Next Article in Journal
The Influence of the Strain-Hardening Model in the Axial Force Prediction of Single Point Incremental Forming
Previous Article in Journal
A Comparative Study on Soil-Crop Selenium Characteristics in High-Incidence Areas of Keshan Disease in Chinese Loess and Black Soil
 
 
Font Type:
Arial Georgia Verdana
Font Size:
Aa Aa Aa
Line Spacing:
Column Width:
Background:
Article

The Impact of Contact Force on Signal Quality Indices in Photoplethysmography Measurements

by
Joan Lambert Cause
1,2,*,
Ángel Solé Morillo
1,
Juan C. García-Naranjo
3,
Johan Stiens
1 and
Bruno da Silva
1,*
1
Department of Electronics and Informatics (ETRO), Vrije Universiteit Brussel (VUB), 1050 Brussels, Belgium
2
Department of Biomedical Engineering, Universidad de Oriente, Santiago de Cuba 90500, Cuba
3
Centre of Medical Biophysics, Universidad de Oriente, Santiago de Cuba 90500, Cuba
*
Authors to whom correspondence should be addressed.
Appl. Sci. 2024, 14(13), 5704; https://doi.org/10.3390/app14135704
Submission received: 31 May 2024 / Revised: 26 June 2024 / Accepted: 27 June 2024 / Published: 29 June 2024

Abstract

Photoplethysmography (PPG) is widely used to assess cardiovascular health. Yet, its effectiveness is often hindered by external factors like contact force (CF), which significantly affects the accuracy and reliability of measurements. This study investigates how variations in the CF at the index fingertips influence six signal quality indices (SQIs)—including the perfusion index, skewness, kurtosis, entropy, zero-crossing rate, and relative power—using data from 11 healthy participants. Our analysis of normalized CF values reveals that lower CF ranges (0.2 to 0.4) may be optimal for extracting information about perfusion and blood flow. However, they may not be the best range to capture all the physiological details within the PPG pulse. In contrast, higher CF ranges (0.4 to 0.6) enable capturing more complex signals that could be physiologically representative. The findings underscore the necessity of considering viscoelastic tissue properties and individual biomechanical differences, advocating for both the normalization of CF for improved cross-subject comparison and personalized CF calibration to adapt PPG devices to diverse populations. These strategies ensure measurement reliability and consistency, thereby advancing the accuracy of cardiac and vascular assessments. Our study offers guidelines for adjusting the CF levels to balance signal detail and perfusion quality, customized to meet specific analytical requirements, with direct implications for both clinical and research environments.

1. Introduction

Photoplethysmography (PPG) is a non-invasive and cost-effective optical technique that measures changes in blood volume. It has been successfully demonstrated in various fields, such as cardiovascular system assessment and vital sign monitoring, including the measurement of heart and respiratory rates, evaluation of arterial and venous diseases, and estimation of arterial oxygen saturation (SpO2) [1]. Additionally, PPG is employed in evaluating tissue viability [2], monitoring cardiac arrhythmias [3], and conducting sleep studies [4]. It also plays a crucial role in assessing vascular health [5], arterial conditions [6], and the effects of ageing on arterial compliance [7]. Beyond these applications, PPG is used in biometrics [8], mental health assessment [9], and the evaluation of endothelial and microvascular blood flow [10,11]. It is also valuable for monitoring autonomic and vasomotor functions [12,13] and assessing pulse rate variability (PRV) and other cardiovascular variabilities [14,15], significantly expanding its application in health and wellness assessments [16].
The PPG signal consists of AC and DC components. The AC component reflects changes in blood volume synchronized with cardiac cycles. In contrast, the DC component represents the baseline blood volume level, affected by non-pulsatile tissue absorption and low-frequency variations associated with respiration, thermoregulation, and sympathetic activity. The PPG signal contains a wealth of information about the cardiovascular system, including waveform, amplitude, and timing characteristics [17]. The basic features are derived directly from the original PPG waveform, such as the anacrotic (rising) and catacrotic (falling) phases. These phases relate to the systole and diastole, respectively, with features like the dicrotic notch indicating healthy arterial compliance. The systolic amplitude reflects pulsatile blood volume changes and is linked to stroke volume and vascular distensibility. Pulse width, defined as the duration between the start and end of a pulse, provides insights into heart rate (HR), arterial elasticity, and vascular reactivity. The pulse area, measured as the total area under the PPG curve, can be segmented to provide a more detailed analysis, such as the “inflexion point area ratio” (IPA) [18,19]. Combined features include indices like the perfusion index (PI), which represents the ratio between the pulsatile and non-pulsatile components of the signal and is used to assess peripheral perfusion and hypoperfusion states. Derivative features, such as the first derivative (VPG) and the second derivative (APG) of the PPG waveform, offer detailed temporal variations and can detect peaks and inflexion points that are difficult to identify in the original waveform. These derivatives are particularly useful for assessing cardiovascular health and have been correlated with ageing and other physiological changes [20].
PPG requires a light source and a photodetector (PD) to operate. The light source illuminates the tissue, and the photodetector senses the small variations in light intensity associated with the changes in perfusion in the capillary volume. As shown in Figure 1, PPG measurements can be performed in transmission and reflectance modes. The reflectance mode is more flexible and suitable for wearable devices due to its ability to utilize multiple wavelengths and its applicability to various body parts. This makes it ideal for non-invasive, long-term monitoring, enhancing the usability and effectiveness of wearable health monitoring devices [21,22,23]. However, the signals obtained in reflectance mode are more susceptible to motion artifacts [24], variations in contact force (CF) [25,26,27], and other factors that affect the signal quality compared to transmission mode [28,29]. The CF applied between the probe and the skin significantly influences the quality of the recorded signals. Fluctuations in CF can cause signal distortions, especially in portable devices, where maintaining a constant pressure is challenging. The common artifacts related to CF include variations in signal amplitude and morphology due to inconsistent contact between the sensor and the skin [25,27,30,31,32]. An excessive CF can compress blood vessels, reducing the amplitude of the PPG signal, while an insufficient CF can result in poor sensor contact and increased noise [30,33,34]. Maintaining an optimal CF ensures signal stability and reliability for accurate HR measurements, oxygen saturation (SpO2), and other physiological variables.
This work aims to evaluate the impact of CF on the signal quality index (SQI) in PPG measurements. It extends the results presented in [35], which explored the relationship between CF variations, tissue mechanics, and multi-wavelength PPG (MW-PPG) signal evolution, highlighting the influence of tissue viscoelastic characteristics on signal morphology. In contrast, the present work evaluates the impact of CF on six statistical SQI metrics. By identifying the optimal CF ranges based on these metrics, this research enhances the accuracy and reliability of PPG-based diagnostic methods, providing a more comprehensive and applicable view for the clinical field.
The primary contributions of this work are as follows:
  • The identification of the impact of CF variations on the SQIs in PPG signals.
  • The identification of the optimal CF ranges through normalization.
The paper is structured as follows: Section 2 provides context for the current study. Section 3 details the characteristics of the methodology used to analyze the data. The research results are presented in Section 4. Following this, Section 5 delves into the analysis and interpretation of the results, exploring their meaning and implications in the field of study. The conclusions are presented in Section 6.

2. Related Work

The SQI is essential for evaluating PPG signal quality, distinguishing between high-quality signals and those affected by noise or motion artifacts. This evaluation is beneficial before analyzing the physiological parameters [36,37]. Errors in the PPG signal waveform can increase false alarms and analysis errors, potentially leading to misdiagnoses, such as incorrect changes in the detected HR. These indices, presented as numerical values, percentages, or qualitative categories (good, acceptable, or poor), are derived from algorithms that evaluate stability, coherence, and the presence of artifacts or noise in the signal [38,39]. Accuracy is especially important in real-time monitoring devices, which provide alerts regarding changes in vital signs [40,41]. Beh et al. [42] classify signal quality assessment into two categories based on the quality-related feature extraction and decision-making of the quality by the particular features. The first category reflects the signal characteristics that can help to determine certain signal artifacts.
Elgendi [39] examines various quality-related feature extraction SQIs, including PI, skewness, kurtosis, entropy, zero-crossing rate, signal-to-noise ratio (SNR), relative power, and matching systolic detectors. His research concludes that skewness emerges as the optimal SQI, offering significant potential to enhance the diagnostics and detect conditions such as hypertension and vascular age. Similarly, Selvaraj et al. [43] differentiate signal quality by determining whether some statistical features, such as kurtosis and Shannon entropy, are in the acceptable range. Dao et al. [44] use time-frequency spectral features to detect motion and noise artifact-corrupted data.
The second category involves determining the signal quality based on the extracted features. This process can be approached as a classification problem and is commonly divided into rule-based and data-driven methods. Rule-based approaches utilize extracted features and conditional statements to assess the signal quality. For example, a rule-based system might determine a signal as high-quality if its amplitude exceeds a certain threshold and its skewness and kurtosis fall within predefined ranges. Another example could involve using the zero-crossing rate to identify the noise and setting rules that classify signals with high zero-crossing rates as poor-quality due to increased noise levels. Orphanidou [45] emphasizes the importance of feature extraction and establishing decision rules for designing signal quality assessment. Her work categorizes feature extraction into time and frequency domain features, such as feasibility checks, morphological features, and kurtosis of the Fourier spectrum.
In contrast, data-driven approaches leverage machine learning (ML) techniques, introducing significant computational complexity. Techniques such as deep learning models, including convolutional neural networks (CNNs) [46,47,48] and recurrent neural networks (RNNs) [49,50,51], require substantial computational resources for both training and inference. This complexity arises from the need to process large datasets, perform feature extraction, and optimize the model parameters to classify the signal quality accurately. While advanced ML models offer high accuracy, their effective deployment demands considerable computational power and expertise. Castiñeira [52] develop an atrial fibrillation screening system using ML on PPG signals, incorporating two specific SQIs: ACC-SQI for motion artifacts’ accelerometer data and Relative Magnitude Frequency Component (RMFC-SQI) for noise management. Pappini et al. [53,54] propose algorithms for signal segmentation and morphological analysis using Dynamic Time Warping (DTW) with barycenter averaging to create robust templates that account for the physiological variability in sinus rhythm signals.
The studies in this field employ diverse methodologies regarding data acquisition, annotation, processing, and study scope. Each experiment’s unique device characteristics, such as architecture, sampling rate, wavelength, and light intensity, significantly impact data acquisition. Signal processing, often the first step, includes critical tasks like filtering, windowing, and feature extraction. Data annotation, crucial for comparing expert and algorithmic results, is prominently featured in datasets like CB_InVivo, CSL, and MIMIC-III [55,56,57]. However, many datasets lack comprehensive descriptions, artifact labels, and expert annotations, affecting the result metrics and applicability. The quality labels assigned by different experts further complicate the determination of universally effective features. Despite the diversity in SQIs, there is no universally accepted standard for their application, leading to variations in how signal quality is measured and interpreted. Furthermore, despite extensive research in SQIs, there is a notable lack of studies investigating how CF affects signal quality evaluation. Understanding the influence of CF on SQIs is vital for accurately assessing the cardiac and vascular parameters as it directly impacts the blood vessel responses and alters the PPG waveform. This insight is essential for advancing monitoring technologies and emphasizes the need for an in-depth understanding of the factors affecting SQI, particularly concerning CF.
The foundation of this study is rooted in a previous investigation [35] that evaluates the vascular depth-dependent changes in MW-PPG signals due to CF variations. This prior work highlights the significant individual variability in signal responses due to skin and vascular properties, demonstrating that PPG signals exhibit hysteresis and wavelength-dependent responses to CF changes. The study underscores how different wavelengths respond distinctively to varying CF levels. Building on these findings, the current research quantitatively analyzes the impact of CF on various SQI metrics. This study aims to refine the PPG signal quality assessment criteria by identifying the optimal CF ranges based on these metrics. This comprehensive analysis bridges the gap between qualitative observations and quantitative insights, enhancing the accuracy and reliability of PPG-based health monitoring systems by providing clear guidelines on the optimal CF levels for obtaining high-quality signals. To the best of our knowledge, this is the first study of its kind to provide a quantitative analysis of the impact of CF on SQI metrics.

3. Materials and Methods

The multi-parametric dataset obtained in [35] is used in the present work as the data source for SQI analysis. The dataset comprises 21 records from 11 healthy participants (8 males and 3 females), averaging 32.1 years old (±8.2 years). The recordings include five raw MW-PPG wavelengths (470, 525, 590, 631, and 940 nm) acquired simultaneously from the index fingertips of each subject’s hands, along with CF and temperature signals at the measurement point. Subjects were in a supine position during measurements. The average data record duration is 21.84 min (±6.09) for the left hand and 21.10 min (±6.36) for the right hand, totalling up to 7.5 h of recordings. The acquisition system was configured for 16-bit ADC resolution and 100 Hz sampling rate, except for temperature, which was recorded at 1 Hz. Skin tone was estimated visually using the Fitzpatrick scale. As shown in Figure 2, the signals were acquired continuously but divided into two consecutive phases. During the first phase (increasing phase), the CF was manually increased in discrete steps of approximately 0.1 N. In the second (decreasing phase) phase, the CF was similarly reduced in steps of 0.1 N. The inflexion point between phases (maximum CF) was determined based on the 940 nm PPG signal, where the presence of pulses of indistinguishable amplitude or absence of pulses for periods of no less than 10 s was used to indicate the complete occlusion of blood vessels. From this point, the pressure applied to the skin was progressively decreased to its minimum value. Figure 3 illustrates the variability in the maximum CF achieved by the index fingers of each subject.

3.1. Signal Quality Indexes

The study evaluated six commonly used SQIs in PPG, which are skewness ( S S Q I ), kurtosis ( K S Q I ), relative power ( R S Q I ), zero-crossing rate ( Z S Q I ), entropy ( E S Q I ), and the perfusion index ( P S Q I ). The selection of these SQIs is based on their ability to provide a comprehensive and multifaceted evaluation of the quality of PPG signals. Below, we review the definitions and mathematical formulations of these SQIs and their relevance to PPG measurements.
  • S SQI : Skewness was selected due to its capacity to quantify the asymmetry of a probability distribution of PPG signals, specifically addressing the distribution deviation around its mean [38,39]. A skewness value near zero suggests a symmetric distribution indicative of balanced physiological rhythms or consistent signal characteristics. This is generally preferable as significant deviations may indicate artifacts or biases in the measurement. Positive skewness indicates a tail extending toward higher amplitudes, while negative skewness points to a tail stretching toward lower amplitudes [58]. This metric offers insights into physiological fluctuations, such as blood volume changes or external influences on signal amplitude. The S S Q I is particularly sensitive to signal morphology, showing behaviors correlated with changes in PPG signal shape.
    S S Q I = 1 N i = 1 N x i μ ^ x σ 3
    where μ ^ and σ represent the empirical estimates of the mean and standard deviation (SD) of x i , respectively, and N is the total number of samples in the PPG signal.
  • K SQI : Kurtosis is used to evaluate the shape of the signal distribution around the mean, indicating whether it is heavy-tailed and peaked or light-tailed and flat, relative to a normal distribution [38,39]. An optimal value of around zero, mirroring that of a normal distribution, signifies good signal quality without significant outliers [58]. This is crucial to ensure that the analyzed PPG signals do not present extreme variations that could compromise the interpretation of the data.
    K S Q I = 1 N i = 1 N x i μ ^ x σ 4
    where μ ^ and σ represent the empirical estimates of the mean and SD of x i , respectively, and N is the total number of samples in the PPG signal.
  • R SQI : Relative power measures the power of systolic and diastolic waves within the frequency bands 1 to 2.25 Hz, relative to the total signal bandwidth of 0 to 8 Hz [38,39]. Given that the energy of systolic and diastolic waves predominantly resides within the 1–2.25 Hz frequency band, the ratio of the power spectral density (PSD) within this specific band to the PSD across the entire 0–8 Hz signal bandwidth serves as an indicator of signal quality. A higher value indicates a greater proportion of the useful signal than noise, reflecting better signal quality. This is critical for applications where accurate detection of systolic and diastolic waves is critical.
    R S Q I = f = 1 2.25 P S D f = 0 8 P S D
    PSD was estimated using the Welch method [59].
  • Z SQI : The zero crossing rate was selected for its ability to reflect the oscillation frequency of the signal, indicating its regularity and stability. It measures how frequently the signal alternates from positive to negative values and vice versa, indicating the number of times the signal crosses zero relative to the total number of samples [38,39]. It measures the frequency of sign changes in the signal and can reflect its regularity and stability. A high zero-crossing rate typically indicates a noisy or artifact-laden signal, while a lower rate suggests a smoother, more stable signal. This analysis is particularly valuable in distinguishing between meaningful physiological variations and undesirable noise or artifacts, thus enhancing the quality of signal interpretation.
    Z S Q I = 1 N n = 1 N I { y < 0 }
    where y is the filtered PPG signal of length N, and the indicator function I { A } is ‘1’ if its argument A is true, and ‘0’ otherwise.
  • E SQI : Entropy is used to quantify the deviation of the signal probability density function (PDF) from a normal distribution, providing a measure of uncertainty and disorder within the PPG signal [38,39]. High entropy values indicate increased randomness and complexity, reflecting less predictability and uniformity. This highlights diverse physiological states and how different cardiovascular systems respond to variations in CF, emphasizing significant variability in signal responses among individuals.
    E S Q I = n = 1 N x [ n ] 2 log e ( x [ n ] 2 )
    where x signal is the raw PPG signal, and N is the number of data points.
  • P SQI : The PI is a suitable benchmark selected for its ability to evaluate the quality of the PPG signal in terms of peripheral blood flow. The usefulness of P S Q I lies in its ability to determine whether the PPG signal is clear and stable enough to provide an accurate PI measurement [39]. Variations in the PI value reflect changes in peripheral circulation, potentially indicating physiological responses or alterations in blood flow dynamics. A higher PI value suggests increased blood flow or stronger signal detection. Conversely, lower PI values may indicate reduced perfusion, signalling issues like decreased blood volume or vasoconstriction. The normal value of peripheral PI has been suggested to range between 0.2 and 20% [60].
    P S Q I = ( y m a x y m i n ) / | | x ¯ | | × 100
    where y m a x and y m i n are the maximum and minimum values of the AC component in a specific range of the signal, and | | x ¯ | | is the absolute value of the statistical mean of the raw signal in that interval.

3.2. Data Analysis

The nature of the manual method for adjusting CF during measurements resulted in sudden and very short amplitude changes or artifacts due to inconsistent pressure application between CF steps. Therefore, it was necessary to preprocess the data before performing the analysis. Processing was carried out using Python in Jupyter Notebooks [61]. Figure 4 shows the processing flowchart.
First, it was verified that there were no missing data in the time series, confirmed by an exhaustive analysis of the data sequences. This ensured signal integrity and continuity throughout the entire measurement period. An adaptive threshold-based artifact detection algorithm was used to identify and remove signal segments containing obvious artifacts. An amplitude threshold of 20% above the signal’s mean was established to detect anomalous peaks. Then, 500 ms segments around the detected artifacts were removed. Finally, the deleted segments were replaced using linear interpolation to maintain signal continuity. Before signal filtering, a median filter with a 5-sample window was applied to smooth the signal and reduce unwanted high-frequency noise. This preliminary step helped to prepare the signal for more efficient filtering and eliminated isolated peaks that could affect subsequent analyses. For the P S Q I analysis, the raw MW-PPG signal is processed using a fourth-order analogue Butterworth low-pass filter with a 10 Hz cutoff, which helps to eliminate noise while maintaining AC and DC components. For all other analyses, the signal is bandpassed from 0.5 to 10 Hz to extract the AC component and preserve pulse shapes using the same type of filter.
The data were analyzed using the windowing method to reduce the computational burden and improve the clarity of the analysis. For this, non-overlapping windows of 10 s were used to capture the dynamics of several signal pulses effectively. This specific window size helps to ensure that each window captures sufficient physiological data to reflect meaningful trends while avoiding redundancy that could complicate the analysis. Additionally, using non-overlapping windows minimizes the influence of transient CF variations, thereby improving the distinction between true physiological signals and artifacts. This approach optimizes data processing and enhances the accuracy of interpreting short-term physiological changes. The signals were normalized to standardize the scales of the recordings and facilitate comparative analyses: the AC component of the PPG measurements was adjusted to a range of −1 to 1, while the CF signal was normalized from 0 to 1. On this scale, a value of 0 represents the minimum CF, and 1 indicates the maximum CF reached during the measurement for each data record.

3.3. Statistic Analysis

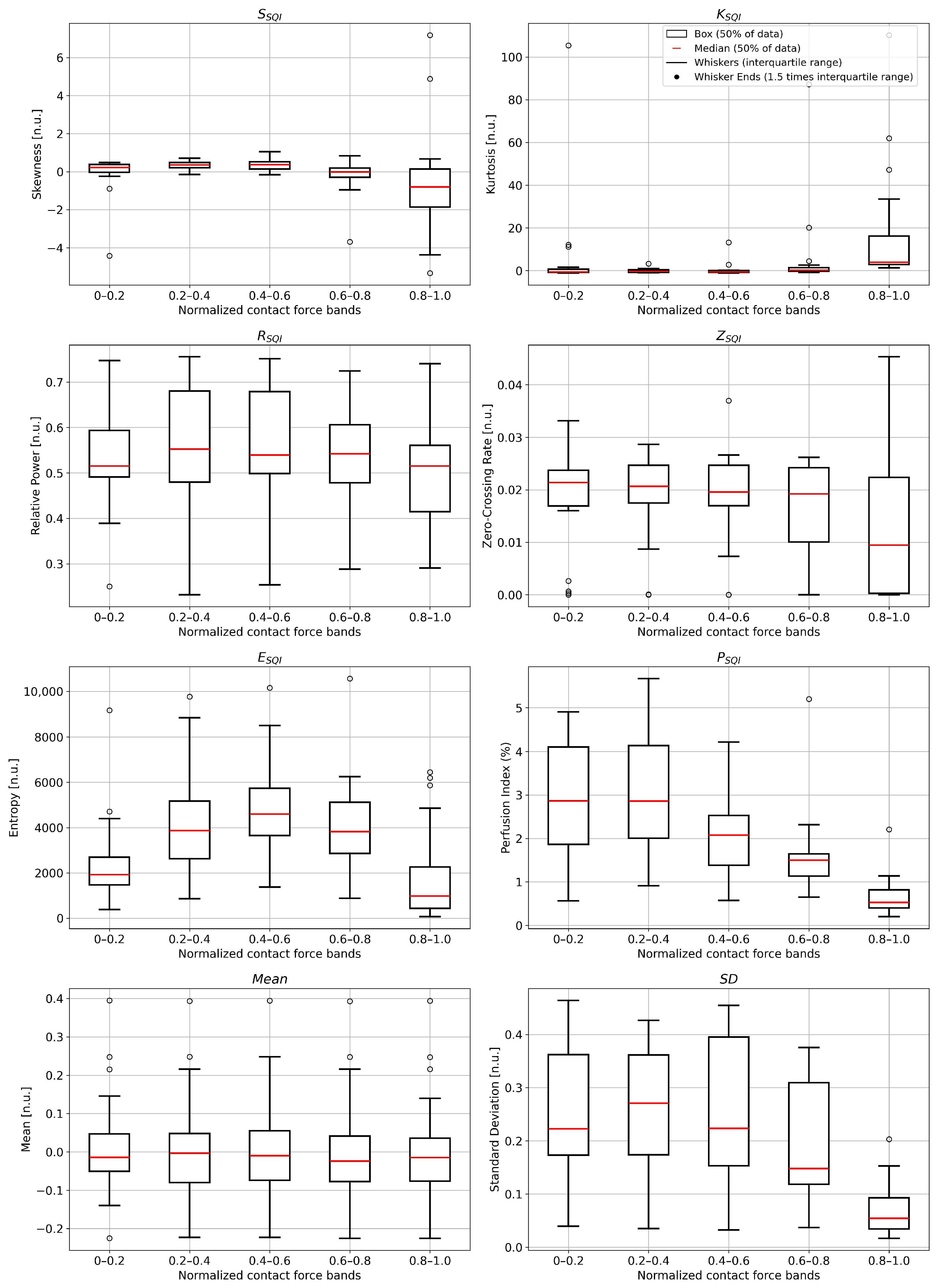
The statistical analysis was performed on the normalized wavelengths. The 940 nm wavelength is used as a reference to present the results, enabling consistent comparisons among SQIs. The data were divided into five ranges based on normalized CF, ranging from 0 to 1 in increments of 0.2. The analysis also included the mean and SD to describe the centrality and dispersion of the data. Boxplots were created for each statistical and signal metric to visualize the results, organized by levels of normalized CF. Each plot features visuals indicating the median, IQR, and ends of the “whiskers,” which extend up to 1.5 times the IQR. In interpreting the boxplot elements, the analysis also considers the presence and implications of outliers.

4. Results

Figure 5 displays the boxplots for the SQIs analyzed across normalized CF variations, with 1 representing the maximum CF value for each data record. This format visually highlights the differences among the metrics of the SQIs analyzed. The descriptive statistics for each analysis will be detailed further below. These interpretations showcase the collective characteristics of the dataset rather than individual signal properties.

4.1. Skewness ( S S Q I ) Analysis

As displayed in Table 1, the asymmetry in the lowest CF range (0–0.2) is close to zero, indicating a nearly symmetrical distribution of the signal values. The outliers in this range point to sporadic variations, likely resulting from inconsistent contact between the sensor and the skin. As the CF between the probe and the skin increases from the lowest range to the intermediate ranges (0.2–0.4 and 0.4–0.6), the asymmetry of the PPG AC signal tends to become positive, indicating better signal capture with heavier tails towards high values. The mean skewness of 0.35 in the 0.4–0.6 CF range is particularly meaningful because it indicates a general tendency towards higher values without extreme deviations. This balance suggests that most of the signals within this range are of good quality but include enough variability to capture important physiological details without being overshadowed by noise or extreme values. In contrast, in the highest CF ranges (0.6–0.8 and 0.8–1.0), the asymmetry becomes negative and variable, reflecting the distortions caused by excessive pressure that compresses the tissue and alters the signal, with the outliers indicating sporadic variations due to inconsistent contact between the sensor and the skin.

4.2. Kurtosis ( K S Q I ) Analysis

Table 2 summarizes the descriptive statistical information from the K S Q I analysis. In the dataset, the average kurtosis is high in the very low CF range (0–0.2), indicating a tendency towards leptokurtic distributions (kurtosis value greater than 3) characterized by sharp peaks and heavy tails. Such distributions suggest that the signals frequently exhibit more extreme values than expected in a normal distribution, evidenced by the wide range between the minimum (−1.17) and maximum (105.39) kurtosis values, pointing to inconsistent signal quality. As the CF increases to intermediate ranges (0.2–0.4 and 0.4–0.6), the kurtosis values decrease, with the 0.4 to 0.6 range showing a mean of 0.29, close to the ideal of 0. This suggests a more normal distribution, which is preferred for consistent and reliable PPG signal analysis due to the reduced presence of extreme values and artifacts. However, the kurtosis increases significantly in the highest CF ranges (0.6–0.8 and 0.8–1.0), indicating signal distortion from excessive pressure. This distortion is particularly pronounced in the 0.6 to 0.8 range, where the excessive pressure leads to sharp distribution peaks and heavy tails, rendering the measurements unreliable and reflecting the variations due to inconsistent contact between the sensor and the skin.

4.3. Relative Power ( R S Q I ) Analysis

As shown in Table 3, in the lowest CF range (0–0.2), the R S Q I average is 0.52 with an SD of 0.25, indicating moderate signal quality with significant variability. The median of 0.64 suggests that most of the values are above average, but the wide range from 0.09 to 0.82 indicates inconsistencies among the data records due to irregular contact. In the intermediate CF range (0.2–0.4), the average R S Q I increases to 0.55 with an SD of 0.26. The median of 0.67 indicates improved signal quality, though the broad range (0.07 to 0.88) still shows variability. The optimal CF range (0.4–0.6) has the highest average R S Q I of 0.56 with an SD of 0.26. The median of 0.69 suggests consistently good signal quality despite some variability. In the high CF range (0.6–0.8), the average R S Q I decreases slightly to 0.54 with a SD of 0.24. The median of 0.62 and the range from 0.12 to 0.90 indicate that this SQI can reflect the excessive pressure affecting the signal quality, although it remains relatively high. In the very high CF range (0.8–1.0), the average R S Q I is the lowest at 0.51, with an SD of 0.22. The median of 0.57 indicates a significant decrease in the signal quality due to excessive pressure, with a range from 0.18 to 0.91 showing a reduced useful signal proportion. From a practical perspective, the CF range of 0.4–0.6 provides the best signal quality, balancing the useful signal proportion against noise.

4.4. Zero-Crossing Rate ( Z S Q I ) Analysis

Table 4 shows the descriptive statistics of the Z S Q I . The mean and median values across the CF range from 0 to 0.8 are consistent, oscillating primarily around 0.02. This suggests that, regardless of the applied pressure, the number of zero crossings in PPG signals tends to be stable. This indicates that the signals maintain a basic level of periodicity and stability across varied contact conditions. The low SD (0.01) across these ranges reflects minimal variability in the zero-crossing rate between different signals within the same CF range. In the higher range of CF (0.8–1.0), the signal shows more significant variability due to the decrease in signal quality, evidenced by a lower mean and higher maximum value of the Z S Q I . This suggests that excessive CF introduces unwanted noise and jitter. The CF range of 0.4–0.6 appears to be optimal due to its stability and low variability, with a slightly higher maximum that may indicate a clean signal with useful details.

4.5. Entropy ( E S Q I ) Analysis

As shown in Table 5, the E S Q I reaches its maximum mean value of 4794.68 in the range of 0.4–0.6, suggesting optimal sensor–skin coupling that captures detailed and complex signals. As the CF increases beyond this range, entropy decreases, reaching its minimum in high CF values (0.8–1.0). This decline suggests that excessive pressure may suppress the key physiological signals by compressing the tissue, inhibiting normal blood flow and thus diminishing the natural variability necessary for accurate cardiovascular assessments.

4.6. PI ( P S Q I ) Analysis

As shown in Table 6, the P S Q I reaches its maximum mean value of 3.07 in the CF range of 0.2–0.4, indicating the best perfusion and signal quality. The high mean and median values and the variability suggest an optimal coupling between the sensor and the skin. As the CF increases to moderate and high levels (0.4–0.6 to 0.8–1.0), there is a general decrease in the mean and median PI. Specifically, the range of 0.8–1.0 shows a notable drop in the mean PI to 0.66 and a median of 0.53, with the minimum falling dramatically to 0.20 and the maximum to 2.21, evidencing excessive compression.

4.7. Mean and SD Analysis

Finally, when analyzing the graphs of the mean and SD of the AC components, it is observed that the means in all the CF ranges are close to zero, indicating the absence of a significant trend towards high or low values in the average measurements across these ranges. The presence of negative minimum and positive maximum values of similar magnitude shows that, although most of the measurements are close to zero, there are fluctuations that deviate both positively and negatively with the homogeneous variability in the measurements across the different CF levels. Furthermore, medians close to zero reinforce that the central tendency of the data is aligned with the mean, confirming the symmetry of the distribution around a central value. However, the SDs are higher in the low ranges of CF (0–0.6), indicating more significant variability in the amplitude of the signals. As the CF increases (0.6–1.0), a reduction in the median SDs is observed, associated with a decrease in the pulse amplitude. In the highest range of CF (0.8–1.0), the range of SDs decreases considerably due to the lower presence of pulses due to the compression of blood vessels.

5. Discussion

This study evaluates the influence of CF on the SQI of PPG signals for the first time and addresses the cross-comparison limitations due to individual variability. The normalization of the CF proposed in this work enables a better comparison between different data records. The signals analyzed in this study have undergone minimal processing, sufficient only to separate the AC and DC components and filter out high-frequency noise. Efforts have been made to preserve the morphological characteristics of the original signal, enabling a comprehensive examination of all the features present in a physiologically representative PPG signal. The statistical analysis was performed on the normalized wavelengths, with a specific focus on the 940 nm wavelength. This wavelength was used as a reference because it not only penetrates deeper into the tissue but also contains optical information representative of other wavelengths with lower tissue penetration (470, 525, 590, and 631 nm). The analysis results validate this choice, showing consistent optimal ranges across all the wavelengths evaluated. This suggests that the 940 nm wavelength effectively represents global behavior concerning the SQIs analyzed. Using the 940 nm wavelength as a reference simplifies the presentation while ensuring that the findings apply to a broader range of conditions and wavelengths.
The statistical analysis of S S Q I and K S Q I reveals that the quality of the PPG AC signal is highly dependent on the CF between the sensor and the skin. The intermediate ranges of CF (0.2–0.4 and 0.4–0.6) provide the most stable and consistent signal, showing moderate positive skewness and kurtosis close to zero. The range of 0.4 to 0.6 is the most optimal for these SQIs. On the other hand, both the low range (0–0.2) and the high ranges (0.6–0.8 and 0.8–1.0) show high variability and distortion in the signal, indicating problems in terms of insufficient or excessive contact. Furthermore, the Z S Q I analysis reveals that the frequency of zero crossings is quite consistent across the different CF ranges, with a slight decrease at the highest CF values. This suggests that, in terms of signal stability, the CF does not significantly impact the frequency of sign changes, except in the highest range, where there may be spikes in variability due to excessive pressure. The statistical analysis of E S Q I shows that the complexity of the PPG AC signal is the greatest in the range of CF 0.4–0.6, where the signal captures the greatest amount of physiological detail. The lower and higher CF ranges present less complexity and greater variability. The signal quality in R S Q I is also the best in the CF 0.4–0.6 range, where the signal shows the highest proportion of useful signal to noise. The lower (0–0.2) and higher (0.8–1.0) ranges show greater variability and extreme values, indicating inconsistencies in signal quality. On the other hand, the P S Q I suggests that the optimal CF range for extracting information about perfusion and blood flow is 0.2 to 0.4.
The differences between the optimal ranges suggested by the P S Q I and the rest of the SQIs can be explained by the contrasts in the metrics evaluated and the impact of the CF. The PI measures the relationship between the pulsatile and non-pulsatile components of the signal, focusing on the peripheral perfusion and signal quality in terms of the blood flow. The other metrics evaluated measure different aspects of signal quality, such as complexity, stability, and the ratio of useful signal to noise. The results suggest that the CF range of 0.2–0.4 provides sufficient pressure for good perfusion, resulting in a high P S Q I . However, this pressure may not be ideal for capturing all the complex details of the signal, which is reflected in the lower E S Q I values. On the other hand, the CF range 0.4–0.6 provides a balance where the pressure is adequate to capture a complex and detailed signal (high entropy) and maintain a good, useful signal-to-noise ratio ( R S Q I ). Still, it may not be the best for peripheral perfusion. These findings are crucial for practical applications, such as monitoring the peripheral perfusion and SpO2 measurement in critically ill patients, where an optimal P S Q I could be more relevant. While detecting cardiovascular abnormalities, continuous blood pressure estimation, and respiratory rate estimation, adjusting the CF within the range of 0.4 to 0.6 could be essential to obtain high-quality and accurate signals.
The results highlight the importance of adjusting and validating the sensor placement on the skin as insufficient and excessive CF can negatively affect or suppress the PPG signal capture [38,39]. A comparison among multiple SQIs reveals the complexity of assessing the quality of PPG signals. It underscores the importance of using multiple SQIs for accurate analysis and reducing the risk of misdiagnosis. SQIs such as P S Q I , S S Q I , K S Q I , E S Q I , R S Q I , and Z S Q I offer varied perspectives on signal quality, addressing time-domain characteristics, waveform morphology, and aspects in the frequency domain. This comprehensive approach is essential to ensure the reliability of the monitoring systems in clinical settings. The analyzed SQIs, especially when combined, can comprehensively evaluate the quality of PPG signals regarding reliability, sensitivity, and error minimization. The appropriate use of these indices can significantly optimize cardiovascular monitoring and physiological research.
The state of the art has focused on determining the optimal universal CF values using absolute values [26,30,31,32,33,62,63,64]. However, it is not practical to determine the optimal CF values that apply to the entire population based on the absolute CF alone. The viscoelastic properties of human tissue play a crucial role in the interaction between the PPG probe and the skin. This means that its response to pressure can vary with time and the intensity of the force applied. This variability can significantly affect the quality of the PPG signal as the CF between the probe and the skin must be firm enough to capture pulsations without distorting due to excessive tissue compression. Furthermore, the biomechanical differences between individuals and measurement points are also important factors. Each person has a unique skin and subcutaneous tissue structure, varying in elasticity, thickness, and response to mechanical stress. Furthermore, different measurement points on the body (such as the finger, wrist, or earlobe) have different biomechanical characteristics that can influence the quality of the PPG signal. These differences underscore the need for custom CF standardization and calibration, which could enable consistent measurements in a diverse population, considering factors such as age, ethnicity, health status, and body mass index.
A limiting aspect of the study could lie in the selection of the size of the analysis windows. Different window sizes can capture varying dynamics in response to CF changes. As shown in Figure 6 and Table 7, using the P S Q I as an example, the window size could affect the results. Small or very small windows often result in low PI values, while larger windows better represent the PI of the signal. However, large windows can also hide the influence of artifacts caused by sudden changes in CF. A pulse-by-pulse analysis would be ideal, but this adds complexity to the algorithm, which must be evaluated based on the final application. A 10-s window was used for all the SQI analyses to ensure a balance between the precision in assessing the SQIs and the ability to closely observe the evolution of the SQIs in the face of variations in CF. This enables a broader and more detailed view of the trends.
Moreover, in the SQIs comparison, the number of samples per CF region varies for each data record due to the total duration of the measurements and manual CF adjustments during the experiment. This leads to differences in the number of samples between the strength regions and asymmetry between the increasing and decreasing phases of the CF. Although such variations could affect the individual results, the overall statistical analysis of all the records helps to balance these discrepancies. Future research should aim at a larger and more diverse population to validate the results, especially in clinical settings. On the other hand, the observed outliers are likely due to technical factors, measurement errors, or specific experimental conditions unrelated to the demographic or physical characteristics of the subjects. The nature of the manual method for adjusting the CF during the measurements resulted in sudden and very short amplitude changes or artifacts due to inconsistent pressure application between the CF steps. Despite the efforts undertaken during the data preprocessing phase to remove the segments of the signal that contained obvious artifacts, some of these artifacts persisted to some extent. Additionally, the nature of the analysis using time windows may have contributed to the presence of outliers. These combined elements could lead to irregularities that manifest as outliers in the analysis.

6. Conclusions

The main objective of this work has been to evaluate the impact of CF on the SQIs in PPG measurements. The combination of the selected SQIs provides a comprehensive evaluation of the quality of the PPG signals from multiple perspectives, ensuring that various aspects of the signal are captured and analyzed. The comparative results show that the normalized CF range of 0.4 to 0.6 is identified as optimal for capturing a detailed and complex signal, suitable for most PPG-based physiological analyses. However, when peripheral perfusion is critical and maximizing the sensitivity of P S Q I is required, the CF range of 0.2 to 0.4 should be considered. This reflects the need for a compromise based on the specific priorities of the physiological analysis. Furthermore, it is recommended that CF be expressed in terms of normalization, which enables better comparison between different studies, datasets, and subjects. Using normalized CF values provides more consistent results applicable to a broader population. It is suggested that CF calibration is crucial to improve the precision and reproducibility of PPG measurements. Our analysis suggests that the results can be generalized to other wavelengths.

Author Contributions

Conceptualization, J.L.C.; Formal analysis, Á.S.M. and B.d.S.; Funding acquisition, J.S. and J.C.G.-N.; Investigation, J.L.C. and Á.S.M.; Project administration, J.C.G.-N. and J.S.; Resources, J.S.; Supervision, J.C.G.-N. and J.S.; Validation, J.L.C.; Writing—original draft, J.L.C., Á.S.M. and B.d.S.; Writing—review and editing, J.L.C., Á.S.M. and B.d.S. All authors have read and agreed to the published version of the manuscript.

Funding

We acknowledge VUB for the SRP (Strategic Research Program) LSDS and the IOF-GEAR TECH4HEALTH project funding and ETRO.RDI BAS funding. We also thank the Belgian Development Cooperation through VLIR-UOS (Flemish Interuniversity Council-University Cooperation for Development) in the context of the Institutional University Cooperation program (IUC 2019 Phase 2 UO) with the Universidad de Oriente (Cuba). This work has been supported through the OZR4103 VUB project funding and partially supported by the FWO-Flanders FWOSB106 Ph.D. grant and by Innoviris-Brussels through the ILSF projects BRGEOZ403 and BRGEOZ422.

Data Availability Statement

The original contributions presented in the study are included in the article, further inquiries can be directed to the corresponding authors.

Acknowledgments

We sincerely thank Bernardo Magdariaga Hechavarría for his invaluable contribution and unwavering support. Additionally, we extend our deepest gratitude to Xhuliano Tatazi for his significant contributions to this research. Their expertise and assistance have been vital in completing this study.

Conflicts of Interest

The authors declare no conflicts of interest.

References

  1. Allen, J. Photoplethysmography and its application in clinical physiological measurement. Physiol. Meas. 2007, 28, R1. [Google Scholar] [CrossRef]
  2. Chatterjee, S.; Patel, Z.; Thaha, M.A.; Kyriacou, P.A. In silico and in vivo investigations using an endocavitary photoplethysmography sensor for tissue viability monitoring. J. Biomed. Opt. 2020, 25, 027001. [Google Scholar] [CrossRef]
  3. Han, D.; Bashar, S.K.; Lázaro, J.; Mohagheghian, F.; Peitzsch, A.; Nishita, N.; Ding, E.; Dickson, E.L.; DiMezza, D.; Scott, J.; et al. A real-time PPG peak detection method for accurate determination of heart rate during sinus rhythm and cardiac arrhythmia. Biosensors 2022, 12, 82. [Google Scholar] [CrossRef] [PubMed]
  4. Lazazzera, R.; Deviaene, M.; Varon, C.; Buyse, B.; Testelmans, D.; Laguna, P.; Gil, E.; Carrault, G. Detection and classification of sleep apnea and hypopnea using PPG and SpO2 signals. IEEE Trans. Biomed. Eng. 2020, 68, 1496–1506. [Google Scholar] [CrossRef]
  5. Charlton, P.H.; Paliakaitė, B.; Pilt, K.; Bachler, M.; Zanelli, S.; Kulin, D.; Allen, J.; Hallab, M.; Bianchini, E.; Mayer, C.C.; et al. Assessing hemodynamics from the photoplethysmogram to gain insights into vascular age: A review from VascAgeNet. Am. J. Physiol. Heart Circ. Physiol. 2022, 322, H493–H522. [Google Scholar] [CrossRef] [PubMed]
  6. Ouyang, V.; Ma, B.; Pignatelli, N.; Sengupta, S.; Sengupta, P.; Mungulmare, K.; Fletcher, R.R. The use of multi-site photoplethysmography (PPG) as a screening tool for coronary arterial disease and atherosclerosis. Physiol. Meas. 2021, 42, 064006. [Google Scholar] [CrossRef]
  7. Yousef, Q.; Reaz, M.; Ali, M.A.M. The analysis of PPG morphology: Investigating the effects of aging on arterial compliance. Meas. Sci. Rev. 2012, 12, 266–271. [Google Scholar] [CrossRef]
  8. Yadav, U.; Abbas, S.N.; Hatzinakos, D. Evaluation of PPG biometrics for authentication in different states. In Proceedings of the 2018 International Conference on Biometrics (ICB), Gold Coast, Australia, 20–23 February 2018; pp. 277–282. [Google Scholar]
  9. Lyzwinski, L.N.; Elgendi, M.; Menon, C. The use of photoplethysmography in the assessment of mental health: Scoping review. JMIR Ment. Health 2023, 10, e40163. [Google Scholar] [CrossRef]
  10. Wright, C.; Scholten, H.; Schilder, J.; Elsen, B.; Hanselaar, W.; Kroner, C.; Draijer, R.; Kastelein, J.; Stok, W.; Karemaker, J.; et al. Arterial stiffness, endothelial function and microcirculatory reactivity in healthy young males. Clin. Physiol. Funct. Imaging 2008, 28, 299–306. [Google Scholar] [CrossRef]
  11. Mizeva, I.; Di Maria, C.; Frick, P.; Podtaev, S.; Allen, J. Quantifying the correlation between photoplethysmography and laser Doppler flowmetry microvascular low-frequency oscillations. J. Biomed. Opt. 2015, 20, 037007. [Google Scholar] [CrossRef]
  12. Allen, J.; Chen, F. Low-frequency variability in photoplethysmography and autonomic function assessment. In Photoplethysmography; Elsevier: Amsterdam, The Netherlands, 2022; pp. 277–318. [Google Scholar]
  13. Bousefsaf, F.; Maaoui, C.; Pruski, A. Peripheral vasomotor activity assessment using a continuous wavelet analysis on webcam photoplethysmographic signals. Bio-Med. Mater. Eng. 2016, 27, 527–538. [Google Scholar] [CrossRef]
  14. Gil, E.; Orini, M.; Bailon, R.; Vergara, J.M.; Mainardi, L.; Laguna, P. Photoplethysmography pulse rate variability as a surrogate measurement of heart rate variability during non-stationary conditions. Physiol. Meas. 2010, 31, 1271. [Google Scholar] [CrossRef] [PubMed]
  15. Mejía-Mejía, E.; May, J.M.; Torres, R.; Kyriacou, P.A. Pulse rate variability in cardiovascular health: A review on its applications and relationship with heart rate variability. Physiol. Meas. 2020, 41, 07TR01. [Google Scholar] [CrossRef] [PubMed]
  16. Naeini, E.K.; Azimi, I.; Rahmani, A.M.; Liljeberg, P.; Dutt, N. A real-time PPG quality assessment approach for healthcare Internet-of-Things. Procedia Comput. Sci. 2019, 151, 551–558. [Google Scholar] [CrossRef]
  17. Park, J.; Seok, H.S.; Kim, S.S.; Shin, H. Photoplethysmogram Analysis and Applications: An Integrative Review. Front. Physiol. 2022, 12, 2511. [Google Scholar] [CrossRef]
  18. Seitsonen, E.; Korhonen, I.; Van Gils, M.; Huiku, M.; Lötjönen, J.; Korttila, K.; Yli-Hankala, A. EEG spectral entropy, heart rate, photoplethysmography and motor responses to skin incision during sevoflurane anaesthesia. Acta Anaesthesiol. Scand. 2005, 49, 284–292. [Google Scholar] [CrossRef] [PubMed]
  19. Wang, L.; Pickwell-MacPherson, E.; Liang, Y.; Zhang, Y.T. Noninvasive cardiac output estimation using a novel photoplethysmogram index. In Proceedings of the 2009 Annual International Conference of the IEEE Engineering in Medicine and Biology Society, Minneapolis, MN, USA, 2–6 September 2009; pp. 1746–1749. [Google Scholar]
  20. Takazawa, K.; Tanaka, N.; Fujita, M.; Matsuoka, O.; Saiki, T.; Aikawa, M.; Tamura, S.; Ibukiyama, C. Assessment of vasoactive agents and vascular aging by the second derivative of photoplethysmogram waveform. Hypertension 1998, 32, 365–370. [Google Scholar] [CrossRef]
  21. Přibil, J.; Přibilová, A.; Frollo, I. Comparative measurement of the PPG signal on different human body positions by sensors working in reflection and transmission modes. Eng. Proc. 2020, 2, 69. [Google Scholar] [CrossRef]
  22. Kim, K.B.; Baek, H.J. Photoplethysmography in wearable devices: A comprehensive review of technological advances, current challenges, and future directions. Electronics 2023, 12, 2923. [Google Scholar] [CrossRef]
  23. Lujan, M.R.; Perez-Pozuelo, I.; Grandner, M.A. Past, present, and future of multisensory wearable technology to monitor sleep and circadian rhythms. Front. Digit. Health 2021, 3, 721919. [Google Scholar] [CrossRef]
  24. Pollreisz, D.; TaheriNejad, N. Detection and removal of motion artifacts in PPG signals. Mob. Networks Appl. 2019, 27, 728–738. [Google Scholar] [CrossRef]
  25. Lee, J.H.; Yang, S.; Park, J.; Kim, H.C.; Kim, E.H.; Jang, Y.E.; Kim, J.T.; Kim, H.S. Time to consider the contact force during photoplethysmography measurement during pediatric anesthesia: A prospective, nonrandomized interventional study. Paediatr. Anaesth. 2018, 28, 660–667. [Google Scholar] [CrossRef]
  26. May, J.M.; Mejía-Mejía, E.; Nomoni, M.; Budidha, K.; Choi, C.; Kyriacou, P.A. Effects of Contact Pressure in Reflectance Photoplethysmography in an In Vitro Tissue-Vessel Phantom. Sensors 2021, 21, 8421. [Google Scholar] [CrossRef]
  27. Chandrasekhar, A.; Yavarimanesh, M.; Natarajan, K.; Hahn, J.O.; Mukkamala, R. PPG Sensor Contact Pressure Should be Taken into Account for Cuff-Less Blood Pressure Measurement. IEEE Trans. Biomed. Eng. 2020, 67, 3134–3140. [Google Scholar] [CrossRef]
  28. Park, S.; Fukuda, K.; Wang, M.; Lee, C.; Yokota, T.; Jin, H.; Jinno, H.; Kimura, H.; Zalar, P.; Matsuhisa, N.; et al. Ultraflexible near-infrared organic photodetectors for conformal photoplethysmogram sensors. Adv. Mater. 2018, 30, 1802359. [Google Scholar] [CrossRef]
  29. Hartmann, V.; Liu, H.; Chen, F.; Qiu, Q.; Hughes, S.; Zheng, D. Quantitative comparison of photoplethysmographic waveform characteristics: Effect of measurement site. Front. Physiol. 2019, 10, 198. [Google Scholar] [CrossRef]
  30. Teng, X.F.; Zhang, Y.T. The effect of contacting force on photoplethysmographic signals. Physiol. Meas. 2004, 25, 1323–1335. [Google Scholar] [CrossRef]
  31. Rafolt, D.; Gallasch, E. Influence of Contact Forces on Wrist Photo plethysmography-Prestudy for a Wearable Patient Monitor. Biomed. Tech. 2004, 49, 22–26. [Google Scholar] [CrossRef]
  32. Liu, C.; Correia, R.G.; Ballaji, H.K.; Korposh, S.; Hayes-Gill, B.R.; Morgan, S.P. Optical fibre-based pulse oximetry sensor with contact force detection. Sensors 2018, 18, 3632. [Google Scholar] [CrossRef]
  33. Scardulla, F.; D’Acquisto, L.; Colombarini, R.; Hu, S.; Pasta, S.; Bellavia, D. A study on the effect of contact pressure during physical activity on photoplethysmographic heart rate measurements. Sensors 2020, 20, 5052. [Google Scholar] [CrossRef]
  34. Kasbekar, R.S.; Mendelson, Y. Evaluation of key design parameters for mitigating motion artefact in the mobile reflectance PPG signal to improve estimation of arterial oxygenation. Physiol. Meas. 2018, 39, 075008. [Google Scholar] [CrossRef]
  35. Lambert Cause, J.; Solé Morillo, Á.; da Silva, B.; García-Naranjo, J.C.; Stiens, J. Evaluating Vascular Depth-Dependent Changes in Multi-Wavelength PPG Signals Due to Contact Force. Sensors 2024, 24, 2692. [Google Scholar] [CrossRef]
  36. Sun, X.; Yang, P.; Zhang, Y.T. Assessment of photoplethysmogram signal quality using morphology integrated with temporal information approach. In Proceedings of the 2012 Annual International Conference of the IEEE Engineering in Medicine and Biology Society, San Diego, CA, USA, 28 August–1 September 2012; pp. 3456–3459. [Google Scholar]
  37. Ovadia-Blechman, Z.; Hauptman, Y.; Rabin, N.; Wiezman, G.; Hoffer, O.; Gertz, S.D.; Gavish, B.; Gavish, L. Morphological features of the photoplethysmographic signal: A new approach to characterize the microcirculatory response to photobiomodulation. Front. Physiol. 2023, 14, 1175470. [Google Scholar] [CrossRef]
  38. Elgendi, M. PPG Signal Analysis: An Introduction Using MATLAB; CRC Press: Boca Raton, FL, USA, 2020. [Google Scholar]
  39. Elgendi, M. Optimal signal quality index for photoplethysmogram signals. Bioengineering 2016, 3, 21. [Google Scholar] [CrossRef]
  40. Karlen, W.; Kobayashi, K.; Ansermino, J.M.; Dumont, G. Photoplethysmogram signal quality estimation using repeated Gaussian filters and cross-correlation. Physiol. Meas. 2012, 33, 1617. [Google Scholar] [CrossRef]
  41. Li, H.; Huang, S. A High-Efficiency and Real-Time Method for Quality Evaluation of PPG Signals. IOP Conf. Ser. Mater. Sci. Eng. 2020, 711, 012100. [Google Scholar] [CrossRef]
  42. Beh, W.K.; Yang, Y.C.; Lo, Y.C.; Lee, Y.C.; Wu, A.Y. Machine-Aided PPG Signal Quality Assessment (SQA) for Multi-Mode Physiological Signal Monitoring. ACM Trans. Comput. Healthc. 2023, 4, 14. [Google Scholar] [CrossRef]
  43. Selvaraj, N.; Mendelson, Y.; Shelley, K.H.; Silverman, D.G.; Chon, K.H. Statistical approach for the detection of motion/noise artifacts in Photoplethysmogram. In Proceedings of the 2011 Annual International Conference of the IEEE Engineering in Medicine and Biology Society, Boston, MA, USA, 30 August–3 September 2011; IEEE: Piscataway, NJ, USA, 2011; pp. 4972–4975. [Google Scholar]
  44. Dao, D.; Salehizadeh, S.M.; Noh, Y.; Chong, J.W.; Cho, C.H.; McManus, D.; Darling, C.E.; Mendelson, Y.; Chon, K.H. A robust motion artifact detection algorithm for accurate detection of heart rates from photoplethysmographic signals using time–frequency spectral features. IEEE J. Biomed. Health Inform. 2016, 21, 1242–1253. [Google Scholar] [CrossRef]
  45. Orphanidou, C.; Orphanidou, C. Signal quality assessment in physiological monitoring: Requirements, practices and future directions. In Signal Quality Assessment in Physiological Monitoring: State of the Art and Practical Considerations; Springer: Berlin/Heidelberg, Germany, 2018; pp. 1–14. [Google Scholar]
  46. Zanelli, S.; El Yacoubi, M.A.; Hallab, M.; Ammi, M. Transfer learning of CNN-based signal quality assessment from clinical to non-clinical PPG signals. In Proceedings of the 2021 43rd Annual International Conference of the IEEE Engineering in Medicine & Biology Society (EMBC), Virtual, 1–5 November 2021; pp. 902–905. [Google Scholar]
  47. Sivanjaneyulu, Y.; Manikandan, M.S.; Boppu, S. Cnn based ppg signal quality assessment using raw ppg signal for energy-efficient ppg analysis devices in internet of medical things. In Proceedings of the 2022 International Conference on Artificial Intelligence of Things (ICAIoT), Istanbul, Turkey, 29–30 December 2022; pp. 1–6. [Google Scholar]
  48. Chatterjee, T.; Ghosh, A.; Sarkar, S. Signal quality assessment of photoplethysmogram signals using quantum pattern recognition technique and lightweight cnn module. In Proceedings of the 2022 44th Annual International Conference of the IEEE Engineering in Medicine & Biology Society (EMBC), Glasgow, UK, 11–15 July 2022; pp. 3382–3386. [Google Scholar]
  49. Yan, R.; Ding, C.; Xiao, R.; Fedorov, A.; Lee, R.J.; Nahab, F.; Hu, X. SQUWA: Signal Quality Aware DNN Architecture for Enhanced Accuracy in Atrial Fibrillation Detection from Noisy PPG Signals. arXiv 2024, arXiv:2404.15353. [Google Scholar]
  50. Gao, H.; Wu, X.; Shi, C.; Gao, Q.; Geng, J. A LSTM-based realtime signal quality assessment for photoplethysmogram and remote photoplethysmogram. In Proceedings of the IEEE/CVF Conference on Computer Vision and Pattern Recognition, Virtual, 19–25 June 2021; pp. 3831–3840. [Google Scholar]
  51. Chowdhury, S.S.; Hasan, M.S.; Sharmin, R. Robust heart rate estimation from ppg signals with intense motion artifacts using cascade of adaptive filter and recurrent neural network. In Proceedings of the TENCON 2019–2019 IEEE Region 10 Conference (TENCON), Kochi, India, 17–20 October 2019; pp. 1952–1957. [Google Scholar]
  52. Castiñeira Pérez, D. Desig, Implementation and Validation of n Atrial Fibrillation Screening System through PPG Signals and Machine Learning Techniques. Ph.D. Thesis, 2020. Available online: http://castor.det.uvigo.es:8080/xmlui/bitstream/handle/123456789/497/TFM%20Diego%20Casti%C3%B1eira%20P%C3%A9rez.pdf?sequence=1&isAllowed=y (accessed on 21 October 2022).
  53. Papini, G.B.; Fonseca, P.; Eerikäinen, L.M.; Overeem, S.; Bergmans, J.W.; Vullings, R. Sinus or not: A new beat detection algorithm based on a pulse morphology quality index to extract normal sinus rhythm beats from wrist-worn photoplethysmography recordings. Physiol. Meas. 2018, 39, 115007. [Google Scholar] [CrossRef]
  54. Papini, G.B.; Fonseca, P.; Aubert, X.L.; Overeem, S.; Bergmans, J.W.; Vullings, R. Photoplethysmography beat detection and pulse morphology quality assessment for signal reliability estimation. In Proceedings of the 2017 39th Annual International Conference of the IEEE Engineering in Medicine and Biology Society (EMBC), Jeju Island, Republic of Korea, 11–15 July 2017; pp. 117–120. [Google Scholar]
  55. Karlen, W. CapnoBase InVivo Dataset; Borealis: Houston, TX, USA, 2021. [Google Scholar] [CrossRef]
  56. Karlen, W. CSL Pulse Oximetry Artifact Labels; Borealis: Houston, TX, USA, 2021. [Google Scholar] [CrossRef]
  57. Moody, B.; Moody, G.; Villarroel, M.; Clifford, G.; Silva, I. MIMIC-III Waveform Database Matched Subset. PhysioNet 2020. [Google Scholar] [CrossRef]
  58. Hair, J.F., Jr.; Hult, G.T.M.; Ringle, C.M.; Sarstedt, M.; Danks, N.P.; Ray, S.; Hair, J.F.; Hult, G.T.M.; Ringle, C.M.; Sarstedt, M.; et al. An introduction to structural equation modeling. In Partial Least Squares Structural Equation Modeling (PLS-SEM) Using R: A Workbook; Springer: Cham, Switzerland, 2021; pp. 1–29. [Google Scholar]
  59. Mejia-Mejia, E.; Allen, J.; Budidha, K.; El-Hajj, C.; Kyriacou, P.A.; Charlton, P.H. Photoplethysmography signal processing and synthesis. In Photoplethysmography; Elsevier: Amsterdam, The Netherlands, 2022; pp. 69–146. [Google Scholar]
  60. Elshal, M.M.; Hasanin, A.M.; Mostafa, M.; Gamal, R.M. Plethysmographic peripheral perfusion index: Could it be a new vital sign? Front. Med. 2021, 8, 651909. [Google Scholar] [CrossRef] [PubMed]
  61. Kluyver, T.; Ragan-Kelley, B.; Pérez, F.; Granger, B.; Bussonnier, M.; Frederic, J.; Kelley, K.; Hamrick, J.; Grout, J.; Corlay, S.; et al. Jupyter Notebooks—A publishing format for reproducible computational workflows. In Positioning and Power in Academic Publishing: Players, Agents and Agendas; IOS Press: Amsterdam, The Netherlands, 2016; pp. 87–90. [Google Scholar]
  62. Sim, J.K.; Ahn, B.; Doh, I. A contact-force regulated photoplethysmography (PPG) platform. AIP Adv. 2018, 8, 045210. [Google Scholar] [CrossRef]
  63. Spigulis, J.; Gailite, L.; Erts, R.; Lihachev, A. Contact probe pressure effects in skin multi-spectral photoplethysmography. In Proceedings of the European Conference on Biomedical Optics (Optica Publishing Group), Munich, Germany, 17–21 June 2007; p. 6628. [Google Scholar]
  64. Sirkiä, J.P.; Panula, T.; Kaisti, M. The Effects of External Pressure on Multi-Wavelength Photoplethysmography Signals. In Proceedings of the 2021 Computing in Cardiology (CinC), Brno, Czech Republic, 13–15 September 2021; Volume 48, pp. 1–4. [Google Scholar]
Figure 1. LED and PD placement for transmission and reflectance modes PPG. The left image illustrates the transmission mode, and the right image depicts the reflectance mode, both using a typical configuration with two LEDs (red and infrared) commonly applied in PPG applications.
Figure 1. LED and PD placement for transmission and reflectance modes PPG. The left image illustrates the transmission mode, and the right image depicts the reflectance mode, both using a typical configuration with two LEDs (red and infrared) commonly applied in PPG applications.
Applsci 14 05704 g001
Figure 2. As a case study, the raw signals from the right index finger of Subject 8 are displayed, including details of the 940 nm wavelength AC pulses for two distinct CF values. Adapted from [35].
Figure 2. As a case study, the raw signals from the right index finger of Subject 8 are displayed, including details of the 940 nm wavelength AC pulses for two distinct CF values. Adapted from [35].
Applsci 14 05704 g002
Figure 3. Variability in the maximum CF reached by each subject, alongside the absolute CF difference between the fingertips and age. For Subject 11 (not shown in the graph), measurements were only taken from the right index finger, recording a maximum CF of 2.16 N. From [35].
Figure 3. Variability in the maximum CF reached by each subject, alongside the absolute CF difference between the fingertips and age. For Subject 11 (not shown in the graph), measurements were only taken from the right index finger, recording a maximum CF of 2.16 N. From [35].
Applsci 14 05704 g003
Figure 4. Dataset processing flowchart.
Figure 4. Dataset processing flowchart.
Applsci 14 05704 g004
Figure 5. Boxplots of signal quality metrics at different CF levels for the 940 nm wavelength. Five normalized CF ranges segment each analysis.
Figure 5. Boxplots of signal quality metrics at different CF levels for the 940 nm wavelength. Five normalized CF ranges segment each analysis.
Applsci 14 05704 g005
Figure 6. Impact of window sizes on the analysis of P S Q I (in blue). For reference, the original PPG signal from the left index finger of Subject 1 is displayed in gray.
Figure 6. Impact of window sizes on the analysis of P S Q I (in blue). For reference, the original PPG signal from the left index finger of Subject 1 is displayed in gray.
Applsci 14 05704 g006
Table 1. Descriptive statistics of S S Q I by CF range, highlighting in bold the identified optimal range.
Table 1. Descriptive statistics of S S Q I by CF range, highlighting in bold the identified optimal range.
CF RangeMeanStdMinMaxMedian
0–0.2−0.081.04−4.420.480.22
0.2–0.40.330.23−0.150.710.35
0.4–0.60.350.29−0.161.050.37
0.6–0.8−0.190.90−3.680.84−0.02
0.8–1.0−0.732.77−5.337.18−0.80
Table 2. Descriptive statistics of K S Q I by CF range, highlighting in bold the identified optimal range.
Table 2. Descriptive statistics of K S Q I by CF range, highlighting in bold the identified optimal range.
CF RangeMeanStdMinMaxMedian
0–0.25.8023.11−1.17105.39−0.60
0.2–0.4−0.030.99−0.993.21−0.36
0.4–0.60.293.07−1.1613.16−0.64
0.6–0.85.4619.25−0.8787.180.19
0.8–1.016.8127.101.30110.183.93
Table 3. Descriptive statistics of R S Q I by CF range, highlighting in bold the identified optimal range.
Table 3. Descriptive statistics of R S Q I by CF range, highlighting in bold the identified optimal range.
CF RangeMeanStdMinMaxMedian
0–0.20.520.250.090.820.64
0.2–0.40.550.260.070.880.67
0.4–0.60.560.260.090.900.69
0.6–0.80.540.240.120.900.62
0.8–1.00.510.220.180.910.57
Table 4. Descriptive statistics of Z S Q I by CF range, highlighting in bold the identified optimal range.
Table 4. Descriptive statistics of Z S Q I by CF range, highlighting in bold the identified optimal range.
CF RangeMeanStdMinMaxMedian
0–0.20.020.010.000.030.02
0.2–0.40.020.010.000.030.02
0.4–0.60.020.010.000.040.02
0.6–0.80.020.010.000.030.02
0.8–1.00.010.010.000.050.01
Table 5. Descriptive statistics of E S Q I by CF range, highlighting in bold the identified optimal range.
Table 5. Descriptive statistics of E S Q I by CF range, highlighting in bold the identified optimal range.
CF RangeMeanStdMinMaxMedian
0–0.22480.981923.91383.499166.991918.59
0.2–0.44291.522365.41863.769766.503862.66
0.4–0.64794.682030.751370.6010,155.944597.64
0.6–0.84080.382133.26880.2010,566.473821.63
0.8–1.01985.562202.7565.016443.84977.02
Table 6. Descriptive statistics of P S Q I by CF range, highlighting in bold the identified optimal range.
Table 6. Descriptive statistics of P S Q I by CF range, highlighting in bold the identified optimal range.
CF RangeMeanStdMinMaxMedian
0–0.22.801.370.564.912.86
0.2–0.43.071.380.915.672.86
0.4–0.62.090.920.574.222.08
0.6–0.81.560.940.655.201.50
0.8–1.00.660.440.202.210.53
Table 7. Descriptive statistics of P S Q I for different window sizes.
Table 7. Descriptive statistics of P S Q I for different window sizes.
Window Size (s)Min P SQI (%)Max P SQI (%)Mean P SQI (%)SD P SQI (%)
10.026.041.260.84
50.2313.152.181.44
100.3313.062.901.82
Disclaimer/Publisher’s Note: The statements, opinions and data contained in all publications are solely those of the individual author(s) and contributor(s) and not of MDPI and/or the editor(s). MDPI and/or the editor(s) disclaim responsibility for any injury to people or property resulting from any ideas, methods, instructions or products referred to in the content.

Share and Cite

MDPI and ACS Style

Lambert Cause, J.; Solé Morillo, Á.; García-Naranjo, J.C.; Stiens, J.; da Silva, B. The Impact of Contact Force on Signal Quality Indices in Photoplethysmography Measurements. Appl. Sci. 2024, 14, 5704. https://doi.org/10.3390/app14135704

AMA Style

Lambert Cause J, Solé Morillo Á, García-Naranjo JC, Stiens J, da Silva B. The Impact of Contact Force on Signal Quality Indices in Photoplethysmography Measurements. Applied Sciences. 2024; 14(13):5704. https://doi.org/10.3390/app14135704

Chicago/Turabian Style

Lambert Cause, Joan, Ángel Solé Morillo, Juan C. García-Naranjo, Johan Stiens, and Bruno da Silva. 2024. "The Impact of Contact Force on Signal Quality Indices in Photoplethysmography Measurements" Applied Sciences 14, no. 13: 5704. https://doi.org/10.3390/app14135704

APA Style

Lambert Cause, J., Solé Morillo, Á., García-Naranjo, J. C., Stiens, J., & da Silva, B. (2024). The Impact of Contact Force on Signal Quality Indices in Photoplethysmography Measurements. Applied Sciences, 14(13), 5704. https://doi.org/10.3390/app14135704

Note that from the first issue of 2016, this journal uses article numbers instead of page numbers. See further details here.

Article Metrics

Back to TopTop