Analysis of Factors Influencing Three-Dimensional Multi-Cluster Hydraulic Fracturing Considering Interlayer Effect
Abstract
1. Introduction
2. Research Methodology
2.1. Theoretical Background
2.1.1. Cohesion Unit Model
2.1.2. The Fluid Flow Properties within a Fracture Surface
2.2. Model Configuration
- The formation rock is assumed to be a homogeneous and isotropic porous medium, and it is in a linear elastic state.
- The influence of temperature field on fracture propagation is neglected.
- The inertial effects of the fluid are disregarded.
- The fracturing fluid is fully saturated and incompressible. During the fracturing process, the physical and chemical interactions between the fracturing fluid and the surrounding rock formation are not considered.
3. Results
4. Discussion
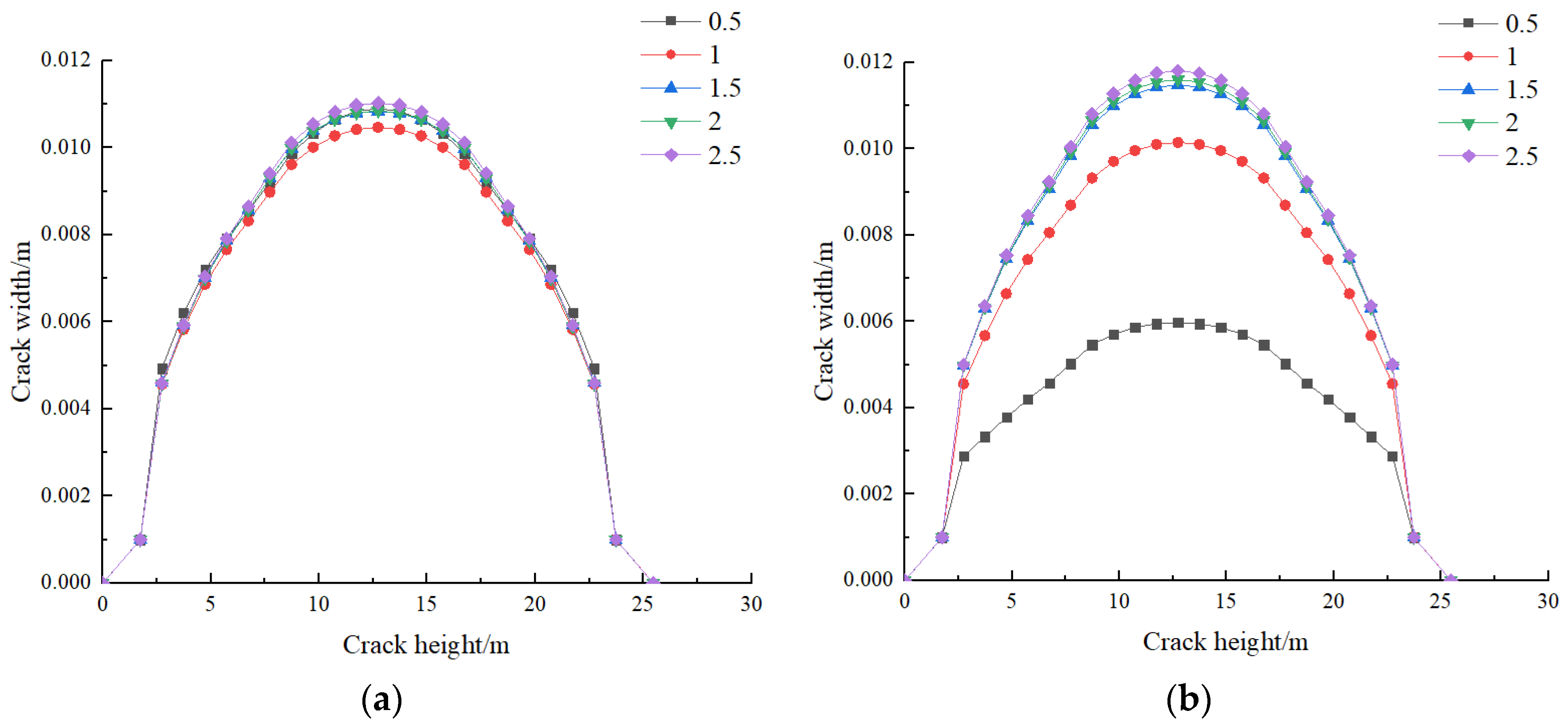
4.1. Effect of Cluster Spacing
4.2. Effect of Cluster Quantity
4.3. Effect of Displacement
4.4. Effect of Elastic Modulus
4.5. Effect of Poisson’s Ratio
4.6. Effect of Permeability
4.7. Effect of Various Factors on the SRV of the Interlayer/Reservoir
5. Conclusions
- At the initial stage of fracturing, the edge fracture starts to propagate when the injection pressure reaches 47.85 MPa, while the mid fracture starts to propagate at an injection pressure of 49.31 MPa. This indicates that there is a certain interaction between the fractures during the fracturing process. The propagation of the mid fracture in terms of width and height is influenced by the edge fracture. With the same amount of fracturing fluid injection, the length of the mid fracture will be greater than that of the edge fracture.
- When the cluster spacing is small, the mid fracture is greatly influenced by the edge fracture, resulting in a lower height and narrower width than the predetermined maximum values. As the cluster spacing increases, the width and height of the mid fracture increase, while the length decreases. The situation is the opposite for the edge fracture. The more clusters there are, the more pronounced the interaction between the fractures, especially the influence of the edge fracture on the mid fracture. With a larger displacement, more fracturing fluid enters the formation, resulting in an increased length, width, and height of the edge fracture. However, the mid fracture is influenced by the edge fracture, leading to a decrease in width and an increase in length.
- The elastic modulus has a significant impact on the edge fracture. As the ratio of elastic moduli increases, the width of the edge fracture decreases while the length increases. When the ratio of elastic moduli is small, the mid fracture is longer and narrower. When the ratio of elastic moduli is large, the length of the mid fracture decreases while the width increases, but the impact is relatively small. As the ratio of Poisson’s ratios increases, the morphology of the edge fracture changes less, while the width of the mid fracture increases and the length decreases. When the ratio of Poisson’s ratios reaches a certain value, the influence on the fractures is basically negligible. An increase in the ratio of permeabilities allows more fracturing fluid to enter the formation, reducing the interaction between fractures. This has a minimal impact on the edge fracture, while promoting a better expansion of the mid fracture.
- An increase in cluster quantity and displacement leads to an increase in the SRV in both the reservoir and the interlayer. As the cluster spacing increases, the interaction between fractures decreases, causing the fractures to transition from vertical expansion to forward expansion, resulting in a larger SRV in the reservoir. A higher ratio of elastic moduli leads to a decrease in the overall SRV, but an increase in the SRV in the reservoir and a decrease in the SRV in the interlayer. This is beneficial for reservoir exploitation. The ratio of Poisson’s ratios and the ratio of permeabilities between the interlayer and the reservoir have a relatively small impact on the SRV in both the interlayer and the reservoir.
Author Contributions
Funding
Data Availability Statement
Conflicts of Interest
References
- Mayerhofer, M.J.; Lolon, E.P.; Warpinski, N.R.; Cipolla, C.L.; Walser, D.; Rightmire, C.M. What Is Stimulated Reservoir Volume? SPE Prod. Oper. 2010, 25, 89–98. [Google Scholar] [CrossRef]
- Chen, Q.; Wang, S.J.; Zhu, D.; Ren, G.X.; Zhang, Y.; Hu, J.H. A Comprehensive Model for Estimating Stimulated Reservoir Volume Based on Flowback Data in Shale Gas Reservoirs. Geofluids 2020, 2020, 8886988. [Google Scholar] [CrossRef]
- Wang, H.Y. Numerical modeling of non-planar hydraulic fracture propagation in brittle and ductile rocks using XFEM with cohesive zone method. J. Pet. Sci. Eng. 2015, 135, 127–140. [Google Scholar] [CrossRef]
- Guo, T.S.; Zhang, S.C.; Qu, Z.Q.; Zhou, T.; Xiao, Y.S.; Gao, J. Experimental study of hydraulic fracturing for shale by stimulated reservoir volume. Fuel 2014, 128, 373–380. [Google Scholar] [CrossRef]
- Shi, D.Y.; Lu, Z.Y. Semianalytical Model for Flow Behavior Analysis of Unconventional Reservoirs with Complex Fracture Distribution. Geofluids 2020, 2020, 9394140. [Google Scholar] [CrossRef]
- Yuan, B.; Su, Y.L.; Moghanloo, R.G.; Rui, Z.H.; Wang, W.D.; Shang, Y.Y. A new analytical multi-linear solution for gas flow toward fractured horizontal wells with different fracture intensity. J. Nat. Gas Sci. Eng. 2015, 23, 227–238. [Google Scholar] [CrossRef]
- Zhang, M.Y.; Wang, D.Y.; Zhang, Z.L.; Zhang, L.Y.; Yang, F.; Huang, B.; Zhong, A.H.; Li, L.C. Numerical simulation and multi-factor optimization of hydraulic fracturing in deep naturally fractured sandstones based on response surface method. Eng. Fract. Mech. 2022, 259, 108110. [Google Scholar] [CrossRef]
- Liu, X.Q.; Rasouli, V.; Guo, T.K.; Qu, Z.Q.; Sun, Y.; Damjanac, B. Numerical simulation of stress shadow in multiple cluster hydraulic fracturing in horizontal wells based on lattice modelling. Eng. Fract. Mech. 2020, 238, 107278. [Google Scholar] [CrossRef]
- Hu, Y.Q.; Wang, Q.; Zhao, J.Z.; Chen, S.N.; Zhao, C.N.; Fu, C.H. Three-dimensional complex fracture propagation simulation: Implications for rapid decline of production capacity. Energy Sci. Eng. 2020, 8, 4196–4211. [Google Scholar] [CrossRef]
- Zhang, K.P.; Chen, M.; Wang, S.G.; Li, J.X.; Taufiqurrahman, M. Significant effect of the rock parameters of Longmaxi formation in hydraulic fracturing. Geomech. Energy Environ. 2022, 32, 100384. [Google Scholar] [CrossRef]
- Li, N.; Yang, K.; Kao, J.W. A new extended finite element model for gas flow in shale gas reservoirs with complex fracture networks. Arab. J. Geosci. 2023, 16, 503. [Google Scholar] [CrossRef]
- Khristianovic, S.A.; Zheltov, Y.P. Formation of vertical fractures by means of highly viscous liquid. In Proceedings of the Fourth World Petroleum Congress, Rome, Italy, 6 June 1955. [Google Scholar]
- Geertsma, J.; Klerk, F. A Rapid Method of Predicting Width and Extent of Hydraulically Induced Fractures. J. Pet. Technol. 1969, 21, 1571–1581. [Google Scholar] [CrossRef]
- Perkins, T.K.; Kern, L.R. Widths of Hydraulic Fractures. J. Pet. Technol. 1961, 13, 937–949. [Google Scholar] [CrossRef]
- Nordgren, R.P. Propagation of a Vertical Hydraulic Fracture. Soc. Pet. Eng. J. 1972, 12, 306–314. [Google Scholar] [CrossRef]
- Settari, A.; Cleary, M.P. Development and Testing of a Pseudo-Three-Dimensional Model of Hydraulic Fracture Geometry. SPE Prod. Eng. 1986, 1, 449–466. [Google Scholar] [CrossRef]
- Green, A.E.; Sneddon, I.N. The distribution of stress in the neighbourhood of a flat elliptical crack in an elastic solid. Math. Proc. Camb. Philos. Soc. 1950, 46, 159–163. [Google Scholar] [CrossRef]
- King, G.E. Thirty Years of Gas Shale Fracturing: What Have We Learned? In Proceedings of the SPE Annual Technical Conference and Exhibition, Florence, Italy, 19–22 September 2010; Society of Petroleum Engineers: Florence, Italy, 2010. [Google Scholar] [CrossRef]
- Cleary, M.P.; Michael, K.; Lam, K.Y. Development of a fully three-dimensional simulator for analysis and design of hydraulic fracturing. In Proceedings of the SPE /DOE Low Permeability Gas Reservoirs Symposium, Denver, Colorado, 14–16 March 1983. [Google Scholar] [CrossRef]
- Shahid, A.S.A.; Fokker, P.A.; Rocca, V. A Review of Numerical Simulation Strategies for Hydraulic Fracturing, Natural Fracture Reactivation and Induced Microseismicity Prediction. Open Pet. Eng. J. 2016, 9 (Suppl. S1), 72–91. [Google Scholar] [CrossRef]
- Lee, J.H.; Gao, Y.F.; Johanns, K.E.; Pharr, G.M. Cohesive interface simulations of indentation cracking as a fracture toughness measurement method for brittle materials. Acta Mater. 2012, 60, 5448–5467. [Google Scholar] [CrossRef]
- Lecampion, B. An extended finite element method for hydraulic fracture problems. Commun. Numer. Methods Eng. 2009, 25, 121–133. [Google Scholar] [CrossRef]
- Wang, W.R.; Zhang, G.Q.; Cao, H.; Chen, L.; Zhao, C.Y. Generation mechanism and influencing factors of fracture networks during alternate fracturing in horizontal wells. Theor. Appl. Fract. Mech. 2023, 127, 104082. [Google Scholar] [CrossRef]
- Ma, J.Q.; Li, X.H.; Yao, Q.L.; Tan, K. Numerical simulation of hydraulic fracture extension patterns at the interface of coal-measure composite rock mass with Cohesive Zone Model. J. Clean. Prod. 2023, 426, 139001. [Google Scholar] [CrossRef]
- Khoei, A.R.; Mortazavi, S.M.S.; Simoni, L.; Schrefler, B.A. Irregular and stepwise behaviour of hydraulic fracturing: Insights from linear cohesive crack modelling with maximum stress criterion. Comput. Geotech. 2023, 161, 105570. [Google Scholar] [CrossRef]
- Wang, L.C.; Duan, K.; Zhang, Q.Y.; Li, X.J.; Jiang, R.H.; Zheng, Y. Stress interference and interaction between two fractures during their propagation: Insights from SCDA test and XFEM simulation. Int. J. Rock Mech. Min. Sci. 2023, 169, 105431. [Google Scholar] [CrossRef]
- Xiong, J.; Liu, J.J.; Li, W.; Liu, X.J.; Liang, L.X.; Ding, Y. Investigation on the influence factors for the fracturing effect in fractured tight reservoirs using the numerical simulation. Sci. Prog. 2022, 105, 368504211070396. [Google Scholar] [CrossRef]
- Chen, Z.R.; Jeffrey, R.G.; Zhang, X.; Kear, J. Finite-Element Simulation of a Hydraulic Fracture Interacting with a Natural Fracture. SPE J. 2017, 22, 219–234. [Google Scholar] [CrossRef]
- Xia, B.W.; Ou, C.N.; Zhang, X.; Fu, Y.H. Expansion law and influence factors of hydraulic fracture under the influence of coal pillar. Arab. J. Geosci. 2021, 14, 961. [Google Scholar] [CrossRef]
- Manchanda, R.; Sharma, M.M.; Holzhauser, S. Time-Dependent Fracture-Interference Effects in Pad Wells. SPE Prod. Oper. 2014, 29, 274–287. [Google Scholar] [CrossRef]
- Wang, X.L.; Liu, C.; Wang, H.; Liu, H.; Wu, H.A. Comparison of consecutive and alternate hydraulic fracturing in horizontal wells using XFEM-based cohesive zone method. J. Pet. Sci. Eng. 2016, 143, 14–25. [Google Scholar] [CrossRef]
- Wu, K.; Olson, J.E. Investigation of the Impact of Fracture Spacing and Fluid Properties for Interfering Simultaneously or Sequentially Generated Hydraulic Fractures. SPE Prod. Oper. 2013, 28, 427–436. [Google Scholar] [CrossRef]
- Zhang, J.X.; Liu, X.J.; Wei, X.C.; Liang, L.X.; Xiong, J.; Li, W. Uncertainty Analysis of Factors Influencing Stimulated Fracture Volume in Layered Formation. Energies 2019, 12, 4444. [Google Scholar] [CrossRef]
- Biot, A.M. Theory of Deformation of a Porous Viscoelastic Anisotropic Solid. J. Appl. Phys. 1956, 27, 459–467. [Google Scholar] [CrossRef]



















| Reservoir | Elastic modulus/GPa | 12 |
| Poisson’s ratio | 0.18 | |
| Permeability coefficient/m·s−1 | 1 × 10−7 | |
| Porosity ratio | 0.11 | |
| Filtration coefficient/m·(Pa·s)−1 | 1 × 10−13 | |
| Interlayer | Elastic modulus/GPa | 18 |
| Poisson’s ratio | 0.13 | |
| Permeability coefficient/m·s−1 | 1 × 10−8 | |
| Porosity ratio | 0.03 | |
| Filtration coefficient/m·(Pa·s)−1 | 1 × 10−14 | |
| Other parameters | Tensile strength/MPa | 6 |
| Pore pressure/MPa | 28 | |
| Displacement/m2·s−1 | 0.01 | |
| Viscosity/Pa·s | 0.001 |
Disclaimer/Publisher’s Note: The statements, opinions and data contained in all publications are solely those of the individual author(s) and contributor(s) and not of MDPI and/or the editor(s). MDPI and/or the editor(s) disclaim responsibility for any injury to people or property resulting from any ideas, methods, instructions or products referred to in the content. |
© 2024 by the authors. Licensee MDPI, Basel, Switzerland. This article is an open access article distributed under the terms and conditions of the Creative Commons Attribution (CC BY) license (https://creativecommons.org/licenses/by/4.0/).
Share and Cite
Zhou, X.; Liu, X.; Liang, L. Analysis of Factors Influencing Three-Dimensional Multi-Cluster Hydraulic Fracturing Considering Interlayer Effect. Appl. Sci. 2024, 14, 5330. https://doi.org/10.3390/app14125330
Zhou X, Liu X, Liang L. Analysis of Factors Influencing Three-Dimensional Multi-Cluster Hydraulic Fracturing Considering Interlayer Effect. Applied Sciences. 2024; 14(12):5330. https://doi.org/10.3390/app14125330
Chicago/Turabian StyleZhou, Xin, Xiangjun Liu, and Lixi Liang. 2024. "Analysis of Factors Influencing Three-Dimensional Multi-Cluster Hydraulic Fracturing Considering Interlayer Effect" Applied Sciences 14, no. 12: 5330. https://doi.org/10.3390/app14125330
APA StyleZhou, X., Liu, X., & Liang, L. (2024). Analysis of Factors Influencing Three-Dimensional Multi-Cluster Hydraulic Fracturing Considering Interlayer Effect. Applied Sciences, 14(12), 5330. https://doi.org/10.3390/app14125330
