Changes in Defensive Variables Determining Success in the NBA over the Last 10 Years
Abstract
1. Introduction
2. Materials and Methods
2.1. Research Design
2.2. Research Scope
2.3. Data Collection Tool
2.4. Data Extraction and Processing
2.5. Statistical Analysis
3. Results
4. Discussion
5. Conclusions
Author Contributions
Funding
Data Availability Statement
Conflicts of Interest
References
- Sampaio, J.; Drinkwater, E.J.; Leite, N.M. Effects of season period, team quality and playing time on basketball players’ game-related statistics. Eur. J. Sport Sci. 2010, 10, 141–149. [Google Scholar] [CrossRef]
- Hughes, M.; Franks, I.M. Notational Analysis of Sport. Systems for Better Coaching and Performance in Sport; Routledge: London, UK, 2004. [Google Scholar] [CrossRef]
- Ortega, E.; Villarejo, D.; Palao, J.M. Differences in game statistics between winning and losing rugby teams in the six nations tournament. J. Sports Sci. Med. 2009, 8, 523–527. [Google Scholar] [PubMed]
- Leite, N.; Baker, J.; Sampaio, J. Paths to expertise in Portuguese national team athletes. J. Sports Sci Med. 2009, 8, 560–566. [Google Scholar]
- Hughes, M.; Franks, I.M. Essentials of Performance Analysis in Sport; Routledge: London, UK, 2015. [Google Scholar] [PubMed]
- Csataljay, G.; O’Donoghue, P.; Hughes, M.; Dancs, H. Performance indicators that distinguish winning and losing teams in basketball. Int. J. Perform. Anal. 2009, 9, 60–66. [Google Scholar] [CrossRef]
- Sampaio, J.; McGarry, T.; Calleja-Gonzalez, J.; Jimenez Saiz, S.; Schelling, I.D.A.X.; Balciunas, M. Exploring game performance in the national basketball association using player tracking data. PLoS ONE 2015, 10, e0132894. [Google Scholar] [CrossRef] [PubMed]
- Hughes, M.D.; Bartlett, R.M. The use of performance indicators in performance analysis. J. Sport. Sci. 2002, 20, 739–754. [Google Scholar] [CrossRef]
- Bartlett, R. Performance analysis: Can bringing together biomechanics and notational analysis benefit coaches. Int. J. Perform. Anal. 2001, 1, 122–126. [Google Scholar] [CrossRef]
- Lorenzo, A.; Gómez, Á.M.; Ortega, E.; Ibañez, S.J.; Sampaio, J. Game related statistics which discriminate between winning and losing under-16 male basketball games. J. Sports Sci. Med. 2010, 9, 664–668. [Google Scholar] [PubMed]
- Gómez, M.A.; Lorenzo, A.; Ibáñez, S.J.; Ortega, E.; Leite, N.; Sampaio, J. An analysis of defensive strategies used by home and away basketball teams. Percept. Mot. Skills. 2010, 110, 159–166. [Google Scholar] [CrossRef] [PubMed]
- Gómez, M.A.; Lorenzo, A.; Ortega, E.; Sampaio, J.; Ibáñez, S.J. Game related statistics discriminating between starters and nonstarters players in Women’s National Basketball Association League (WNBA). J. Sports Sci. Med. 2009, 8, 278–283. [Google Scholar] [PubMed]
- Ibáñez, S.J.; Sampaio, J.; Feu, S.; Lorenzo, A.; Gómez, Á.M.; Ortega, E. Basketball game-related statistics that discriminate between teams’ season-long success. Eur. J. Sport Sci. 2008, 8, 369–372. [Google Scholar] [CrossRef]
- Evangelos, T.; Alexandros, K.; Nikolaos, A. Analysis of fast breaks in basketball. Int. J. Perform. Anal. 2005, 5, 17–22. [Google Scholar] [CrossRef]
- Puente, C.; Del Coso, J.; Salinero, J.J.; Abián-Vicén, J. Basketball performance indicators during the ACB regular season from 2003 to 2013. Int. J. Perform. Anal. 2015, 15, 935–948. [Google Scholar] [CrossRef]
- Zhang, S.; Lorenzo, A.; Zhou, C.; Cui, Y.; Gonçalves, B.; Gómez, M.A. Performance profiles and opposition interaction during game-play in elite basketball: Evidences from National Basketball Association. Int. J. Perform. Anal. 2019, 19, 28–48. [Google Scholar] [CrossRef]
- Karapidis, A.; Fotinakis, A.; Taxildaris, K.; Fatouros, J. Factors characterizing a successful performance in basketball. J. Hum. Mov. Stud. 2001, 14, 385–398. [Google Scholar]
- Sampaio, J.; Godoy, S.I.; Feu, S. Discriminative power of basketball game-related statistics by level of competition and sex. Percept. Mot. Skills. 2004, 99, 1231–1238. [Google Scholar] [CrossRef] [PubMed]
- García, J.; Ibáñez, S.J.; De Santos, R.M.; Leite, N.; Sampaio, J. Identifying basketball performance indicators in regular season and playoff games. J. Hum. Kinet. 2013, 36, 161–168. [Google Scholar] [CrossRef] [PubMed]
- Zhang, S.; Lorenzo, A.; Gómez, M.-A.; Mateus, N.; Gonçalves, B.; Sampaio, J. Performance Profiles of Basketball Players in NBA according to anthropometric attributes and playing experience. In Complex Systems in Sport, International Congress Linking Theory and Practice; Frontiers: Barcelona, Spain, 2018; pp. 185–188. [Google Scholar] [CrossRef]
- García, J.; Ibáñez, S.J.; Gómez, M.A.; Sampaio, J. Basketball Game-related statistics discriminating ACB league teams according to game location, game outcome and final score differences. Int. J. Perform. Anal. 2014, 14, 443–452. [Google Scholar] [CrossRef]
- Schenker, J.D.; Rumrill, P.D., Jr. Causal-comparative research designs. J. Vocat. Rehabil. 2004, 21, 117–121. [Google Scholar]
- Hopkins, W.G.; Marshall, S.W.; Batterham, A.M.; Hanin, J. Progressive statistics for studies in sports medicine and exercise science. Med. Sci. Sports Exerc. 2009, 41, 3–13. [Google Scholar] [CrossRef]
- Migliorati, M. Detecting drivers of basketball successful games: An exploratory study with machine learning algorithms. Electron. J. Appl. Stat. Anal. 2020, 13, 454–473. [Google Scholar] [CrossRef]
- Horvat, T.; Havaš, L.; Srpak, D. The impact of selecting a validation method in machine learning on predicting basketball game outcomes. Symmetry 2020, 12, 431. [Google Scholar] [CrossRef]
- Thabtah, F.; Zhang, L.; Abdelhamid, N. NBA game result prediction using feature analysis and machine learning. Ann. Data Sci. 2019, 6, 103–116. [Google Scholar] [CrossRef]
- Gómez, M.A.; Lorenzo, A.; Sampaio, J.; Ibáñez, S.J.; Ortega, E. Game-related statistics that discriminated winning and losing teams from the Spanish men´s professional basketball teams. Coll. Antropol. 2008, 32, 315–319. [Google Scholar] [PubMed]
- Sampaio, J.; Ibáñez, S.; Lorenzo, A.; Gómez, M.A. Discriminative game related statistics between basketball starters and nonstarters when related to team quality and game outcome. Percept. Mot. Skills. 2006, 103, 486–494. [Google Scholar] [CrossRef] [PubMed]
- Ibáñez, S.; García, J.; Feu, S.; Lorenzo, A.; Sampaio, J. Effects of consecutive basketball games on the game-related statistics that discriminate winner and losing teams. J. Sport Sci. 2009, 8, 458–462. [Google Scholar] [PubMed]
- Dezman, B.; Erculj, F.; Vuckovic, G. Differences between winning and losing teams in playing efficiency. Acta Kinesiol. Univ. Tartu. 2002, 7, 71–74. [Google Scholar]
- Malarranha, J.; Figueira, B.; Leite, N.; Sampaio, J. Dynamic Modeling of Performance in Basketball. Int. J. Perform. Anal. 2013, 13, 377–387. [Google Scholar] [CrossRef]
- Csátaljay, G.; James, N.; Hughes, M.; Dancs, H. Analysis of influencing factors behind offensive rebounding performance in elite basketball. Int. J. Sports Sci. Coach. 2017, 12, 774–781. [Google Scholar] [CrossRef]
- Trninic, S.; Dizdar, D.; Luksic, E. Differences between winning and defeated top quality basketball teams in final of European club championship. Coll. Antropol. 2002, 26, 521–531. [Google Scholar] [PubMed]
- Hofler, R.A.; Payne, J.E. Efficiency in the National Basketball Association: A stochastic frontier approach with panel data. Manag. Decis. Econ. 2006, 27, 279–285. [Google Scholar] [CrossRef]
- De Rose, D. Statistical Analysis of Basketball Performance Indicators According to Home/Away Games and Winning and Losing Teams. J. Hum. Mov. Stud. 2004, 47, 327–336. [Google Scholar]
- Berri, D.J.; Schmidt, M.B. Instrumental vs. bounded rationality: The case of Major League Baseball and the National Basketball Association. J. Soc. Econ. 2002, 31, 191–214. [Google Scholar] [CrossRef]


| Variable Abbreviation | Variable Name | Definition |
|---|---|---|
| team | Teams | It expresses the defensive variable averages of the teams in case of wins and losses. |
| game_result | Game Result | The dependent variable of the study defined as wins and losses. |
| off_rebound | Offensive rebound | Number of rebounds received by the attacking team as a result of a missed shot. |
| def_rebound | Defensive rebound | The number of rebounds received by the defending team as a result of a missed shot. |
| tot_rebound | Total rebound | The total of the current rebounds captured by the players while on the field. |
| steal | Steal | Gaining position by intercepting a pass or grabbing a ball that is in the control of the opposing player. |
| block | Block | When a defensive player legally deflects a field goal attempt from an offensive player to prevent a score. |
| Variables | Winner (n = 330) (Mean ± SD) | Loser (n = 330) (Mean ± SD) | Comparison within Group (p-Value) | Percent Change (%) | ES Cohen-D (95% CI) | ES (Interpretation) |
|---|---|---|---|---|---|---|
| Offensive rebound | 10.7 ± 1.50 | 11 ± 1.40 | 0.03 * | −2 ↓ | −0.14 (−0.30–0.01) | Trivial |
| Defensive rebound | 33.8 ± 2.8 | 30.1 ± 2.40 | 0.001 * | 12 ↑ | 1.39 (1.20–1.60) | Moderate |
| Total rebound | 44.5 ± 2.40 | 41 ± 2.20 | 0.001 * | 8 ↑ | 1.51 (1.30–1.70) | Moderate |
| Steal | 8 ± 1.20 | 7.3 ± 1.20 | 0.001 * | 11 ↑ | 0.67 (0.50–0.80) | Small |
| Block | 5.3 ± 0.90 | 4.5 ± 0.80 | 0.001 * | 17 ↑ | 0.86 (0.70–1.00) | Small |
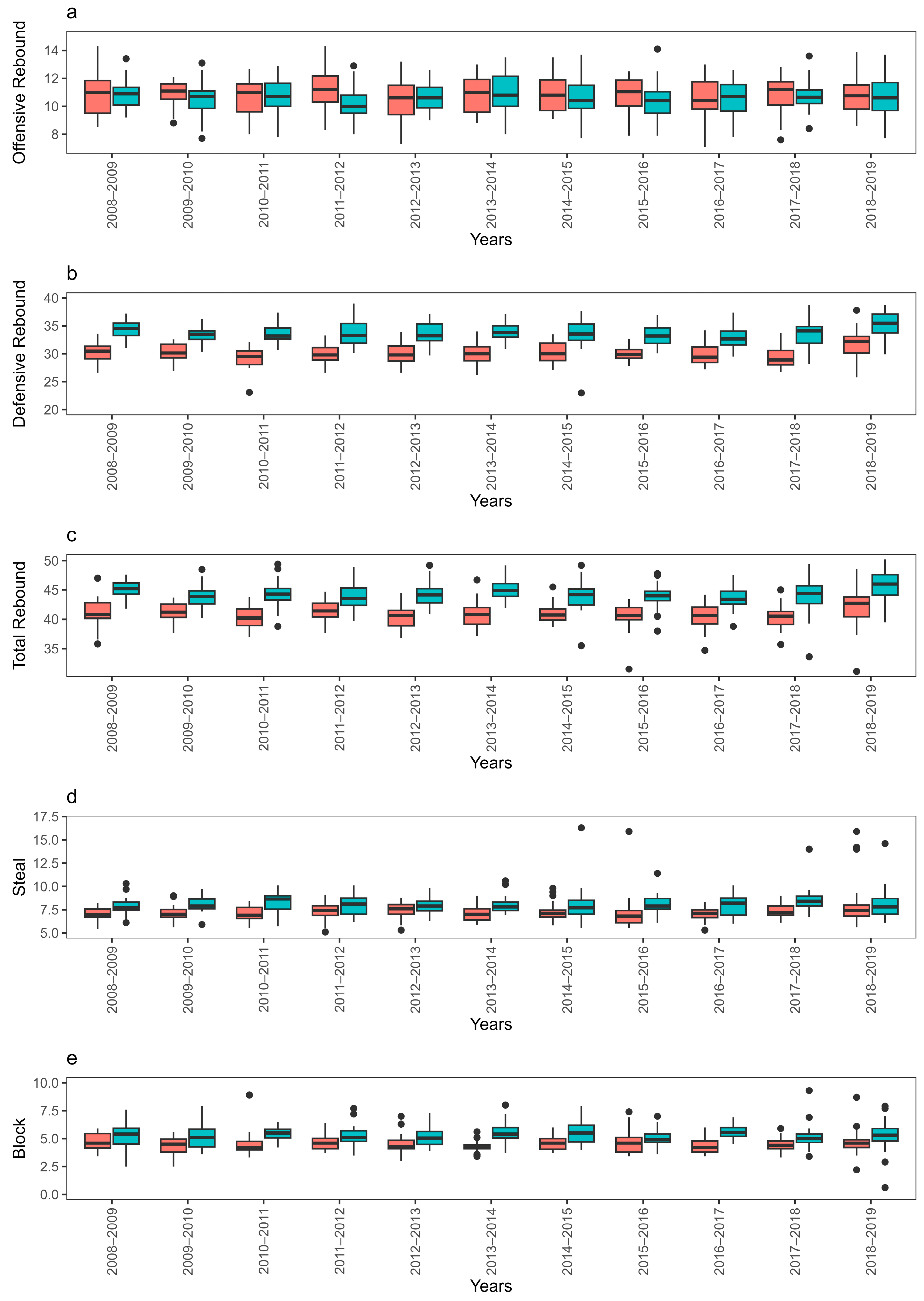
| Defensive Variables | 2008–2009 | 2009–2010 | 2010–2011 | 2011–2012 | 2012–2013 | 2013–2014 | 2014–2015 | 2015–2016 | 2016–2017 | 2017–2018 | 2018–2019 | Kruskal Wallis H Test (df) = χ2, p-Value |
|---|---|---|---|---|---|---|---|---|---|---|---|---|
| Offensive rebound | 11.1 ± 1.00 | 11 ± 1.10 | 10.9 ± 1.30 | 11.3 ± 1.40 | 11.2 ± 1.40 | 12.9 ± 10.90 | 11 ± 1.00 | 10.4 ± 1.10 | 10.1 ± 1.30 | 11.7 ± 1.20 | 10.4 ± 1.10 | (10) = 90.83, 0.01 * |
| Defensive rebound | 30.3 ± 2.20 | 30.80 ± 2.30 | 30.5 ± 2.30 | 30.6 ± 2.40 | 31 ± 2.20 | 31.1 ± 4.40 | 32.5 ± 2.20 | 33.3 ± 2.20 | 33.4 ± 2.30 | 33 ± 4.70 | 34.9 ± 2.50 | (10) = 175.38, 0.01 * |
| Total rebound | 41.4 ± 2.20 | 41.8 ± 2.40 | 41.4 ± 2.50 | 42.1 ± 2.60 | 42.2 ± 2.30 | 42.3 ± 3.30 | 43.3 ± 2.40 | 43.8 ± 2.40 | 43.5 ± 2.60 | 43 ± 3.20 | 45.2 ± 2.80 | (10) = 98.33, 0.01 * |
| Steal | 7.2 ± 0.90 | 7.2 ± 1.10 | 7.3 ± 0.10 | 7.6 ± 1.00 | 7.7 ± 0.90 | 8 ± 1.80 | 8 ± 1.10 | 9 ± 8.60 | 7.7 ± 0.80 | 8 ± 1.40 | 7.9 ± 1.90 | (10) = 38.28, 0.01 * |
| Block | 4.80 ± 0.90 | 4.90 ± 0.80 | 4.8 ± 1.00 | 5.1 ± 0.90 | 5.10 ± 1.00 | 4.8 ± 1.00 | 5.4 ± 5.00 | 5 ± 1.00 | 4.8 ± 0.80 | 5 ± 1.20 | 5 ± 0.80 | (10) = 12.66, 0.24 |
| XGBoost (95% CI) | Logistic Regression | Random Forest | Guassian Naive Bayes | K-Near Nearbors | Support Vector Machine | |
|---|---|---|---|---|---|---|
| Accuracy | 0.86 (0.83 to 0.88) | 0.81 (0.78 to 0.83) | 0.84 (0.81 to 0.86) | 0.84 (0.81 to 0.86) | 0.84 (0.81 to 0.86) | 0.83 (0.80 to 0.85) |
| Precision | 0.87 (0.84 to 0.89) | 0.81 (0.78 to 0.83) | 0.84 (0.81 to 0.86) | 0.84 (0.81 to 0.86) | 0.84 (0.81 to 0.86) | 0.83 (0.80 to 0.85) |
| Recall | 0.86 (0.83 to 0.88) | 0.81 (0.78 to 0.83) | 0.84 (0.81 to 0.86) | 0.84 (0.81 to 0.86) | 0.84 (0.81 to 0.86) | 0.83 (0.80 to 0.85) |
| F1 score | 0.86 (0.83 to 0.88) | 0.81 (0.78 to 0.83) | 0.84 (0.81 to 0.86) | 0.84 (0.81 to 0.86) | 0.84 (0.81 to 0.86) | 0.83 (0.80 to 0.85) |
Disclaimer/Publisher’s Note: The statements, opinions and data contained in all publications are solely those of the individual author(s) and contributor(s) and not of MDPI and/or the editor(s). MDPI and/or the editor(s) disclaim responsibility for any injury to people or property resulting from any ideas, methods, instructions or products referred to in the content. |
© 2024 by the authors. Licensee MDPI, Basel, Switzerland. This article is an open access article distributed under the terms and conditions of the Creative Commons Attribution (CC BY) license (https://creativecommons.org/licenses/by/4.0/).
Share and Cite
Buyukcelebi, H.; Sahin, F.N.; Acak, M.; Uysal, H.Ş.; Sari, C.; Erkan, D.; Yatak, S.; Karayigit, R. Changes in Defensive Variables Determining Success in the NBA over the Last 10 Years. Appl. Sci. 2024, 14, 6696. https://doi.org/10.3390/app14156696
Buyukcelebi H, Sahin FN, Acak M, Uysal HŞ, Sari C, Erkan D, Yatak S, Karayigit R. Changes in Defensive Variables Determining Success in the NBA over the Last 10 Years. Applied Sciences. 2024; 14(15):6696. https://doi.org/10.3390/app14156696
Chicago/Turabian StyleBuyukcelebi, Hakan, Fatma Nese Sahin, Mahmut Acak, Hüseyin Şahin Uysal, Cengizhan Sari, Dilara Erkan, Semra Yatak, and Raci Karayigit. 2024. "Changes in Defensive Variables Determining Success in the NBA over the Last 10 Years" Applied Sciences 14, no. 15: 6696. https://doi.org/10.3390/app14156696
APA StyleBuyukcelebi, H., Sahin, F. N., Acak, M., Uysal, H. Ş., Sari, C., Erkan, D., Yatak, S., & Karayigit, R. (2024). Changes in Defensive Variables Determining Success in the NBA over the Last 10 Years. Applied Sciences, 14(15), 6696. https://doi.org/10.3390/app14156696

