Abstract
This paper presents an experimental and numerical evaluation of the pre-chamber induced HCCI combustion concept (PC-HCCI) in terms of engine performance, emissions, and controllability. In this concept, a spark-initiated combustion in the pre-chamber is utilized to trigger the kinetically controlled combustion of an ultra-lean mixture in the main combustion chamber. The experimental measurements were performed on a single-cylinder engine with a custom-made active pre-chamber. A high compression ratio of 17.5 was used, which limits the maximum achievable engine load due to high knocking tendency but enables both standard PCSI combustion (flame propagation) at very high dilution levels and HCCI combustion at reasonable intake temperatures. The analysis of combustion characteristics and the resulting performance is performed at indicated mean effective pressures (IMEPs) of 3.5 and 3.0 bars, and three different intake temperatures of 80 °C, 90 °C, and 100 °C. The variation in engine load was achieved by adjusting the excess air ratio in the main chamber. On each combination of intake temperature and engine load, a spark sweep and an injected PC fuel mass sweep were performed to obtain the highest indicated efficiency while satisfying the restrictions in terms of combustion stability and knock intensity. It was shown that, unlike in a conventional HCCI engine, the combustion phasing can be directly and reliably controlled by adjusting either spark timing or the reactivity of the pre-chamber mixture, ensuring adequate combustion stability and eliminating potential misfires. A similar indicated efficiency as with conventional HCCI combustion was obtained, while the NOx emissions, although slightly elevated, are still insignificant. Compared to PCSI combustion at the same engine load, a 4-percentage-point increase in indicated efficiency and two times lower NOx emissions were achieved. Compared to the most efficient PCSI operating point, it was 1 percentage point lower, indicating that efficiency was achieved, but the specific NOx emissions are reduced by approximately 70%. Most importantly, very similar performance was obtained with significant variations in intake temperature, proving the reliability and adaptability of this combustion concept.
1. Introduction
The environmental challenges that the world has faced in recent years have seen the introduction of stringent emission legislation in terms of emission reduction, which has resulted in advancements in internal combustion engine technology. Despite the introduction of electrification in the transport sector, internal combustion engines are still prevalent in various applications. Therefore, it is of high importance to continue decreasing harmful greenhouse gas emissions from internal combustion engines by developing and evolving low-emission combustion modes.
One of the representatives of low-emission combustion is the pre-chamber spark-ignited (PCSI) combustion mode. Here, the decrease in fuel consumption caused by lower heat losses leads to a reduction in greenhouse gas emissions while reducing harmful nitrogen oxide (NOX) emissions as well. A system with a passive pre-chamber has limited ability to extend lean limit and reduce emissions in comparison with a conventional spark-ignited (SI) engine [1]. On the other hand, the active pre-chamber system with an additional injector in the pre-chamber achieves higher combustion stability at leaner mixtures when compared to conventional SI engines and engines with a passive pre-chamber system [2] and consequently lower fuel combustion and emissions. An active pre-chamber also enables better scavenging. In passive systems, the amount of residual gases that stay trapped in the pre-chamber depends only on the compression ratio (CR) and pressure during the compression stroke [3], while in an active pre-chamber system, optimal timing of fuel injection into the pre-chamber ensures better scavenging of the pre-chamber, which ensures a higher lean limit [4]. When injection timing is delayed, there is a larger pressure difference between the pre-chamber and main chamber (MC), which results in stronger jet energy, which improves the combustion process in the main chamber. Also, combustion duration is shorter when the active pre-chamber system is used in comparison to conventional SI engines [5]. Low-temperature combustion obtained when operating with lean mixtures ensures low emissions of nitrogen oxides (NOX), which mainly depends on the temperature of combustion. It has been proven that the PCSI combustion mode can achieve very low engine-out NOX emissions (NOX < 0.2 g/kWh at λ ≥ 2.0), requiring no additional aftertreatment to satisfy current emission standards [6]. In [7], it was concluded that by using mixtures with λ ≥ 1.6, the NOX emissions can be decreased by more than 90% compared to stoichiometric conditions. However, in those conditions, the total hydrocarbons (THC) and carbon monoxide (CO) emissions are increased because of incomplete combustion in some parts of the cylinder. According to [8], the lowest NOX emissions are achieved at λ = 2.2, while indicated specific fuel consumption is lowest at λ = 1.5–1.6. Besides using very lean mixtures, NOX emissions can also be reduced at moderately lean conditions (λ = 1.6) by retarding spark timing (ST) [7]. Pre-chamber injection timing has a large impact on the air/fuel mixture and on the leakage of fuel from the pre-chamber to the main chamber before ignition, which also impacts combustion stability [9]. On the other hand, stratification in the pre-chamber causes jet-to-jet variations between pre-chamber holes [10]. This implies that the combustion performance of PCSI strongly depends on pre-chamber geometry, which is defined by the pre-chamber volume and shape together with the number, diameter, and angle of pre-chamber holes. It has been shown that a pre-chamber with six orifices has higher indicated combustion efficiencies and lower THC and CO emissions in comparison to pre-chambers with a smaller number of orifices [6]. According to [11], the lowest NOX emissions are produced using pre-chamber geometry with the smallest jet holes. However, the pre-chamber with intermediate cross-sectional area achieves the greatest combustion rate at the early combustion phase, and consequently, the most stable combustion is shown by the lowest coefficient of variation of indicated mean effective pressure (CoV IMEP). With all that said, the best performance in terms of pre-chamber geometry, influenced by lean limit, short combustion duration, low emissions, and high efficiency [12], can be obtained by optimizing the pre-chamber for different engine speeds, loads, and spark timings [13]. By using simulations, it has been concluded that a larger pre-chamber volume is more favorable in most operating conditions, while orifices with smaller diameters ensure better performance in lean mixtures because of the increased cross-flow velocities, which increase combustion speed. Despite the benefits of an active pre-chamber spark-ignited system, it still has challenges at very lean mixtures, low engine speeds, and high loads [14], and conditions at which the highest efficiency is obtained do not satisfy low-NOX-emission regulations.
Another promising low-temperature lean burn concept is a homogeneous charge compression ignition (HCCI), which combines the advantages of compression ignition (CI) and spark ignition (SI) combustion. In HCCI, the premixed homogeneous charge is autoignited due to a temperature rise during compression stroke [15]. This enables operating with very lean mixtures and consequently results in reduced heat losses and low pumping losses. The form of combustion can be used on many different fuels, i.e., fuels that can form a premixed air/fuel mixture; however, because of their different chemical pathways, different fuels show different requirements for operating conditions and different performances. The HCCI combustion fueled by gasoline shows higher indicated efficiency compared to methane, and higher indicated efficiency than the conventional SI combustion mode [16] at the same engine load. At the same time, NOX and soot emissions are very low. To enable HCCI combustion, intake temperatures must be increased, but in [17], it was observed that the increase in compression ratio results in lowering the intake temperature and higher indicated power and torque. The increase in load, represented by the indicated mean effective pressure (IMEP), can be obtained by increasing intake pressure while high indicated efficiency and stable operation are maintained [18]. The HCCI combustion has some unresolved challenges that prevent its wide use, and among them, the lack of autoignition timing control is one of the most important. Control of combustion timing is important because if the start of ignition is too early, it leads to a high ringing intensity, while combustion phasing that is too late leads to incomplete combustion or misfire [15]. Small variations in the intake air temperature result in significant changes in combustion timing, which can lead to unstable engine operation and lack of ignition [19]. Some new combustion concepts that are based on HCCI and aim to provide more control have been researched, e.g., partial fuel stratification [20], spark-assisted compression ignition (SACI) [21], etc. In the partial fuel stratification concept, the reactivity of the mixture is varied by changes in fuel stratification, but the concept relies on the ratio of the sensitivity of fuel reactivity to excess air. This sensitivity in gasoline changes as the system pressure changes with increased sensitivity at higher pressures and is not uniform throughout the entire operating conditions. In spark-assisted compression ignition, the spark discharge is used to initiate an autoignition process similar to HCCI combustion while ensuring controllability of combustion phasing similar to conventional SI engines. This provides stable ignition and combustion that is less dependent on transient and environmental conditions while keeping high efficiency and low emissions, similar to the HCCI combustion engine. According to [21], by using SACI combustion, it is possible to obtain engine operation and control of the combustion phase at both high and low loads. However, when very lean mixtures are used, it is challenging to initiate combustion by spark discharge, which leads to unstable combustion. The ignition of very lean mixtures could be enabled by providing more fuel in the vicinity of the spark. which is a major driver of the idea of using pre-chamber induced HCCI combustion.
The pre-chamber induced HCCI (PC-HCCI) combustion uses flame propagation through an active pre-chamber to induce HCCI in the main chamber. The spark ignition in the pre-chamber is enabled by providing near stoichiometric conditions through direct injection of fuel into the PC, while the conditions in the main chamber are such that the change in pressure caused by combustion in the pre-chamber initiates HCCI combustion. The initial PC-HCCI experimental work has been studied in [22] and it has been found that the PC-HCCI combustion mode ensures stable operation at low loads, extends the lean limit, and maintains higher efficiency when compared to the PCSI combustion mode. Compared to the HCCI mode, PC-HCCI has been achieved at an intake air temperature of 80 °C, which is a decrease of 50 °C compared to pure HCCI combustion in the same engine. The initial results showed a proof of concept. However, to explore the benefits and limitations of the concept, further data and research are required.
In this study, experiments on the PC-HCCI concept have been continued with the aim of providing insight into the stability of PC-HCCI combustion, i.e., the ability to use the fuel injection and spark timing (PC-HCCI combustion control parameters) for control of combustion timing at changeable boundary conditions. Additionally, the paper provides performance results of PC-HCCI combustion at variable boundary conditions and compares results of PCSI, PC-HCCI, and HCCI combustion modes measured on the same engine. The study was performed at mid to low load (3–3.5 bar) so that previously presented results of HCCI mode [19] and of PCSI [6] can be used for comparison.
2. Methods
The presented study contains the analysis of experimental data (performance and emissions) obtained from the engine running in PC-HCCI combustion mode, where HCCI is initiated by the pre-chamber and comparison of PC-HCCI with PCSI and conventional HCCI combustion mode is obtained by well-validated 1D/0D simulation. The compression ratio of the experimental engine is set to 17.5, while the engine was run at an engine speed of 1600 rpm, which enables the comparison with previous experiments conducted on the same experimental setup. At a defined compression ratio, HCCI combustion in the main chamber can be achieved only if the intake air temperature is increased compared to ambient conditions. Therefore, experiments were conducted at different intake air temperatures of 80 °C, 90 °C, and 100 °C for 3 and 3.5 bar IMEP. This also enables the study of controllability and the ability to control combustion timing with changeable boundary conditions. A spark sweep was conducted for every load and intake air temperature within the window of possible spark timings, which are limited by combustion stability and knock tendency, i.e., pressure rise rate. Combustion is considered unstable when CoV IMEP is higher than 5%, while excessive knocking combustion is considered when the pressure rise rate exceeds 8 bar/°CA. In post-processing, the knock tendency was monitored by analyzing the maximum amplitude of pressure oscillations (MAPO). Based on the analysis, it was concluded that the operating point should be considered as being over the knock limit if MAPO exceeded 1.5 bar in more than 5% of the measured cycles, in a window of 300 consecutive cycles, which correlates well with the average MAPO being over 0.8 bar.
Different loads were obtained with wide-open throttle, while fuel mass in the pre- and main chambers was varied, which then changed the excess air ratio. Pre-chamber fuel mass was controlled to achieve a near-stoichiometric local excess air ratio in the pre-chamber at spark timing, while the main chamber fuel mass was controlled to achieve a predefined load. The excess air ratio in the pre-chamber cannot be directly measured during the experiment; hence, a look-up table with the help of a cycle simulation tool was prepared during the design of the experimental phase. The pre-chamber fuel mass required for stoichiometric conditions in the pre-chamber at spark timing is then calculated taking into account the intake air temperature and the measured global excess air ratio.
For comparison results of HCCI combustion mode, the previously published experimental results were used for the validation of the 1D/0D simulation model. This was chosen because the experimental measurements of conventional HCCI combustion were conducted only at compression ratio 16, while the PC-HCCI experimental results are obtained at compression ratio 17.5. Therefore, the validated model at CR = 16 was used to prepare HCCI results at CR = 17.5.
2.1. Experimental Measurements
The experiments conducted in this study were performed using an experimental setup at the Laboratory of IC Engines and Motor Vehicles of the Faculty of Mechanical Engineering and Naval Architecture at the University of Zagreb. The testbed consists of an AC dynamometer with a maximum brake power of 30 kW at 4000 rpm and a research engine made from Hatz 1D81Z. The research engine is an air-cooled single-cylinder engine modified to operate in different combustion modes. The compression ratio of the engine can be varied by using cylinder support rings and gaskets of different thicknesses, while for different combustion modes, different modifications of the engine head and of the intake system are made. In this study, the compression ratio is set to 17.5 and the head was modified to house the pre-chamber. The pre-chamber system is an active system that consists of a spark plug and a pre-chamber injector. Pre-chamber system design enables changing the pre-chamber tip, which enables easy change of pre-chamber geometry. The air-cooling system’s temperature depends on environmental temperature inside the testbed room, while cooling air mass flow is defined by crankshaft rotational speed. The wall temperature of the combustion chamber depends on the engine load and testbed room temperature and is similar at the same engine loads, but it is not directly controlled. However, the pre-chamber and high-pressure injector are additionally cooled by compressed air to prevent overheating, especially at high loads. Engine specifications are given in Table 1.
Table 1.
Engine specifications.
As previously mentioned, the engine was naturally aspirated without intake throttling. Intake air is heated by an inline air heater to achieve constant predefined intake temperatures. During the experiment, intake, exhaust, cylinder, and pre-chamber pressures are measured, as well as temperatures. For emissions, the carbon monoxide (CO), carbon dioxide (CO2), total hydrocarbon (THC), and nitrogen oxide (NOX) emissions are measured. A detailed description of the experimental setup can be found in [7].
The pre-chamber geometry used in this experiment is the geometry with a small volume and 6 orifices. The geometry parameters of the pre-chamber are given in Table 2.
Table 2.
Pre-chamber geometry.
Figure 1 shows the previously described experimental analysis approach on some of the results from previous investigations by the authors, published in [6], that were used as a reference for the design of experiments for the PC-HCCI combustion. Figure 1a shows the results of PCSI combustion at a global air excess ratio of 1.6, which represents the dilution level after which the highest indicated efficiency is no longer limited by knocking combustion, as well as the minimal dilution level where the NOx emissions can be maintained under the legal limit of 0.4 g/kWh. By advancing the spark timing, an increase in indicated efficiency can be observed, but the combustion phasing is limited by the occurrence of knock (operating point marked red). By retarding the spark timing, it is possible to reduce the NOX emissions below 0.4 g/kWh (operating points marked green) at the expense of the indicated efficiency of around 2% of points when compared to the operating point with the highest efficiency (marked blue) which satisfies the knock limit.
Figure 1.
An example of performed analysis. (a) Optimization of combustion phasing of a single operating point; (b) optimal operating points at different engine loads.
In Figure 1b, a load sweep is shown where the load is varied by changing the air dilution level from λ = 1.0 to λ = 2.2 (lean limit). The blue curve represents the operating points with the highest indicated efficiency, while the green curve represents the operating points that satisfy the NOX regulation limit by retarding the spark timing. By looking at the operating points that satisfy the NOX regulation limit, it can be concluded that the operating range for low NOx emissions is between the loads of IMEP = 4 bar and IMEP = 5.5 bar. These operating points will be used as the first set of reference results, to see how much the lean limit can be extended, both with PCSI combustion at increased compression ratio and with PC-HCCI combustion, and how comparable the obtained performance would be. The boundary conditions and operating parameters of this set are listed in Table 3.
Table 3.
PCSI reference points taken from [6].
2.2. Numerical Simulations
Figure 2 shows the numerical framework that was used in [23] for the numerical analysis of the PC-HCCI combustion concept as the preceding activity of the initial measurements performed in [22]. The same numerical framework is used in this study to further enhance the experimental measurements by giving insight into certain results that cannot be measured experimentally.
Figure 2.
The depiction of the numerical framework.
The numerical framework consists of a reduced 1D/0D model made in AVL BoostTM, extensively validated based on experimental measurements and 3D-CFD validations in previous studies [13,23,24]. The existing 0D PCSI Combustion Model does not include chemical kinetics in the unburned zone; however, a multi-zone HCCI combustion model was developed at the Faculty of Mechanical Engineering and Naval Architecture and then integrated into AVL BoostTM v2013.2 [25]. This model was validated with an operating point taken from the previous experimental investigation of the HCCI combustion mode [19] and then used to simulate the HCCI combustion with the compression ratio of 17.5 to obtain the reference results for the evaluation of PC-HCCI combustion. Boundary conditions imposed in numerical simulations are the intake pressure profile and intake temperature, exhaust pressure and temperature, cylinder head temperature along with the operating parameters such as spark timing, injected fuel mass, etc. Additional information about the entire numerical framework can be found in [23].
As mentioned before, the pre-chamber excess air ratio cannot be easily determined because of the mixing process of different air and fuel mixtures from both the pre-chamber and main chamber through pre-chamber orifices. This can, however, be obtained by simulation, assuming the good accuracy of the model. In Figure 3, the comparison of pressure profiles between the experiment, 3D-CFD, and 0D PCSI combustion model at the highest efficiency operating point at λ = 1.6 is shown. For the same operating point, the comparisons of PC fuel energy and PC air excess ratio profiles between the 3D-CFD and 0D PCSI combustion model at λ = 1.6 are shown in Figure 4. It can be concluded that the 0D model can accurately predict the values of both PC fuel energy and PC air excess ratio around the expected spark timing range.
Figure 3.
The comparison of pressure profiles between experiment, 3D-CFD, and 0D PCSI combustion model at λ = 1.6.
Figure 4.
The comparison of PC fuel energy and PC air excess ratio profiles between 3D-CFD and 0D PCSI combustion model at λ = 1.6.
Finally, as it is hard to define from pure measurements of cylinder pressure whether a measured point achieves the HCCI or PCSI combustion modes, the verification of the type of combustion mode is thus once again performed by 0D/1D numerical simulations. Since the 0D PCSI combustion model does not include chemical kinetics in the unburned zone, the combustion will be governed by flame propagation even at intake temperatures sufficiently high for HCCI combustion. That is why, by comparing the experimentally obtained pressure profiles with those obtained by numerical simulations of PCSI (flame propagation only) at identical boundary conditions, it can be indicated whether the HCCI combustion in the main chamber is triggered or not. If a good match between pressure traces from the experiment and the simulation is achieved, it can be assumed that pure flame propagation governs the combustion process. If the experimentally obtained pressure curve starts to deviate from that obtained by simulation, the triggering of the HCCI combustion is indicated. An example of such an analysis is performed on reference operating points taken from the initial measurements of PC-HCCI [22], whose operating parameters are given in Table 4.
Table 4.
Reference points taken from initial measurements of PC-HCCI [22].
First, the model is validated by comparing the simulated and experimentally obtained pressure profiles in the pre-chamber and the main chamber at the intake temperature of 34 °C (operating point R5), where it can be safely assumed that the engine operates fully in PCSI combustion mode (Figure 5). It can be seen that a good match between the simulated and experimentally obtained pressure profiles is achieved.
Figure 5.
The comparison of pressure profiles between experiment and 0D PCSI combustion model for the operating point R5.
Then, the model is applied to simulate the PCSI combustion with the imposed boundary conditions of operating points with increased intake temperatures (R6 and R7), and the comparison of the obtained pressure profiles is shown in Figure 6. Once the experimentally obtained pressure curve starts to deviate from that obtained by simulation, it can be assumed that the HCCI combustion was triggered. Below the pressure curves, the plot of mass fraction burned (MFB) is given and the values of both total MFB and main chamber-only MFB are extracted at the point of clearly visible deviation in the pressure curves.
Figure 6.
The comparison of pressure profiles between experiment and 0D PCSI combustion model for the operating points R6 and R7 and the corresponding MFB profiles obtained by the simulation model.
As expected, a larger share of the main chamber charge is consumed by flame propagation prior to the autoignition (AI) at a lower intake temperature. However, it can be seen that even at 100 °C, a large share of total fuel is combusted in the pre-chamber before the HCCI combustion in the main chamber is triggered. It was already indicated in [22] that the pre-chamber variant used in the initial measurements of PC-HCCI possibly has too large a volume, considering that it was optimized for PCSI combustion at the compression ratio of 12.8 and that this has a negative effect on indicated efficiency, which was approximately 3 percentage points lower than that of HCCI combustion with the compression ratio of 16. That is why, for this study, a smaller pre-chamber was used, whose geometry is listed in Table 2, along with performing a sweep of the duration of fuel injection in the pre-chamber (PC DOI) as a means of reducing the share of energy released in the pre-chamber and thus possibly increasing the overall efficiency.
3. Results and Discussion
The results and discussion section is split into four subsections. First, the design of the experiment is further explained, along with the newly obtained reference results. After that, a detailed analysis of the PC-HCCI controllability is performed, followed by the comparisons of the obtained performance and emissions to those achieved with conventional HCCI and PCSI combustion, respectively.
3.1. DoE and New Reference Results
As mentioned, the main target of the investigation is to achieve stable, efficient, and low NOX operation at mid to low engine loads. The lean limit in PCSI combustion mode at the compression ratio of 12.8 was determined to be λ = 2.2, which resulted in an IMEP of 3.9 bar and a significant drop in indicated efficiency when compared to the operation at λ = 1.6–1.8. One of the targets of this study is thus not only to extend the lean limit but to maintain a high indicated efficiency at the same time. On the other hand, the upper limit of the engine load that could be achieved with HCCI combustion on the same experimental engine without intake boosting was approximately 3.55 bars of IMEP at λ = 2.44 [19]. Considering the available reference results, the investigation is performed at engine loads of 3.5 and 3.0 bars of IMEP.
In [23], the numerical simulations indicated, as later confirmed by the initial measurement, that the required intake temperature for achieving PC-HCCI combustion with the compression ratio of 17.5 is between 80 °C and 100 °C, so the DoE includes three different intake temperatures, 80 °C, 90 °C, and 100 °C. On each combination of intake temperature and engine load, a spark sweep and PC DOI sweep were performed to obtain the highest indicated efficiency while satisfying the restrictions in terms of combustion stability and knock intensity. The PC DOI sweep is imposed such that the injected fuel amount is reduced in steps of 20% of the fuel amount, determined by simulations to achieve a stoichiometric mixture in the pre-chamber at the spark timing. Such a strategy should result in a very similar range of λPC values at each of the imposed spark timings.
The list of all measured operating points at IMEP = 3.5 bar is given in Table 5, and for IMEP = 3.0 bar in Table 6.
Table 5.
The list of all measured operating points at IMEP = 3.5 bar.
Table 6.
The list of all measured operating points at IMEP = 3.0 bar.
Additionally, the measurements are performed at the intake temperature of 33 °C but without the injected PC fuel mass sweep. The stoichiometric mixture in the pre-chamber is rather targeted at each spark timing, which is the usual approach for PCSI combustion, to provide the reference results of PCSI combustion at the same compression ratio of 17.5. Along with the IMEP of 3.0 and 3.5 bar, the upper and lower bounds of the reference set taken from measurements of PCSI combustion at the compression ratio of 12.8 (5.5 bar and 4.0 bar) are measured. The operating points with the highest indicated efficiencies at the imposed engine loads are given in Table 7 and represent another set of reference results.
Table 7.
Reference PCSI operating points at CR = 17.5.
Finally, since there are no available experimental results of HCCI combustion at the compression ratio of 17.5, the MultiZone HCCI combustion model that was validated in [23] was used to obtain some reference results for the evaluation of PC-HCCI combustion, whose operating parameters are given in Table 8. The operating parameters of the operating point used for validation are also given in Table 8, as it will be used as the only experimentally obtained reference HCCI result, regardless of the different compression ratio. The air excess ratios were kept constant for each of the imposed intake temperatures. Since all other boundary conditions, such as intake and exhaust pressures, wall temperatures, etc., are taken from the validated operating point (R12) and are imposed on both targeted engine loads, resulting in the same conditions at the intake valve closed position (IVC), approximately 5 °C higher in-cylinder temperature is obtained at top dead center (TDC) with λ = 2.88 due to the change in thermodynamic properties of the air–fuel mixture with the change in the dilution level. As a result, a similar combustion phasing is achieved at both loads (with both dilution levels). In reality, lower wall temperatures are expected at lower engine load, causing at least a slight increase in the required intake temperature to maintain the same combustion phase.
Table 8.
HCCI reference operating points.
Nevertheless, at both dilution levels, the operating points at the intake temperature of 110 °C could not maintain the desired IMEP. This indicates that the lower bound of the required intake temperature for HCCI combustion is exceeded, and those operating points are thus not further used in the analysis.
Figure 7 shows the simulated pressure profiles of HCCI combustion at the compression ratio of 17.5, while the obtained CA50 values and the corresponding indicated efficiencies are given in Figure 8.
Figure 7.
Pressure profiles of HCCI combustion for intake temperature sweep: (a) λ = 2.6; (b) λ = 2.88.
Figure 8.
CA50 values and the corresponding indicated efficiencies: (a) λ = 2.6; (b) λ = 2.88.
Based on the presented results, it is expected that to achieve similar indicated efficiencies, the combustion phasing should be controlled such that the CA50 is somewhere between 6 °CA aTDC and 10 °CA aTDC.
It should be noted that at IMEP = 3.0 bar, the reduction in fuel injected into the pre-chamber instantly led to unstable combustion at most operating points, with the exception of operation at the intake temperature of 100 °C, where 80% of the reference fuel amount, resulting in pre-chamber air excess ratio at spark timing (λPC @ ST) ≈ 1.1, still maintains CoV IMEP under the imposed limit of 5%. Of course, the combustion phasing at IMEP = 3.0 bar can still be controlled by spark timing adjustments. On the other hand, at IMEP = 3.5 bar, a large number of operating points satisfy the criteria and are analyzed in detail in the following subsection.
3.2. Analysis of Controllability and Resulting Performance
Figure 9 shows the comparison of experimentally obtained PC-HCCI pressure profiles for different strategies of combustion phasing control with simulated HCCI pressure profiles, at the intake temperature of 90 °C. It can be seen that by varying either the spark timing or by varying the PC DOI at the fixed spark timing, the combustion phasing can be controlled with an effect that equals that of changing the intake temperature by 5 °C in an HCCI combustion mode.
Figure 9.
The comparison of obtained PC-HCCI pressure profiles for different strategies of combustion phasing control with reference HCCI pressure profiles: (a) spark sweep with fixed λPC @ ST; (b) PC DOI or λPC @ ST sweep at fixed spark timing.
To give some more insight into how the operating parameters are affecting the combustion phasing, the calculated values of PC fuel energy at ST and CA50 are shown against different combinations of the imposed spark timing and the calculated value of λPC at ST (Figure 10). It can be seen that the adjustment of spark timing and PC DOI which targets constant mixture reactivity in the pre-chamber (fixed λPC at ST) has an almost identical effect as adjusting the mixture reactivity at fixed spark timing by reducing the injected fuel amount by 20%. It should be noted that, while lowering the value of λPC at fixed ST advances the combustion due to the combined effect of higher PC fuel energy and higher laminar flame speeds, keeping the same values of λPC at more advanced spark timings leads to lower PC fuel energy. This is a known restriction of PCSI combustion of highly diluted mixtures where the significant spark advance, which is necessary due to low laminar flame speeds, consequently reduces the ignition energy, which can cause unstable combustion or even misfires.
Figure 10.
The calculated values of PC fuel energy at ST and CA50 for different strategies of combustion phasing control: (a) spark sweep with fixed λPC @ ST; (b) PC DOI or λPC @ ST sweep at fixed spark timing.
The values of λPC @ ST are calculated for all the remaining operating points from Table 5, and at each step of the PC DOI sweep, they vary only by ±4%, meaning that the imposed strategy achieved the desired effect.
Figure 11 shows the analysis of the controllability of PC-HCCI combustion for the entire set of investigated operating points from Table 5. The obtained results of indicated efficiencies, CoV IMEP, average MAPO, and NOX emissions are plotted against the CA50 value to show how much the combustion phasing can be controlled, what the limitations are, and how different control strategies affect the efficiency, combustion stability, knocking tendency, and NOX emissions, as some of the most important performance metrics. Some general trends can be observed as follows:
Figure 11.
The analysis of controllability of PC-HCCI combustion for the entire set of investigated combinations of operating parameters: (a) intake temperature = 80 °C; (b) intake temperature = 90 °C; (c) intake temperature = 100 °C.
- The achievable combustion phasing range is limited on one side by the high knocking tendency and on the opposite side by combustion instability.
- For the same CA50 value, higher efficiency, more stable combustion, and lower NOX emissions are obtained with a higher intake temperature.
- At each of the imposed intake temperatures, for a given CA50, the combination of earlier spark timing and lower mixture reactivity in the pre-chamber leads to both higher efficiency and lower NOx emissions, at the expense of slightly higher cyclic variability.
- The optimal combustion phasing corresponds to that of the simulated HCCI combustion at the same compression ratio at each of the imposed intake temperatures.
There are some exceptions worth mentioning, one of which is the sudden and very significant increase in CoV IMEP under the combinations of the most advanced spark timings and lowest mixture reactivity in the pre-chamber at the intake temperature of 80 °C. Another is the sudden combustion phasing advance at the spark timing of 2 °CA bTDC after reducing the mixture reactivity at the intake temperature of 100 °C. Both operating points are included in the following analysis to explain such behavior.
Figure 12 shows the comparison of pressure profiles with the reference HCCI pressure profile at the optimal combustion phasing achieved with different control strategies at each of the investigated intake temperatures. Also included in the analysis are the two already mentioned operating points that stand out as not following the expected trend. It is already clear from the pressure plots that a large share of the main chamber charge is consumed by flame propagation prior to the autoignition, but the pressure plots by themselves do not indicate anything suspectable with OP2 when compared to the other two points at the same intake temperature. It is, however, clear for OP38 that the autoignition occurred in the pre-chamber, resulting in a much higher burn rate, which consequently reflects the combustion phasing in the main chamber, but it is not clear whether it occurred prior to or during the flame propagation.
Figure 12.
The comparison of pressure profiles with reference HCCI pressure profile (reference point R13, denoted by the dotted lines) at the optimal combustion phasing achieved with different control strategies at each of the investigated intake temperatures: (a) intake temperature = 80 °C; (b) intake temperature = 90 °C; (c) intake temperature = 100 °C.
To help further explain the suspectable behavior of OP2 and OP38, as well as further compare the entire set of operating points resulting in the optimal combustion phasing, the PC fuel energy at spark timing is calculated for each of the analyzed operating points and given in Figure 13. Additionally, the values of both the total MFB and the MFB in the main chamber only at the time of autoignition (AI) are extracted using a method previously described in Figure 6. As expected, there is a clear trend of increased ignition energy with the increase in intake temperature due to later spark timings and at the same time lower MFB values at AI due to conditions being closer to those required for HCCI combustion.
Figure 13.
The calculated values of PC fuel energy at ST and MFB at AI for the optimal combustion phasing achieved with different control strategies at each of the investigated intake temperatures: (a) intake temperature = 80 °C; (b) intake temperature = 90 °C; (c) intake temperature = 100 °C.
Finally, with the help of the presented results, the suspectable behavior of both OP2 and OP38 can also be explained. Considering the unstable operating point at 80 °C (OP2, ST = 14 °CA bTDC, λPC @ ST = 1.63), it can be seen that in addition to the overall lowest reactivity of the pre-chamber mixture, the PC fuel energy is the lowest amongst all analyzed operating points, while the MFB at autoignition is the highest, where almost 30% of the main chamber charge is consumed by flame propagation prior to autoignition. Since flame propagation through such a highly diluted main chamber charge is susceptible to high cyclic variability, the results indicate that this case simply represents the exceeding of the lowest bound of the ignition energy required for reliable and stable flame propagation at the imposed intake temperature. Considering that the OP19 at the intake temperature of 90 °C, which achieves stable combustion, shows only a slightly higher value of PC fuel energy at ST and only slightly lower values of MFB at AI, it can be assumed that the OP2 could achieve the desired combustion stability with only a small modification of pre-chamber mixture reactivity.
On the other hand, the plots of pressure profiles already indicated that the uncontrolled autoignition in the pre-chamber occurs before the mixture is consumed by flame propagation, and the assumption is backed up by the extracted values of MFB. Even though the imposed intake temperatures are 20–40 °C lower than that required for the conventional HCCI combustion at the same engine load, it is clear that, due to the higher reactivity of the pre-chamber mixture when compared to the mixture in the main chamber, the autoignition in the pre-chamber would be inevitable if the mixture is not consumed by the spark-initiated flame propagation prior to that point. The spark timing of 2 °CA bTDC seems to be the limit. With higher reactivity of the PC mixture (OP36 and OP37), the ignition delay is lower and the spark-initiated combustion occurs prior to the point of autoignition. However, as there is an evident increase in average MAPO values for all operating points at ST = 2 °CA bTDC, it can be safely assumed that the autoignition still occurs in the pre-chamber but not until a fair amount of mixture is already consumed by the flame propagation. Finally, it can be concluded that further reduction in mixture reactivity affected the flame kernel formation in such a way that the autoignition occurred first and then caused the initiation of HCCI combustion in the MC as well, and did so earlier due to a much higher burn rate, evident from the high peak pressure in the pre-chamber.
Based on all the presented results, a conclusion could be made that the intake temperature of 90 °C offers the highest flexibility and most reliable control of combustion phasing, but the overall efficiency is much more dependent on the CA50 values than at the intake temperature of 100 °C. The intake temperatures of 80 °C and 100 °C are once again confirmed as the lower and upper bounds for the PC-HCCI combustion at the compression ratio of 17.5 and the IMEP of 3.5 bars. At 80 °C and the optimal combustion phasing, the operating points are either at the limit of knock intensity or at risk of unstable combustion. The intake temperature of 100 °C, on the other hand, offers a much narrower range of possible combustion phasing adjustments, limited on one side by knocking intensity and on the other side by the risk of undesired and uncontrolled autoignition in the pre-chamber.
3.3. Comparison with HCCI Combustion
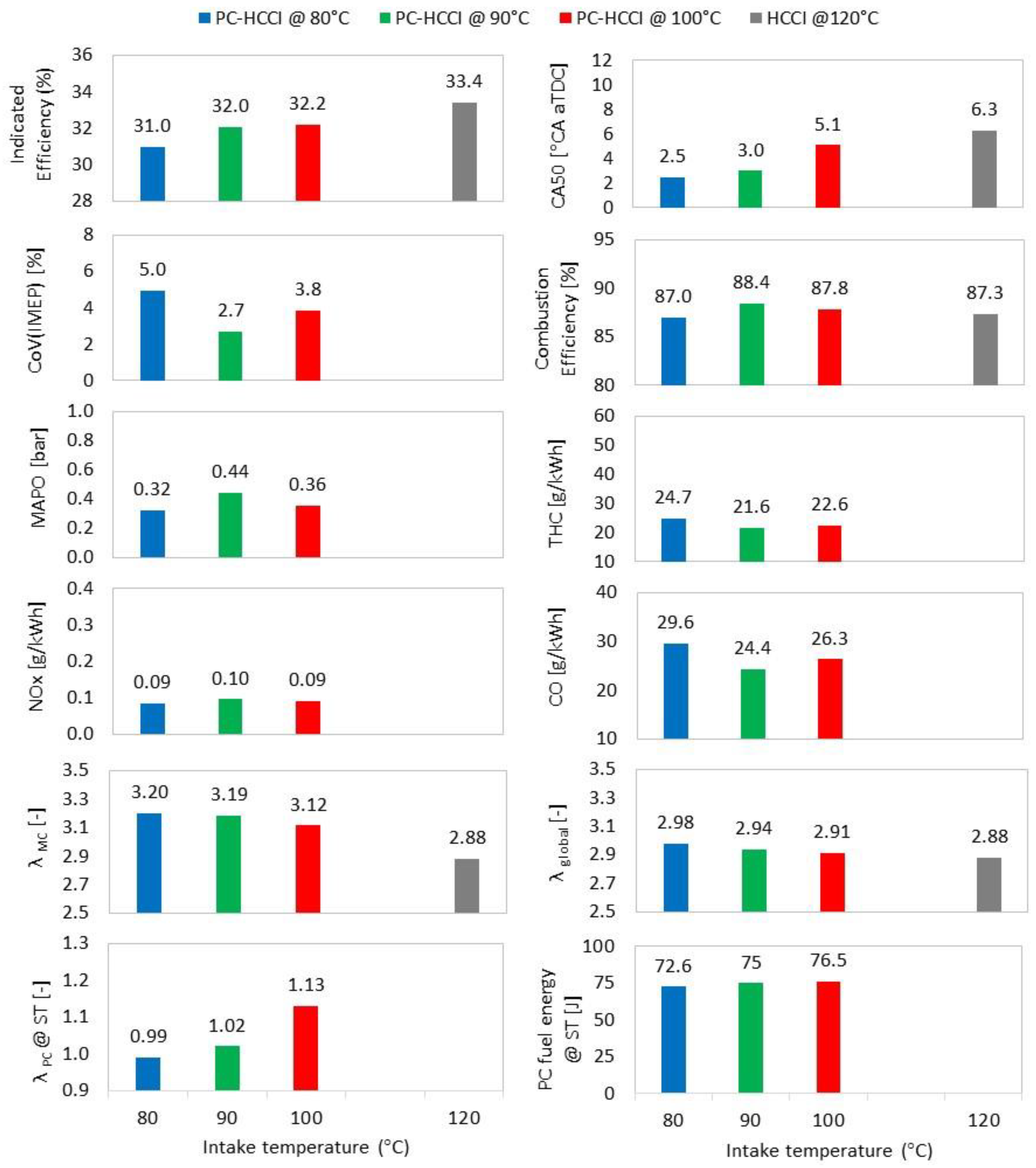
For the comparison of the PC-HCCI results with the reference HCCI results, the operating point that results in the highest indicated efficiency while satisfying all the imposed constraints is selected for each intake temperature. At the intake temperatures of 90 °C and 100 °C, the previously mentioned conditions are achieved by OP19 and OP30, respectively. Both operating points represent a combination of the most advanced spark timing and the lowest mixture reactivity. At the intake temperature of 80 °C, the operating point with the spark timing that is delayed by one step compared to the most advanced ST and with the slightly higher mixture reactivity (λPC @ ST = 1.28 instead of 1.63) is determined to be the one that achieves the previously mentioned conditions. The two reference operating points from the initial measurements are also included in the analysis to verify the performance benefits by changing the pre-chamber variant and optimizing the operating parameters. The comparison of performance metrics of selected operating points for each of the investigated intake temperatures with initial measurements and with reference HCCI operating points, at IMEP = 3.5 bar, is shown in Figure 14.
Figure 14.
The comparison of performance metrics of optimal operating points at each of the investigated intake temperatures with initial measurements and with reference HCCI operating points, at IMEP = 3.5 bar.
When compared to the initial measurements, an approximately 2-percentage-point increase in indicated efficiency is achieved, at almost identical combustion phasing. Very stable combustion is maintained regardless of the significant decrease in the pre-chamber mixture reactivity when compared to initial measurements. A slight increase in THC emissions is evident as well as a slight decrease in CO emissions, resulting in an overall slightly lower combustion efficiency. On the other hand, the reduction in the pre-chamber mixture reactivity significantly reduced the NOx emissions, especially at the intake temperature of 80 °C. The only negative trend is the slight increase in knocking tendency, which can more likely be attributed to the change in pre-chamber geometry rather than the change in the operating parameters caused by the optimization.
When the PC-HCCI results are compared to the reference HCCI results at the same compression ratio, an almost identical result is obtained in all the performance metrics available from the simulation. However, when compared to the experimentally obtained HCCI reference point, an efficiency more than one percentage point lower is noted. At the same time, the average MAPO value is two times higher for PC-HCCI, explained by the shift in the optimal combustion phasing of 2 °CA when compared to the HCCI result at the compression ratio of 16. The NOx emissions are higher but still insignificant, and the THC and CO emission levels are comparable.
Overall, it can be concluded that a very similar performance is obtained with significant variations in intake temperature, proving the reliability and adaptability of the PC-HCCI combustion mode. The indicated efficiency is identical at the intake temperatures of 90 °C and 100 °C and slightly lower at the intake temperature of 80 °C, while the NOx emissions are almost identical for each intake temperature. The intake temperature of 100 °C leads to the most stable combustion and highest combustion efficiency, which also means the lowest THC and CO emissions. However, it was previously shown that the intake temperature of 90 °C offers the highest flexibility and most reliable control of combustion phasing. The results prove that, unlike in conventional HCCI combustion, the variations in boundary conditions during engine operation can be easily compensated for, ensuring adequate combustion stability and eliminating potential misfires. Finally, a similar indicated efficiency can be obtained as with conventional HCCI combustion at the same compression ratio, with up to 30 °C lower intake temperatures.
Figure 15 shows the comparison of the PC-HCCI pressure profiles with the reference HCCI pressure profile at the optimal combustion phasing for each of the investigated intake temperatures at IMEP = 3.0 bar. The pressure profiles at 80 °C and 90 °C indicate that, compared to the previously analyzed operating points at IMEP = 3.5 bar, the combustion is much more dominantly governed by the flame propagation. At 100 °C, however, the pressure profile characteristic for PC-HCCI combustion starts to be evident. This indicates that in order to achieve the full performance benefits of HCCI combustion for lower engine load, an adjustment of the intake temperature range could be beneficial, especially considering that the difference in recorded cylinder head temperatures is approximately 20 °C between the two investigated engine loads. However, in this study, the optimization of operating parameters is performed at IMEP = 3.5 bar, and the intention of the performed investigation at lower engine load without adjusting the intake temperatures is to show the benefits in terms of reliability and adaptability of PC-HCCI when compared to HCCI combustion.
Figure 15.
The comparison of pressure profiles of optimal operating points at each of the investigated intake temperatures with reference HCCI pressure profile, at IMEP = 3.0 bar.
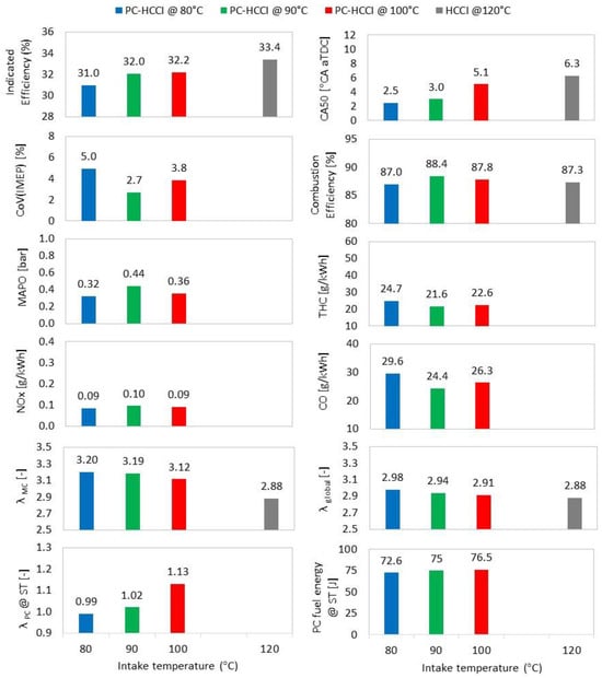
To prove those assumptions, the comparison of performance metrics of optimal operating points at each of the investigated intake temperatures with the reference HCCI operating point, at IMEP = 3.0 bar, is shown in Figure 16.
Figure 16.
The comparison of performance metrics of optimal operating points at each of the investigated intake temperatures with reference HCCI operating point, at IMEP = 3.0 bar.
It can be seen that for the intake temperature of 80 °C, there is the highest penalty in terms of indicated efficiency (2.4 percentage points when compared to HCCI), and the CoV IMEP is at the limit, even with a stoichiometric PC mixture. At the intake temperatures of 90 °C and 100 °C, a stable operation is achieved, and the obtained efficiency is increased by approximately 1 percentage point. However, it is still lower than the indicated efficiency of the reference HCCI combustion. The results of the CA50 show that PC-HCCI has some features that resemble the PCSI combustion at high dilution levels, mainly the shift of the optimal combustion phasing towards the TDC to maintain the combustion efficiency at the expense of higher heat losses. Only at 100 °C is the combustion phasing close to that of the reference HCCI point, and it can be safely assumed that a further increase in intake temperature would further improve the performance. Nevertheless, the presented results prove that even when the operation is not in the optimal intake temperature range, the engine continues to operate reliably with only a slight penalty in indicated efficiency and increased cyclic variability, but without misfires or total loss of the combustion phasing control.
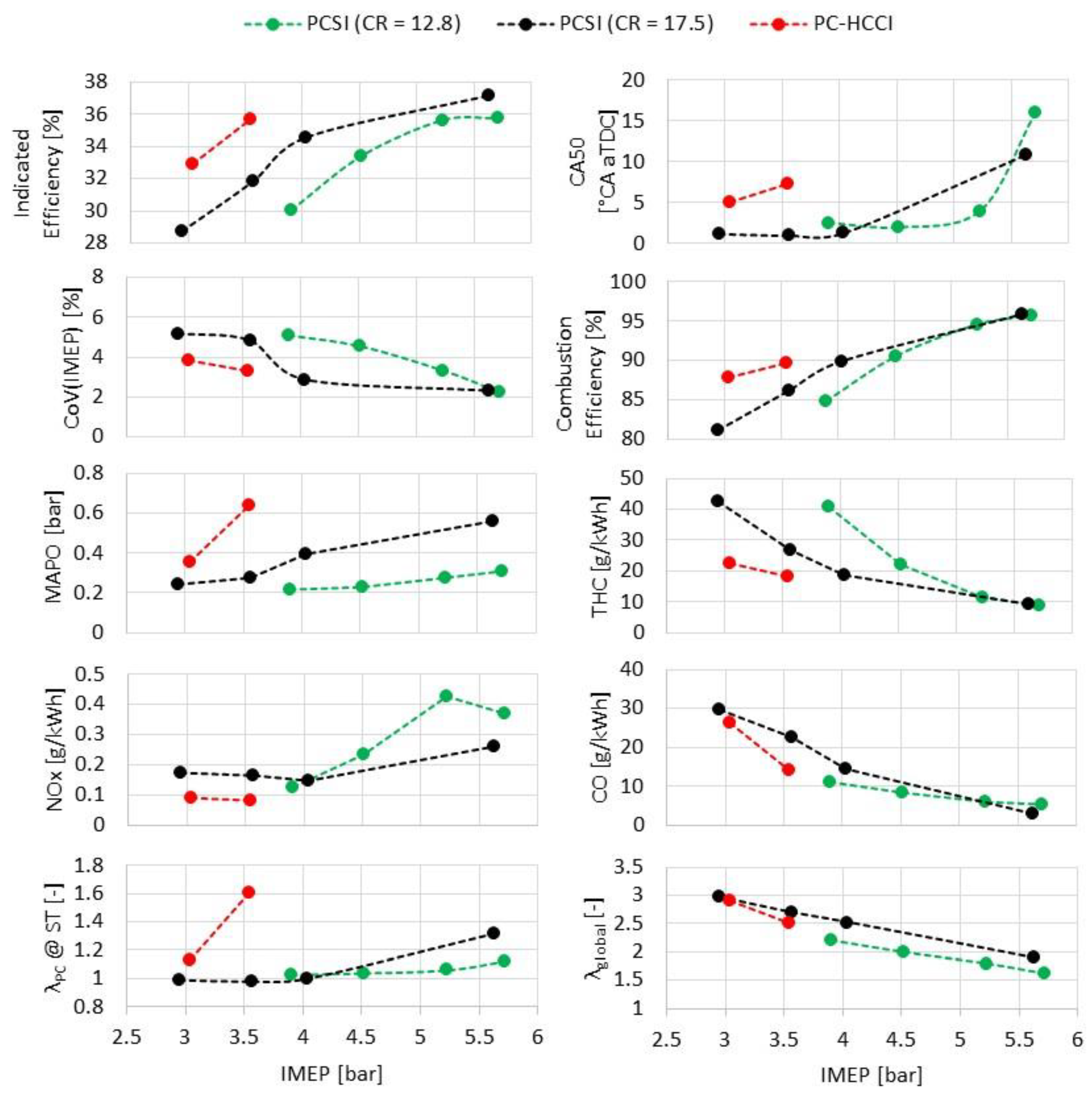
3.4. Comparison with PCSI Combustion
Figure 17 shows the comparison of the PC-HCCI combustion with the PCSI combustion at compression ratios of CR = 12.8 and CR = 17.5, for which the NOx optimized operating points were achieved by imposing the current Euro VI limit for heavy-duty vehicles in steady-state testing (0.4 g/kWh).
Figure 17.
The comparison of performance metrics of overall optimal PC-HCCI operating point at each of the investigated engine loads with reference PCSI operating points.
First, it is worth noticing that even the PCSI combustion at the increased compression ratio significantly extends the lean limit, from λ~2.2 to λ~3.0, resulting in the lowest engine load of IMEP = 3.0 bar. At the same engine load of IMEP = 4 bar, the increase in compression ratio results in an increase in indicated efficiency of around 4 percentage points, which can be mainly attributed to the increased combustion efficiency. However, optimal combustion phasing for the PCSI combustion at such high dilution levels is still shifted closer to the TDC. This is because the increase in combustion efficiency while advancing the combustion phasing overcomes the increase in heat losses. However, the spark advance becomes restricted due to the inevitable effect of lowering the ignition energy, which then increases the cyclic variability and the risk of misfires. The highest efficiency is achieved at IMEP ≈ 5.5 bar (CR = 17.5), which is 1 percentage point higher than with the compression ratio of 12.8. This is because the same engine load is obtained at the higher dilution level (combustion efficiency is maintained) and the optimal combustion phasing is not limited by the imposed NOX limit. However, further reduction in NOx emissions just under the expected Euro VII limit of 0.2 g/kWh [26] would once again require further mixture dilution, which comes at the expense of indicated efficiency, reducing it by 3 percentage points.
The PC-HCCI combustion has an indicated efficiency 4 percentage points higher when compared to the PCSI combustion (CR = 17.5) at the same load, due to the higher combustion efficiency, which is maintained at the combustion phasing closer to the expected optimal range. The THC and CO emissions are consequently lower. A more stable combustion is achieved, with CoV(IMEP) further away from the imposed limit of 5%. On the other hand, the knocking tendency is higher, which is evident from the higher average MAPO values. The PC-HCCI combustion also has two times lower NOX emissions than the PCSI combustion at the same load. When the PC-HCCI is compared to the most efficient PCSI operating point, an indicated efficiency 1 percentage point lower is noted, but the specific NOX emissions are reduced by approximately 70%. This means that the PC-HCCI combustion can achieve ultra-low NOx emissions of <0.1 g/kWh, while at the same time maintaining the indicated efficiency at a much higher level, which was not possible with the ultra-lean PCSI combustion.
Based on the presented results, it can be derived that by combining the two existing and widely investigated lean burn approaches (PCSI and HCCI) into a single combustion mode (PC-HCCI), some major drawbacks of each individual combustion mode can be resolved. Without some significant limitations or challenges identified, this makes PC-HCCI a feasible technology for achieving reliable, stable, and efficient operation with ultra-low NOX emissions in both new and retrofit engines.
4. Conclusions
An experimental and numerical evaluation of the pre-chamber induced HCCI combustion concept (PC-HCCI) is performed to investigate the flexibility in inducing HCCI combustion in the main chamber and to show the overall engine performance and emissions. It was shown that:
- A very similar performance is obtained with significant variations in intake temperature, proving the reliability and adaptability of this combustion concept.
- The combustion phasing can be reliably controlled by adjusting either the spark timing or the reactivity of the pre-chamber mixture. The optimal combustion phasing achieved with the combination of earlier spark timing and lower mixture reactivity in the pre-chamber leads to both higher efficiency and lower NOx emissions.
- Unlike in conventional HCCI combustion, the variations in boundary conditions during engine operation can be easily compensated for, ensuring adequate combustion stability, and eliminating potential misfires.
- A similar indicated efficiency can be obtained as with the conventional HCCI combustion, with up to 30 °C lower intake temperatures. The NOx emission levels are slightly elevated but still insignificant.
- Compared to the PCSI combustion at the same engine load, an increase of 4 percentage points in indicated efficiency and two times lower NOX emissions were achieved. Compared to the most efficient PCSI operating point, the 1 percentage point lower indicated efficiency was obtained, but the specific NOx emissions are reduced by approximately 70%. This means that the PC-HCCI combustion can achieve ultra-low NOX emissions, while at the same time maintaining the indicated efficiency at a much higher level, which was not possible with the ultra-lean PCSI combustion.
- Overall, some major individual challenges of both PCSI and HCCI combustion modes can be resolved, without some new limitations or challenges identified. This makes the PC-HCCI a feasible technology for achieving reliable, stable, and efficient operation with ultra-low NOX emissions in both new and retrofit engines.
In the following research activities, it is planned to repeat the same Design of Experiments with the initially used pre-chamber design to investigate the effect of pre-chamber geometry, followed by further investigations at different engine loads and engine speeds and a more targeted optimization of the intake temperature at each operating point.
Author Contributions
Conceptualization, J.K. and D.K.; methodology, J.K. and D.K.; software, J.K.; validation, J.K., S.U. and V.D.; formal analysis, J.K., S.U. and V.D.; investigation, J.K.; resources, J.K. and D.K.; data curation, J.K. and D.K.; writing—original draft preparation, J.K., S.U., V.D. and D.K.; writing—review and editing, J.K. and D.K.; visualization, J.K., S.U. and V.D.; supervision, D.K.; project administration, D.K.; funding acquisition, D.K. All authors have read and agreed to the published version of the manuscript.
Funding
This research was funded by Croatian Science Foundation (HRZZ), grant number IP-2019-04-4900 under the project “Research of More Efficient and Environment-Friendly Pre-Chamber Spark Ignition Combustion” (EF-PRECOM).
Institutional Review Board Statement
Not applicable.
Informed Consent Statement
Not applicable.
Data Availability Statement
The data presented in this study are available on request from the corresponding author due to the size of the datasets.
Conflicts of Interest
The authors declare no conflicts of interest.
Nomenclature
| AI | Autoignition |
| aTDC | After top dead center |
| bTDC | Before top dead center |
| CA | Crank angle |
| CFD | Computational fluid dynamics |
| CI | Compression ignition |
| CoV | Coefficient of variation |
| CO | Carbon monoxide |
| CR | Compression ratio |
| DoE | Design of experiments |
| DOI | Duration of injection |
| HCCI | Homogeneous charge compression ignition |
| IMEP | Indicated mean effective pressure |
| MAPO | Maximum amplitude of pressure oscillations |
| MC | Main chamber |
| MFB | Mass fraction burned |
| NOX | Nitrogen oxides |
| OP | Operating point |
| PC | Pre-chamber |
| PCSI | Pre-chamber spark ignition |
| RoHR | Rate of heat release |
| SACI | Spark assisted compression ignition |
| SI | Spark ignition |
| ST | Spark timing |
| THC | Total hydrocarbons |
| 0D, 1D, 3D | Zero-, one-, three-dimensional |
| λ | Excess air ratio |
| λPC | Excess air ratio in the pre-chamber |
| λMC | Excess air ratio in the main chamber |
References
- López, J.; Novella, R.; Gomez-Soriano, J.; Martinez-Hernandiz, P.; Rampanarivo, F.; Libert, C.; Dabiri, M. Advantages of the unscavenged pre-chamber ignition system in turbocharged natural gas engines for automotive applications. Energy 2021, 218, 119466. [Google Scholar] [CrossRef]
- Santos, N.D.S.A.; Alvarez, C.E.C.; Roso, V.R.; Baeta, J.G.C.; Valle, R.M. Combustion analysis of a SI engine with stratified and homogeneous pre-chamber ignition system using ethanol and hydrogen. Appl. Therm. Eng. 2019, 160, 113985. [Google Scholar] [CrossRef]
- Rohwer, J.; Han, T.; Shah, A.; Rockstroh, T. Investigations into EGR dilution tolerance in a pre-chamber ignited GDI engine. Int. J. Engine Res. 2023, 24, 1200–1222. [Google Scholar] [CrossRef]
- Yang, X.; Cheng, Y.; Wang, P. The scavenging timing of pre-chamber on the performance of a natural gas engine. Int. J. Engine Res. 2021, 22, 2919–2930. [Google Scholar] [CrossRef]
- Ju, D.; Huang, Z.; Li, X.; Zhang, T.; Cai, W. Comparison of open chamber and pre-chamber ignition of methane/air mixtures in a large bore constant volume chamber: Effect of excess air ratio and pre-mixed pressure. Appl. Energy 2020, 260, 114319. [Google Scholar] [CrossRef]
- Tomić, R.; Sjerić, M.; Krajnović, J.; Ugrinić, S. Influence of Pre-Chamber Volume, Orifice Diameter and Orifice Number on Performance of Pre-Chamber SI Engine—An Experimental and Numerical Study. Energies 2023, 16, 2884. [Google Scholar] [CrossRef]
- Ugrinić, S.; Dilber, V.; Sjerić, M.; Kozarac, D.; Krajnović, J.; Tomić, R. Experimental Study of Pre-Chamber Geometry Influence on Performance and Emissions in a Gasoline Spark Ignited Engine; SAE Technical Paper 2022-01-1008; SAE International: Warrendale, PA, USA, 2022. [Google Scholar] [CrossRef]
- Hua, J.; Zhou, L.; Gao, Q.; Feng, Z.; Wei, H. Influence of pre-chamber structure and injection parameters on engine performance and combustion characteristics in a turbulent jet ignition (TJI) engine. Fuel 2021, 283, 119236. [Google Scholar] [CrossRef]
- Gentz, G.; Gholamisheeri, M.; Toulson, E. A study of a turbulent jet ignition system fueled with iso-octane: Pressure trace analysis and combustion visualization. Appl. Energy 2017, 189, 385–394. [Google Scholar] [CrossRef]
- García-Oliver, J.; Niki, Y.; Rajasegar, R.; Novella, R.; Gomez-Soriano, J.; Martínez-Hernándiz, P.; Li, Z.; Musculus, M. An experimental and one-dimensional modeling analysis of turbulent gas ejection in pre-chamber engines. Fuel 2021, 299, 120861. [Google Scholar] [CrossRef]
- Onofrio, G.; Napolitano, P.; Tunestål, P.; Beatrice, C. Combustion sensitivity to the nozzle hole size in an active pre-chamber ultra-lean heavy-duty natural gas engine. Energy 2021, 235, 121298. [Google Scholar] [CrossRef]
- Müller, C.; Morcinkowski, B.; Schernus, C.; Habermann, K.; Uhlmann, T. Development of prechamber for SI Engines in Vehicle Applications. In Proceedings of the 4th International Conference, Berlin, Germany, 6–7 December 2018. [Google Scholar]
- Dilber, V.; Sjeric, M.; Tomić, R.; Krajnović, J.; Ugrinić, S. Optimization of Pre-Chamber Geometry and Operating Parameters in a Turbulent Jet Ignition Engine. Energies 2022, 15, 4758. [Google Scholar] [CrossRef]
- Soltic, P.; Hilfiker, T.; Hänggi, S. Efficient light-duty engine using turbulent jet ignition of lean methane mixtures. Int. J. Engine Res. 2021, 22, 1301–1311. [Google Scholar] [CrossRef]
- Bendu, H.; Murugan, S. Homogeneous charge compression ignition (HCCI) combustion: Mixture preparation and control strategies in diesel engines. Renew. Sustain. Energy Rev. 2014, 38, 732–746. [Google Scholar] [CrossRef]
- Vucetic, A.; Bozic, M.; Kozarac, D.; Lulic, Z. Characterisation of the combustion process in the spark ignition and homogeneous charge compression ignition engine. Therm. Sci. 2018, 22, 2025–2037. [Google Scholar] [CrossRef]
- Hasan, M.M.; Rahman, M.M.; Kadirgama, K.; Ramasamy, D. Numerical study of engine parameters on combustion and performance characteristics in an n-heptane fueled HCCI engine. Appl. Therm. Eng. 2018, 128, 1464–1475. [Google Scholar] [CrossRef]
- Polat, S.; Yücesu, H.S.; Uyumaz, A.; Kannan, K.; Shahbakhti, M. An experimental investigation on combustion and performance characteristics of supercharged HCCI operation in low compression ratio engine setting. Appl. Therm. Eng. 2020, 180, 115858. [Google Scholar] [CrossRef]
- Vučetić, A. Identifikacija i Karakterizacija Parametara rada HCCI Motora pri Pogonu Bioplinom. Ph.D. Thesis, Faculty of Mechanical Engineering and Naval Architecture, University of Zagreb, Zagreb, Croatia, 2018. [Google Scholar]
- Yang, Y.; Dec, J.E.; Dronniou, N.; Sjöberg, M.; Cannella, W. Partial Fuel Stratification to Control HCCI Heat Release Rates: Fuel Composition and Other Factors Affecting Pre-Ignition Reactions of Two-Stage Ignition Fuels. SAE Int. J. Engines 2011, 4, 1903–1920. [Google Scholar] [CrossRef]
- Chiodi, M.; Kaechele, A.; Bargende, M.; Wichelhaus, D.; Poetsch, C. Development of an Innovative Combustion Process: Spark-Assisted Compression Ignition. SAE Int. J. Engines 2017, 10, 2486–2499. [Google Scholar] [CrossRef]
- Ugrinić, S.; Krajnovic, J.; Sjeric, M.; Kozarac, D. Experimental Study of Combustion Characteristics and Emissions of Pre-Chamber Induced HCCI Combustion; SAE Technical Papers; SAE International: Warrendale, PA, USA, 2023. [Google Scholar] [CrossRef]
- Krajnovic, J.; Dilber, V.; Tomic, R.; Sjeric, M.; Ilincic, P.; Kozarac, D. Numerical Simulations of Pre-Chamber Induced HCCI Combustion (PC-HCCI); SAE Technical Papers; SAE International: Warrendale, PA, USA, 2023. [Google Scholar] [CrossRef]
- Krajnović, J.; Sjerić, M.; Tomić, R.; Kozarac, D. A novel concept of active pre-chamber engine with a single injector—The passive main chamber approach. Appl. Therm. Eng. 2024, 250, 123509. [Google Scholar] [CrossRef]
- Ilinčić, P. Višezonski simulacijski model HCCI motora s razdvojenim rješavačem. Ph.D. Thesis, Faculty of Mechanical Engineering and Naval Architecture, University of Zagreb, Zagreb, Croatia, 2015. [Google Scholar]
- Mulholland, E.; Miller, J.; Bernard, Y.; Lee, K.; Rodríguez, F. The role of NOx emission reductions in Euro 7/VII vehicle emission standards to reduce adverse health impacts in the EU27 through 2050. Transp. Eng. 2022, 9, 100133. [Google Scholar] [CrossRef]
Disclaimer/Publisher’s Note: The statements, opinions and data contained in all publications are solely those of the individual author(s) and contributor(s) and not of MDPI and/or the editor(s). MDPI and/or the editor(s) disclaim responsibility for any injury to people or property resulting from any ideas, methods, instructions or products referred to in the content. |
© 2024 by the authors. Licensee MDPI, Basel, Switzerland. This article is an open access article distributed under the terms and conditions of the Creative Commons Attribution (CC BY) license (https://creativecommons.org/licenses/by/4.0/).
