Next Article in Journal
Spatiotemporal Evolution of Gas in Transmission Fluid under Acoustic Cavitation Conditions
Previous Article in Journal
Development and Application of a Novel Non-Iterative Balancing Method for Hydronic Systems
 
 
Font Type:
Arial Georgia Verdana
Font Size:
Aa Aa Aa
Line Spacing:
Column Width:
Background:
Article

Study on the Properties and Fatigue Characteristics of Glass Fiber Composites Due to Porosity

1
School of Mechanical Engineering, Kunsan National University, 558 Daehak-ro, Miryong-dong, Gunsan 54150, Jeollabuk-do, Republic of Korea
2
Korea Construction Equipment Technology Institute, 52 Saemankum 2-ro, Osikdo-dong, Gunsan 54002, Jeollabuk-do, Republic of Korea
*
Author to whom correspondence should be addressed.
Appl. Sci. 2024, 14(14), 6234; https://doi.org/10.3390/app14146234
Submission received: 5 June 2024 / Revised: 10 July 2024 / Accepted: 14 July 2024 / Published: 17 July 2024
(This article belongs to the Section Materials Science and Engineering)

Abstract

A study was conducted on the changes in mechanical properties and fatigue failure characteristics due to voids, one of the fabrication defects in composite materials. This study was primarily based on glass fiber fabrics applied to wind turbine blades and their material properties were predicted through micro and meso modeling of composite materials by simulating random defects including voids. As the wind turbine blades become larger, various defects develop. The fundamental changes in the materials’ properties due to voids were predicted through homogenization methods and Representative Volume Element (RVE), and the failure properties were obtained through progressive failure analysis by applying virtual coupons according to ASTM D3090 and ASTM D6641. The progressive failure was identified using the Matzenmiller–Lubliner–Taylor (MLT) failure condition, and the fatigue failure characteristics were assessed through the Tsai–Hill 3D load.

1. Introduction

Due to the energy crisis, there is an interest in alternative processes to autoclave processes which require large amount of energy when manufacturing composites [1]. Among these alternative composites manufacturing processes, liquid composite molding (LCM) is attracting attention as a popular method of OOA (Out of Autoclave) processes due to its relatively high fiber volume fraction, low manufacturing energy, and high technological maturity. However, manufacturing defects such as pores are created during the LCM process, caused by mechanical air inflow, gas produced by chemical reactions during curing, and nucleation of dissolved gas in the resin [2].
The pores of fiber-reinforced composites tend to form micro-voids between the fibers of the tow, meso-voids between the tows, and macro-voids in the larger area of the preform. Micro-voids and meso-voids’ formation are controlled by the capillary flow of the tow level related to the heterogeneous medium of the preform, whereas macro-voids are formed in relation to the macroscopic flow that can be considered a homogeneous medium of the preform [3,4,5,6]. The voids in fiber-reinforced composites (FRC) have been found to affect their matrix-dominated properties, especially interlayer shear strength (ILSS), longitudinal compressive strength, and transverse tensile strength, which are related to their mechanical behavior even in small amounts. In particular, they have been shown to be highly vulnerable to fatigue behavior [7].
Voids represent regions within the composite that do not contribute to load-bearing. Essentially, the material volume that could have been used to support the applied load is reduced by the volume of the voids. The load that would have been carried by the material in the void space is redistributed to the surrounding material, increasing the stress on these areas. The effective load-bearing area is decreased, leading to lower tensile, compressive, and shear strengths. The increased stress in the material surrounding the voids makes these regions more susceptible to yielding and failure.
At the microscale, voids act as sites of stress concentration. When an external load is applied to the composite, the stress around the voids is significantly higher than in the surrounding material. This amplification occurs because the void disrupts the uniform distribution of stress, causing it to concentrate around the edges of the void.
These high-stress regions are more likely to initiate micro-cracks. The sharp corners and edges of the voids can serve as points where cracks can start to form. Once initiated, micro-cracks can propagate through the matrix and along the fiber–matrix interface under further loading, leading to premature failure. The propagation of these micro-cracks reduces the overall strength and stiffness of the composite material.
The strength and stiffness of fiber-reinforced composites rely on effective load transfer between the fibers and the matrix. Voids disrupt this interface, leading to poor bonding and a reduced load transfer efficiency.
The presence of voids can cause debonding at the fiber–matrix interface, further reducing the effectiveness of load transfer. The composite becomes less stiff because the load is not efficiently transferred between the fibers and the matrix and ability to resist inter-laminar shear forces is compromised, making it more prone to delamination.
Extensive research was conducted on the ILSS (interlaminar shear strength) of glass/epoxy composites affected by dispersed porosity, revealing that voids present between each ply impact the sensitivity of ILSS. It was also discovered that, aside from the content of voids, the size and location of the voids significantly influence ILSS [8]. Unlike carbon/epoxy specimens, glass/epoxy specimens with discontinuous large voids did not break easily, even if the voids were large compared to the surface area. Nevertheless, most of the damage was initiated above and below the voids. The stress concentration due to the reduction in net section area was predicted to be critical [9]. Furthermore, a significant reduction in ILSS was observed with more than 1% void content, with the voids being predicted to play a crucial role in crack propagation through the laminates. Inelastic deformation was also noted to be more pronounced in composite materials with a high void content [10,11].
Delamination is challenging to detect and can lead to a substantial reduction in the stiffness and strength of the structure, particularly under compression. Research in this domain is vital for the damage tolerance and durability of composite laminated structures, focusing on understanding the initiation, propagation, and failure mechanisms of delamination under fatigue loads [12,13,14,15].
Further complicating the behavior of composite materials under fatigue is their inherent anisotropy, leading to complex damage mechanisms and overall brittle behavior. The development and validation of models to predict fatigue and fracture behaviors in composites are crucial for leveraging the lightweight and high-strength advantages of these materials while mitigating their drawbacks [16].
When manufacturing composites products, if defects such as pores occur, they need to be repaired or disposed of if they are not repairable. This results in higher defect rates and increased processing costs compared to other industries. This study did not consider various types of damage. The effect of porosity on damage during the blade-manufacturing process was investigated. In this study, changes in physical properties and fatigue characteristics were predicted using a commercial program, Digimat, and a model of pore defects in glass fiber composites mainly used for wind turbine blades, which was used to predict the behavior in a structural analysis of the full scale of the composite structure.

2. Target Structure

In this work, the target structure is a 1 MW class wind turbine blade. The glass fiber composite material is applied to the blade design. Figure 1 shows the designed 1 MW class wind turbine blade. The total twist angle is 24.6 degrees. The blade structure is a glass fiber spar and a foam core sandwich structure. The spar flange of the root part is 60 plies of glass fiber. The thickness of 1 ply is 0.58 mm. The stacking sequence is [(±45°/0°3/90°)5]s. As the wind turbine blades become larger, various defects develop. The defects occur during the manufacturing process and during operation. The blade root area is damaged due to defects during operation. Therefore, the blade root area was selected as the main defect area.

3. Materials and Methods

3.1. Pores and Laminate

In general, it is very difficult to define the size, shape, location, and distribution of pores occurring in RTM. Generally, pores generated in composite materials vary too much in shape and size to be defined as a single number, and it is known that the size and position of pores are affected by the speed of the resin tip, the flow rate of the fiber’s capillary flow, and the volatile components or wettability of the polymer during the RTM process. In general, micro voids have a spherical shape, and as the size increases, they tend to have a spherical void shape.
Pores are known to affect interlayer shear strength (ILSS), longitudinal compression direction, and transverse tensile strength, which are characteristics dominated by the matrix. In the case of glass fiber/epoxy specimens, unlike carbon/epoxy, the increase in stress due to a decrease in net area appears to play a decisive role rather than damage caused by large discontinuities due to voids [9,17,18], and in the case of woven composites, the effect of tensile stress due to pores is negligible in the fiber direction, but the tensile modulus and in-plane shear modulus in the inclined direction are shown to be reduced. And in the case of compression, it was found that the compression coefficient decreased or affected destruction as the pore content increased [7,19].
In this study, intra and inter-voids in glass fiber/epoxy composites were implemented and analyzed with RVE (Representative Volume Element), assuming a 40–200 μm diameter sphere for the ease of analysis and due to the limitations of the analysis program [20,21,22,23,24,25,26].
The shape determination and generation of the RVE were performed using the commercial software Digimat 2023. Within the Digimat program, the number and porosity of the voids can be defined, which in turn determines the diameter of the voids. The distribution of the voids was randomly dispersed within the program. The size of the RVE at this point is 75 µm × 75 µm × 75 µm. The mesh modeling of the RVE was also conducted using the Digimat software. The boundary conditions were set to periodic to simulate continuous boundary conditions, and the load and solve conditions were applied as specified by Digimat.
The specimen test for mechanical properties was performed using a static material testing system at the KSNU Advanced Technology Institute for Convergence.
In this study, UD glass fiber and epoxy were selected as composite materials, and Table 1 shows their lamina properties. The table utilized the test results of specimens used in actual wind turbine blades, and similar values were applied as physical properties used for damage analysis in Digimat. Three composite lamination patterns of [UD 0°, 90°, 45°] were applied to the analysis of mechanical properties caused by pores. The number of stacked layers at each UD angle is shown in the table below, the fiber volume ratio is assumed to be 0.6, the matrix is assumed to be an isotropic material, and physical properties were obtained with a multiscale model by applying the Digimat program. The method of obtaining the property value simulates arbitrary defects in micro and meso modeling as the RVE, and the commercial program Digimat was used to determine and generate the shape of RVE.
The ratio of pores was analyzed from 0.5% to 2.5%, and the distribution of pores was distributed randomly within the program.
Based on the properties listed in Table 1 and Table 2, RVE (Representative Volume Element) models of matrices and composite materials including porosities were created. Through the analysis of the RVE models, the mechanical properties of the materials containing porosities were obtained.

3.2. Numerical Models

Progressive Damage Analysis (PDA) is a numerical analysis technique that approximates the phenomenon of gradual reduction in material stiffness, known as Damage Evolution, after the material reaches the Damage Initiation criteria due to loading. In this paper, Hashin–Rotem criteria were applied as the damage initiation criteria, and the Matzenmiller–Lubliner–Taylor (MLT) model [27] was utilized for progressive damage analysis.

3.2.1. Failure Initiation

In this paper, the Hashin–Rotem [28] failure criterion was utilized as the criterion for progressive damage initiation. The Hashin–Rotem failure criterion provides insights into the failure modes of composite materials and is represented by Equations (1)–(4) below.
1. Fiber tensile failure:
F A σ = σ 11 2 X t 2 + σ 12 2 S 2   i f   σ 11 0 ,   0   o t h e r w i s e
2. Fiber compressive failure:
F B σ = σ 11 X c   i f   σ 11 < 0 ,   0   o t h e r w i s e
3. Matrix tensile failure:
F C σ = σ 22 2 Y t 2 + σ 12 2 S 2   i f   σ 22 0 ,   0   o t h e r w i s e
4. Matrix compressive failure:
F D σ = σ 22 2 4 S I 2 + σ 12 2 S 2 + Y c 2 S I 2 1 σ 22 Y c   i f   σ 22 < 0 ,   0   o t h e r w i s e
In the above formula, the breakage occurs when the breakage index ( F A ,   F B , F C , F D ) reaches 1.

3.2.2. Damage Propagation

In this paper, progressive damage analysis was conducted using the Matzenmiller–Lubliner–Taylor (MLT) model. The MLT model is primarily applied to long fiber composite materials and requires the definition of Hashin 2D or Hashin–Rotem 2D failure indicators. In the MLT model, the relationship between effective strain and stress is expressed by the following matrix, representing the matrix indicating the extent of damage by the damage variable (d).
S ¯ = 1 1 d f E ¯ 11 ν 12 E ¯ 11 0 ν 12 E ¯ 11 1 1 σ 22 + d m E ¯ 22 0 0 0 1 G ¯ 12 1 d s
σ11, σ22, and σ12 are components of the stress tensor. E11, E22, and G12 are Young’s and shear moduli, respectively. ν12 is the Poisson’s ratio, df is the fiber-related longitudinal damage index, dm is matrix-related longitudinal damage index, and ds is the in-plane shear damage index (combinative). ds can be expressed as follows.
d s = 1 ( 1 d f ) ( 1 d m )
These variables are often obtained from failure criteria.
When the damage variable is 0 it indicates that no damage has occurred in the composite material. When it is 1 it signifies that the damage in the composite material has fully occurred, resulting in stiffness becoming 0. The damage variable changes according to the extent of damage from the point where the damage initiation criteria are met. Consequently, the stiffness of the material decreases, and the damage progresses gradually. Damage initiation and progressive damage can be expressed as follows:
1 1 d f E ¯ 11 = F A σ = σ 11 X t   i f   σ 11 0 ,   0   o t h e r w i s e   W a r p   f a i l u r e
1 1 d f E ¯ 11 = F B σ = σ 11 X c   i f   σ 11 < 0 ,   0   o t h e r w i s e   W a r p   f a i l u r e
1 1 σ 22 + d m E ¯ 22 = F C σ = σ 22 Y t   i f   σ 22 0 ,   0   o t h e r w i s e   W e f t   f a i l u r e
1 1 σ 22 + d m E ¯ 22 = F D σ = σ 22 Y c   i f   σ 22 0 ,   0   o t h e r w i s e   W e f t   f a i l u r e
1 G ¯ 12 1 d s = F E σ = σ 12 S   I n p l a n e   s h e a r   f a i l u r e
When considering compliance (Equation (5) using the MLT method, df becomes a function of Equation (7) for tension in one direction (fiber direction) and a function of Equation (8) for compression. dm becomes a function of Equation (9) for tension in two directions and a function of Equation (10) for compression. For ds, it becomes a function of shear, as in Equation (11).
Progressive damage analysis uses the damage progression as the criterion for damage initiation, which is based on the specific fracture energy per unit area. The fracture energy per unit area is calculated using equivalent stress and equivalent displacement. The point at which the stiffness of the element begins to decrease due to damage initiation is when the equivalent stress is at its maximum, and at this point, the damage variable is 0. After damage initiation, the point where the equivalent stress is 0 and the equivalent displacement is maximum corresponds to a damage variable of 1, indicating the point where stiffness becomes 0. In other words, according to the criteria for damage initiation in composite materials, damage initiation occurs when the damage variable is 0 and the equivalent stress is maximized. Subsequently, due to progressive damage occurring after the initiation of damage in composite materials, the point where the equivalent displacement is maximized corresponds to a damage variable of 1, at which point the stiffness of the corresponding element becomes 0.

4. Results and Discussion

4.1. The Results of Progressive Failure Analysis

The commercial program Digimat was used for mesh generation, and Periodic was used to simulate continuous boundary conditions for boundary conditions, and the conditions suggested by Digimat were used for the load and solve conditions.
The finite element model basically consisted of an 8-node hexahedral element, and a cohesive element was created in the middle layer of the lamina whose stacking angle was changed in consideration of interlayer separation. The interlayer separation properties of the materials used in this study were determined by the strength of the cohesive layer, using values for similar materials found in papers such as [29] by Furtado. Data provided by the original manufacturer were also used to assess destructive toughness. The virtual test analysis was conducted using the Marc nonlinear solver as a boundary condition according to ASTM D3039 [30] and D6641 [31].
Virtual specimens were modeled according to ASTM D3039 and D6641 standards, and the grip areas were divided as specified in the standards. The maximum strain was set to 0.02 strain, and it was subdivided into 2000 increments. A hexagonal mesh with 10 elements in the width direction and 20 elements in the length direction of the specimen was applied.
The Digimat software can set the number and void fraction of inter and intra voids, which enables the prediction of pore volume and diameter in the RVE model. In order to confirm the effect of internal voids on material properties, five different RVE models were created and tested using longitudinal tensile and compression, transverse tensile and compression, and in-plane shear. Figure 2 shows the modeling shape.
When the pore size was 100 μm, the change in physical properties according to the change in the fiber volume ratio was judged. The range of intra voids from 0.5% to 2.5% was confirmed, and changes in stiffness and strength during tensile and compression were confirmed, as shown in the figure below. Figure 3 shows property changes according to fiber volume fraction analysis results.
As a result of the analysis, it was confirmed that the physical properties decreased as the porosity increased, and in particular, the effect on tensile was relatively large. Tensile strength and compressive strength show a decrease in strength as the porosity increases, but the tendency of the strength to decrease according to the fiber lamination angle is shown to be similar. It was confirmed that the strength reduction rate was large in the order of 45 degrees, 0 degrees, and 45 degrees. In the case of rigidity, the dominance of the base metal showed the greatest decline at 90 degrees, followed by 45 degrees and 0 degrees. However, as a result of strength analysis, an error showing a high intensity decrease was shown from 0.5%.

4.2. The Results of Fatigue Analysis

Fatigue characteristics were predicted based on the material properties derived according to the porosity. The failure indicator applied was the Tsai–Hill 3D Transversely Isotropic [32], and the previous results of axial field strength, in-plane tensile strength, and transverse shear strength were applied as parameters at this time. The corresponding strain state was computed by the homogenization procedure and Pseudo grain stresses were computed for this stress state, according to the Voigt model. The Tsai–Hill 3D transverse isotropy criterion was calculated for these stresses, and the number of cycles was predicted as N. Damages from the macroscopic stress applied with the Tsai–Hill 3D Transverse Isotropic to fatigue loads are applied as follows:
f N = σ 11 2 X 2 N σ 11 σ 22 + σ 33 X 2 N   + σ 22 2 + σ 33 2 Y 2 N + 1 X 2 N 2 Y 2 N σ 22 σ 33 + σ 12 2 + σ 13 2 S 2 N + 4 Y 2 N 1 X 2 N σ 23 2
Among the above equations, σ i j represents the stress amplitude components of the local axis system associated with each pseudo particle.
X(N), Y(N), and S(N) indicate the axial, in-plane, and shear stress fatigue strength at breakage for the number of cycle estimates considered. The average failure index of the composites level is calculated by the number of cycles considered, and this average is calculated according to the pseudo grain weights ( w i ) that are considered as the direction tensor, as shown in the equation below:
f c o m p o s i t e N = i = 1 n w i f i N
The critical cycle count Nc is calculated and determined through iterative calculation by changing the estimated cycle count N, as shown in the equation below:
f c o m p o s i t e N c = 1
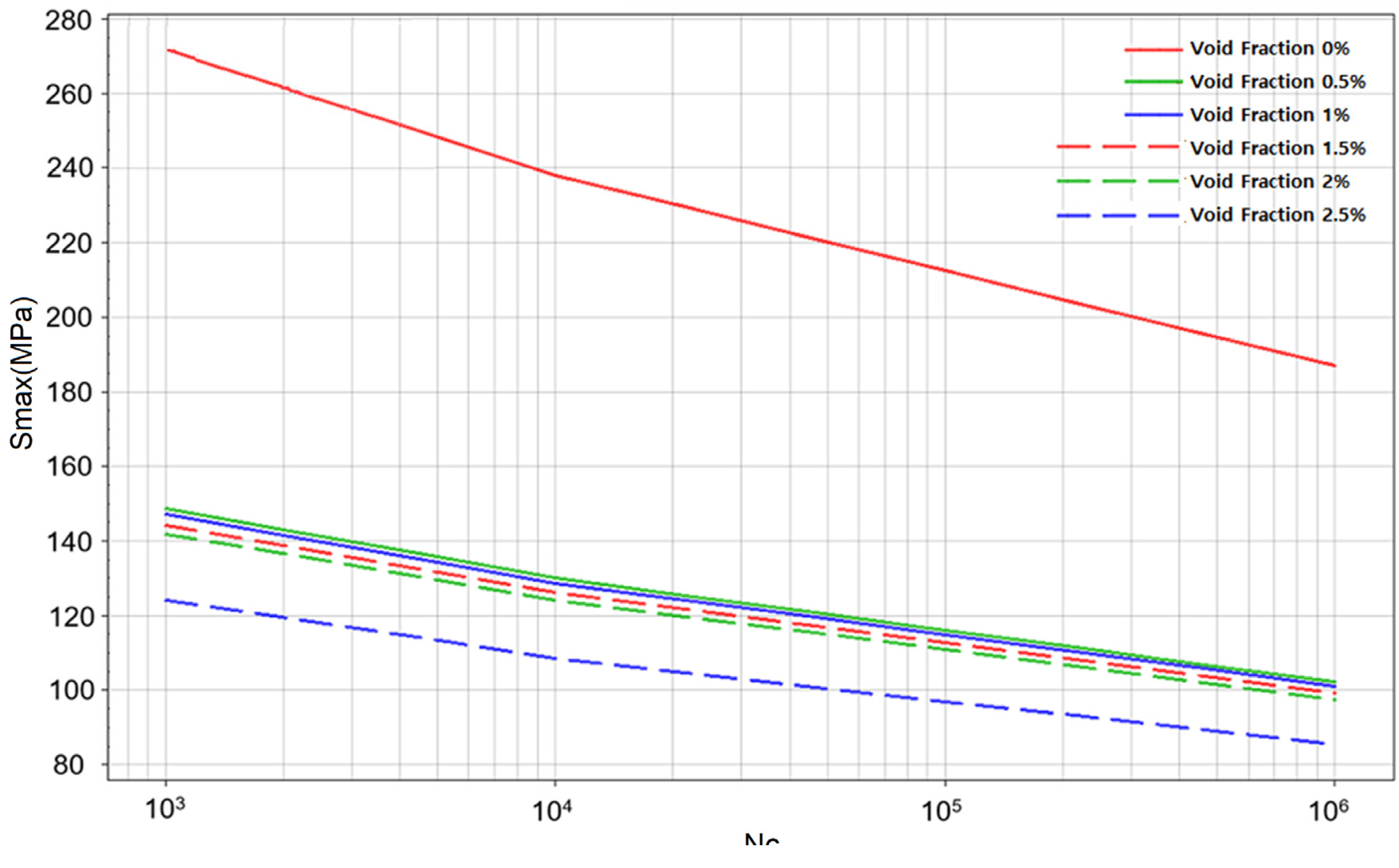
The loading ratio R was applied to 0.5 by referring to references [13,33]. Figure 4 shows the results of Nc for Smax: the largest expected value of stress. Figure 5 and Figure 6 shows the results of Nc for Sa: stress amplitude. The analysis results in the following figures show that the more pores there are, the more vulnerable they are to fatigue, especially at a porosity of 2.5%.

5. Conclusions

In this paper, the nonlinear properties of lamina composites were modeled and analyzed to determine their physical properties and fatigue life reduction due to porosity. At this point, the MLT fracture condition based on continuum damage mechanics and the Tsai–Hill 3D Transversely Isotropic Failure Indicator were applied. Through this study, the following conclusions were reached.
According to the approach of this study, as the porosity increased by 1%, the rigidity decreased by 2% in the case of 0 degree lamination, by 3% at 45 degrees, and by 5% at 90 degrees.
At 0-degree lamination the strength reduced by 2%, at 45-degree stacking the reduction was 3%, at 90-degree stacking it was 5%, at 0-degree stacking it was 2%, at 45-degree stacking it was 3%, and at 90-degree stacking it was 5%, excluding initial error.
In the case of predicting fatigue life caused by pores, the drop in Smax was 0.5% as the porosity based on Nc 105 increased, but a very high drop of 5% was confirmed when the porosity increased from 2% to 2.5%.
Compared to other studies [7,8,9,10,11,16,17,18,19], this study showed that the mechanical properties tend to deteriorate excessively as the number and size of voids increase, which also affects the prediction of fatigue life.
Further study is needed to model and predict the nonlinear properties of material damage more precisely. This will enable more accurate fatigue life predictions. Additionally, research is required to quantitatively evaluate the impact of porosity size, distribution, and shape on fatigue life. This will lead to a more systematic understanding and prediction of porosity.

Author Contributions

H.L.: Writing—original draft: Preparation, creation and/or presentation of the published work, specifically writing the initial draft (including substantive translation). Y.C.: Investigation: Conducting a research and investigation process, specifically performing the experiments, or data/evidence collection. H.P.: writing—review and editing and work guidance. All authors have read and agreed to the published version of the manuscript.

Funding

This work was supported by a Korea Institute of Energy Technology Evaluation and Planning (KETEP) grant funded by the Korea Government (MOTIE) (20213030020120, Development of product quality and O&M technology to improve all-steps reliability of offshore wind turbine blades). This work was supported by Korea Institute of Energy Technology Evaluation and Planning (KETEP) grant funded by the Korea government (MOTIE) (20213030020380, Development of adhesive-type modular over 70 m for overcoming onshore transportation limitation).

Institutional Review Board Statement

Not applicable.

Informed Consent Statement

Not applicable.

Data Availability Statement

The data presented in this study are available on reasonable request from the corresponding author. The data are not publicly available due to privacy.

Acknowledgments

The authors would like to thank Changduk Kong.

Conflicts of Interest

The authors declare no conflicts of interest.

Abbreviations

d m Matrix damage variable
d s In-plane shear damage variable
F A Fiber tensile failure
F B Fiber compressive failure
F C Matrix tensile failure
F D Matrix compressive failure
G Shear modulus
N Number of cycles
S Shear direction strength
X Axial direction strength
Y In-plane direction strength
w i Pseudo grain weights
σ Components of the stress tensor

References

  1. Centea, T.; Grunenfelder, L.K.; Nutt, S.R. A review of out-of-autoclave prepregs–Material properties, process phenomena, and manufacturing considerations. Compos. Part A Appl. Sci. Manuf. 2015, 70, 132–154. [Google Scholar] [CrossRef]
  2. Chen, D.; Arakawa, K.; Xu, C. Reduction of void content of vacuum-assisted resin transfer molded composites by infusion pressure control. Polym Compos. 2015, 36, 1629–1637. [Google Scholar] [CrossRef]
  3. Tahir, M.W.; Hallstrom, S.; Åkermo, M. Effect of dual scale porosity on the overall permeability of fibrous structures. Compos. Sci. Technol. 2014, 103, 56–62. [Google Scholar] [CrossRef]
  4. Mori, T.; Tanaka, K. Average stress in matrix and average elastic energy of materials with mis fitting inclusions. Acta Metall. 1973, 21, 571–574. [Google Scholar] [CrossRef]
  5. Kang, M.K.; Lee, W.I.; Hahn, H.T. Formation of microvoids during resin-transfer molding process. Compos. Sci. Technol. 2000, 60, 2427–2434. [Google Scholar] [CrossRef]
  6. Lee, D.H.; Lee, W.I.; Kang, M.K. Analysis and minimization of void formation during resin transfer molding proccess. Compos. Sci. Technol. 2006, 66, 3281–3328. [Google Scholar] [CrossRef]
  7. Uhl, K.; Lucht, B.; Jeong, H.; Hsu, D.K. Mechanical strength, degradation of graphite fiber reinforced thermoset composites due to porosity. In Review of Progress in Quantitative Nondestructive Evaluation; Springer: New York, NY, USA, 1988; pp. 1075–1082. [Google Scholar]
  8. Olivier, P.; Cottu, J.P.; Ferret, B. Effects of cure cycle pressure and voids on some mechanical properties of carbon/epoxy laminates. Composites 1995, 26, 509–515. [Google Scholar] [CrossRef]
  9. Wisnom, M.R.; Reynolds, T.; Gwilliam, N. Reduction in interlaminar shear strength by discrete and distributed voids. Compos. Sci. Technol. 1996, 56, 93–101. [Google Scholar] [CrossRef]
  10. Koushyar, H.; Alavi-Soltani, S.; Minaie, B.; Violette, M. Effects of variation in autoclave pressure, temperature, and vacuum-application time on porosity and mechanical properties of a carbon fiber/epoxy composite. J. Compos. Mater. 2012, 46, 1985–2004. [Google Scholar] [CrossRef]
  11. Thomason, J.L. The interface region in glass fibre reinforced epoxy resin composites: 1 Sample preparation, void content and interfacial strength. Composites 1995, 26, 467–475. [Google Scholar] [CrossRef]
  12. Deng, J.; Zhou, J.; Wu, T.; Liu, Z.; Wu, Z. Review and Assessment of Fatigue Delamination Damage of Laminated Composite Structures. Materials 2023, 16, 7677. [Google Scholar] [CrossRef]
  13. Turo, A. Simulation of Delamination in Composites under Quasi-Static and Fatigue Loading Using Cohesive Zone Models. Ph.D. Thesis, University of Girona, Girona, Spain, 2006. [Google Scholar]
  14. Dill, C.W.; Tipton, S.M.; Glaessgen, E.H. Fatigue strength reduction imposed by porosity in a fiberglass composite. In Damage Detection in Composite Materials; Masters, J.E., Ed.; ASTM International: West Conshohocken, PA, USA, 1992. [Google Scholar] [CrossRef]
  15. Maragoni, L.; Carraro, P.A.; Peron, M. Fatigue behavior of glass/epoxy laminates in the presence of voids. Int. J. Fatigue 2017, 95, 18–28. [Google Scholar] [CrossRef]
  16. Palumbo, D.; De Finis, R. Fatigue and Fracture Behavior of Composite Materials. Materials 2023, 16, 7292. [Google Scholar] [CrossRef] [PubMed]
  17. Bascom, W.; Romans, J. Microvoids in glass-resin composites. Their origin and effect on composite strength. IEC Prod. Res. Dev. 1968, 7, 172–178. [Google Scholar] [CrossRef]
  18. Schell, J.S.U.; Renggli, M.; van Lenthe, G.H.; Muller, R.; Ermanni, P. Microcomputed tomography determination of glass fibre reinforced polymer meso-structure. Compos. Sci. Technol. 2006, 66, 2016–2022. [Google Scholar] [CrossRef]
  19. Jeong, H. Effects of Voids on the Mechanical Strength and Ultrasonic Attenuation of Laminated Composites. J. Compos. Mater. 1997, 31, 276–292. [Google Scholar] [CrossRef]
  20. Sisodia, S.M.; Garcea, S.C.; George, A.R.; Fullwood, D.; Spearing, S.M.; Gamstedt, K. High-resolution computed tomography in resin infused woven carbon fibre composites with voids. Compos. Sci. Technol. 2016, 131, 12–21. [Google Scholar] [CrossRef]
  21. Howe, C.; Paton, R.; Goodwin, A. A comparison between voids in RTM and prepreg carbon/epoxy laminates. Compos. Process. Microstruct. 1997, 4, 46–54. [Google Scholar]
  22. Srinivasulu, G.; Velmurugan, R.; Jayasankar, S. Influence of void microstructure on the effective elastic properties of discontinuous fiber-reinforced composites. J. Compos. Mater. 2014, 49, 2745–2755. [Google Scholar] [CrossRef]
  23. Yang, B.J.; Ha, S.K.; Pyo, S.H.; Lee, H.K. Mechanical characteristics and strengthening effectiveness of randomchopped FRP composites containing air voids. Compos. Part B Eng. 2014, 62, 159–166. [Google Scholar] [CrossRef]
  24. Benzeggagh, M.L.; Kenane, M.J.C.S. Measurement of mixed-mode delamination fracture toughness of unidirectional glass/epoxy composites with mixed-mode bending apparatus. Compos. Sci. Technol. 1996, 56, 439–449. [Google Scholar] [CrossRef]
  25. Naganuma, T.; Naito, K.; Kyono, J.; Kagawa, Y. Influence of prepreg conditions on the void occurrence and tensile properties of woven glass fiber-reinforced polyimide composites. Compos. Sci. Technol. 2009, 69, 2428–2433. [Google Scholar] [CrossRef]
  26. Hagstrand, P.O.; Bonjour, F.; Manson, J.A.E. The influence of void content on the structural flexural performance of unidirectional glass fibre reinforced polypropylene composites. Compos. Part A Appl. Sci. Manuf. 2005, 36, 705–714. [Google Scholar] [CrossRef]
  27. Matzenmiller, A.; Lubliner, J.; Taylor, R. A constitutive model for anisotropic damage in fiber composites. Mech. Mater. 1995, 20, 125–152. [Google Scholar] [CrossRef]
  28. Hashin, Z.; Rotem, A. A Fatigue Failure Criterion for Fiber-Reinforced Composite Materials. J. Compos. Mater. 1973, 7, 448–464. [Google Scholar] [CrossRef]
  29. Furtado, C.; Catalanotti, G.; Arteiro, A.; Gray, P.J.; Wardle, B.L.; Camanho, P.P. Simulation of failure in laminated polymer composites: Building-block validation. Compos. Struct. 2019, 226, 111168. [Google Scholar] [CrossRef]
  30. ASTM D3039/D3039M-08; Standard Test Method for Tensile Properties of Polymer Matrix Composite Materials. American Society for Testing Materials: West Conshohocken, PA, USA, 2014.
  31. ASTM D6641/D6641M-16e2; Standard Test Method for Compressive Properties of Polymer Matrix Composite Materials Using a Combined Loading Compression (CLC) Test Fixture. American Society for Testing Materials: West Conshohocken, PA, USA, 2023.
  32. Tsai, S.W.; Wu, E.M. A general theory of strength for anisotropic materials. J. Compos. Mater. 1971, 5, 58–80. [Google Scholar] [CrossRef]
  33. Shahverdi, M.; Vassilopoulos, A.P.; Keller, T. Experimental investigation of R-ratio effects on fatigue crack growth of adhesively-bonded pultruded GFRP DCB joints under CA loading. Compos. Part A Appl. Sci. Manuf. 2012, 43, 1689–1697. [Google Scholar] [CrossRef]
Figure 1. 1 MW class wind turbine blade using glass fiber.
Figure 1. 1 MW class wind turbine blade using glass fiber.
Applsci 14 06234 g001
Figure 2. Modeling shape for analysis (a) ASTM D 3039 [30], (b) ASTM D 6641 [31].
Figure 2. Modeling shape for analysis (a) ASTM D 3039 [30], (b) ASTM D 6641 [31].
Applsci 14 06234 g002
Figure 3. Example of virtual compressive coupon test analysis model ([45/−45]_4s) and result graph.
Figure 3. Example of virtual compressive coupon test analysis model ([45/−45]_4s) and result graph.
Applsci 14 06234 g003
Figure 4. Graph of property changes according to VF (fiber volume fraction) analysis results.
Figure 4. Graph of property changes according to VF (fiber volume fraction) analysis results.
Applsci 14 06234 g004
Figure 5. Graph of Smax (largest expected value of stress) versus NC (critical cycle count) as a void fraction.
Figure 5. Graph of Smax (largest expected value of stress) versus NC (critical cycle count) as a void fraction.
Applsci 14 06234 g005
Figure 6. Graph of Shanke Sa (stress amplitude) versus NC (critical cycle count) as a void fraction.
Figure 6. Graph of Shanke Sa (stress amplitude) versus NC (critical cycle count) as a void fraction.
Applsci 14 06234 g006
Table 1. Matrix properties.
Table 1. Matrix properties.
ValueUnits
Young’s modulus4000MPa
Poisson’s ration0.33
Tensile Strength50.419MPa
Compressive strength54.737MPa
Shear strength46.807MPa
Table 2. Fiber properties.
Table 2. Fiber properties.
ValueUnits
Axial Young’s modulus60,128MPa
In-plane Young’s modulus64,663MPa
Transverse shear modulus4942.2MPa
In-plane Poisson’s ration0.13933
Transverse Poisson’s ration0.17416
Tensile Strength1161.7MPa
Compressive strength441.15MPa
Disclaimer/Publisher’s Note: The statements, opinions and data contained in all publications are solely those of the individual author(s) and contributor(s) and not of MDPI and/or the editor(s). MDPI and/or the editor(s) disclaim responsibility for any injury to people or property resulting from any ideas, methods, instructions or products referred to in the content.

Share and Cite

MDPI and ACS Style

Lee, H.; Cho, Y.; Park, H. Study on the Properties and Fatigue Characteristics of Glass Fiber Composites Due to Porosity. Appl. Sci. 2024, 14, 6234. https://doi.org/10.3390/app14146234

AMA Style

Lee H, Cho Y, Park H. Study on the Properties and Fatigue Characteristics of Glass Fiber Composites Due to Porosity. Applied Sciences. 2024; 14(14):6234. https://doi.org/10.3390/app14146234

Chicago/Turabian Style

Lee, Haseung, Younggen Cho, and Hyunbum Park. 2024. "Study on the Properties and Fatigue Characteristics of Glass Fiber Composites Due to Porosity" Applied Sciences 14, no. 14: 6234. https://doi.org/10.3390/app14146234

APA Style

Lee, H., Cho, Y., & Park, H. (2024). Study on the Properties and Fatigue Characteristics of Glass Fiber Composites Due to Porosity. Applied Sciences, 14(14), 6234. https://doi.org/10.3390/app14146234

Note that from the first issue of 2016, this journal uses article numbers instead of page numbers. See further details here.

Article Metrics

Back to TopTop