis, D.; Muradova, A.D.; Stavroulakis, G.E. A Gentle Introduction to Physics-Informed Neural Networks, with Applications in Static Rod and Beam Problems. J. Adv. Appl. Comput. Math. 2022, 9, 103–128. [Google Scholar] [CrossRef]
  26. Bai, J.; Rabczuk, T.; Gupta, A.; Alzubaidi, L.; Gu, Y. A physics-informed neural network technique based on a modified loss function for computational 2D and 3D solid mechanics. Comput. Mech. 2022, 71, 543–562. [Google Scholar] [CrossRef]
  27. Xiang, Z.; Peng, W.; Liu, X.; Yao, W. Self-adaptive loss balanced Physics-informed neural networks. Neurocomputing 2022, 496, 11–34. [Google Scholar] [CrossRef]
  28. McClenny, L.D.; Braga-Neto, U.M. Self-adaptive physics-informed neural networks. J. Comput. Phys. 2023, 474, 111722. [Google Scholar] [CrossRef]
  29. Szandała, T. Review and comparison of commonly used activation functions for deep neural networks. In Bio-Inspired Neurocomputing; Springer: Singapore, 2021; pp. 203–224. [Google Scholar]
  30. Ziyin, L.; Hartwig, T.; Ueda, M. Neural networks fail to learn periodic functions and how to fix it. Adv. Neural Inf. Process. Syst. 2020, 33, 1583–1594. [Google Scholar]
  31. Sitzmann, V.; Martel, J.; Bergman, A.; Lindell, D.; Wetzstein, G. Implicit neural representations with periodic activation functions. Adv. Neural Inf. Process. Syst. 2020, 33, 7462–7473. [Google Scholar]
  32. Jagtap, A.D.; Kawaguchi, K.; Karniadakis, G.E. Adaptive activation functions accelerate convergence in deep and physics-informed neural networks. J. Comput. Phys. 2020, 404, 109136. [Google Scholar] [CrossRef]
  33. Jagtap, A.D.; Shin, Y.; Kawaguchi, K.; Karniadakis, G.E. Deep Kronecker neural networks: A general framework for neural networks with adaptive activation functions. Neurocomputing 2022, 468, 165–180. [Google Scholar] [CrossRef]
  34. Jagtap, A.D.; Kharazmi, E.; Karniadakis, G.E. Conservative physics-informed neural networks on discrete domains for conservation laws: Applications to forward and inverse problems. Comput. Methods Appl. Mech. Eng. 2020, 365, 113028. [Google Scholar] [CrossRef]
  35. Jagtap, A.D.; Karniadakis, G.E. Extended Physics-informed Neural Networks (XPINNs): A Generalized Space-Time Domain Decomposition based Deep Learning Framework for Nonlinear Partial Differential Equations. Commun. Comput. Phys. 2020, 28, 2002–2041. [Google Scholar] [CrossRef]
  36. Hu, Z.; Jagtap, A.D.; Karniadakis, G.E.; Kawaguchi, K. Augmented Physics-Informed Neural Networks (APINNs): A gating network-based soft domain decomposition methodology. Eng. Appl. Artif. Intell. 2023, 126, 107183. [Google Scholar] [CrossRef]
  37. Kingma, D.P.; Ba, J. Adam: A method for stochastic optimization. arXiv 2014, arXiv:1412.6980. [Google Scholar]
  38. Zhu, C.; Byrd, R.H.; Lu, P.; Nocedal, J. Algorithm 778: L-BFGS-B: Fortran subroutines for large-scale bound-constrained optimization. ACM Trans. Math. Softw. 1997, 23, 550–560. [Google Scholar] [CrossRef]
  39. Virtanen, P.; Gommers, R.; Oliphant, T.E.; Haberland, M.; Reddy, T.; Cournapeau, D.; Burovski, E.; Peterson, P.; Weckesser, W.; Bright, J.; et al. SciPy 1.0: Fundamental algorithms for scientific computing in Python. Nat. Methods 2020, 17, 261–272. [Google Scholar] [CrossRef]
  40. Meurer, A.; Smith, C.P.; Paprocki, M.; Čertík, O.; Kirpichev, S.B.; Rocklin, M.; Kumar, A.; Ivanov, S.; Moore, J.K.; Singh, S.; et al. SymPy: Symbolic computing in Python. PeerJ Comput. Sci. 2017, 3, e103. [Google Scholar] [CrossRef]
  41. Lighthill, M.J. Aquatic animal propulsion of high hydromechanical efficiency. J. Fluid Mech. 1970, 44, 265–301. [Google Scholar] [CrossRef]
  42. Lighthill, M.J. Note on the swimming of slender fish. J. Fluid Mech. 1960, 9, 305–317. [Google Scholar] [CrossRef]
  43. Tang, L.; Paidoussis, M.P. On the instability and the post-critical behaviour of two-dimensional cantilevered flexible plates in axial flow. J. Sound Vib. 2007, 305, 97–115. [Google Scholar] [CrossRef]
  44. Eloy, C.; Souilliez, C.; Schouveiler, L. Flutter of a rectangular plate. J. Fluids Struct. 2007, 23, 904–919. [Google Scholar] [CrossRef]
  45. Taneda, S. Waving motions of flags. J. Phys. Soc. Jpn. 1968, 24, 392–401. [Google Scholar] [CrossRef]
  46. Eloy, C.; Lagrange, R.; Souilliez, C.; Schouveiler, L. Aeroelastic instability of cantilevered flexible plates in uniform flow. J. Fluid Mech. 2008, 611, 97–106. [Google Scholar] [CrossRef]
  47. Kato, H.; Watanabe, M. Three-dimensional nonlinear analysis and wind-tunnel experiment of flutter generated on a rectangular sheet in uniform flow. J. Fluids Struct. 2021, 101, 103226. [Google Scholar]
Figure 1. (a) Schematic illustration of the free vibration of a cantilevered beam. (b) Neural network architecture reflecting the STD approach employed to resolve the vibration of a cantilever.
Figure 1. (a) Schematic illustration of the free vibration of a cantilevered beam. (b) Neural network architecture reflecting the STD approach employed to resolve the vibration of a cantilever.
Applsci 14 07002 g001
Figure 2. (a) Displacement profiles of the free vibration of a cantilevered beam over a half-cycle of the first bending mode from the truncated solution (dots) and STD-PINN (solid lines). (b) The trend in training loss over the number of epochs for model 1 (black) and model 2 (red). (c) Trajectories of the beam ends as predicted using Model 1 (black) and Model 2 (red), with the truncated mode solution shown as a blue dotted line.
Figure 2. (a) Displacement profiles of the free vibration of a cantilevered beam over a half-cycle of the first bending mode from the truncated solution (dots) and STD-PINN (solid lines). (b) The trend in training loss over the number of epochs for model 1 (black) and model 2 (red). (c) Trajectories of the beam ends as predicted using Model 1 (black) and Model 2 (red), with the truncated mode solution shown as a blue dotted line.
Applsci 14 07002 g002
Figure 3. Neural networks’ architecture adopting two decomposed bases to resolve fluid-induced flutter.
Figure 3. Neural networks’ architecture adopting two decomposed bases to resolve fluid-induced flutter.
Applsci 14 07002 g003
Figure 4. Displacement profiles of the vibration of a cantilevered beam in an axial flow of (a) 1 m/s and (b) 6 m/s, which correspond to the U ~ of 2.6 and 15.8, respectively, at the m ~ of 0.14. (c) The trajectories of the beam end, where the black and red lines correspond the axial flow of 1 m/s and 6 m/s, respectively.
Figure 4. Displacement profiles of the vibration of a cantilevered beam in an axial flow of (a) 1 m/s and (b) 6 m/s, which correspond to the U ~ of 2.6 and 15.8, respectively, at the m ~ of 0.14. (c) The trajectories of the beam end, where the black and red lines correspond the axial flow of 1 m/s and 6 m/s, respectively.
Applsci 14 07002 g004
Figure 5. The neural networks’ architecture adopted to resolve the 1D advection problem. Models 1, 2, and 3 employed different activation functions with the same neural network architecture and scaling configuration.
Figure 5. The neural networks’ architecture adopted to resolve the 1D advection problem. Models 1, 2, and 3 employed different activation functions with the same neural network architecture and scaling configuration.
Applsci 14 07002 g005
Table 1. Training errors of the regular PINN as a baseline, model 1 configured from the scaling law, and model 2 realized with STD-PINN and the scaling law.
Table 1. Training errors of the regular PINN as a baseline, model 1 configured from the scaling law, and model 2 realized with STD-PINN and the scaling law.
L1 Absolute ErrorL2 Relative Error
Regular PINN 7.56 × 10 3 7.20 × 10 0
Model 1
(Scaling law)
1.48 × 10 4 1.78 × 10 1
Model 2
(STD with scaling law)
3.05 × 10 5 2.93 × 10 2
Table 2. Training errors of the tested PINN architectures for 1D advection problem.
Table 2. Training errors of the tested PINN architectures for 1D advection problem.
L1 Absolute ErrorL2 Relative ErrorRef
Regular PINN 5.42 × 10 1 8.87 × 10 1 [14]
Curriculum training 1.10 × 10 2 2.02 × 10 2 [14]
Model 1
(Scaling law)
2.57 × 10 3 4.48 × 10 3 Present
Model 2
(Scaling law with
x + s i n 2 x activation)
1.29 × 10 3 2.38 × 10 3 Present
Model 3
(Scaling law with
x + s i n 2 x in hidden layer,
sin x at the last layer)
1.00 × 10 3 1.76 × 10 3 Present
Disclaimer/Publisher’s Note: The statements, opinions and data contained in all publications are solely those of the individual author(s) and contributor(s) and not of MDPI and/or the editor(s). MDPI and/or the editor(s) disclaim responsibility for any injury to people or property resulting from any ideas, methods, instructions or products referred to in the content.

Share and Cite

MDPI and ACS Style

Lee, J.; Park, K.; Jung, W. Physics-Informed Neural Networks for Cantilever Dynamics and Fluid-Induced Excitation. Appl. Sci. 2024, 14, 7002. https://doi.org/10.3390/app14167002

AMA Style

Lee J, Park K, Jung W. Physics-Informed Neural Networks for Cantilever Dynamics and Fluid-Induced Excitation. Applied Sciences. 2024; 14(16):7002. https://doi.org/10.3390/app14167002

Chicago/Turabian Style

Lee, Jeongsu, Keunhwan Park, and Wonjong Jung. 2024. "Physics-Informed Neural Networks for Cantilever Dynamics and Fluid-Induced Excitation" Applied Sciences 14, no. 16: 7002. https://doi.org/10.3390/app14167002

APA Style

Lee, J., Park, K., & Jung, W. (2024). Physics-Informed Neural Networks for Cantilever Dynamics and Fluid-Induced Excitation. Applied Sciences, 14(16), 7002. https://doi.org/10.3390/app14167002

Note that from the first issue of 2016, this journal uses article numbers instead of page numbers. See further details here.

Article Metrics

Back to TopTop