Zircon U-Pb Age, Sr-Nd-Hf Isotopic Characteristics of Baiyinhushuo Adakite in Inner Mongolia: Implications for Tectonic Evolution
Abstract
1. Introduction
2. Geological Setting and Samples
3. Analytical Methods
3.1. Whole-Rock Major and Trace Element Geochemistry
3.2. Zircon U-Pb Dating
3.3. Whole-Rock Sr-Nd Isotopes and Zircon Lu-Hf Isotopes
4. Analytical Results
4.1. U-Pb Zircon Ages
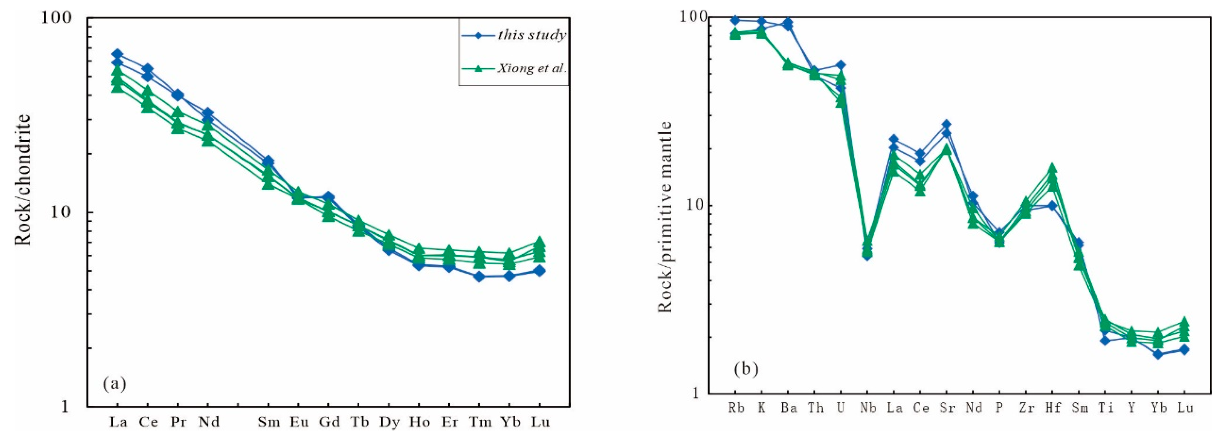
4.2. Bulk-Rock Major and Trace Elements
4.3. Zircon Hf and Whole-Rock Sr-Nd Isotopic Compositions
5. Discussion
5.1. Emplacement Age of the Baiyinhushuo Granitoid
5.2. Petrogenesis of Baiyinhushuo Granitoid
5.3. Tectonic Implications
6. Conclusions
- (1)
- The emplacement age of the Baiyinhushuo adakite granodiorite in the southeast of the Central Asian Orogenic Belt is 242.8 ± Ma, corresponding to the Early Triassic, and its geochemistry exhibits the characteristics of adakite.
- (2)
- The Baiyinhushuo adakite has low (87Sr/86Sr)i and high εNd(t) values, and they may derive from the partial melting of the broken-off subducted oceanic crust, which interacted with the mantle in the process of uplift beneath the subduction zone.
- (3)
- The Late Permian–Middle Triassic period marks a crucial stage in the tectonic transition from subduction to collisional orogeny. In this region, due to the slab break-off and the asthenosphere upwelling, the materials at different depths melted, forming the rock assemblages in diverse tectonic environments.
Author Contributions
Funding
Institutional Review Board Statement
Informed Consent Statement
Data Availability Statement
Acknowledgments
Conflicts of Interest
References
- Sengör, A.M.C.; Natalin, B.A.; Burtman, V.S. Evolu-tion of the Altaid Tectonic Collage and Paleozoic Crus-tal Growth in Eurasia. Nature 1993, 364, 299–307. [Google Scholar] [CrossRef]
- Sengör, A.M.C.; Natal’In, B.A. Turkic-type orogeny and its role in the making of the continental crust. Annu. Rev. Earth Planet. Sci. 1996, 24, 263–337. [Google Scholar] [CrossRef]
- Xiao, W.J.; Windley, B.F.; Hao, J.; Zhai, M.G. Accretion leading to collision and the Permian Solonker suture, Inner Mongolia, China: Termination of the central Asian orogenic belt. Tectonics 2003, 22. [Google Scholar] [CrossRef]
- Xiao, W.J.; Windley, B.F.; Han, C.M.; Liu, W.; Wan, B.; Zhang, J.E.; Ao, S.J.; Zhang, Z.Y.; Song, D.F. Late Paleozoic to Early Triassic multiple roll-back and oroclinal bending of the Mongolia collage in Central Asia. Earth-Sci. Rev. 2018, 186, 94–128. [Google Scholar] [CrossRef]
- Xiao, W.J.; Song, D.F.; Windley, B.F.; Li, J.L.; Han, C.M.; Wan, B.; Zhang, J.E.; Ao, S.J.; Zhang, Z.Y. Accretionary processes and metallogenesis of the Central Asian Orogenic Belt: Advances and perspectives. Sci. China 2020, 63, 329–361. [Google Scholar] [CrossRef]
- Windley, B.F.; Alexeiev, D.; Xiao, W.J.; Kröner, A.; Badarch, G. Tectonic models for accretion of the central Asian orogenic belt. J. Geol. Soc. 2007, 164, 31–47. [Google Scholar] [CrossRef]
- Liu, J.F.; Chi, X.G.; Zhan, Z.; Hu, Z.C.; Chen, J.Q. Zircon U-Pb age and petrologenetic discussion on Jianshetun adakite in Balinyouqi, Inner Mongolia. Aeta Petrol. Sin. 2013, 29, 827–839, (In Chinese with English abstract). [Google Scholar]
- Liu, J.F.; Li, J.Y.; Chi, X.C.; Qu, J.F.; Hu, Z.C.; Guo, C.L. Petrological and geochemical characteristics of the Karly ‘Triassic granite belt in southeastern Inner Mongolia and its tectonic setting. Acta Ceologioa Sin. 2014, 88, 1677–1690, (In Chinese with English abstract). [Google Scholar]
- Liu, J.F.; Li, J.Y.; Chi, X.G.; Qu, J.F.; Chen, J.Q.; Hu, Z.; Feng, Q.W. The tectonic setting of early Permian bimodal volcanism in central Inner Mongolia: Continental rift, post-collisional extension, or active continental margin? Int. Geol. Rev. 2016, 58, 737–755. [Google Scholar] [CrossRef]
- Liu, J.F.; Li, J.Y.; Zhao, S.; Zhang, J.; Zheng, R.G.; Zhang, W.L.; Lv, Q.L.; Zheng, P.X. Crustal accretion and Paleo-Asian Ocean evolution during Late Paleozoic-Early Mesozoic in southeastern Central Asian Orogenic Belt: Evidence from magmatism in Linxi-Dongwuqi area, southeastern Inner Mongolia. Acta Petrol. Sin. 2016, 38, 2181–2215. [Google Scholar] [CrossRef]
- Li, Y.J.; Wang, J.F.; Li, H.Y.; Dong, P.; Liu, Y.; Liu, D.; Bai, H. Recognition of Diyanmiao Ophiolite in Xi Ujimqin Banner, Inner Mongolia. Acta Petrol. Sin. 2012, 28, 1282–1290, (In Chinese with English abstract). [Google Scholar]
- Li, Y.J.; Wang, J.F.; Wang, G.H.; Li, H.Y.; Dong, P.P. Discovery and significance of the Dahate fore-arc basalts from Diyanmiao ophiolite in Inner Mongolia. Acta Petrobgica Sin. 2018, 34, 469–482. [Google Scholar]
- Cheng, Y.; Xiao, Q.H.; Li, T.D.; Guo, L.J.; Li, Y.; Fan, Y.X.; Pang, J.L. Magmatism and Tectonic Background of the Early Permian Intra-Oceanic Arc in the Diyanmiao Subduction Accretion Complex Belt on the Eastern Margin of the Central Asian Orogenic Belt. Sci. China Earth Sci. 2019, 44, 3454–3468, (In Chinese with English abstract). [Google Scholar]
- Li, S.; Chung, S.L.; Wilde, S.A.; Jahn, B.M.; Xiao, W.J.; Wang, T.; Guo, Q.Q. Early-Middle Triassic high Sr/Y granitoids in the southern Central Asian Orogenic Belt: Implications for ocean closure in accretionary orogens. Geophys. Res. Solid. Earth 2017, 122, 2291–2309. [Google Scholar] [CrossRef]
- Xiong, G.Q.; Liu, M.; Zhao, H.T.; Zhang, D.; Wang, H.R.; Wang, Z.; Hu, X.C. Zircon U-Pb.LA-ICP-MS dating, geochemical, Hf isolopic characteristics of Bayanhushu granodiorite in West Ujimqin banner and geological significance. Geol. Rev. 2015, G1, 651–663, (In Chinese with English abstract). [Google Scholar]
- Fan, Y.X.; Li, T.D.; Xiao, Q.H.; Cheng, Y.; Li, Y.; Guo, L.J.; Luo, P.Y. Zircon U-Pb ages, geochemical characteristics of Late Permian granite in West Ujimqin Banner, Inner Mongolia, and tectonic significance. Geol. Rev. 2019, 65, 248–266, (In Chinese with English abstract). [Google Scholar]
- Li, S.C.; Wang, H.T.; Li, G.; Wang, X.A.; Yang, X.P.; Zhao, Z.R. Northward plate subduction process of the Paleo-Asian Ocean in the middle part of the Central Asian Orogenic Belt: Evidence from adakites. Acta Petrol. Sin. 2020, 36, 2521–2536. [Google Scholar] [CrossRef]
- Li, S.; Chung, S.L.; Wilde, S.A.; Wang, T.; Xiao, W.J.; Guo, Q.Q. Linking magmatism with collision in an accretionary orogen. Sci. Rep. 2016, 6, 25751. [Google Scholar] [CrossRef] [PubMed]
- Wu, D.D.; Li, S.; Chew, D.; Liu, T.Y.; Guo, D.H. Permian-Triassic magmatic evolution of granitoids from the southeastern Central Asian Orogenic Belt: Implications for accretion leading to collision. Sci. China Earth Sci. 2021, 64, 788–806. [Google Scholar] [CrossRef]
- Miao, L.C.; Zhang, F.; Fan, W.M.; Liu, D.Y. Phanerozoic evolution of the Inner Mongolia–Daxinganling orogenic belt in North China: Constraints from geochronology of ophiolites and associated formations. Geol. Soc. Lond. Spec. Publ. 2007, 280, 223–237. [Google Scholar] [CrossRef]
- Wang, J.F.; Li, Y.J.; Li, H.J.; Dong, P.P. Discovery of Early Permian Intra-oceanic arc adakite in the Meilaotewula Ophiolite, Inner Mongolia and its evolution model. Acta Geol. Sin. 2017, 91, 1776–1795. [Google Scholar]
- Liu, Y.S.; Hu, Z.C.; Gao, S.; Günther, D.; Xu, J.; Gao, C.G.; Chen, H.H. In situ analysis of major and trace elements of anhydrous minerals by LA-ICP-MS without applying an internal standard. Chem. Geol. 2008, 257, 34–43. [Google Scholar] [CrossRef]
- Ludwig, K.R. Users Manual for Isoplot 3.00; A Geo-chronological Toolkit for Microsoft Excel; Berkeley Ge-ochronolog y Center, Special Publication: Berkeley, CA, USA, 2003; Volume 4, pp. 1–71. [Google Scholar]
- Hou, K.J.; Li, Y.H.; Zou, T.R.; Qu, X.M.; Shi, Y.R.; Xie, G.Q. Laser ablation-MC-ICP-MS technique for Hf isotope microanalysis of zircon and its geological applications. Acta Petrol. Sin. 2007, 23, 2595–2604. [Google Scholar]
- Scherer, E.; Munker, C.; Mezger, K. Calibration of the lutetium-hafnium clock. Science 2001, 293, 683–687. [Google Scholar] [CrossRef]
- Blichert-Toft, J.; Albarède, F. The Lu-Hf Isotope Geochemistry of Chondrites and the Evolution of the Mantle-Crust System. Earth Planet. Sci. Lett. 1997, 148, 243–258. [Google Scholar] [CrossRef]
- Corfu, F.; Hanchar, J.M.; Hoskin, P.W.O.; Kinny, P. Atlas of Zircon Textures. Rev. Mineral. Geochem. 2003, 53, 469–500. [Google Scholar] [CrossRef]
- Wu, Y.B.; Zheng, Y.F. Genesis of Zircon and its Constraints on Interpretation of U-Pb Age. Chin. Sci. Bull. 2004, 49, 1554–1569, (In Chinese with English abstract). [Google Scholar] [CrossRef]
- Middlemost, E.A.K. Naming materials in the magma/igneous rock system. Earth-Sci. Rev. 1994, 37, 215–224. [Google Scholar] [CrossRef]
- Maniar, P.D.; Piccoli, P.M. Tectonic discrimination of granitoids. GSA Bull. 1989, 101, 635–643. [Google Scholar] [CrossRef]
- Peccerillo, A.; Taylor, S.R. Geochemistry of eocene calc-alkaline volcanic rocks from the Kastamonu area, Northern Turkey. Contrib. Fan Miner. Petrol. 1976, 58, 63–81. [Google Scholar] [CrossRef]
- Miyashiro, A. Volcanic rock series in island arcs and active continental margins. Am. J. Sci. 1974, 274, 321–355. [Google Scholar] [CrossRef]
- Sun, S.S.; McDonough, W.E. Chemical and Isotopic Systematics of Oceanic Basalts: Implications for Mantle Composition and Processes. In Magmatism in the Ocean Basins; Saunders, A.D., Norry, M.J., Eds.; Geological Society of London, Specialcation: London, UK, 1989; pp. 313–345. [Google Scholar]
- Wu, F.Y.; Li, X.H.; Zheng, Y.F.; Gao, S. Lu-Hf Isotopic Systematics and their Applications in Petrology. Acta Petrol. Sin. 2007, 23, 185–220, (In Chinese with English abstract). [Google Scholar]
- Bao, Q.Z.; Zhang, C.J.; Wu, Z.L.; Wang, H.; Li, W.; Sang, J.H. SHRIMP U-Pb Zircon Geochronology of a Carboniferous Quartz-Diorite in Baiyingaole Area, Inner Mongolia and Its Implications. J. Jilin Univ. 2007, 37, 15–23, (In Chinese with English abstract). [Google Scholar]
- Guo, Z.J.; Zhou, Z.H.; Li, G.T.; Li, J.W.; Wu, X.L.; Ouyang, H.G.; Wang, A.S.; Xiang, A.P.; Dong, X.Z. SHRIMP U-Pb zircon dating and petrogeochemistral characteristics of the intermediate-acid intrusive rocks in the Aoergai copper deposit of Inner Mongolia. Geol. China 2012, 39, 1486–1500, (In Chinese with English abstract). [Google Scholar]
- Defant, M.J.; Drummond, M.S. Derivation of some modern arc magmas by melting of young subducted lithosphere. Nature 1990, 347, 662. [Google Scholar] [CrossRef]
- Rapp, R.P.; Shimizu, N.; Norman, M.D.; Applegate, G.S. Reaction between slab-derived melts and peridotite in the mantle wedge: Experimental constraints at 3.8 GPa. Chem. Geol. 1999, 160, 335–356. [Google Scholar] [CrossRef]
- Martin, H.; Smithies, R.H.; Rapp, R.; Moyen, J.F. An overview of adakite, tonalite-trondhjemite-granodiorite (TTG),and sanukitoid: Relationships and some implications for crustal evolution. Lithos 2005, 79, 1–24. [Google Scholar] [CrossRef]
- Kelemen, P.B. Genesis of High Mg# Andesites and the Continental Crust. Contrib. Mineral. Petrol. 1995, 120, 1–19. [Google Scholar]
- Chen, B.; Jahn, B.M.; Wilde, S.A.; Xu, B. Two contrasting Paleozoic magmatic belts in northern Inner Mongolia, China: Petrogenesis and tectonic implications. Tectonophysics 2000, 328, 157–182. [Google Scholar] [CrossRef]
- Zhang, Q.; Wang, Y.; Qian, Q.; Yang, J.H.; Wang, Y.L.; Zhao, T.P.; Guo, G.J. The characteristics and tectonic-metallogenic significances of the adakites in Yanshanian period from eastern China. Acta Petrol. Sin. 2001, 17, 236–244. [Google Scholar]
- Luo, H.L.; Wu, T.R.; Li, Y. Geochemistry and SHRIMP dating of the Kebu massif from Wulatezhongqi, Inner Mongolia: Evidence for the Early Permian underplating beneath the North China Craton. Acta Petrol. Sin. 2007, 23, 755–766. [Google Scholar]
- Xiong, X.L.; Liu, X.C.; Zhu, Z.M.; Li, Y.; Xiao, W.S.; Song, M.S.; Zhang, S.; Wu, J.H. Adakitic rocks and destruction of the North China Craton: Evidence from experimental petrology and geochemistry. Sci. China 2011, 54, 858–870. [Google Scholar] [CrossRef]
- Wang, Q.; Xu, J.F.; Jian, P.; Bao, Z.W.; Zhao, Z.H.; Li, C.F.; Xiong, X.-L.; Ma, J.-L. Petrogenesis of adakitic porphyries in an extensional tectonic setting, Dexing, South China: Implications for the genesis of porphyry copper mineralization. J. Petrol. 2006, 47, 119–144. [Google Scholar] [CrossRef]
- Wang, D.B.; Liu, Y.S.; Zong, K.Q.; Gao, C.G.; Xu, J. Early Mesozoic O-Type High-Mg Adakitic Andesites from Linxi Area, Inner Mongolia and Its Implication. Geol. Sci. Technol. Inf. 2009, 28, 31–38, (In Chinese with English abstract). [Google Scholar]
- Pearce, J.A.; Harris, N.B.W.; Tindle, A.G. Trace element discrimination diagrams for the tectonic interpretation of granitic rocks. J. Petrol. 1984, 25, 956–983. [Google Scholar] [CrossRef]
- Zhao, Z.H.; Wang, Q.; Xiong, X.L.; Zhang, H.X.; Niu, H.C.; Xu, J.F.; Bai, Z.H.; Qiao, Y.L. Two-Types of Adakites in North Xinjiang China. Acta Petrol. Sin. 2006, 22, 1249–1265, (In Chinese with English abstract). [Google Scholar]
- Hou, Z.Q.; Pan, X.F.; Yang, Z.M.; Qu, X.M. Porphyry Cu Mo-Au)Deposits no Related to Oceanic-Slab Subduction:Examples from Chinese Porphyry Deposits in Continental Settings. Geoscience 2007, 21, 332–351, (In Chinese with English abstract). [Google Scholar]
- Wei, D.L.; Xia, B.; Zhou, G.Q.; Yan, J.; Wang, R.; Zhong, L. Geochemistry and Sr-Nd Isotope Characteristics of Tonalites in Zêtang, Tibet:New Evidence for Intra-Tethyan Subduction. Sci. China Ser. D Earth Sci. 2007, 50, 836–846. (In Chinese) [Google Scholar] [CrossRef]
- Hou, Z.Q.; Gao, Y.F.; Qu, X.M.; Rui, Z.Y.; Mo, X.X. Origin of Adakitic Intrusives Generated during Mid-Miocene East-West Extension in Southern Tibet. Earth Planet. Sci. Lett. 2004, 220, 139–155. [Google Scholar] [CrossRef]
- Falloon, T.J.; Danyushevsky, L.V.; Crawford, A.J.; Meffre, S.; Woodhead, J.D.; Bloomer, S.H. Boninites and Adakites from the Northern Termination of the Tonga Trench: Implications for Adakite Petrogenesis. J. Petrol. 2008, 49, 697–715. [Google Scholar] [CrossRef]
- Li, Y.B.; Kimura, J.I.; Machida, S.; Ishii, T.; Ishiwatari, A.; Maruyama, S.; Qiu, H.N.; Ishikawa, T.; Kato, Y.; Haraguchi, S.; et al. High-Mg adakite and low-Ca boninite from a bonin fore-arc seamount: Implications for the reaction between slab melts and depleted mantle. J. Petrol. 2013, 54, 1149–1175. [Google Scholar] [CrossRef]
- Amelin, Y.; Lee, D.C.; Halliday, A.N.; Pidgeon, R.T. Nature of the Earth’s Earliest Crust from Hafnium Isotopes in Single Detrital Zircons. Nature 1999, 399, 252–255. [Google Scholar] [CrossRef]
- Yang, J.H.; Wu, F.Y.; Shao, J.; Wilde, S.A.; Xie, L.W.; Liu, X.M. Constraints on the timing of uplift of the Yanshan Fold and Thrust Belt, North China. Earth Planet. Sci. Lett. 2006, 246, 336–352. [Google Scholar] [CrossRef]
- He, Z.J.; Liu, S.W.; Ren, J.S.; Wang, Y. Later Permian-early Trissic sedimentary evolution and tectonic setting of Linxi region Inner Mongolia. Reg. Geol. China 1997, 16, 403–409. [Google Scholar]
- Liu, W.; Pan, X.F.; Xie, L.W.; Li, H. Sources of material for the Linxi granitoids, the southern segment of the Da Hinggan Mts.: When and how continental crust grew? Acta Petrol. Sin. 2007, 23, 441–460. [Google Scholar]
- Shao, J.A.; Hong, D.W.; Zhang, L.Q. Genesis of Sr-Nd isotopic characteristics of igneous rocks in Inner Mongolia. Geol. Bull. China 2002, 21, 817–822. [Google Scholar]
- Zhang, X.H.; Zhang, H.F.; Tang, Y.J.; Liu, J.M. Early Triassic A-type felsic volcanism in the Xilinhaote-Xiwuqi, central Inner Mongolia: Age, geochemistry and tectonic implications. Acta Petrol. Sin. 2006, 22, 2769–2780. [Google Scholar]










| Spot | Pb | Th | U | Th/U | Isotope Ratio | Age | Concordance | ||||||||||
|---|---|---|---|---|---|---|---|---|---|---|---|---|---|---|---|---|---|
| 207Pb/206Pb | 1σ | 207Pb/235U | 1σ | 206Pb/238U | 1σ | 207Pb/206Pb | 1σ | 207Pb/235U | 1σ | 206Pb/238U | 1σ | ||||||
| HS17-05-1 | 9.40 | 84.0 | 198 | 0.42 | 0.0525 | 0.0053 | 0.2513 | 0.0211 | 0.0384 | 0.0010 | 306 | 231.5 | 228 | 17.1 | 243 | 6.5 | 93% |
| HS17-05-2 | 14.06 | 148 | 267 | 0.55 | 0.0524 | 0.0045 | 0.2702 | 0.0211 | 0.0382 | 0.0007 | 306 | 202.8 | 243 | 16.8 | 242 | 4.1 | 99% |
| HS17-05-3 | 12.02 | 104 | 262 | 0.40 | 0.0505 | 0.0051 | 0.2622 | 0.0281 | 0.0382 | 0.0008 | 220 | 218.5 | 236 | 22.6 | 242 | 4.9 | 97% |
| 0.66 | |||||||||||||||||
| 0.73 | |||||||||||||||||
| 0.53 | |||||||||||||||||
| HS17-05-7 | 18.32 | 233 | 356 | 0.65 | 0.0532 | 0.0046 | 0.2778 | 0.0229 | 0.0382 | 0.0009 | 339 | 196.3 | 249 | 18.2 | 242 | 5.6 | 97% |
| 0.76 | |||||||||||||||||
| HS17-05-9 | 17.91 | 196 | 324 | 0.60 | 0.0496 | 0.0035 | 0.2759 | 0.0177 | 0.0403 | 0.0007 | 176 | −27.8 | 247 | 14.1 | 254 | 4.2 | 97% |
| HS17-05-10 | 9.85 | 102 | 206 | 0.50 | 0.0584 | 0.0049 | 0.2998 | 0.0213 | 0.0382 | 0.0010 | 546 | 185.2 | 266 | 16.7 | 242 | 6.4 | 90% |
| HS17-05-11 | 9.01 | 73.4 | 184 | 0.40 | 0.0597 | 0.0055 | 0.3060 | 0.0259 | 0.0382 | 0.0008 | 592 | 197.2 | 271 | 20.1 | 242 | 5.2 | 88% |
| HS17-05-12 | 29.8 | 384 | 579 | 0.66 | 0.0531 | 0.0038 | 0.2764 | 0.0187 | 0.0380 | 0.0008 | 345 | 167.6 | 248 | 14.8 | 240 | 4.8 | 96% |
| HS17-05-13 | 17.40 | 193 | 342 | 0.57 | 0.0519 | 0.0038 | 0.2712 | 0.0191 | 0.0382 | 0.0007 | 283 | 170.4 | 244 | 15.3 | 242 | 4.4 | 99% |
| HS17-05-14 | 13.68 | 131 | 286 | 0.46 | 0.0535 | 0.0039 | 0.2775 | 0.0179 | 0.0380 | 0.0006 | 350 | 166.6 | 249 | 14.2 | 241 | 4.0 | 96% |
| HS17-05-15 | 13.59 | 118 | 298 | 0.39 | 0.0573 | 0.0033 | 0.3029 | 0.0177 | 0.0381 | 0.0008 | 506 | 127.8 | 269 | 13.8 | 241 | 4.7 | 89% |
| 0.45 | |||||||||||||||||
| HS17-05-17 | 29.7 | 538 | 498 | 1.08 | 0.0534 | 0.0030 | 0.2744 | 0.0145 | 0.0382 | 0.0008 | 346 | 132.4 | 246 | 11.6 | 242 | 5.0 | 98% |
| HS17-05-18 | 23.0 | 239 | 456 | 0.52 | 0.0549 | 0.0035 | 0.2917 | 0.0185 | 0.0382 | 0.0007 | 409 | 144.4 | 260 | 14.6 | 242 | 4.4 | 92% |
| 0.56 | |||||||||||||||||
| HS17-05-20 | 11.57 | 107 | 230 | 0.47 | 0.0606 | 0.0046 | 0.3107 | 0.0222 | 0.0382 | 0.0008 | 628 | 164.8 | 275 | 17.2 | 242 | 4.9 | 87% |
| HS17-05-21 | 25.5 | 330 | 487 | 0.68 | 0.0534 | 0.0036 | 0.2717 | 0.0167 | 0.0382 | 0.0008 | 346 | 156.5 | 244 | 13.3 | 242 | 5.2 | 98% |
| HS17-05-22 | 17.52 | 200 | 331 | 0.60 | 0.0567 | 0.0040 | 0.2963 | 0.0195 | 0.0381 | 0.0007 | 480 | 155.5 | 263 | 15.3 | 241 | 4.1 | 91% |
| HS17-05-23 | 37.2 | 427 | 721 | 0.59 | 0.0534 | 0.0026 | 0.2804 | 0.0132 | 0.0382 | 0.0006 | 346 | 107.4 | 251 | 10.4 | 242 | 3.6 | 96% |
| HS17-05-24 | 29.5 | 259 | 626 | 0.41 | 0.0464 | 0.0023 | 0.2463 | 0.0118 | 0.0382 | 0.0005 | 16.8 | 114.8 | 224 | 9.7 | 242 | 3.3 | 92% |
| HS17-05-25 | 21.46 | 243 | 427 | 0.57 | 0.0499 | 0.0041 | 0.2583 | 0.0194 | 0.0381 | 0.0007 | 191 | 177.8 | 233 | 15.7 | 241 | 4.5 | 96% |
| Sample | SiO2 | TiO2 | Al2O3 | Fe2O3 | FeO | MnO | MgO | CaO | Na2O | K2O | P2O5 | LOI | TATOL | Mg# | A/CNK |
|---|---|---|---|---|---|---|---|---|---|---|---|---|---|---|---|
| HS17-05 | 69.40 | 0.48 | 15.43 | 3.07 | / | 0.05 | 1.35 | 1.92 | 5.45 | 2.67 | 0.16 | 1.39 | 99.29 | 46.73 | 1.01 |
| HS17-09 | 68.76 | 0.43 | 15.37 | 3.24 | / | 0.06 | 1.55 | 2.90 | 4.60 | 2.95 | 0.14 | 2.2 | 99.06 | 48.87 | 0.96 |
| DW11-b1 * | 67.06 | 0.54 | 15.13 | 1.84 | 1.58 | 0.04 | 2.27 | 3.4 | 4.35 | 2.47 | 0.15 | 0.82 | 98.83 | 61.78 | 0.95 |
| DW11-43 * | 66.93 | 0.53 | 15.48 | 1.76 | 1.49 | 0.03 | 2.12 | 3.52 | 4.45 | 2.5 | 0.14 | 0.95 | 98.95 | 61.55 | 0.94 |
| DW11-4 * | 67.22 | 0.5 | 15.53 | 1.38 | 1.71 | 0.03 | 2 | 3.45 | 4.46 | 2.56 | 0.14 | 0.98 | 98.98 | 56.82 | 0.95 |
| DW11-6 * | 67.15 | 0.52 | 15.4 | 1.68 | 1.51 | 0.03 | 2.11 | 3.47 | 4.46 | 2.48 | 0.14 | 0.92 | 98.95 | 61.12 | 0.94 |
| Sample | Rb | Ba | Th | U | Nb | Sr | Nd | Zr | Hf | Yb | La | Ce | Pr | Nd | Sm |
| HS17-05 | 52 | 657.55 | 4.17 | 0.88 | 4.21 | 570.14 | 13.96 | 112 | 3.09 | 0.80 | 15.47 | 33.55 | 3.85 | 13.96 | 2.73 |
| HS17-09 | 61 | 625.28 | 4.44 | 1.17 | 3.86 | 509.54 | 15.23 | 105 | 3.08 | 0.80 | 13.96 | 30.53 | 3.77 | 15.23 | 2.83 |
| DW11-b1 | 52.5 | 401.4 | 4.35 | 0.98 | 4.65 | 416.6 | 11.67 | 118.5 | 4.92 | 0.97 | 11.75 | 23.1 | 2.76 | 11.67 | 2.37 |
| DW11-43 | 51.9 | 399.7 | 4.36 | 0.74 | 4.22 | 421.1 | 13.15 | 104.6 | 4.31 | 1.05 | 12.83 | 25.99 | 3.14 | 13.15 | 2.53 |
| DW11-4 | 52.9 | 388.5 | 4.28 | 1.03 | 4.05 | 425.7 | 10.89 | 101.5 | 3.91 | 0.92 | 10.44 | 21.18 | 2.57 | 10.89 | 2.14 |
| DW11-6 | 51.3 | 393.3 | 4.2 | 0.79 | 4.15 | 424 | 11.69 | 109.7 | 4.53 | 0.95 | 11.39 | 22.67 | 2.74 | 11.69 | 2.34 |
| Sample | Eu | Gd | Tb | Dy | Ho | Er | Tm | Yb | Lu | Y | ΣREE | LREE/ HREE | LaN/YbN | δEu | |
| HS17-05 | 0.70 | 2.43 | 0.32 | 1.62 | 0.30 | 0.86 | 0.12 | 0.80 | 0.13 | 9.06 | 76.84 | 10.68 | 13.93 | 0.83 | |
| HS17-09 | 0.69 | 2.48 | 0.32 | 1.66 | 0.30 | 0.87 | 0.12 | 0.80 | 0.13 | 9.04 | 73.71 | 10.00 | 12.47 | 0.79 | |
| DW11-b1 | 0.68 | 2.08 | 0.32 | 1.83 | 0.34 | 0.99 | 0.15 | 0.97 | 0.16 | 9.42 | 59.17 | 7.65 | 8.69 | 0.94 | |
| DW11-43 | 0.74 | 2.27 | 0.34 | 1.95 | 0.37 | 1.06 | 0.16 | 1.05 | 0.18 | 9.84 | 65.76 | 7.91 | 8.76 | 0.94 | |
| DW11-4 | 0.68 | 1.96 | 0.3 | 1.74 | 0.33 | 0.95 | 0.14 | 0.92 | 0.15 | 8.64 | 54.39 | 7.38 | 8.14 | 1.02 | |
| DW11-6 | 0.69 | 2.07 | 0.32 | 1.81 | 0.34 | 1 | 0.15 | 0.95 | 0.17 | 9.03 | 58.33 | 7.57 | 8.60 | 0.96 |
| Spot | t (Ma) | 176Yb/177Hf | 2σ | 176Lu/177Hf | 2σ | 176Hf/177Hf | 2σ | εHf(0) | εHf(t) | TDM(Ma) | T2DM(Ma) | f(Lu/Hf)s |
|---|---|---|---|---|---|---|---|---|---|---|---|---|
| HS17-05-10 | 242.8 | 0.012445 | 0.000207 | 0.000465 | 0.000006 | 0.283006 | 0.000017 | 8.28 | 13.5 | 343 | 405 | −0.99 |
| HS17-05-10 (2) | 242.8 | 0.020651 | 0.000135 | 0.000779 | 0.000007 | 0.282970 | 0.000020 | 7.00 | 12.2 | 397 | 491 | −0.98 |
| HS17-05-11 | 242.8 | 0.022239 | 0.000562 | 0.000871 | 0.000018 | 0.282982 | 0.000015 | 7.44 | 12.6 | 381 | 464 | −0.97 |
| HS17-05-13 | 242.8 | 0.022755 | 0.000505 | 0.000914 | 0.000021 | 0.283014 | 0.000016 | 8.57 | 13.8 | 336 | 391 | −0.97 |
| HS17-05-14 | 242.8 | 0.011469 | 0.000265 | 0.000470 | 0.000012 | 0.282996 | 0.000016 | 7.93 | 13.2 | 357 | 428 | −0.99 |
| HS17-05-15 | 242.8 | 0.019129 | 0.000328 | 0.000722 | 0.000008 | 0.282951 | 0.000016 | 6.34 | 11.6 | 423 | 533 | −0.98 |
| HS17-05-3 | 242.8 | 0.028464 | 0.000230 | 0.001110 | 0.000007 | 0.282954 | 0.000016 | 6.42 | 11.6 | 424 | 532 | −0.97 |
| HS17-05-4 | 242.8 | 0.016900 | 0.000988 | 0.000670 | 0.000038 | 0.283014 | 0.000018 | 8.57 | 13.8 | 334 | 389 | −0.98 |
| HS17-05-5 | 242.8 | 0.017065 | 0.000089 | 0.000703 | 0.000004 | 0.282999 | 0.000017 | 8.02 | 13.2 | 356 | 425 | −0.98 |
| HS17-05-6 | 242.8 | 0.010922 | 0.000090 | 0.000425 | 0.000003 | 0.282999 | 0.000015 | 8.03 | 13.3 | 353 | 421 | −0.99 |
| HS17-05-7 | 242.8 | 0.019116 | 0.000357 | 0.000741 | 0.000010 | 0.282943 | 0.000015 | 6.03 | 11.3 | 436 | 553 | −0.98 |
| HS17-05-8 | 242.8 | 0.021709 | 0.000173 | 0.000873 | 0.000008 | 0.282972 | 0.000016 | 7.09 | 12.3 | 395 | 487 | −0.97 |
| HS17-05-9 | 242.8 | 0.016488 | 0.000241 | 0.000661 | 0.000008 | 0.283001 | 0.000016 | 8.11 | 13.3 | 352 | 419 | −0.98 |
| Scheme 87. | Rb (μg/g) | Sr (μg/g) | 87Rb/86Sr | 87Sr/86Sr (2σ) | (87Sr/86Sr)i | Sm (μg/g) | Nd (μg/g) | 147Sm/144Nds | 143Nd/144Nds | 143Nd/144Nd(t) | εNd(0) | εNd(t) | TDM2 |
|---|---|---|---|---|---|---|---|---|---|---|---|---|---|
| HS17-09 | 60.98 | 509.54 | 0.3466 | 0.70508 | 0.703882 | 2.83 | 15.23 | 0.1122 | 0.512900 | 0.512721 | 5.10 | 7.72 | 387 |
| Area. | Lithology | Age (Ma) | Method | Data Source |
|---|---|---|---|---|
| Baiyinhushuo | adakite | 242.8 ± 1.0 | LA-ICP-MS | this study |
| adakite | 236.1 ± 3.4 | LA-ICP-MS | [15] | |
| adakite | 246–216 | SHRIMP | [35] | |
| Seerbeng | adakite | 255.3 | LA-ICP-MS | [16] |
| Nuhetingshala | adakite | 254.4 | LA-ICP-MS | |
| Longtousahn | adakite | 241 ± 3 | LA-ICP-MS | [7] |
| Zhuansahnzi | adakite | 245.6 ± 0.9 | LA-ICP-MS | |
| Xingfuzhilu | adakite | 247 | LA-ICP-MS | [17] |
Disclaimer/Publisher’s Note: The statements, opinions and data contained in all publications are solely those of the individual author(s) and contributor(s) and not of MDPI and/or the editor(s). MDPI and/or the editor(s) disclaim responsibility for any injury to people or property resulting from any ideas, methods, instructions or products referred to in the content. |
© 2024 by the authors. Licensee MDPI, Basel, Switzerland. This article is an open access article distributed under the terms and conditions of the Creative Commons Attribution (CC BY) license (https://creativecommons.org/licenses/by/4.0/).
Share and Cite
Fan, Y.; Xiao, Q.; Cheng, Y.; Li, Y. Zircon U-Pb Age, Sr-Nd-Hf Isotopic Characteristics of Baiyinhushuo Adakite in Inner Mongolia: Implications for Tectonic Evolution. Appl. Sci. 2024, 14, 6058. https://doi.org/10.3390/app14146058
Fan Y, Xiao Q, Cheng Y, Li Y. Zircon U-Pb Age, Sr-Nd-Hf Isotopic Characteristics of Baiyinhushuo Adakite in Inner Mongolia: Implications for Tectonic Evolution. Applied Sciences. 2024; 14(14):6058. https://doi.org/10.3390/app14146058
Chicago/Turabian StyleFan, Yuxu, Qinghui Xiao, Yang Cheng, and Yan Li. 2024. "Zircon U-Pb Age, Sr-Nd-Hf Isotopic Characteristics of Baiyinhushuo Adakite in Inner Mongolia: Implications for Tectonic Evolution" Applied Sciences 14, no. 14: 6058. https://doi.org/10.3390/app14146058
APA StyleFan, Y., Xiao, Q., Cheng, Y., & Li, Y. (2024). Zircon U-Pb Age, Sr-Nd-Hf Isotopic Characteristics of Baiyinhushuo Adakite in Inner Mongolia: Implications for Tectonic Evolution. Applied Sciences, 14(14), 6058. https://doi.org/10.3390/app14146058

