Analysis of Solid Backfilling Effects on Strata and Ground Subsidence in a Longwall Coal Mine Beneath a City
Abstract
1. Introduction
2. Research Background
2.1. Geological Conditions of Tangshan Coal Mine
2.2. Mining Area Overview
2.3. Key Equipment
3. Materials and Methodology
3.1. Construction of the Physical Analog Model
3.1.1. Displacement Monitoring Design
3.1.2. Stress Monitoring Design
3.2. Construction of the Numerical Simulation Model
3.3. Field Measurement
3.4. Surface Subsidence Prediction and Impact Analysis
3.4.1. Probability Integral Method (PIM)
- The surface subsidence value at any point A(x, y) on the surface is as shown in Equation (1):
- The tilt deformation value T(x, y)j of any point A(x, y) on the surface in the φ direction is shown in Equation (2):
- The curvature deformation value K(x, y)j of any point A(x, y) on the surface in the φ direction is shown in Equation (3):
- The horizontal displacement value U(x, y) of any point A(x, y) on the surface in the φ direction is shown in Equation (4):
- The horizontal deformation ε(x, y)j value of any point A(x, y) on the surface in the φ direction is shown in Equation (5):
3.4.2. Equivalent Mining Height (EMH)
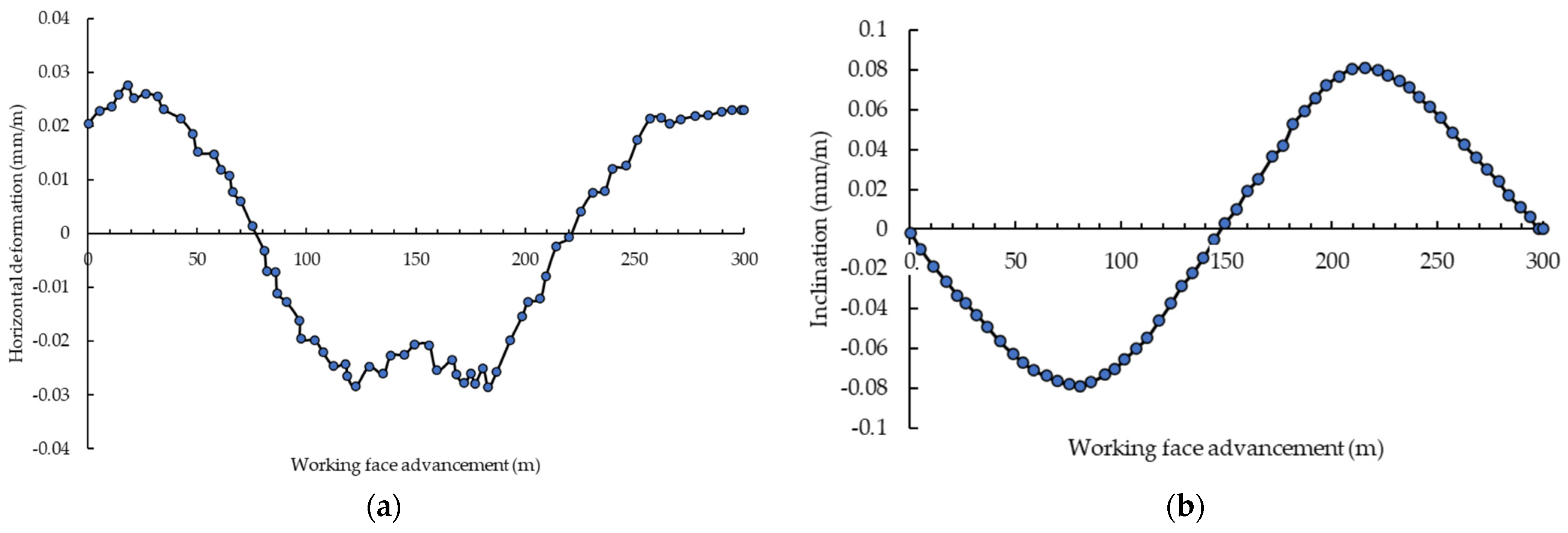
3.4.3. Prediction and Impact Analysis of Ground Subsidence with 80% Filling Ratio
4. Results and Analysis
4.1. Physical Analog Model’s Results and Analysis
4.1.1. Movement Characterization of the Overlying Strata
- First deformation stage (advancement of mining to 55 cm)
- Second deformation stage (advancement of mining to 85 cm)
- Third deformation stage (advancement of mining to 95 cm)
- Forth deformation stage (advancement of mining to 115 cm)
- Fifth deformation stage (advancement of mining to 140 cm)
- Sixth deformation stage (advancement of mining to 190 cm)
4.1.2. Vertical Displacement of the Main Roof
- The slow deformation stage (0–95 cm from working face’s open-cutting)
- The rapid deformation stage (95–115 cm from the working face’s open-cutting)
- The stable deformation stage (115–140 cm from the working face’s open-cutting)
- The completely stable deformation stage (140–190 cm)
4.1.3. Surface Subsidence Characteristics
4.1.4. Variation Characteristics of Rock Mass Stress above the Boundary Coal Pillars
4.1.5. Variation Characteristics of Overlying Strata Stress above the Goaf Area
4.2. Numerical Simulation Model Results and Analysis
4.3. Field Measurement Results and Analysis
5. Discussion
6. Conclusions
Author Contributions
Funding
Institutional Review Board Statement
Informed Consent Statement
Data Availability Statement
Acknowledgments
Conflicts of Interest
References
- Li, B.; Zhou, N.; Qi, W.; Li, A.; Cui, Z. Surface Subsidence Control during Deep Backfill Coal Mining: A Case Study. Adv. Civ. Eng. 2020, 2020, 6876453. [Google Scholar] [CrossRef]
- Zhang, J.; Sun, Q.; Fourie, A.; Ju, F.; Dong, X. Risk assessment and prevention of surface subsidence in deep multiple coal seam mining under dense above-ground buildings: Case study. Hum. Ecol. Risk Assess. Int. J. 2018, 25, 1579–1593. [Google Scholar] [CrossRef]
- Guo, K.; Guo, G.; Li, H.; Wang, C.; Gong, Y. Environmental Effects Strata movement and surface subsidence prediction model of deep backfilling mining. Energy Sources Part A Recover. Util. Environ. Eff. 2020, 1–15. [Google Scholar] [CrossRef]
- Jahanbakhshzadeh, A.; Aubertin, M.; Li, L. Analysis of the Stress Distribution in Inclined Backfilled Stopes Using Closed-form Solutions and Numerical Simulations. Geotech. Geol. Eng. 2017, 36, 1011–1036. [Google Scholar] [CrossRef]
- Li, M.; Peng, Y.; Zhang, J.; Zhu, C.; Ma, D.; Huang, P. Effects of compressive deformation of backfill materials on strata movement and stress evolution in deep gangue backfill mining. Bull. Eng. Geol. Environ. 2022, 81, 361. [Google Scholar] [CrossRef]
- Benzaazoua, M.; Bussière, B.; Demers, I.; Aubertin, M.; Fried, É.; Blier, A. Integrated mine tailings management by combining environmental desulphurization and cemented paste backfill: Application to mine Doyon, Quebec, Canada. Miner. Eng. 2008, 21, 330–340. [Google Scholar] [CrossRef]
- Solismaa, S.; Torppa, A.; Kuva, J.; Heikkilä, P.; Hyvönen, S.; Juntunen, P.; Benzaazoua, M.; Kauppila, T. Substitution of cement with granulated blast furnace slag in cemented paste backfill: Evaluation of technical and chemical properties. Minerals 2021, 11, 1068. [Google Scholar] [CrossRef]
- Zhang, J.; Zhang, Q.; Sun, Q.; Gao, R.; Germain, D.; Abro, S. Surface subsidence control theory and application to backfill coal mining technology. Environ. Earth Sci. 2015, 74, 1439–1448. [Google Scholar] [CrossRef]
- Kostecki, T.; Spearing, A. Influence of backfill on coal pillar strength and floor bearing capacity in weak floor conditions in the Illinois Basin. Int. J. Rock Mech. Min. Sci. 2015, 76, 55–67. [Google Scholar] [CrossRef]
- Jahanbakhshzadeh, A.; Aubertin, M.; Li, L. A New Analytical Solution for the Stress State in Inclined Backfilled Mine Stopes. Geotech. Geol. Eng. 2017, 35, 1151–1167. [Google Scholar] [CrossRef]
- Geldmacher, T.; Studeny, A.; Al Heib, M. Numerical Modelling and Empirical Tool for Subsidence Prediction by the Use of Backfill. 6th Int Symp “High Perform Mining” (AIMS 2014). (Aachen, Germany. ineris-01855561). Available online: https://ineris.hal.science/ineris-01855561/document (accessed on 5 August 2024).
- Jiang, Y.; Misa, R.; Sroka, A.; Jiang, Y. Mitigating land subsidence damage risk by fly ash backfilling technology: An injection case in overburden of coal mining. Pol. J. Environ. Stud. 2021, 30, 655–661. [Google Scholar] [CrossRef]
- Li, B.; Yan, H.; Zhang, J.; Zhou, N. Compaction property prediction of mixed gangue backfill materials using hybrid intelligence models: A new approach. Constr. Build. Mater. 2020, 247, 118633. [Google Scholar] [CrossRef]
- Sepehri, M.; Apel, D.B.; Hall, R.A. Prediction of mining-induced surface subsidence and ground movements at a Canadian diamond mine using an elastoplastic finite element model. Int. J. Rock Mech. Min. Sci. 2017, 100, 73–82. [Google Scholar] [CrossRef]
- Yadav, A.; Behera, B.; Sahoo, S.K.; Singh, G.S.P.; Sharma, S.K. Numerical Analysis of the Gob Stress Distribution Using a Modified Elastic Model as the Gob Constitutive Model. J. Inst. Eng. Ser. D 2020, 101, 127–139. [Google Scholar] [CrossRef]
- Zhu, C.; Zhang, J.; Li, M.; He, Z.; Wang, Y.; Lan, Y. Effect mechanism of strata breakage evolution on stope deformation in extra-thick coal seams. Alex. Eng. J. 2022, 61, 5003–5020. [Google Scholar] [CrossRef]
- Zhao, T.-B.; Fu, Z.-Y.; Li, G. In situ investigation into fracture and subsidence of overburden strata for solid backfill mining. Arab. J. Geosci. 2018, 11, 398. [Google Scholar] [CrossRef]
- Sroka, A.; Misa, R.; Tajdus, K.; Klaus, M.; Meyer, S.; Feldhaus, B. Forecast of rock mass and ground surface movements caused by the convergence of salt caverns for storage of liquid and gaseous energy carriers. Geo Kinematischer Tag. 2017, 1, 34–51. [Google Scholar]
- Skrzypkowski, K. Comparative analysis of the mining cribs models filled with gangue. Energies 2020, 13, 5290. [Google Scholar] [CrossRef]
- Li, Z.; Yang, K.; Wei, T.; Liu, C.; Zhou, P.; Miao, J. Strata pressure behavior and overlying strata movement characteristics of slicing backfill mining in thick coal seams. Energy Explor. Exploit. 2023, 41, 1015–1032. [Google Scholar] [CrossRef]
- Zhang, Q.; Zhang, J.; Wu, Z.; Chen, Y. Overview of Solid Backfilling Technology Based on Coal-Waste Underground Separation in China. Sustainability 2019, 11, 2118. [Google Scholar] [CrossRef]
- Qiang, Z.; Yang, K.; Zhang, J.; Wei, Y.; Liu, X.; Wu, Z.; Song, W.; Xiling, X. Monitoring and measurement analysis of key indexes for the implementation of mining, dressing, backfilling, and controlling technology in coal resources—A case study of Tangshan Mine. Energy Sci. Eng. 2022, 10, 680–693. [Google Scholar] [CrossRef]
- Jiang, Z.; He, K.; Zhang, D. A review of intelligent coal gangue separation technology and equipment development. Int. J. Coal Prep. Util. 2023, 1–17. [Google Scholar] [CrossRef]
- Tripathy, D.P.; Reddy, K.G.R. Novel Methods for Separation of Gangue from Limestone and Coal using Multispectral and Joint Color-Texture Features. J. Inst. Eng. Ser. D 2017, 98, 109–117. [Google Scholar] [CrossRef]
- Zhang, Q.; Shi, P.; Li, M.; Zong, T.; Song, W. A Design Method and Application of Backfilling Hydraulic Supports in Reforming Top-Coal Caving Hydraulic Supports. Appl. Sci. 2023, 13, 987. [Google Scholar] [CrossRef]
- Gu, Z.; Zhao, Y.; Gao, R.; Wu, L. Research on the Prediction Model of Mine Subsidence Based on Object-Oriented and Probability Integration Method. Geofluids 2022, 2022, 8107024. [Google Scholar] [CrossRef]
- Li, J.; Yu, X.; Liang, Y. A prediction model of mining subsidence in thick loose layer based on probability integral model. Earth Sci. Res. J. 2020, 24, 367–372. [Google Scholar] [CrossRef]
- Wei, T.; Guo, G.; Li, H.; Wang, L.; Jiang, Q.; Jiang, C. A novel probability integral method segmental modified model for subsidence prediction applicable to thick loose layer mining areas. Environ. Sci. Pollut. Res. 2023, 30, 52049–52061. [Google Scholar] [CrossRef]
- Huo, W.; Li, H.; Guo, G.; Wang, Y.; Yuan, Y. Surface Subsidence Prediction Method for Backfill Mining in Shallow Coal Seams with Hard Roofs for Building Protection. Sustainability 2023, 15, 15791. [Google Scholar] [CrossRef]
- Lifeng, L.; Pengliang, L.; Wenhua, Z. Study on equivalent mining height of filling mining based on the optimal particle size gradation of gangue solid. China Min. Mag. 2023, 32, 103–107. [Google Scholar]



















| Parameters | Conditions |
|---|---|
| Production time | November 2017–December 2018 |
| Coal seam condition | Under wellbore and surface structures |
| Ground elevation | +17 m |
| Depth | −582 to −709 m |
| Inclination angle | 13°, inclined upward mining |
| Coal seam height | 2.0–2.5 m |
| Coal seam structure and stability | Simple and complex |
| Backfilling system | Full mining and full backfilling |
| Face length | 65 m |
| Strike length | 652 m |
| Coal production/ton | 178,524 |
| Gangue filling/ton | 231,416 |
| Filling ratio | 1:1.30 |
| Control effect of stop pressure and surface subsidence | Higher |
| Mine pressure control requirements | Compacting rate > 80% |
| Mining and backfilling step/day | 5 m |
| Backfilling efficiency ton/hour | 64.35 |
| № | Device Name | Model | Quantity |
|---|---|---|---|
| 1 | Coal shearer | MG200/500-QWD | 1 |
| 2 | Front scraper chain conveyor | SGZ730/400 | 1 |
| 3 | Loader | SZZ730/200 | 1 |
| 4 | Hydraulic support | ZC4800/16/30 | 44 |
| 5 | Crusher | PCM-110 | 1 |
| 6 | Belt conveyor | SDJ800 | 1 |
| 7 | Belt conveyor | SDJ-150 | 1 |
| 8 | Porous bottom-dump conveyor | SGZ630/264 | 1 |
| Stratum | Compressive Stress (MPa) | Simulate Stress (KPa) |
|---|---|---|
| Medium-grained sandstone | 21 | 93 |
| Fine-grained sandstone | 54 | 162 |
| Sandy mudstone | 25 | 75 |
| Mudstone | 20.27 | 60.87 |
| Sandstone | 17 | 51 |
| 5th coal seam | 9.73 | 29.22 |
| Fine sandstone | 38.91 | 116.85 |
| № | Lithology | Thickness | Total Dry Weight/kg | m1 | m2 | m3 | m4 | |
|---|---|---|---|---|---|---|---|---|
| Real (m) | Model (m) | |||||||
| 1 | Fine-grained sandstone | 5 | 5 | 67.52 | 57.86 | 6.76 | 2.90 | 7.50 |
| 2 | Mudstone | 4 | 4 | 54 | 47.24 | 4.72 | 2.04 | 6.3 |
| 3 | Sandy mudstone | 5 | 5 | 67.52 | 57.86 | 6.76 | 2.90 | 7.50 |
| 4 | Medium-grained sandstone | 11 | 11 | 162.04 | 129.6 | 22.7 | 9.74 | 18 |
| 5 | Sandy mudstone | 14 | 14 | 189.04 | 151.2 | 26.48 | 11.36 | 21.02 |
| 6 | Medium-grained sandstone | 6 | 6 | 81.02 | 64.80 | 11.35 | 4.87 | 9.00 |
| 7 | Mudstone | 3 | 3 | 40.5 | 35.44 | 3.54 | 1.52 | 4.75 |
| 8 | Medium-grained sandstone | 28 | 28 | 378.08 | 302.4 | 52.96 | 22.72 | 42.04 |
| 9 | Sandy mudstone | 6 | 6 | 81.02 | 64.80 | 11.35 | 4.87 | 9.00 |
| 10 | Fine-grained sandstone | 2 | 2 | 27 | 23.62 | 2.36 | 1.02 | 3.15 |
| 11 | Sandy mudstone | 4 | 4 | 54 | 47.25 | 4.72 | 2.03 | 5.20 |
| 12 | 4th coal seam | 1.5 | 1.5 | 20.25 | 17.72 | 1.77 | 0.76 | 2.38 |
| 13 | Fine-grained sandstone | 4 | 4 | 54 | 47.25 | 4.72 | 2.03 | 5.20 |
| 14 | Sandy mudstone | 5 | 5 | 67.52 | 57.86 | 6.76 | 2.90 | 7.50 |
| 15 | Fine-grained sandstone | 3 | 3 | 40.5 | 35.44 | 3.54 | 1.52 | 4.75 |
| 16 | Mudstone | 3 | 3 | 40.5 | 35.44 | 3.54 | 1.52 | 4.75 |
| 17 | Fine-grained sandstone | 6 | 6 | 81.02 | 64.80 | 11.35 | 4.87 | 9.00 |
| 18 | Sandstone | 18 | 18 | 242.98 | 208.2 | 24.34 | 10.44 | 27 |
| 19 | Mudstone | 6 | 6 | 81.02 | 64.80 | 11.35 | 4.87 | 9.00 |
| 20 | 5th coal seam | 2.5 | 2.5 | 33.76 | 28.93 | 3.38 | 1.45 | 3.75 |
| 21 | Mudstone | 2 | 2 | 27 | 23.62 | 2.36 | 1.02 | 3.15 |
| 22 | Fine-grained sandstone | 7 | 7 | 94.52 | 75.60 | 13.24 | 5.68 | 10.51 |
| 23 | Mudstone | 4 | 4 | 54 | 47.24 | 4.72 | 2.04 | 6.3 |
| № | Lithology | Density t/m3 | Bulk Modulus/GPa | Shear Modulus/GPa | Cohesion /MPa | Internal Friction Angle/° | Tensile Strength/MPa |
|---|---|---|---|---|---|---|---|
| 1 | Fine-grained sandstone1 | 2.54 | 2.7 | 1.6 | 3.2 | 42 | 1.29 |
| 2 | Mudstone1 | 2.55 | 8.8 | 4.3 | 2.0 | 8 | 2.0 |
| 3 | Sandy mudstone1 | 2.60 | 5.1 | 3.3 | 1.0 | 28 | 2.0 |
| 4 | Medium-grained sandstone1 | 2.56 | 4.2 | 2.9 | 5.0 | 34 | 1.3 |
| 5 | Sandy mudstone2 | 2.60 | 5.1 | 3.3 | 1.0 | 28 | 2.0 |
| 6 | Medium-grained sandstone2 | 2.56 | 4.2 | 2.9 | 5.0 | 34 | 1.3 |
| 7 | Mudstone2 | 2.55 | 8.8 | 4.3 | 2.0 | 8 | 2.0 |
| 8 | Medium-grained sandstone3 | 2.56 | 4.2 | 2.9 | 5.0 | 34 | 1.3 |
| 9 | Sandy mudstone3 | 2.60 | 5.1 | 3.3 | 1.0 | 28 | 2.0 |
| 10 | Fine-grained sandstone2 | 2.54 | 2.7 | 1.6 | 3.2 | 42 | 1.29 |
| 11 | Sandy mudstone4 | 2.60 | 5.1 | 3.3 | 1.0 | 28 | 2.0 |
| 12 | 4th coal seam | 1.41 | 1.73 | 0.82 | 0.18 | 20 | 0.2 |
| 13 | Fine-grained sandstone3 | 2.54 | 2.7 | 1.6 | 3.2 | 42 | 1.29 |
| 14 | Sandy mudstone5 | 2.60 | 5.1 | 3.3 | 1.0 | 28 | 2.0 |
| 15 | Fine-grained sandstone4 | 2.54 | 2.7 | 1.6 | 3.2 | 42 | 1.29 |
| 16 | Mudstone3 | 2.55 | 8.8 | 4.3 | 2.0 | 8 | 2.0 |
| 17 | Fine-grained sandstone5 | 2.54 | 2.7 | 1.6 | 3.2 | 42 | 1.29 |
| 18 | Sandstone1 | 2.52 | 23.3 | 13.2 | 8.3 | 32 | 3.1 |
| 19 | Mudstone4 | 2.55 | 8.8 | 4.3 | 2.0 | 8 | 2.0 |
| 20 | 5th coal | 1.41 | 1.73 | 0.82 | 0.18 | 20 | 0.2 |
| 21 | Mudstone5 | 2.55 | 8.8 | 4.3 | 2.0 | 8 | 2.0 |
| 22 | Fine-grained sandstone6 | 2.54 | 2.7 | 1.6 | 3.2 | 42 | 1.29 |
| 23 | Mudstone6 | 2.55 | 8.8 | 4.3 | 2.0 | 8 | 2.0 |
| Mining Depth | Filling Ratio | Subsidence Coefficient | Horizontal Movement Coefficient | Tangent of Main Influence Angle | Inflection Point Displacement |
|---|---|---|---|---|---|
| 700 m | 80% | q = 0.74 | b = 0.37 | 1.8° | 0 |
| Damage Level | Damage Classification | Surface Deformation Value | ||
|---|---|---|---|---|
| Horizontal (mm/m) | Curvature (×10−3/m) | Tilt (mm/m) | ||
| I | Slight damage | ≤2 | ≤0.2 | ≤3 |
| II | Mild damage | ≤4 | ≤0.4 | ≤6 |
| III | Moderate damage | ≤6 | ≤0.6 | ≤10 |
| IV | Severe damage | >6 | >0.6 | >10 |
| Subsidence (mm) | Horizontal Movement (mm) | Horizontal Deformation (mm/m) | Inclined Deformation (mm/m) | |||
|---|---|---|---|---|---|---|
| Vertical Direction | Horizontal Direction | Vertical Direction | Horizontal Direction | Vertical Direction | Horizontal Direction | |
| −281 | −110/122 | −86/122 | −1.19/0.56 | −0.89/0.53 | −1.2/0.6 | −0.9/0.55 |
Disclaimer/Publisher’s Note: The statements, opinions and data contained in all publications are solely those of the individual author(s) and contributor(s) and not of MDPI and/or the editor(s). MDPI and/or the editor(s) disclaim responsibility for any injury to people or property resulting from any ideas, methods, instructions or products referred to in the content. |
© 2024 by the authors. Licensee MDPI, Basel, Switzerland. This article is an open access article distributed under the terms and conditions of the Creative Commons Attribution (CC BY) license (https://creativecommons.org/licenses/by/4.0/).
Share and Cite
Deon, M.G.; Zhang, Q.; Li, M.; Huang, P.; Wu, Z.; Francisco, C.S. Analysis of Solid Backfilling Effects on Strata and Ground Subsidence in a Longwall Coal Mine Beneath a City. Appl. Sci. 2024, 14, 6924. https://doi.org/10.3390/app14166924
Deon MG, Zhang Q, Li M, Huang P, Wu Z, Francisco CS. Analysis of Solid Backfilling Effects on Strata and Ground Subsidence in a Longwall Coal Mine Beneath a City. Applied Sciences. 2024; 14(16):6924. https://doi.org/10.3390/app14166924
Chicago/Turabian StyleDeon, Makavelo Germain, Qiang Zhang, Meng Li, Peng Huang, Zhongya Wu, and Chano Simao Francisco. 2024. "Analysis of Solid Backfilling Effects on Strata and Ground Subsidence in a Longwall Coal Mine Beneath a City" Applied Sciences 14, no. 16: 6924. https://doi.org/10.3390/app14166924
APA StyleDeon, M. G., Zhang, Q., Li, M., Huang, P., Wu, Z., & Francisco, C. S. (2024). Analysis of Solid Backfilling Effects on Strata and Ground Subsidence in a Longwall Coal Mine Beneath a City. Applied Sciences, 14(16), 6924. https://doi.org/10.3390/app14166924

