Analysis of Kinematic Variables According to Menstrual Cycle Phase and Running Intensity: Implications for Training Female Athletes
Abstract
1. Introduction
2. Materials and Methods
2.1. Subjects
2.2. Design
2.3. Materials and Measurements
2.4. Variables Analyzed
2.5. Statistical Analysis
3. Results
3.1. Correlations of Running Kinematics Variables with Maximal Velocity
3.2. Test Performance
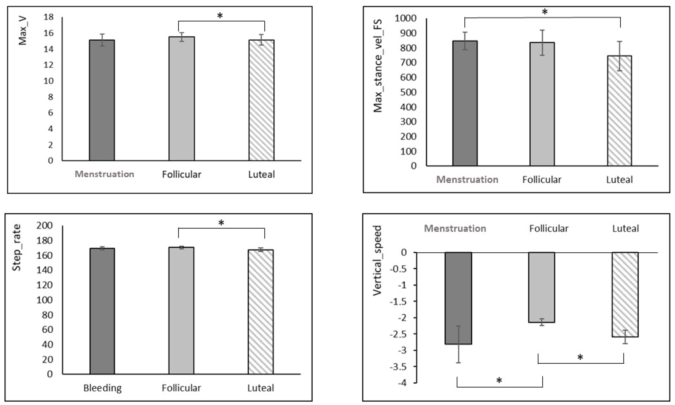
Maximum Speed (Max_V)
3.3. Distances and Angles
3.3.1. Stride Length
3.3.2. Stride Angle
3.3.3. Swing Excursion
3.3.4. Step Length
3.4. Speeds and Frequencies
3.4.1. Maximum Pronation Velocity
3.4.2. Maximum Stance Velocity from the Foot Strike to the Point of Maximum Pronation
3.4.3. Maximum Stance Velocity from the Point of Maximum Pronation to Toe-Off
3.4.4. Step Rate
3.4.5. Vertical Speed
3.5. Times and Percentages
3.5.1. Contact Time
3.5.2. Contact Ratio
3.5.3. Flight Time
3.5.4. Flight Ratio
3.5.5. Time from the Point of Maximum Pronation to Toe-Off
3.5.6. Time from Toe-Off to Min Swing Point
3.5.7. Time from the Max Swing Point to Foot Strike
4. Discussion
5. Conclusions
Author Contributions
Funding
Institutional Review Board Statement
Informed Consent Statement
Data Availability Statement
Conflicts of Interest
References
- Björklund, G.; Swarén, M.; Born, D.P.; Stöggl, T. Biomechanical adaptations and performance indicators in short trail running. Front. Physiol. 2019, 10, 506. [Google Scholar] [CrossRef] [PubMed]
- Danion, F.; Varraine, E.; Bonnard, M.; Pailhous, J. Stride variability in human gait: The effect of stride frequency and stride length. Gait Posture 2003, 18, 69–77. [Google Scholar] [CrossRef] [PubMed]
- Santos-Concejero, J.; Tam, N.; Granados, C.; Irazusta, J.; Bidaurrazaga-Letona, I.; Zabala-Lili, J.; Gil, S.M. Stride angle as a novel indicator of running economy in well-trained runners. The J. Strength Cond. Res. 2014, 28, 1889–1895. [Google Scholar] [CrossRef]
- Orendurff, M.S.; Kobayashi, T.; Tulchin-Francis, K.; Tullock, A.M.H.; Villorna, C.; Chan, C.; Kraus, E.; Strike, S. A little bit faster: Lower extremity joint kinematics and kinetics as recreational runners achieve faster speeds. J. Biomech. 2018, 71, 167–175. [Google Scholar] [CrossRef]
- Albiach, J.P.; Mir-Jimenez, M.; Hueso Moreno, V.; Nácher Moltó, I.; Martínez-Gramage, J. The Relationship between VO2max, Power Management, and Increased Running Speed: Towards Gait Pattern Recognition through Clustering Analysis. Sensors 2021, 21, 2422. [Google Scholar] [CrossRef]
- Gijon-Nogueron, G.; Soler-Crespo, F.J.; Sanchez-Rodriguez, R.; Cabello-Marique, D.; Lopezosa-Reca, E.; Ortega-Avila, A.B. Influence of speed and heel-to-toe drop in running shoes for female recreational runners: A cross-sectional study. Medicine 2019, 98, e15649. [Google Scholar] [CrossRef]
- Mohler, F.; Fadillioglu, C.; Stein, T. Fatigue-Related Changes in Spatiotemporal Parameters, Joint Kinematics and Leg Stiffness in Expert Runners During a Middle-Distance Run. Front. Sports Act. Living 2021, 3, 634258. [Google Scholar] [CrossRef]
- Mei, Q.; Gu, Y.; Xiang, L.; Baker, J.S.; Fernandez, J. Foot Pronation Contributes to Altered Lower Extremity Loading After Long Distance Running. Front. Physiol. 2019, 10, 573. [Google Scholar] [CrossRef]
- Cartón-Llorente, A.; Roche Seruendo, L.E.; Mainer Pardos, E.; Nobari, H.; Rubio Peirotén, A.; Jane Carrillo, D.; García Pinillos, F. Acute effects of a 60-min time trial on power-related parameters in trained endurance runners. BMC Sports Sci. Med. Rehabil. 2022, 14, 142. [Google Scholar] [CrossRef]
- Li, J.; Song, Y.; Xuan, R.; Sun, D.; Teo, E.C.; Biró, I.; Gu, Y. Effect of Long-Distance Running on Inter-segment Foot Kinematics and Ground Reaction Forces: A Preliminary Study. Front. Bioeng. Biotechnol. 2022, 10, 833774. [Google Scholar] [CrossRef]
- Panday, S.B.; Pathak, P.; Moon, J.; Koo, D. Complexity of Running and Its Relationship with Joint Kinematics during a Prolonged Run. Int. J. Environ. Res. Public Health 2022, 19, 9656. [Google Scholar] [CrossRef]
- Bramah, C.; Preece, S.J.; Gill, N.; Herrington, L. Is There a Pathological Gait Associated With Common Soft Tissue Running Injuries? Am. J. Sports Med. 2018, 46, 3023–3031. [Google Scholar] [CrossRef]
- Winter, S.C.; Gordon, S.; Brice, S.M.; Lindsay, D.; Barrs, S. A Multifactorial Approach to Overuse Running Injuries: A 1-Year Prospective Study. Sports Health 2020, 12, 296–303. [Google Scholar] [CrossRef]
- Wilhoite, S.; Mutchker, J.A.; Munkasy, B.A.; Li, L. Ankle-Knee Initial Contact Angle and Latency to Maximum Angle are Affected by Prolonged Run. Int. J. Exerc. Sci. 2021, 14, 33–44. [Google Scholar]
- Koldenhoven, R.M.; Virostek, A.; Dejong, A.F.; Higgins, M.; Hertel, J. Increased Contact Time and Strength Deficits in Runners With Exercise-Related Lower Leg Pain. J. Athl. Train. 2020, 55, 1247–1254. [Google Scholar] [CrossRef]
- Kiernan, D.; Hawkins, D.A.; Manoukian, M.A.C.; McKallip, M.; Oelsner, L.; Caskey, C.F.; Coolbaugh, C.L. Accelerometer-based prediction of running injury in National Collegiate Athletic Association track athletes. J. Biomech. 2018, 73, 201–209. [Google Scholar] [CrossRef]
- Burke, A.; Dillon, S.; O’Connor, S.; Whyte, E.F.; Gore, S.; Moran, K.A. Comparison of impact accelerations between injury-resistant and recently injured recreational runners. PLoS ONE 2022, 17, e0273716. [Google Scholar] [CrossRef]
- Popp, K.L.; Outerleys, J.; Gehman, S.; Garrahan, M.; Rudolph, S.; Oranger, E.; Ackerman, K.E.; Tenforde, A.S.; Bouxsein, M.L.; Davis, I.S. Impact loading in female runners with single and multiple bone stress injuries during fresh and exerted conditions. J. Sport Health Sci. 2023, 12, 406–413. [Google Scholar] [CrossRef]
- Wilzman, A.R.; Tenforde, A.S.; Troy, K.L.; Hunt, K.; Fogel, N.; Roche, M.D.; Kraus, E.; Trikha, R.; Delp, S.; Fredericson, M. Medical and Biomechanical Risk Factors for Incident Bone Stress Injury in Collegiate Runners: Can Plantar Pressure Predict Injury? Orthop. J. Sports Med. 2022, 10, 23259671221104793. [Google Scholar] [CrossRef] [PubMed]
- Bell, D.R.; Blackburn, J.T.; Hackney, A.C.; Marshall, S.W.; Beutler, A.I.; Padua, D.A. Jump-Landing Biomechanics and Knee-Laxity Change Across the Menstrual Cycle in Women With Anterior Cruciate Ligament Reconstruction. J. Athl. Train. 2014, 49, 154–162. [Google Scholar] [CrossRef] [PubMed]
- Bingzheng, Z.; Xinzhuo, Z.; Zhuo, J.; Xing, Y.; Bin, L.; Lunhao, B. The effects of sex hormones during the menstrual cycle on knee kinematics. Front. Bioeng. Biotechnol. 2023, 11, 1209652. [Google Scholar] [CrossRef]
- Jaén-Carrillo, D.; Roche-Seruendo, L.E.; Cartón-Llorente, A.; Ramírez-Campillo, R.; García-Pinillos, F. Mechanical power in endurance running: A scoping review on sensors for power output estimation during running. Sensors 2020, 20, 6482. [Google Scholar] [CrossRef]
- Jones, A.M.; Doust, J.H. A 1% treadmill grade most accurately reflects the energetic cost of outdoor running. J. Sports Sci. 1996, 14, 321–327. [Google Scholar] [CrossRef]
- Urteaga, I.; Li, K.; Shea, A.; Vitzthum, V.J.; Wiggins, C.H.; Elhadad, N. A generative modeling approach to calibrated predictions: A use case on menstrual cycle length prediction. In Proceedings of the Machine Learning for Healthcare Conference, Virtual, 6–7 August 2021; Volume 155, pp. 535–566. [Google Scholar]
- DeJong, A.F.; Hertel, J. Validation of foot-strike assessment using wearable sensors during running. J. Athl. Train. 2020, 55, 1307–1310. [Google Scholar] [CrossRef]
- Napier, C.; Willy, R.W.; Hannigan, B.C.; McCann, R.; Menon, C. The effect of footwear, running speed, and location on the validity of two commercially available inertial measurement units during running. Front. Sports Act. Living 2021, 3, 643385. [Google Scholar] [CrossRef]




| Kinematic Variables | Correlation with V max. | 95% C.I | |
|---|---|---|---|
| Lower C.I. | Upper C.I. | ||
| Distance and angles | |||
| Stride Length (m) | 0.648 *** | 0.510 | 0.754 |
| Stride Angle (°) | 0.302 ** | 0.102 | 0.479 |
| Swing Excursion (°) | 0.599 ** | 0.453 | 0.714 |
| Step Length (m) | 0.668 *** | 0.536 | 0.768 |
| Velocity and frequency | |||
| Maximal Speed (km/h) | 1 *** | 1 | 1 |
| Max Pronation Velocity (°/s) | 0.448 ** | 0.271 | 0.595 |
| Max Stance Velocity (FS-MP) (°/s) | 0.423 ** | 0.238 | 0.579 |
| Max Stance Velocity (MP-TO) (°/s) | 0.686 ** | 0.559 | 0.782 |
| Step rate | 0.556 ** | 0.395 | 0.684 |
| Vertical Speed (m/s) | −0.491 *** | −0.633 | −0.317 |
| Times | |||
| Contact Time (ms) | 0.649 ** | −0.755 | −0.512 |
| Contact Ratio (%) | −0.536 ** | −0.668 | −0.370 |
| Flight Time (ms) | 0.490 ** | 0.335 | 0.645 |
| Flight Ratio (%) | 0.532 *** | 0.364 | 0.667 |
| Time (MP-TO) (ms) | −0.677 *** | −0.775 | −0.547 |
| Time (TO-Min Swing) (ms) | 0.442 *** | 0.265 | 0.590 |
| Time (Max Swing-FS) (ms) | 0.538 ** | 0.373 | 0.670 |
| Intensity 50% Max_Velocity | Intensity 60% Max_Velocity | Intensity 80% Max_Velocity | Intensity 100% Max_Velocity | |||||||||
|---|---|---|---|---|---|---|---|---|---|---|---|---|
| Menstru | Follicular | Luteal | Menstru | Follicular | Luteal | Menstru | Follicular | Luteal | Menstru | Follicular | Luteal | |
| Kinematic Variables | M (SD) | M (SD) | M (SD) | M (SD) | M (SD) | M (SD) | M (SD) | M (SD) | M (SD) | M (SD) | M (SD) | M (SD) |
| Distances and angles | ||||||||||||
| Stride Length (m) | 1.70 (0.13) | 1.71 (0.17) | 1.68 (0.11) | 1.84 (0.14) | 1.88 (0.12) | 1.85 (0.12) | 2.28 (0.16) | 2.35 (0.13) | 2.36 (0.14) | 2.44 (0.3) | 2.14 (0.1) | 2.43 (0.25) |
| Stride Angle (°) | 1.5 (0.9) | 1.39 (1.1) | 1.65 (1.2) | 1.56 (1.1) | 1.49 (1) | 1.63 (1.2) | 1.95 (1.1) | 1.95 (0.9) | 2.05 (1.1) | 1.81 (1.1) | 1.8 (0.9) | 1.66 (0.9) |
| Swing Excursion (°) | 83.7 (10.6) | 80.3 (7.2) | 81.2 (11.7) | 89.1 (13.2) | 87.1 (7.3) | 88.3 (8.9) | 107 (18) | 106 (13) | 108.4 (16.5) | 98 (11.7) | 97.9 (11.5) | 94.4 (15.0) |
| Step Length (m) | 0.85 (0.07) | 0.83 (0.08) | 0.83 (0.05) | 0.91 (0.07) | 0.93 (0.07) | 0.91 (0.07) | 1.15 (0.8) | 1.16 (0.7) | 1.18 (0.7) | 1.21 (0.14) | 1.06 (0.05) | 1.23 (0.12) |
| Velocity and frequency | ||||||||||||
| Velocidad máxima (km/h) | 7.56 (1.1) | 7.75 (0.8) | 7.56 (0.9) | 9.08 (1.3) | 9.3 (0.9) | 9.07 (1.1) | 12.1 (1.7) | 12.4 (1.2) | 12.1 (1.5) | 15.13 (2.1) | 15.5 (1.5) | 15.13 (1.9) |
| Max Pronation Velocity (°/s) | 505.5 (140.4) | 453 (190) | 507.5 (220) | 560 (171.4) | 570.1 (152.5) | 602.8 (187.2) | 733.8 (161) | 748 (209.6) | 769.1 (195.2) | 709.5 (175.3) | 625.6 (161.6) | 567.1 (247.3) |
| Max Stance Velocity (FS-MP) (°/s) | 726.9 (152.7) | 700.1 (263) | 713.1 (339.2) | 805.5 (244.1) | 811.3 (282.9) | 720.6 (428.2) | 981.7 (191.9) | 1052.5 (334) | 716.4 (405) | 875.8 (168) | 778.9 (191.4) | 829.6 (274.9) |
| Max Stance Velocity (MP-TO) (°/s) | 581.9 (97.3) | 588.4 (112.2) | 600 (130.5) | 612.1 (97) | 630.8 (65.7) | 632.2 (93.6) | 805.1 (157.7) | 836.5 (105.6) | 839.1 (148.7) | 757.9 (121) | 779.1 (132.2) | 769.3 (153.1) |
| Step rate | 164.9 (1.8) | 165 (2.5) | 161.9 (3.8) | 166 (2.5) | 168.1 (2.2) | 165.1 (2.6) | 172.8 (2.5) | 175.6 (1.9) | 172.4 (2.3) | 173 (2.5) | 173 (2.5) | 171 (2.6) |
| Vertical Speed (m/s) | −2.46 (0.47) | −1.8 (0.18) | −2.05 (0.09) | −2.65 (0.53) | −2.03 (0.13) | −2.29 (0.07) | −3.01 (0.47) | −2.48 (0.12) | −2.55 (0.13) | −3.14 (0.8) | −2.25 (0.07) | −3.44 (0.72) |
| Times | ||||||||||||
| Contact Time (ms) | 329.9 (38.8) | 349.3 (72.2) | 346.4 (78.7) | 302.1 (40.9) | 293.8 (32.6) | 299.5 (35.3) | 262.5 (34.5) | 255.1 (26.9) | 259.8 (29.2) | 279.9 (41.5) | 279.9 (29.5) | 296.5 (36.7) |
| Contact Ratio (%) | 90.13 (11.4) | 95.4 (17) | 92.5 (16.5) | 83.5 (11.2) | 82.3 (9.2) | 82.4 (9.7) | 75.6 (10) | 74.6 (8) | 74.5 (8.9) | 79.8 (11.6) | 80.1 (9) | 83.1 (11.6) |
| Flight Time (ms) | 43.6 (43.9) | 19.4 (64) | 32 (62.1) | 60 (41.2) | 63.3 (33.8) | 64.6 (36) | 84.8 (36.2) | 86.5 (28.2) | 89 (32.1) | 71.8 (46.1) | 69.9 (34.7) | 63.8 (43.3) |
| Flight Ratio (%) | 13 (9.2) | 11.4 (11.3) | 13.4 (9.3) | 16.9 (10.5) | 17.8 (9.2) | 17.9 (9.4) | 24.5 (10) | 25.4 (8) | 25.4 (8.9) | 21.6 (10.2) | 21.4 (8.2) | 19.3 (9.3) |
| Time (MP-TO) (ms) | 279.5 (61.7) | 292.5 (65.6) | 303.8 (95.6) | 240.3 (39) | 241.9 (30.4) | 240.5 (33.7) | 207.4 (37.2) | 199.9 (29.7) | 204 (29.4) | 226.4 (44.5) | 221.3 (30.9) | 221.4 (40.8) |
| Time (TO-Min Swing) (ms) | 91.3 (47.1) | 69.6 (52.4) | 85.6 (54.1) | 115.3 (44) | 115.11 (33.7) | 120.1 (40.2) | 137.6 (39.7) | 135.4 (31.6) | 141.6 (35) | 118.3 (43.1) | 120.9 (39.5) | 109.4 (39.8) |
| Time (Max Swing-FS) (ms) | 78.6 (9.8) | 86.3 (5.9) | 91.9 (20.3) | 74.9 (9.2) | 83.3 (6) | 71.6 (8.3) | 104.8 (9.3) | 115.1 (7.7) | 101.5 (7.4) | 110.6 (10) | 106.9 (8.9) | 100.9 (8.6) |
Disclaimer/Publisher’s Note: The statements, opinions and data contained in all publications are solely those of the individual author(s) and contributor(s) and not of MDPI and/or the editor(s). MDPI and/or the editor(s) disclaim responsibility for any injury to people or property resulting from any ideas, methods, instructions or products referred to in the content. |
© 2024 by the authors. Licensee MDPI, Basel, Switzerland. This article is an open access article distributed under the terms and conditions of the Creative Commons Attribution (CC BY) license (https://creativecommons.org/licenses/by/4.0/).
Share and Cite
Domínguez-Muñoz, C.; del Campo, J.; García, A.; Guzmán, J.; Martínez-Gallego, R.; Ramón-Llin, J. Analysis of Kinematic Variables According to Menstrual Cycle Phase and Running Intensity: Implications for Training Female Athletes. Appl. Sci. 2024, 14, 5348. https://doi.org/10.3390/app14125348
Domínguez-Muñoz C, del Campo J, García A, Guzmán J, Martínez-Gallego R, Ramón-Llin J. Analysis of Kinematic Variables According to Menstrual Cycle Phase and Running Intensity: Implications for Training Female Athletes. Applied Sciences. 2024; 14(12):5348. https://doi.org/10.3390/app14125348
Chicago/Turabian StyleDomínguez-Muñoz, Carolina, Juan del Campo, Alberto García, José Guzmán, Rafael Martínez-Gallego, and Jesús Ramón-Llin. 2024. "Analysis of Kinematic Variables According to Menstrual Cycle Phase and Running Intensity: Implications for Training Female Athletes" Applied Sciences 14, no. 12: 5348. https://doi.org/10.3390/app14125348
APA StyleDomínguez-Muñoz, C., del Campo, J., García, A., Guzmán, J., Martínez-Gallego, R., & Ramón-Llin, J. (2024). Analysis of Kinematic Variables According to Menstrual Cycle Phase and Running Intensity: Implications for Training Female Athletes. Applied Sciences, 14(12), 5348. https://doi.org/10.3390/app14125348

