Next Article in Journal
Evaluating Commercial Electrical Neuromodulation Devices with Low-Cost Neural Phantoms
Next Article in Special Issue
Muscle Power and Body Composition of Ranked and Unranked Brazilian Jiu-Jitsu Athletes: A Pilot Study
Previous Article in Journal
Impact of Wood Structure Variability on the Surface Roughness of Chestnut Wood
Previous Article in Special Issue
Differences in Impact Force between Side Kicks and Turning Kicks in Male Practitioners of Taekwon-Do—Case Studies
 
 
Font Type:
Arial Georgia Verdana
Font Size:
Aa Aa Aa
Line Spacing:
Column Width:
Background:
Article

The Association between Body Composition and the Parameters of Muscle Fitness in Selected Young Judokas

1
Faculty of Sport and Physical Education, University of Niš, 18000 Niš, Serbia
2
Faculty of Sport and Tourism, Educons University, 21000 Novi Sad, Serbia
3
Faculty of Medicine, University of Ljubljana, 1000 Ljubljana, Slovenia
*
Author to whom correspondence should be addressed.
Appl. Sci. 2024, 14(14), 6327; https://doi.org/10.3390/app14146327
Submission received: 10 June 2024 / Revised: 8 July 2024 / Accepted: 17 July 2024 / Published: 20 July 2024
(This article belongs to the Special Issue Athletes Performance and Analysis in Combat Sports and Martial Arts)

Abstract

This study aimed to determine the influence of body composition on the muscle fitness of selected judokas. This study was conducted on a sample of 23 judokas (cadets n = 12, juniors n = 11), members of the male national team of Serbia. The assessment of body composition was performed using the InBody 720 (Biospace Co., Ltd., Seoul, Republic of Korea) and calipers. Muscle fitness was assessed using “Optojump” (Microgate, Bolzano, Italy), Fitrodine Premium (Fitronic, Bratislava, Slovakia), and a digital force instrument IMADA Z2H-1100 (Imada Inc., Northbrook, IL, USA). Regression analysis revealed a notable association between muscle mass and measures of explosive strength (countermovement jump (CMJ) p = 0.023; drop jump (DJ) p = 0.026). Moreover, this study’s results showed that back extension (p = 0.006; R2 = 0.61) and hand grip (p = 0.009; R2 = 0.52) provide a strong positive association with muscle mass. The findings suggest that tailored training and nutritional strategies that improve muscle mass might significantly enhance muscle fitness in young judokas, optimizing their performance.

1. Introduction

Today, judo is one of the most popular martial arts, where physical performance and body composition are crucial elements that significantly impact an athlete’s success [1]. High levels of strength, endurance, and agility, coupled with optimal body composition, characterized by a favorable balance of muscle mass and minimal body fat, are essential for executing techniques with precision and power, allowing judokas to gain an advantage over their opponents [2]. Moreover, top-elite judokas are significantly superior in all upper-body neuromuscular attributes compared to lower-level judokas [3]. This superiority is critical as it enables elite judokas to perform more powerful and effective throws, maintain superior grip strength, and exhibit greater overall endurance and resilience during matches, which are essential qualities for success at the highest levels of competition. The physiological profile of elite judokas is characterized by remarkable muscle strength, with bench press values often exceeding 1.5 times their body weight and leg press values reaching up to 3 times their body weight. The ability to generate such force directly contributes to the athletes’ competitive performance, making muscle strength one of the key determinants of success in judo [2].
Previous studies have examined the optimal level of physical readiness necessary for top sports performance [4], the psychological profile of elite judokas [5], the anthropometric profiles of competitors in different weight categories [6], the effects of specific training programs on anthropological characteristics [7], and the biomechanical efficiency of judokas to reduce the number of fight injuries [8]. Additionally, research has established that competitive success in judo is influenced by various factors such as muscle strength, endurance, anaerobic power, aerobic capacity, flexibility, and the technical efficiency of judokas [9]. However, these studies often lack specific numerical data and detailed analysis of the physiological profiles of elite judokas, particularly how their body composition relates to fitness components such as strength and agility.
This study builds upon these findings by focusing on the associations between body composition and muscle fitness parameters among elite judokas. Strength is one of the most dominant fitness parameters in judo. During a fight, judokas activate a significant portion of their muscle mass in both the upper body and lower extremities. Elite senior judokas are known for their high muscle strength and upper-body muscle endurance, which are critical for executing and resisting throws, maintaining grips, and ensuring quick recovery during a match [1]. Previous studies have indicated that the arm and forearm flexor muscles are crucial due to judo’s direct physical contact and gripping actions [10]. Therefore, understanding how muscle mass distribution relates to these strength attributes can provide valuable insights for optimizing training and performance.
The body composition of athletes depends on several factors: age, gender, health status, genetic factors, diet, and training process [11]. This implies that the training process could be adjusted if the factors affecting sports performance are clearly defined [12]. The training process of judokas can vary depending on the weight category of the competitors, so systems and training methods are chosen to meet the needs of light, medium, and heavy categories. One way to gain an advantage over the competition is to enter a lighter-weight category by adjusting body weight while aiming to maintain muscle mass and lose body fat [13]. In judo, a growing problem is losing body weight before competing in the desired weight category [14]. Therefore, efforts are made to define the optimal body composition.
Consequently, the question arises: what association does body composition have with the muscle fitness of top judokas? It is well established that the mesomorphic somatotype, characterized by a large percentage of muscle mass and a low percentage of body fat, is typical for judokas [15]. Elite judokas should maintain a body fat percentage below 10% through a programmed training process and proper diet [1], except in the heavy and super-heavy categories (up to 100 kg and over 100 kg). Research has shown that Olympic and world medalists have less than 10% body fat [2,16].
While the association between body composition and the strength of top judokas is an important area, it has not been sufficiently researched. This study, therefore, might have practical implications for the fields of sports science and martial arts. It aims to determine the associations between body composition and the muscle fitness of the elite judokas. Our focus on this specific issue might be a valuable addition to the existing body of research. However, it also highlights the need for further research in this area.

2. Materials and Methods

2.1. Participants

The sample consisted of 23 male judokas from the broader composition of Serbia’s national team, categorized into various weight classes: 55 kg, 60 kg, 66 kg, 73 kg, 81 kg, 90 kg, and 100 kg. This range of weight classes ensures a representative sample of judokas across different competitive categories, providing a comprehensive understanding of the relationships between body composition and muscle fitness across a spectrum of athletes. Each weight class was chosen to align with the standard weight categories used in judo competitions.
Participants were recruited during a national team training camp. The recruitment process included the following criteria: all participants had to undergo a medical examination, have no health problems ten days before testing, have no injuries that could affect the test results, and obtain parental consent for participation if they were under 18. Exclusion criteria from this study included being in a period of intensive weight loss, feeling accumulated fatigue from previous training, and not feeling sufficiently motivated to participate. This recruitment strategy ensured that the participants were in optimal condition for the assessments, thus providing reliable data for this study.
All participants voluntarily participated in this study after being informed about the procedures, and each participant could withdraw from this study at any time during the testing. This study was previously approved by the Ethics Committee of the Faculty of Sport and Physical Education (R. 03-1912/43, approved 11 April 2019). Measurements were carried out by highly qualified experts with previous experience in the mentioned measurements. This study followed the Helsinki Declaration and recommendations for research involving human subjects.

2.2. Study Design

This study investigated the association between body composition and muscle fitness in young judokas. Body composition measurements included assessments of muscle mass, body fat percentage, and lean mass. Muscle fitness was evaluated using a series of standardized tests: countermovement jump, drop jump, and bench press throw were used to assess explosive power; isometric deadlift, standing leg extension, and hand grip tests measured isometric strength; and trunk flexion, push-ups, and back extension tests evaluated local muscular endurance.
The test sequence was carefully planned to eliminate the possibility of fatigue affecting subsequent test results. All tests were conducted following a standardized warm-up and based on established recommendations for their execution. Participants were thoroughly briefed on the test procedures, which were demonstrated before each measurement. Additionally, participants were instructed not to train for at least 24 h before testing and to maintain consistent eating, sleeping, and other habits. The measurements were conducted in the halls of the National Youth Camp “Karataš” (Institute for Sport and Sports Medicine of the Republic of Serbia). The hall temperature was maintained at approximately 20 °C to ensure proper measurement conditions, and participants wore appropriate sports attire (shorts, shirts, shoes).

2.3. Measures and Procedures

2.3.1. Anthropometric Measurements and Body Composition

Anthropometric measurements were conducted following the recommendations of Eston & Reilly [17] and included measurements of body height, body mass, and five skinfold thicknesses (triceps, back, abdomen, thigh, and calf). Body height measurement was performed with a Martin anthropometer (GPM, Lugano, Switzerland) (measurement accuracy 0.1 cm). Subcutaneous fat tissue was measured with a “John Bull” caliper (CMS instruments, London, UK) with an accuracy of 0.2 mm. The pressure on the caliper tips was constant at 10 g/mm2, and the results were read two seconds after this pressure was achieved. Total subcutaneous adiposity was calculated by summing the measured skinfolds (triceps, back, abdomen, thigh, and calf).
Body composition was assessed using bioelectrical impedance analysis, utilizing the Segmental Body Composition Analyzer InBody 720 (Biospace Co., Ltd., Seoul, Republic of Korea), a valid and reliable method for assessing body composition in this population [18]. Parameters measured during the assessment were body fat percentage (BF%), muscle mass percentage (MM%), lean body mass percentage (LBM%), and body mass.

2.3.2. Muscle Fitness

Muscle fitness was classified into three dimensions: explosive, isometric, and local muscular endurance.
Three tests were applied to measure explosive power or muscle potential in dynamic conditions: countermovement jump free arms (CMJ), drop jump (DJ), and bench press (BP), measured using the “Optojump” system (Microgate, Bolzano, Italy) and Fitrodine Premium (Fitronic, Bratislava, Slovakia). These tests have been used in previous studies and have shown good validity and reliability [19,20,21].

2.3.3. Countermovement Jump

Participants performed countermovement jump free arms (CMJ) by jumping from a half-squat position. The subjects were allowed to swing their arms during the jump. Each subject performed three trials, and the highest jump performance (cm) was recorded.

2.3.4. Drop Jump

The drop jump (DJ) was performed by having participants stand upright with slight knee flexion and arms free beside the body on the edge of a box 40 cm high, with the front of the feet hanging off the box. On the signal from the measurer, the participant would “drop” from the box to the ground, preparing the body for landing by flexing the knees and hips slightly. Upon landing, they would squat to an approximately 90° angle between the lower leg and thigh without pausing, swinging the arms forward and upward, performing the highest possible jump, and landing on both feet simultaneously. The verbal cue was to jump as high as possible. Each subject performed three trials, and the highest jump performance (cm) and the corresponding vertical force after the drop (N) were recorded.

2.3.5. Bench Press Throw

The bench press throw (BPT) was conducted in three sets with one repetition per set, utilizing a load corresponding to 70% of the participant’s body mass. Participants laid supine on a bench with their feet firmly placed on the floor and their hands gripping the barbell at shoulder width. The exercise commenced from the raised position, where the barbell was held with fully extended arms. The barbell was then lowered to the chest in a controlled manner, followed by an explosive upward movement performed in a ballistic fashion, effectively “throwing” the barbell. The primary parameter measured during this test was the maximal force (Fmax), recorded in Newtons (N). This methodology is validated by the study conducted by Sayers et al. [22].
A digital force gauge IMADA Z2H-1100 (IMADA Inc., Northbrook, IL, USA) with the WinWedge 3.4 program (TAL Technologies, Philadelphia, PA, USA) and a hand dynamometer with the Physical Ability Tests program assessed muscle potential in static conditions or absolute strength. The values of the achieved results were read in Newtons (N). The tests were conducted after 5 min of individual warm-up, with two attempts for each test and a two-minute break between tests.

2.3.6. Isometric Standing Leg Extension

The isometric standing leg extension (SLE) was performed by having participants stand on a platform, holding the dynamometer behind and below their backs. The dynamometer was hooked by a chain to a stand on which the participants stood. The knee joint angle was 120°, the back was straight, and the feet were 10–15 cm apart, with the entire surface of the feet on the platform. The chain connecting the digital force gauge to the stand was fully tightened. On the measurer’s signal, the participant pulled the dynamometer upward for three to five seconds, trying to straighten the knees. Each subject performed two trials, and the highest force output was recorded.

2.3.7. Isometric Deadlift

The isometric deadlift (DL) was performed by having participants stand on a platform holding the dynamometer in front of themselves at the level of the first third of the thigh. The dynamometer was hooked by a chain to a stand on which the participants stood. The legs were straight at the knee joint, the feet 10–15 cm apart with the entire surface of the feet on the platform, and the back slightly bent forward. The chain connecting the digital force gauge to the stand was fully tightened. The hip angle was maintained at approximately 130 degrees. On the measurer’s signal, the participants pulled the dynamometer upward with their backs for three to five seconds. Each subject performed two trials, and the highest force output was recorded.

2.3.8. Handgrip Strength

For assessing handgrip strength (handgrip strength test, HST), a hand dynamometer with an adjustable grip and a computer with appropriate software that detects the force produced on the hand dynamometer with the Physical Ability Tests program were used. The participants were to perform a maximum grip on the dynamometer with their stronger hand without interruption and hold for at least two seconds. The position of the participant’s hand during the test was extended at the elbow joint and placed next to the participant’s body [23]. Each subject performed three trials, and the highest force output was recorded.
The following tests assessed local muscular endurance: trunk flexion on a bench, push-ups, and back extension performed until exhaustion. The total number of successfully performed attempts was the final test result (rep).

2.3.9. Trunk Flexion

Trunk flexion (TF) was performed by having the participant sit on the edge of a bench with knees bent at a 90° angle, feet placed at hip width, and hands crossed at the back of the head. On the measurer’s signal, the participant performed the maximum number of repetitions of sitting up and lowering the trunk to a horizontal position. The task was to perform the exercise until exhaustion, with the measurer counting correctly performed attempts at trunk lifting [24].

2.3.10. Push-Ups

Push-ups (PUs) were performed by having the participant take a prone position on a mat with hands placed on the mat. From the starting position, the participant touched the ground with the chin at least 10 cm in front of the line where the hands were placed by bending the arms at the elbows and lowering the trunk, ensuring that the bent elbows stayed close to the body without separating from it. The task was to perform the exercise until exhaustion. The measurer’s task was to count attempts that were correctly performed. As tested in previous research, the test has satisfactory validity and reliability [25].

2.3.11. Back Extension

The parallel Roman chair dynamic trunk extension (PRC-DTE) was performed by having the participant lie prone on a box with the iliac crest at the edge, the trunk hanging vertically down, legs fixed, and hands crossed across the chest. The participant began in a neutral alignment with 180° between the back and legs, arms folded across the chest. From this position, the participant flexed forward at the waist to a 90° angle, then extended the back to return to neutral alignment, following a system of 3 s beeps. The test continued until the participant could no longer maintain the pace or voluntarily stop, with the total number of correctly paced repetitions recorded. Two spotters ensured the participant’s safety throughout the test. Hannibal et al. have proven this test’s reliability [26].

2.4. Statistical Analysis

Data were processed using the Statistical Package for Social Sciences, SPSS (v20.0, SPSS Inc., Chicago, IL, USA). For each variable, the basic parameters of descriptive statistics were calculated: mean value (mean), standard deviation (±SD), and confidence intervals (95% CI). The association between body composition and muscle fitness was determined using regression analysis (enter method), and individual influences were determined using the beta coefficient (β). Statistical significance was set at p < 0.05.

3. Results

Table 1 shows the basic descriptive characteristics of elite judokas.
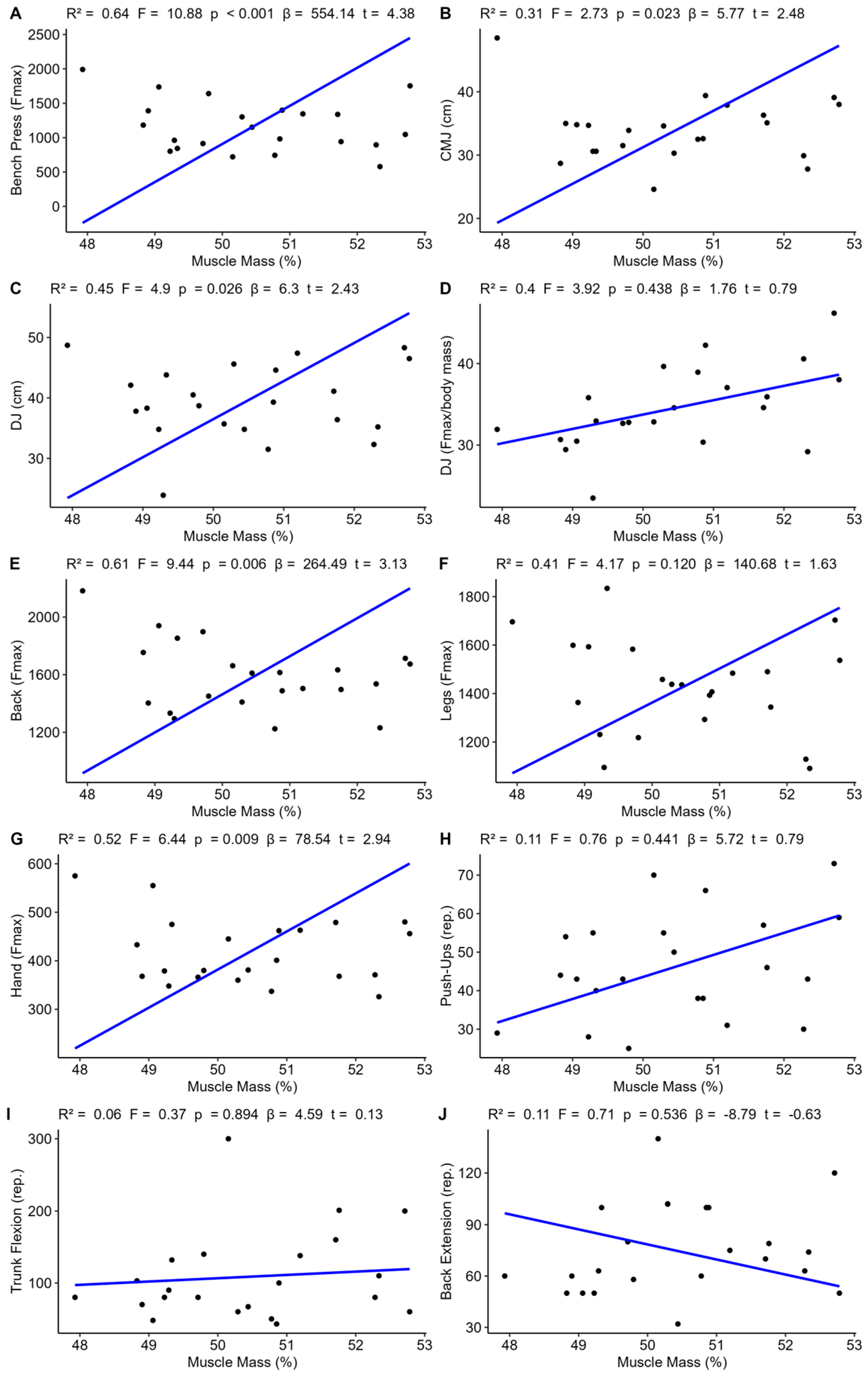
Figure 1 reveals the association between muscle mass and various measures of explosive strength, isometric strength, and local muscular endurance. The bench press panel indicates a strong positive relationship between muscle mass and maximal force output, highlighting muscle mass association with explosive strength. Similarly, the countermovement jump (CMJ) panel underscores a significant association between muscle mass and jump height, while the drop jump (DJ) panels, regarding jump height and force relative to body mass, showed a significant positive association between muscle mass and performance.
Figure 1 also provides insights into the association between muscle mass and muscle potential in isometric conditions. The back extension and hand grip panels show a strong positive association with muscle mass. However, despite a positive trend, the leg extension panel shows no statistical significance. In contrast, the push-ups, trunk flexion, and back extension panels display weak and non-significant associations.

4. Discussion

This study investigates the association between body composition and muscle fitness parameters in young judokas. We examined key indicators of body composition, including fat mass, muscle mass, and lean body mass, alongside muscle fitness parameters such as muscular strength, endurance, and power. Our findings reveal significant associations between body composition and muscle fitness, underscoring the critical role of optimal body composition in the physical performance of young judokas.
Given the sport’s demand for explosive movements and sustained physical exertion, Torres-Luque et al. [27] emphasize that physical and physiological characteristics, such as muscle mass and aerobic endurance, are critical for success in judo. However, it is well documented that body composition plays a pivotal role in judo performance. Junior et al. [28] found that lean body mass is a key determinant of performance, influencing both strength and specific physical fitness. This is supported by Clarys et al. [29], who demonstrated that accurate estimation and maintenance of optimal body composition in adolescent judokas are crucial for their development and competitive success. Further, body composition is critically important for performance in judokas due to its direct impact on strength, agility, endurance, and overall physical efficiency. Lean body mass, particularly muscle mass, generates the explosive power needed for throws, holds, and counter-movements intrinsic to judo. Studies such as those by Junior et al. [28] have shown that judokas with higher lean body mass tend to perform better, as muscle strength is a significant predictor of success in this sport. Moreover, Torres-Luque et al. [27] emphasized that judokas must balance muscle mass and minimal body fat to optimize performance.
Our results revealed a notable association between muscle mass and measures of explosive strength, as evidenced by significant correlations in the CMJ (p = 0.023) and DJ (p = 0.026). These findings highlight the direct impact of muscle strength and explosive power on the competitive performance of elite judo athletes. The association between body composition and muscle fitness parameters in young judokas is underscored by several key studies, revealing intricate interdependencies that influence athletic performance. Tavares Junior et al. [30] demonstrated a significant correlation between handgrip strength and body composition parameters, emphasizing the importance of muscle mass in enhancing grip strength, a critical component in judo performance. Similarly, Junior et al. [28] identified body composition, particularly lean body mass, and specific physical fitness factors, such as strength and endurance, as crucial determinants for distinguishing performance levels among judokas. Furthermore, Witkowski et al. [31] highlighted the variation in body composition and motor potential across different weight categories, suggesting that optimal body composition tailored to weight class can significantly impact an athlete’s motor abilities and overall performance. These findings collectively suggest that targeted training and nutritional strategies focusing on improving body composition and specific muscle fitness parameters can substantially enhance the performance of young judokas.
The results of the current study also demonstrated that back extension (p = 0.006; R2 = 0.61) and hand grip strength (p = 0.009; R2 = 0.52) exhibit a strong positive association with muscle mass. This indicates that greater muscle mass significantly contributes to higher performance in these strength measures, underscoring the importance of muscular development in elite judo athletes. These results align with previous studies showing a significant correlation between body composition and strength, particularly explosive and isometric strength [32,33]. A similar study on Polish national and international rank competitors found a statistically significant correlation between lean body mass and handgrip strength [31]. In contrast, the tests of repetitive strength did not have a statistically significant correlation with the body composition of the competitors. This is in line with the results obtained in our study. The same research also found a correlation between absolute strength tests and body mass and body fat percentage. This justifies the fact that competitors from higher weight categories, who also have a higher body fat percentage, recorded better results in absolute strength tests.
There is a significant impact of muscle mass % on DJ height, bench press throw Fmax, and absolute strength (back Fmax and hand Fmax). Muscle mass is one of the crucial determinants of performance in judo, significantly impacting an athlete’s strength, power, and overall effectiveness in competition. According to Detanico et al. [34], muscle mass is particularly influential in young judo athletes, where somatic maturation, growth, and training experience collectively shape their physical capabilities. This study highlights that increased muscle mass can enhance physical performance metrics such as explosive and absolute strength. In judo, where the ability to execute powerful throws, maintain holds, and resist opponents’ maneuvers is essential, greater muscle mass translates into more effective performance. Muscle mass contributes to higher levels of anaerobic power and muscular endurance, allowing athletes to perform explosive techniques repeatedly throughout a match without significant fatigue. Consequently, targeted training programs to increase muscle mass should be a fundamental aspect of judo training regimens, especially for developing athletes.
However, this study is not without shortcomings. This study’s cross-sectional design limits the ability to infer causality, and we can only discuss associations, not causal relationships, between body composition and muscle fitness parameters. The relatively small sample size may increase the likelihood of Type II errors, potentially underestimating the strength of associations between variables. Additionally, while participants were top-level athletes within their respective categories, the combined analysis of cadets and juniors without detailed differentiation could influence the findings. Furthermore, this study included only male judokas, limiting the generalizability of the findings to female judokas. This study did not account for the participants’ nutritional habits, specific training regimens, or other lifestyle factors that could influence muscle fitness. Additionally, including various weight categories without specific analyses might obscure the weight class’s potential differences and influences on the results. This oversight limits the granularity of our findings, as different weight categories may have distinct physical and physiological profiles that affect muscle fitness parameters differently. Moreover, the variability in the accuracy and precision of measurement techniques for body composition and muscle fitness parameters can affect the reliability of the results.
Despite these limitations, this study has several strengths. One significant strength is the focus on young elite judokas, providing specific insights into this athlete population’s body composition and muscle fitness. Multiple regression analysis allows for a detailed examination of the relationships between body composition and various muscle fitness parameters, offering a comprehensive understanding of how different body composition metrics contribute to performance outcomes. Our study also highlights the importance of muscle mass for strength and explosive power, which are critical components of judo performance, underscoring the potential benefits of targeted training programs that emphasize muscle mass development. The comprehensive dataset includes a range of performance metrics, providing a robust analysis of the association between body composition and various aspects of muscle fitness. Furthermore, the findings can inform tailored interventions to optimize physical conditioning in young judokas, contributing to their overall athletic development and competitive success. This study’s design and methodology can be easily replicated in environments with limited resources, making it valuable for practical implementation.

5. Conclusions

The association between body composition and muscle fitness parameters in young judokas is critical for their competitive performance and overall athletic development. Our study has shown that optimal body composition, characterized by high muscle mass, is associated with greater strength and explosive power in young judokas. Tailored training and nutritional strategies focusing on improving body composition are fundamental for optimizing young judokas’ physical fitness and competitive success. Future studies should examine the association between body composition and other fitness parameters and include female participants to further investigate the relationship between body composition and physical performance in judo.

Author Contributions

Conceptualization, N.M. and N.S. (Nemanja Stanković); methodology, N.S. (Nikola Stojanović); software, D.S.; validation, N.T., S.S. and S.P.; formal analysis, N.M.; investigation, N.S. (Nemanja Stanković); resources, I.P.; data curation, N.S. (Nikola Stojanović); writing—original draft preparation, N.M.; writing—review and editing, N.T. and D.S.; visualization, S.S.; supervision, S.P.; project administration, N.S. (Nemanja Stanković); funding acquisition, I.P. All authors have read and agreed to the published version of the manuscript.

Funding

This research received no external funding.

Institutional Review Board Statement

This study was previously approved by the Ethics Committee of the Faculty of Sport and Physical Education (R. 03-1912/43, approved 11 April 2019).

Informed Consent Statement

Informed consent was obtained from all subjects involved in this study.

Data Availability Statement

The data presented in this study are available on request from the corresponding author.

Conflicts of Interest

The authors declare no conflicts of interest.

References

  1. Franchini, E.; Takito, M.Y.; Kiss, M.A.; Strerkowicz, S. Physical fitness and anthropometrical differences between elite and non-elite judo players. Biol. Sport 2005, 22, 315. [Google Scholar]
  2. Franchini, E.; Del Vecchio, F.B.; Matsushigue, K.A.; Artioli, G.G. Physiological profiles of elite judo athletes. Sports Med. 2011, 41, 147–166. [Google Scholar] [CrossRef] [PubMed]
  3. Monteiro, L.; Massuça, L.M.; Ramos, S.; Garcia-Garcia, J. Neuromuscular Performance of World-Class Judo Athletes on Bench Press, Prone Row and Repeated Jump Tests. Appl. Sci. 2024, 14, 2904. [Google Scholar] [CrossRef]
  4. Degoutte, F.; Jouanel, P.; Filaire, E. Energy demands during a judo match and recovery. Br. J. Sports Med. 2003, 37, 245–249. [Google Scholar] [CrossRef]
  5. Mitić, P.; Nedeljković, J.; Bojanić, Ž.; Franceško, M.; Milovanović, I.; Bianco, A.; Drid, P. Differences in the psychological profiles of elite and non-elite athletes. Front. Psychol. 2021, 12, 635651. [Google Scholar] [CrossRef]
  6. Franchini, E.; Sterkowicz-Przybycien, K.; Yuri Takito, M. Anthropometrical Profile of Judo Athletes: Comparative Analysis Between Weight Categories. Int. J. Morphol. 2014, 32, 36–42. [Google Scholar] [CrossRef]
  7. Franchini, E.; Cormack, S.; Takito, M.Y. Effects of high-intensity interval training on olympic combat sports athletes’ performance and physiological adaptation: A systematic review. J. Strength Cond. Res. 2019, 33, 242–252. [Google Scholar] [CrossRef]
  8. Pocecco, E.; Ruedl, G.; Stankovic, N.; Sterkowicz, S.; Del Vecchio, F.B.; Gutiérrez-García, C.; Rousseau, R.; Wolf, M.; Kopp, M.; Miarka, B.; et al. Injuries in judo: A systematic literature review including suggestions for prevention. Br. J. Sports Med. 2013, 47, 1139–1143. [Google Scholar] [CrossRef] [PubMed]
  9. Ratamess, N.A. Strength and conditioning for grappling sports. Strength Cond. J. 2011, 33, 18–24. [Google Scholar] [CrossRef]
  10. Witkowski, K.; Maśliński, J.; Kotwica, T. Analysis of fighting actions of judo competitors on the basis of the men’s tournament during the 2008 Olympic Games in Beijing. J. Combat. Sports Martial Arts 2012, 3, 121–129. [Google Scholar] [CrossRef]
  11. Roelofs, E.J.; Smith-Ryan, A.E.; Melvin, M.N.; Wingfield, H.L.; Trexler, E.T.; Walker, N. Muscle size, quality, and body composition: Characteristics of division I cross-country runners. J. Strength Cond. Res. 2015, 29, 290–296. [Google Scholar] [CrossRef] [PubMed]
  12. Sterkowicz, S.; Zuchowicz, A.; Kubica, R. Levels of anaerobic and aerobic capacity indices and results for the special fitness test in judo competitors. J. Hum. Kinet. 1999, 2, 115–135. [Google Scholar]
  13. Lech, G.; Jaworski, J.; Żak, M.; Szczepanik, K.; Kołodziej, E. Assessment of body mass and fat percentage in children training judo compared to their non-training peers. J. Kinesiol. Exerc. Sci. 2020, 30, 47–53. [Google Scholar] [CrossRef]
  14. Artioli, G.G.; Franchini, E.; Nicastro, H.; Sterkowicz, S.; Solis, M.Y.; Lancha, A.H. The need of a weight management control program in judo: A proposal based on the successful case of wrestling. J. Int. Soc. Sports Nutr. 2010, 7, 15. [Google Scholar] [CrossRef] [PubMed]
  15. Sterkowicz-Przybycień, K.; Błach, W.; Żarów, R. Somatotype components in judoists. J. Combat. Sports Martial Arts 2012, 2, 73–78. [Google Scholar] [CrossRef][Green Version]
  16. Kubo, J.; Chishaki, T.; Nakamura, N.; Muramatsu, T.; Yamamoto, Y.; Ito, M.; Saitou, H.; Kukidome, T. Differences in fat-free mass and muscle thicknesses at various sites according to performance level among judo athletes. J. Strength Cond. Res. 2006, 20, 654–657. [Google Scholar]
  17. Eston, R.; Reilly, T. Kinanthropometry and Exercise Physiology Laboratory Manual: Tests, Procedures and Data Volume 1: Anthropometry, 3rd ed.; Routledge: London, UK, 2001. [Google Scholar]
  18. Schubert, M.M.; Seay, R.F.; Spain, K.K.; Clarke, H.E.; Taylor, J.K. Reliability and validity of various laboratory methods of body composition assessment in young adults. Clin. Physiol. Funct. Imaging 2019, 39, 150–159. [Google Scholar] [CrossRef] [PubMed]
  19. Slinde, F.; Suber, C.; Suber, L.; Edwén, C.E.; Svantesson, U. Test-retest reliability of three different countermovement jumping tests. J. Strength Cond. Res. 2008, 22, 640–644. [Google Scholar] [CrossRef]
  20. Beyer, E.B.; Hale, R.F.; Hellem, A.R.; Mumbleau, A.M.; Schilaty, N.D.; Hewett, T.E. Inter and intra-rater reliability of the drop vertical jump (DVJ) assessment. Int. J. Sports Phys. Ther. 2020, 15, 770–775. [Google Scholar] [CrossRef]
  21. McGrath, G.; Flanagan, E.P.; O’donovan, P.; Collins, D.; Kenny, I. Velocity based training: Validity of monitoring devices to assess mean concentric velocity in the bench press exercise. J. Aust. Strength Cond. 2018, 26, 23–30. [Google Scholar]
  22. Sayers, M.G.L.; Schlaeppi, M.; Hitz, M.; Lorenzetti, S. The impact of test loads on the accuracy of 1RM prediction using the load-velocity relationship. BMC Sports Sci. Med. Rehabil. 2018, 10, 9. [Google Scholar] [CrossRef] [PubMed]
  23. Dopsaj, M.; Koropanovski, N.; Vuĉković, G.; Blagojević, M.; Marinković, B.; Miljuš, D. Maximal isometric hand grip force in well-trained university students in Serbia: Descriptive, functional and sexual dimorphic model. Serbian J. Sports Sci. 2007, 1, 138–147. [Google Scholar]
  24. Mackenzie, B. Performance Evaluation Tests; Electric World plc: London, UK, 2005; Volume 24, pp. 57–158. [Google Scholar]
  25. Baumgartner, T.A.; Oh, S.; Chung, H.; Hales, D. Objectivity, reliability, and validity for a revised push-up test protocol. Meas. Phys. Educ. Exerc. Sci. 2002, 6, 225–242. [Google Scholar] [CrossRef]
  26. Hannibal, N.S.; Plowman, S.A.; Looney, M.A.; Brandenburg, J. Reliability and validity of low back strength/muscular endurance field tests in adolescents. J. Phys. Act. Health 2006, 3, S78–S89. [Google Scholar] [CrossRef]
  27. Torres-Luque, G.; Hernández-García, R.; Escobar-Molina, R.; Garatachea, N.; Nikolaidis, P.T. Physical and physiological characteristics of judo athletes: An update. Sports 2016, 4, 20. [Google Scholar] [CrossRef] [PubMed]
  28. Junior, A.C.; Junior, J.A.; Goncalves, B.; Drigo, A.J.; Dos-Santos, J.W. Body composition, strength and specific physical fitness as factors to discriminate performance in judokas. Arch. Budo 2018, 14, 117–123. [Google Scholar]
  29. Clarys, P.; Geelen, B.; Aerenhouts, D.; Deriemaeker, P.; Zinzen, E. Estimation of body composition in adolescent judo athletes. J. Combat. Sports Martial Arts 2011, 2, 73–77. [Google Scholar] [CrossRef]
  30. Tavares Junior, A.C.; Silva, H.S.; Penedo, T.; do Amaral Rocha LG, S.; da Silva, A.S.; Venditti Junior, R.; Dos-Santos, J.W. Correlation of the Handgrip Strength and Body Composition Parameters in Young Judokas. Int. J. Environ. Res. Public Health 2023, 20, 2707. [Google Scholar] [CrossRef] [PubMed]
  31. Witkowski, K.; Superson, M.; Piepiora, P. Body composition and motor potential of judo athletes in selected weight categories. Arch. Budo 2021, 17, 161–175. [Google Scholar]
  32. Garthe, I.; Raastad, T.; Refsnes, P.E.; Koivisto, A.; Sundgot-Borgen, J. Effect of two different weight-loss rates on body composition and strength and power-related performance in elite athletes. Int. J. Sport Nutr. Exerc. Metab. 2011, 21, 97–104. [Google Scholar] [CrossRef]
  33. Silva, A.M.; Fields, D.A.; Heymsfield, S.B.; Sardinha, L.B. Relationship between changes in total-body water and fluid distribution with maximal forearm strength in elite judo athletes. J. Strength Cond. Res. 2011, 25, 2488–2495. [Google Scholar] [CrossRef] [PubMed]
  34. Detanico, D.; Kons, R.L.; Fukuda, D.H.; Teixeira, A.S. Physical performance in young judo athletes: Influence of somatic maturation, growth, and training experience. Res. Q. Exerc. Sport 2020, 91, 425–432. [Google Scholar] [CrossRef] [PubMed]
Figure 1. Relationship between muscle mass and various performance metrics. This figure shows the association between muscle mass and measures of explosive strength (panels (AD)), isometric strength (panels (EG)), and local muscular endurance (panels (HJ)). Each panel presents the observed data points and the fitted regression line with muscle mass as the predictor. The output statistics in each panel include R2 (coefficient of determination), F (F-statistic), p (p-value), β (beta coefficient), and t (t-value).
Figure 1. Relationship between muscle mass and various performance metrics. This figure shows the association between muscle mass and measures of explosive strength (panels (AD)), isometric strength (panels (EG)), and local muscular endurance (panels (HJ)). Each panel presents the observed data points and the fitted regression line with muscle mass as the predictor. The output statistics in each panel include R2 (coefficient of determination), F (F-statistic), p (p-value), β (beta coefficient), and t (t-value).
Applsci 14 06327 g001
Table 1. The values of the basic descriptive parameters.
Table 1. The values of the basic descriptive parameters.
VariableMean ± SD95% CI
Body Mass (kg)70.15 ± 10.9565.42–74.89
Body Fat (%)10.95 ± 2.849.72–12.18
Muscle Mass (%)52.53 ± 1.3851.93–53.12
Lean Body Mass (%)89.02 ± 2.8687.78–90.26
Skinfold Thickness—Triceps (mm)9.87 ± 2.268.89–10.84
Skinfold Thickness—Back (mm)10.91 ± 2.989.62–12.20
Skinfold Thickness—Abdomen (mm)10.69 ± 5.478.32–13.06
Skinfold Thickness—Thigh (mm)9.34 ± 2.678.19–10.50
Skinfold Thickness—Calf (mm)12.08 ± 3.1710.71–13.46
Total Skinfolds (mm)52.91 ± 13.3547.13–58.68
CMJ (cm)34.12 ± 4.9731.97–36.27
DJ (Fmax)34.18 ± 5.7431.69–36.66
DJ (cm)39.52 ± 6.1136.88–42.16
Bench Press Throw (Fmax) (N)1170.61 ± 369.911010.65–1330.58
Back (Fmax) (N)1586.52 ± 236.111484.41–1688.62
Legs (Fmax) (N)1418.69 ± 200.451332.01–1505.37
Handgrip strength (Fmax) (N)420.21 ± 67.36391.08–449.34
Push-ups (rep)45.30 ± 14.1339.19–51.41
Trunk Flexion (rep)10.73 ± 62.5878.67–132.80
Back Extensions (rep)73.69 ± 25.2262.78–84.60
Legend: Mean—arithmetic mean; SD—standard deviation; 95% CI = confidence intervals; CMJ—countermovement jump; DJ—drop jump.
Disclaimer/Publisher’s Note: The statements, opinions and data contained in all publications are solely those of the individual author(s) and contributor(s) and not of MDPI and/or the editor(s). MDPI and/or the editor(s) disclaim responsibility for any injury to people or property resulting from any ideas, methods, instructions or products referred to in the content.

Share and Cite

MDPI and ACS Style

Milošević, N.; Stupar, D.; Stanković, N.; Pantelić, S.; Stojanović, N.; Stamenković, S.; Trajković, N.; Potparić, I. The Association between Body Composition and the Parameters of Muscle Fitness in Selected Young Judokas. Appl. Sci. 2024, 14, 6327. https://doi.org/10.3390/app14146327

AMA Style

Milošević N, Stupar D, Stanković N, Pantelić S, Stojanović N, Stamenković S, Trajković N, Potparić I. The Association between Body Composition and the Parameters of Muscle Fitness in Selected Young Judokas. Applied Sciences. 2024; 14(14):6327. https://doi.org/10.3390/app14146327

Chicago/Turabian Style

Milošević, Nikola, Dušan Stupar, Nemanja Stanković, Saša Pantelić, Nikola Stojanović, Stevan Stamenković, Nebojša Trajković, and Igor Potparić. 2024. "The Association between Body Composition and the Parameters of Muscle Fitness in Selected Young Judokas" Applied Sciences 14, no. 14: 6327. https://doi.org/10.3390/app14146327

APA Style

Milošević, N., Stupar, D., Stanković, N., Pantelić, S., Stojanović, N., Stamenković, S., Trajković, N., & Potparić, I. (2024). The Association between Body Composition and the Parameters of Muscle Fitness in Selected Young Judokas. Applied Sciences, 14(14), 6327. https://doi.org/10.3390/app14146327

Note that from the first issue of 2016, this journal uses article numbers instead of page numbers. See further details here.

Article Metrics

Back to TopTop