Abstract
With the global rise in the prevalence of diabetes, diabetic patients need innovative footwear designs to reduce the risk of foot ulcers. This study examined the mechanical properties of diabetic shoe midsoles featuring auxetic lattice structures. Through the construction of finite element models and simulation, this research compared the biomechanical parameter differences in the plantar regions of the metatarsal head, midfoot, and hindfoot when wearing two types of auxetic midsoles with internal angles of 60° and 75° and a non-auxetic midsole with an internal angle of 90° under both walking and running conditions. Compared to the non-auxetic midsole, the auxetic midsoles significantly reduced the peak plantar pressure and optimized the pressure distribution across various plantar regions. Notably, the auxetic 60° midsole reduced the peak plantar pressure by 19.68–55.25% and 16.19–54.39% compared to the non-auxetic 90° midsole during walking and running, respectively. This study also verified that the auxetic midsoles exhibited greater adaptability and compliance to the plantar foot shape, contributing to reductions in plantar pressure in comparisons of deformation values and plantar contact areas across the different midsoles. Auxetic midsoles manufactured using 3D printing technology have significant potential to prevent diabetic foot ulcers and maintain human foot health. This research integrates insights and techniques from materials science and ergonomics, offering a new direction for footwear design.
1. Introduction
It is estimated that the global prevalence of diabetes will reach 532 million by 2035 [1]. Diabetic patients’ hyperglycemia can lead to peripheral neuropathy in areas such as the plantar foot, resulting in diabetes-related foot ulceration (DFU) [2]. The rise in plantar pressure plays a vital role in the development and recurrence of diabetic foot ulcers [3,4]. Relieving areas of excess plantar pressure is essential to diabetic foot prevention and management [5,6]. Modern therapeutic footwear has a complex, layered structure including an outer sole, midsole, and insole. Previous research on diabetic footwear has primarily focused on the customized design of insoles to optimize the plantar pressure distribution [7,8,9]. However, to enhance the cushioning performance of footwear for diabetic patients, several medical and biomaterials science studies have investigated the relationship between midsole design and plantar biomechanics, exploring their applications in foot protection and disease prevention among diabetic patients. For instance, some researchers utilized 3D-printed lattice structures in shoe midsole design to enhance the energy absorption capacity and elasticity [10]. Other research analyzed changes in plantar pressure and soft tissue stress in diabetic patients with neuropathy using different midsoles, providing a basis for optimizing the structure of protective diabetic footwear [11]. Malki et al. proposed reducing overall plantar pressure in diabetic patients by combining individualized 3D-printed midsoles with self-adjusting insoles [12]. These studies show that in addition to customized insoles, an appropriate shoe midsole design is crucial to reducing plantar pressure in diabetic patients.
Materials with a negative or zero Poisson ratio, known as auxetic materials, exhibit exceptional characteristics such as energy absorption and dissipation, pressure reduction, fatigue toughness, and fracture resistance [13,14,15]. Compared to diabetic shoes with traditional PU foam heel pads, heel pads with auxetic re-entrant honeycomb structures significantly reduce the peak and average pressures on the heel [16]. Shoe midsoles utilizing mass-tunable auxetic geometry can effectively reduce ground reaction forces compared to traditional midsoles, lowering the risk of foot injuries during intense physical activities [17]. Auxetic midsoles exhibit higher strain energies and greater energy absorption capacities than traditional midsoles, which helps reduce spinal fatigue during walking [18,19]. Using auxetic midsoles during high-demand activities, such as vertical jumping, can reduce the lumbar load and decrease the risk of musculoskeletal injuries [20]. Previous research proposed applying midsoles with auxetic lattice structures in running shoes to enhance shock absorption; make the shoes lightweight, flexible, and body-conforming; and provide greater tensile strength [21]. Despite existing research recognizing the superior physical properties and benefits of auxetic structures in shoe midsoles, more exploration and validation are needed regarding their application in protecting plantar soft tissue and preventing plantar-related diseases. Therefore, the novelty of this study lies in its verification of the capacity of auxetic lattice midsoles to adapt to foot morphology and their effectiveness in optimizing the plantar pressure distribution through plantar pressure measurements and finite element analysis. This study also analyzed the feasibility of using auxetic midsoles to prevent diabetic foot ulcers or aid in their treatment. Moreover, this research employed a different auxetic lattice structure than those used in similar studies for midsole applications, providing a new reference paradigm for designing pressure-relieving footwear products.
This study aimed to investigate the effect of proposed shoe midsoles with auxetic lattice structures on pressure-relieving performance. By constructing finite element models (FEMs), this research simulated the load distribution and deformation at the footwear–foot interface. Existing studies have shown that aerobic exercises such as walking and running can significantly benefit the health and physical conditions of diabetic patients [22]. Aerobic exercise helps improve a patient’s body weight, body mass index, and fasting plasma glucose levels [23]. In addition, aerobic exercise can also alleviate vascular endothelium-dependent dysfunction in pre-diabetic individuals [24]. Under moderate and safe plantar loading conditions, aerobic exercise (running) positively impacts key parameters indicative of the progression of type 1 and type 2 diabetes, including lowering glucose and glycated hemoglobin levels, improving lipid metabolism, reducing inflammation, increasing insulin sensitivity, and enhancing pancreatic β-cell function [25]. Therefore, exercise prescriptions that include aerobic exercises such as walking and running are recommended for patients with diabetes [26]. In light of the health benefits of aerobic activities for patients with diabetes, this study explored the pressure-relieving capabilities of designed shoe midsoles under two different states of aerobic activity. Additionally, to validate the results of the FEA simulation, this research employed an in-shoe pressure measurement system for actual experiments under the same conditions. This study proposes the development of new footwear offloading technologies based on the application of auxetic designs in shoe midsoles, offering a novel and feasible solution to modify the plantar pressure distribution and prevent plantar ulcers in the early stages of diabetes.
2. Research Methods
2.1. Midsole Design Based on Re-Entrant Hexagonal Lattice Structure
The orthotropic re-entrant hexagonal lattice structure is one of the typical forms of auxetic structures. Its fundamental characteristics [27,28] continue to be explored for applications in various fields [29]. For this study, a midsole design using the re-entrant hexagonal lattice structure was adopted to compare the impact of the internal angles of the lattice cells on the pressure-relieving capacity of a midsole, and lattice cells were designed with three different internal angles (60°, 75°, and 90°). Structures with internal angles of 90° or above do not possess auxetic properties. Therefore, in the experiments, midsoles with re-entrant structures at internal angles of 60° and 75° were denoted as A60 and A75, respectively. The non-auxetic midsole with an internal angle of 90° was marked as N90. Figure 1 shows each lattice cell’s three-dimensional structure and geometric characteristics, with the rib thickness of each unit being 2.4 mm and the height being 12 mm. The lattice cells within the three-dimensional space of a midsole were uniformly arranged, with each midsole aligned longitudinally as two lattice cells. Despite the design challenges, this study attempted to maintain a consistent volume of lattice material in the three midsoles (Table 1), keeping the ratio of the material volume similar to reduce the impact of relative density on the mechanical performances of the midsoles. The lattice-structured shoe midsoles were constructed from thermoplastic polyurethane (TPU) that could be produced via 3D printing. According to the DIN EN ISO 10993-5 [30] and 10993-10 standards [31], TPU also meets the requirements for medical devices regarding cytotoxicity and skin sensitization. Three-dimensional models of the shoe midsoles were constructed using the Rhino 7® and Grasshopper® 3.5 programs.
Figure 1.
Comparison of design features of three types of lattice-structured shoe midsoles: differences in internal angles (A–C) and geometric characteristics of each unit cell (D–F).
Table 1.
The material volumes of the lattice structures in the shoe midsoles and the ratios of the total midsole volumes.
These lattice midsoles were fabricated using Fused Deposition Modeling (FDM) 3D printing technology. This study used a UP300 3D printer from Tiertime (Beijing, China) for sample printing, with the pre-designed midsole models imported via the accompanying UP Studio software (version 3.1.2). The nozzle displacement accuracy of the device was 2, 2, and 0.5 microns on the x, y, and z axes, respectively, and the printing precision reached 0.1 mm. The layer thickness was set to 0.2 mm, and the infill density was set to the maximum during printing. All samples were printed using TPU material (95A) provided by Tiertime. The material cost for printing a single TPU lattice midsole was approximately 15 United States dollars, but the FDM printing process was time-consuming, taking about 50 h to print one midsole. As 3D printing technology advances, printing times and costs are expected to decrease [32], facilitating the application of auxetic lattice designs in footwear products.
2.2. Foot Model Construction and Gait Measurement
This study utilized a three-dimensional foot model to simulate the actual conditions of the foot–shoe interaction during motion. This foot model was derived from a 3D scan of the left foot of a male (EU size 42), 175 cm in height, using an eFoot 350 medical 3D foot scanner (Stereo3D Technology, Shenzhen, China) with a scanning accuracy of 0.5 mm. Additionally, a skeletal model corresponding to the foot size was embedded within the foot model to produce the most realistic foot characteristics.
An optical motion capture system (NOKOV Mars 9H, Beijing, China) was employed to collect foot motion data and the body’s center-of-mass coordinates under walking and running conditions. Markers for motion capture were attached to the heel, toe, both sides of the ankle, calf, thigh, abdomen, and buttocks. The body’s center of mass, commonly used in biomechanics and movement balance studies, is located 40% of the distance from the abdomen to the buttocks [33]. Measurement required the participant to be barefoot and wear special trousers for marker tracking to collect the most accurate foot motion trajectories. The participant was also instructed to hold their arms up during data collection to prevent arm movements from obstructing camera detection during motion. The optical motion capture system used in this study had a resolution of 9 million pixels and a frequency of 300 Hz. This study imported the gait data into an FEM to simulate the stress and strain conditions of the foot–footwear interface during walking and running.
Figure 2D shows that the amplitude of motion in the direction perpendicular to the ground (y-axis) was comparable across the walking and running states. However, compared to running, the walking state exhibited a more significant period in the waveform, indicating more gradual changes. This suggests that the speed of motion in the direction perpendicular to the ground is lower during walking.
Figure 2.
Motion capture setup for measuring gait data: (A) walking state, (B) running state, (C) measurement preparation, (D) results of gait data measurement.
2.3. Mechanical Characterization and FE Modeling
This study used a universal testing machine (Inspekt Table Blue 5KN, Hegewald & Peschke, Dresden, Germany) to obtain the tensile and compression set properties of the 3D-printed TPU material. The testing referenced the ASTM D638 standard method [34] for testing the tensile properties of plastics and used dog bone-shaped samples with nominal dimensions of 33 mm (L) × 6 mm (W) × 3.2 mm (T) for the tensile test. The ASTM D395 standard method [35] for testing rubber properties in compression was also referenced, utilizing standard test specimens that were 13 mm in diameter and 6 mm thick. This study inputted the testing results into ABAQUS FEA software (Dassault, France, version 2021) to simulate compression.
The FEM was configured as a combination of five components, including the soft tissues and bones of the foot, insole, midsole, and ground. The placement of each component in the FEM is illustrated in Figure 3B. A researcher converted all components to the STEP format and imported them into ABAQUS FEA software (Dassault, France, version 2021). ABAQUS processed the 3D models by meshing them into grids with a finite number of ‘elements’ with the mesh size set to 2 mm. The TPU models were based on the Yeoh formulation [36] as a hyperelastic constitutive model:
where W is the strain energy; I1, I2, and I3 are the principal invariants; and J is the Jacobian. The result from the tensile test was fitted to the third-order deformation model, and the strain energy function of the simplified Yeoh model was stated as follows:
Figure 3.
The FEM for simulating the foot–footwear interface (A,B) and the actual placement of the 3D-printed shoe midsoles (C).
Table 2 displays each part’s material properties and element types within the FE model. Uniaxial test data of TPU material samples allowed the characterization of hyperelastic material properties. They were imported into the ABAQUS FEA software (version 2021) to set the material properties of the shoe midsole section. Based on the calculation of the uniaxial test data of the TPU material samples using MatEditor software (a material editor software program for engineers, version 2019), the coefficients of the hyperelastic material for the shoe midsoles are shown in Table 3. The ground part employed rigid body constraint, fixing six degrees of freedom for translation and rotation. A tie constraint was used between the foot and the insole. Frictional contact with a coefficient of friction of 0.2 was applied between the shoe midsole and the floor. The displacement in the FE foot model originated from the displacement data acquired through motion capture testing. The node coordinates measured by motion capture were updated every 10 ms, where the displacement in the y-axis direction at the ankle measurement point was loaded onto the ankle coordinates of the FE foot model. The simulation loaded a mass point of 69.8 kg into the FE model at the human center-of-mass coordinates obtained from motion capture testing and added a global gravitational acceleration of 9800 mm/s2. The FE model assumed a rigid link between the center of mass and the ankle. Based on this setup, the plantar pressure distributions and deformation characteristics of the lattices in the shoe midsoles were simulated and predicted while walking and running.
Table 2.
Material properties and element types of different parts of the FE model.
Table 3.
The coefficients of the hyperelastic material for the shoe midsoles.
2.4. Wear Trial of Proposed Midsoles
To verify the validity of the finite element simulation results through comparison, this study employed a Pedar-X in-shoe pressure measurement system (Novel Co., Munich, Germany) to assess the plantar pressure conditions while wearing the shoe midsoles. The pressure measurement system adopted an insole shape with 99 embedded pressure sensors, offering a pressure range of 15–1200 kPa. The Pedar insoles were EU sizes 42/43 with a thickness of 1.9 mm. Due to the incomplete design of the shoes in this study, to avoid accidental injuries to diabetic patients during testing, the plantar pressure measurement experiment recruited 20 healthy adults. Participants that were 20–23 years of age, with a shoe size of EU 42, weighing 68.2–72.5 kg, with heights ranging from 166.3 to 173.7 cm were recruited for the pressure measurement experiment. Before the pressure measurements began, the participants were asked to familiarize themselves with a walking speed of 1.1 m/s and a running speed of 2.8 m/s on a treadmill. After getting accustomed to the walking and running speeds, the participants wore shoe covers with integrated 3D-printed midsoles and walked 12 m and jogged 20 m on a flat, straight path, with plantar pressure measurements taken for each activity. A pre-test was conducted before the experiment to calibrate the sensors and signals of the plantar pressure testing equipment. These distances were sufficient to record gait cycles and obtain the biomechanical parameters needed for this study. The printed midsoles underwent 60 short-term walking and running tests each without showing any damage or irreversible deformation. This indicates that the printed midsole samples have pressure resistance; however, their durability has yet to be verified through long-term experiments. Informed consent was obtained from all subjects participating in the experiments and measurements related to this study.
3. Results
3.1. Tensile and Compression Tests
The strength and deformation capability of a midsole material are critical factors in midsole performance since deformation under compression allows a midsole to adapt organically to the shape of a foot, resulting in a more uniform distribution of plantar pressure. The natural stress–strain curve of the TPU material applied to the 3D-printed midsoles, as shown in Figure 4, indicates a high degree of non-linearity and hyperelastic material characteristics, making it an ideal elastic material.
Figure 4.
(A) Tensile properties: stress and strain of TPU material. (B) Compression properties: stress and strain of TPU material.
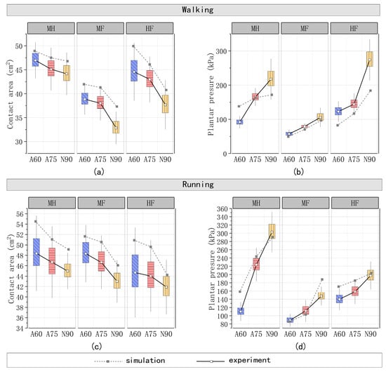
3.2. Comparison of Results between FE Simulation and Experimental Measurements
This research compared the mean experimental results from 20 samples with finite element (FE) simulation outcomes to validate the efficacy of the FE model [38]. Figure 5A presents the plantar pressure distributions obtained from the plantar pressure measurements. Based on the average values shown in Table 4 and Table 5, Figure 6 displays the experimental results using a box plot and compares the means of peak plantar pressure obtained experimentally (solid line) with those from the FE simulation (dotted line). As the results revealed a diminished pressure distribution in the toe region, a comparison was conducted based on biomechanical parameters (peak pressure and contact area) within the metatarsal head (MH), midfoot (MF), and hindfoot (HF) regions of the sole of the foot (Figure 5B).
Figure 5.
Distributions of peak plantar pressures under different states of motion while wearing different shoe midsoles (A) and schematic of plantar regions (B).
Table 4.
Peak plantar pressures in different plantar regions under different states of motion (data from in-shoe pressure measurement system, unit: kPa).
Table 5.
Contact areas in different plantar regions under different states of motion (data from in-shoe pressure measurement system, unit: cm2).
Figure 6.
Comparison of results between FE simulation and experimental measurements in four different situations: (a) contact area—walking, (b) plantar pressure—walking, (c) contact area—running, (d) plantar pressure—running while using different shoe midsoles: A60 (blue), A75 (red) and N90 (yellow).
According to the results from the experimental measurements and the FE simulation, the comparison of the peak pressure values and foot–insole contact areas across different plantar regions confirmed a high level of similarity between the pressure system experiment and the FE simulation results (Figure 6). This study controlled the external conditions, including the participants’ shoe size, weight, and height, to minimize their impact on the experimental outcomes. Differences between the experimental and FE simulation results could be attributed to variations in the softness and hardness of foot tissues between the simulated foot model and the actual foot tissues [16]. Additionally, there are histomorphological differences between diabetic and non-diabetic patients, with increased stiffness in plantar tissues leading to a decreased ability to dissipate applied pressure [40] and an increase in peak plantar pressure [41]. These differences also may have contributed to discrepancies between the pressure test results and the finite element simulation results. However, comparing the mechanical performances of the midsoles in both experiments showed consistency, ultimately allowing this study to rely on the finite element analysis results.
3.3. Plantar Pressure Distribution
Plantar pressure distribution is a crucial indicator of shoe fit, where a comfortable shoe should distribute body weight as evenly as possible across the entire plantar area [42]. The viscoelastic properties of the midsoles made from the TPU material revealed stress distribution on the plantar foot surface in contact with the shoe insole during downward displacement. This facilitated the assessment of plantar pressure for different types of midsoles during different activities. The FEA results demonstrated the distribution of peak plantar pressure while walking and running with the A60, A75, and N90 midsoles (Figure 7a). Figure 7 shows that the plantar pressure was predominantly concentrated in the MH and HF regions, which are the most common areas for ulceration in diabetic foot patients [43].
Figure 7.
Distribution of peak plantar pressure (a) and comparison of peak pressures between different regions of the plantar foot surface (b,c).
In both the walking and running scenarios, the peak pressure values across various regions of the foot were generally lower when wearing the midsoles with auxetic structures than when wearing the N90 midsole (Figure 7b,c). Under walking conditions, compared to the non-auxetic 90° midsole, the auxetic sample A75 reduced the peak pressures in the MH, MF, and HF regions of the foot by approximately 5.13%, 27.13%, and 36.48%, respectively; the auxetic sample A60, with the smallest internal angle, achieved reductions of about 19.68%, 48.93%, and 55.25%. Considering the impact of the internal angle, the peak pressures in the MH, MF, and HF regions of the foot were reduced by 15.34%, 29.92%, and 29.55%, respectively, for A60 compared to A75. During running, compared to the N90 midsole, the auxetic sample A75 showed reductions of approximately 16.2%, 18.62%, and 9% in the MH, MF, and HF regions, respectively; the sample with the smaller internal angle (A60) exhibited reductions of approximately 45.49%, 54.39%, and 16.19%, respectively.
3.4. Midsole Deformation and Plantar Contact Area
Table 6 presents the maximal displacement values resulting from the deformation of each midsole across the different plantar regions under various movement states based on the results of the FE simulation. In identical movement states, the maximal displacement of the A60 midsole across the different plantar regions exceeded those of both A75 and N90, indicating that the midsole with an auxetic 60° lattice structure had the highest degree of deformation and the lowest stiffness.
Table 6.
Maximal displacement in various regions of the midsoles according to the FEA results (mm).
As indicated in Table 7, the areas of plantar contact with the auxetic midsoles (A60 and A75) were significantly larger than that of the non-auxetic one (N90). A60, in particular, showed the largest contact area. In the walking state, the contact areas in the MH, MF, and HF regions for A60 were approximately 2.97%, 1.60%, and 8.33% larger than those for A75 and 4.60%, 12.46%, and 22.49% larger than those for N90, respectively. In the running state, the contact areas in the MH, MF, and HF regions for A60 were, respectively, about 6.76%, 2.14%, and 2.56% larger than those for A75 and 10.95%, 12.09%, and 15.08% larger than those for N90.
Table 7.
Contact areas in various plantar regions according to FEA results (cm2).
A comparison of the maximal displacement and the plantar contact areas across the various plantar regions also revealed that the higher deformation of the midsoles with auxetic lattice structures correlated with larger plantar contact areas (Figure 8). Therefore, the auxetic midsoles, particularly A60, demonstrated higher plantar conformity compared to the non-auxetic midsole.
Figure 8.
Comparison of maximal displacement and contact area in each region of shoe midsoles: (a) walking state, (b) running state.
4. Discussion
4.1. Effects of Auxetic Structural Design on Plantar Pressure Distribution
These research findings corroborate the characteristic ability of auxetic lattice structures to reduce peak contact pressures and achieve optimized pressure distributions [16,44,45], particularly in the application of ergonomics-related therapeutic auxiliary devices [46]. Under ideal simulation conditions, wearing the A60 midsole kept the peak plantar pressures below 200 kPa [47], achieving effective pressure relief. A60 provides design references for 3D-printed footwear, especially those emphasizing motion protection and cushioning, for creating daily exercise shoes suitable for diabetes patients. However, the midsoles used for FEA in the present study require refinement of several details. The overall design of the midsole should be thinner at the front and thicker at the back to accommodate the trajectory of the plantar pressure center moving from the heel toward the forefoot. The presence of imprints from orthogonal beams in areas of higher plantar pressure in Figure 7a suggests that the lattice beams on the upper surface of the midsole should be widened to increase the support area. However, this does not affect the achievement of this study’s objectives. Current research on diabetic shoes primarily focuses on custom insole designs for pressure relief. This study’s A60 midsole, without the need for customization, similarly reduces plantar pressures by 19.68–55.25% and 16.19–54.39% in walking and running conditions, respectively, compared to the non-auxetic N90 midsoles. The auxetic A60 midsole provides pressure relief comparable to that achieved with custom diabetic insoles [47,48], suggesting that auxetic midsoles may have a self-adaptive quality. However, this does not imply that auxetic lattice midsoles can completely replace custom insoles, as custom insoles may offer higher conformity to the plantar foot shape, potentially enhancing subjective comfort for the wearer [49,50]. Therefore, future research must explore the combined offloading effects of auxetic lattice midsoles and custom insoles.
4.2. Effects of Auxetic Structural Design on Midsole Deformation and Plantar Contact Area
When compressing auxetic lattice-structured midsoles, pressure is converted into displacement and deformation of the lattice, thereby reducing plantar stress. The auxetic 60° lattice structure allows for more significant elastic deformation of the midsole under the same load conditions, which can reduce foot deformation and plantar pressure. This is consistent with findings from existing research on auxetic structures. Auxetic materials can conform to curved surfaces, such as surfaces of the human body, through the formation of synclastic curvatures [51]. Increases in the plantar contact area are associated with less load per unit in each plantar region [52,53]. The deformation of the auxetic lattice structure in the shoe midsole may increase the plantar contact area, thereby reducing the peak pressures in various plantar regions.
Figure 9 illustrates the differences in the lattice structures at the center of pressure in the HF region for the A60 and N90 midsoles. The midsole of the A60 shoe features a honeycomb structure with re-entrant elastic rods that exhibit varying degrees of bending, with the inner rods bending more significantly than the outer rods. This variance in bending results in the tilting of the bridging beam. Consequently, the shoe’s tensile structure is better able to conform to the curved surface of the sole, thereby generating a larger contact area. Unlike the auxetic lattice with re-entrant units, the rods of the non-auxetic 90° structure are not V-shaped, which imparts additional rigidity to the structure. Consequently, the non-auxetic 90° structure deforms less under the same load, resulting in a smaller contact area between the plantar foot surface and the insole than with the V-shaped configuration.
Figure 9.
Differences in the lattice structures of the pressure centers in the (a) A60 shoe midsole and (b) N90 shoe midsole.
The A60 midsole, with its superior compliance with the plantar foot surface and better redistribution of plantar stress, is a testament to the potential of scientific research. Its exceptional plantar pressure reduction and conformity characteristics make it a valuable tool for preventing pressure ulcers in diabetic patients during physical activities. Moreover, this lattice structure has applications in specialized footwear such as military boots designed for prolonged walking [54,55], protective shoes for the aged [56], and therapeutic shoes for alleviating chronic metatarsalgia [57,58]. With the advancement of parametric design and additive manufacturing, 3D printing technology is not just a tool but a game-changer. It enables the production of midsoles that meet diverse individual needs based on the design of filled two-dimensional or three-dimensional patterns. Traditional manufacturing typically involves cutting and shaping from larger material blocks, resulting in considerable scrap. Unlike traditional manufacturing methods, 3D printing’s high precision significantly reduces material waste and improves the stability of the sole structure [59]. Thus, applying 3D printing technology and utilizing auxetic lattice structures to recover or maintain foot health represent a scientific design concept that aligns with green manufacturing, significantly contributing to sustainability.
5. Conclusions
This study investigated the feasibility of utilizing auxetic structures in shoe midsoles fabricated via 3D printing technology to reduce plantar pressure in diabetic patients. The outcomes from plantar pressure testing systems and FEA indicate that in both walking and running scenarios, auxetic midsoles exhibit superior pressure reduction and conformability characteristics compared to non-auxetic midsoles, with the auxetic 60° configuration displaying the most effective plantar pressure reduction. Thus, this study suggests that the auxetic midsole (A60) could potentially mitigate plantar pressure loads and reduce ulceration risk in diabetic patients. However, long-term empirical experiments are necessary for further validation and to offer more insights into applying auxetic structures in footwear design. Furthermore, future research will investigate the efficacy of therapeutic shoes that combine customized insoles with auxetic midsoles to address diabetic foot issues.
Author Contributions
Conceptualization, J.Z. and Y.L.; Methodology, J.Z. and Y.L.; Software, J.Z., Y.W., X.Y. and W.F.; Validation, Y.L., Y.W., X.Y. and W.F.; Formal analysis, J.Z. and W.F.; Investigation, Y.L. and W.F.; Resources, Y.W. and X.Y.; Data curation, Y.W. and W.F.; Writing—original draft, J.Z. and Y.L.; Writing—review & editing, S.L. and J.Z.; Visualization, X.Y. and W.F.; Supervision, S.L. and J.Z.; Project administration, S.L. and J.Z.; Funding acquisition, S.L. and J.Z. All authors have read and agreed to the published version of the manuscript.
Funding
This research is funded by 2022 Educational Science Planning Project (grant number: 2022GXJK184).
Institutional Review Board Statement
The study was conducted in accordance with the Declaration of Helsinki, and approved by the Scientific Research Management Department at Guangdong University of Technology.
Informed Consent Statement
Informed consent was obtained from all subjects involved in the study.
Data Availability Statement
The raw data supporting the conclusions of this article will be made available by the authors on request.
Acknowledgments
The authors gratefully acknowledge the support related to material analysis techniques and 3D printing equipment provided by the Instrumental Analysis Center and the Experimental Center of the School of Art and Design at Guangdong University of Technology.
Conflicts of Interest
The authors declare that they have no known competing financial interests or personal relationships that could appear to have influenced the work reported in this paper.
References
- Guariguata, L.; Whiting, D.R.; Hambleton, I.; Beagley, J.; Linnenkamp, U.; Shaw, J.E. Global Estimates of Diabetes Prevalence for 2013 and Projections for 2035. Diabetes Res. Clin. Pract. 2014, 103, 137–149. [Google Scholar] [CrossRef]
- Nawoczenski, D.A.; Birke, J.A.; Graham, S.L.; Koziatek, E. The Neuropathic Foot—A Management Scheme: A Case Report. Phys. Ther. 1989, 69, 287–291. [Google Scholar] [CrossRef]
- Waaijman, R.; De Haart, M.; Arts, M.L.; Wever, D.; Verlouw, A.J.; Nollet, F.; Bus, S.A. Risk Factors for Plantar Foot Ulcer Recurrence in Neuropathic Diabetic Patients. Diabetes Care 2014, 37, 1697–1705. [Google Scholar] [CrossRef]
- Niu, J.; Liu, J.; Zheng, Y.; Ran, L.; Chang, Z. Are Arch-Conforming Insoles a Good Fit for Diabetic Foot? Insole Customized Design by Using Finite Element Analysis. Hum. Factors Ergon. Manuf. Serv. Ind. 2020, 30, 303–310. [Google Scholar] [CrossRef]
- Janisse, D.; Janisse, E. Pedorthic Management of the Diabetic Foot. Prosthet. Orthot. Int. 2015, 39, 40–47. [Google Scholar] [CrossRef]
- Janisse, D.J. A Scientific Approach to Insole Design for the Diabetic Foot. Foot 1993, 3, 105–108. [Google Scholar] [CrossRef]
- Lavery, L.A.; LaFontaine, J.; Higgins, K.R.; Lanctot, D.R.; Constantinides, G. Shear-Reducing Insoles to Prevent Foot Ulceration in High-Risk Diabetic Patients. Adv. Ski. Wound Care 2012, 25, 519–524. [Google Scholar] [CrossRef]
- Chen, W.-P.; Ju, C.-W.; Tang, F.-T. Effects of Total Contact Insoles on the Plantar Stress Redistribution: A Finite Element Analysis. Clin. Biomech. 2003, 18, S17–S24. [Google Scholar] [CrossRef]
- Actis, R.L.; Ventura, L.B.; Lott, D.J.; Smith, K.E.; Commean, P.K.; Hastings, M.K.; Mueller, M.J. Multi-Plug Insole Design to Reduce Peak Plantar Pressure on the Diabetic Foot during Walking. Med. Biol. Eng. Comput. 2008, 46, 363–371. [Google Scholar] [CrossRef]
- Zolfagharian, A.; Lakhi, M.; Ranjbar, S.; Bodaghi, M. Custom Shoe Sole Design and Modeling toward 3D Printing. Int. J. Bioprinting 2021, 7, 396. [Google Scholar] [CrossRef]
- Cao, Z.; Wang, F.; Li, X.; Li, M.; He, Y.; Zhang, Y.; Yang, T.; Liu, G.; Zhang, J. Plantar Pressure at Different Phases during Gait Cycle in Diabetic Patients and Midsole Structure Design. Chin. J. Tissue Eng. Res. 2023, 27, 2005. [Google Scholar]
- Malki, A.; Badaya, M.B.; Dekker, R.; Verkerke, G.; Hijmans, J. Effects of Individually Optimized Rocker Midsoles and Self-Adjusting Insoles on Plantar Pressure in Persons with Diabetes Mellitus and Loss of Protective Sensation. Diabetes Res. Clin. Pract. 2024, 207, 111077. [Google Scholar] [CrossRef]
- Prawoto, Y. Seeing Auxetic Materials from the Mechanics Point of View: A Structural Review on the Negative Poisson’s Ratio. Comput. Mater. Sci. 2012, 58, 140–153. [Google Scholar] [CrossRef]
- Zhang, Y.; Sun, L.; Ren, X.; Zhang, X.Y.; Tao, Z.; Xie, Y.M. Design and Analysis of an Auxetic Metamaterial with Tuneable Stiffness. Compos. Struct. 2022, 281, 114997. [Google Scholar] [CrossRef]
- Dong, Z.; Li, Y.; Zhao, T.; Wu, W.; Xiao, D.; Liang, J. Experimental and Numerical Studies on the Compressive Mechanical Properties of the Metallic Auxetic Reentrant Honeycomb. Mater. Des. 2019, 182, 108036. [Google Scholar] [CrossRef]
- Leung, M.S.-H.; Yick, K.-L.; Sun, Y.; Chow, L.; Ng, S.-P. 3D Printed Auxetic Heel Pads for Patients with Diabetic Mellitus. Comput. Biol. Med. 2022, 146, 105582. [Google Scholar] [CrossRef]
- Ford, R.R.; Misra, M.; Mohanty, A.K.; Brandon, S.C. Effect of Simulated Mass-Tunable Auxetic Midsole on Vertical Ground Reaction Force. J. Biomech. Eng. 2022, 144, 111007. [Google Scholar] [CrossRef]
- Nourani, A.; Daei, M.D.; Honarmand, M. Comparison of Energy Absorption in Conventional and Auxetic Shoes: Gait Analysis and Finite Element Modeling. J. Des. Against Fatigue 2023, 1. [Google Scholar] [CrossRef]
- Honarvar, S.; Nourani, A.; Yarandi, A.; Ghehi, F.F. Three-Dimensional Finite Element Modeling of the Shoe Sole to Investigate the Impact of Various Geometries on Foot Heel Stresses and Energy Absorption. In Proceedings of the 2022 29th National and 7th International Iranian Conference on Biomedical Engineering (ICBME), Tehran, Iran, 21–22 December 2022; IEEE: Piscataway, NJ, USA, 2022; pp. 340–345. [Google Scholar]
- Dehaghani, M.R.; Nourani, A.; Arjmand, N. Effects of Auxetic Shoe on Lumbar Spine Kinematics and Kinetics during Gait and Drop Vertical Jump by a Combined in Vivo and Modeling Investigation. Sci. Rep. 2022, 12, 18326. [Google Scholar] [CrossRef]
- Emerson, R.; Rhee, J. Analyzing Auxetic Cellular Structures for Personal Protective Gear Designs. In Proceedings of the International Textile and Apparel Association Annual Conference Proceedings, Long Beach, CA, USA, 20–23 November 2024; Iowa State University Digital Press: Ames, IA, USA, 2024. [Google Scholar]
- Cannata, F.; Vadalà, G.; Russo, F.; Papalia, R.; Napoli, N.; Pozzilli, P. Beneficial Effects of Physical Activity in Diabetic Patients. J. Funct. Morphol. Kinesiol. 2020, 5, 70. [Google Scholar] [CrossRef]
- Asuako, B.; Moses, M.O.; Eghan, B.A.; Sarpong, P.A. Fasting Plasma Glucose and Lipid Profiles of Diabetic Patients Improve with Aerobic Exercise Training. Ghana Med. J. 2017, 51, 120–127. [Google Scholar] [CrossRef]
- Wang, S.; Li, J.; Zhang, C.; Xu, G.; Tang, Z.; Zhang, Z.; Liu, Y.; Wang, Z. Effects of Aerobic Exercise on the Expressions and Activities of Nitric Oxide Synthases in the Blood Vessel Endothelium in Prediabetes Mellitus. Exp. Ther. Med. 2019, 17, 4205–4212. [Google Scholar] [CrossRef]
- Podvigina, T.; Yarushkina, N.; Filaretova, L. Effects of Running on the Development of Diabetes and Diabetes-Induced Complications. J. Evol. Biochem. Physiol. 2022, 58, 174–192. [Google Scholar] [CrossRef]
- Hordern, M.D.; Dunstan, D.W.; Prins, J.B.; Baker, M.K.; Singh, M.A.F.; Coombes, J.S. Exercise Prescription for Patients with Type 2 Diabetes and Pre-Diabetes: A Position Statement from Exercise and Sport Science Australia. J. Sci. Med. Sport 2012, 15, 25–31. [Google Scholar] [CrossRef]
- Evans, K.E.; Nkansah, M.; Hutchinson, I. Auxetic Foams: Modelling Negative Poisson’s Ratios. Acta Metall. Et Mater. 1994, 42, 1289–1294. [Google Scholar] [CrossRef]
- Rad, M.S.; Hatami, H.; Ahmad, Z.; Yasuri, A.K. Analytical Solution and Finite Element Approach to the Dense Re-Entrant Unit Cells of Auxetic Structures. Acta Mech. 2019, 230, 2171–2185. [Google Scholar] [CrossRef]
- Ren, X.; Das, R.; Tran, P.; Ngo, T.D.; Xie, Y.M. Auxetic Metamaterials and Structures: A Review. Smart Mater. Struct. 2018, 27, 023001. [Google Scholar] [CrossRef]
- ISO 10993-5:2009; Biological Evaluation of Medical Devices—Part 5: Tests for in Vitro Cytotoxicity. Beuth Verlag GmbH: Berlin, Germany, 2009.
- ISO 10993-10:2010; Biological Evaluation of Medical Devices—Part 10: Tests for Irritation and Skin Sensitization. ISO: Geneva, Switzerland, 2010.
- Kumar, R.; Kumar, S. Trending Applications of 3D Printing: A Study. Asian J. Eng. Appl. Technol. 2020, 9, 1–12. [Google Scholar] [CrossRef]
- Erdman, W. Center of Mass of the Human Body Helps in Analysis of Balance and Movement. MOJ Appl. Bionics Biomech. 2018, 2, 144–148. [Google Scholar]
- ASTM Standard D638-14; Standard Test Method for Tensile Properties of Plastics. ASTM International: West Conshohocken, PA, USA, 2014.
- ASTM D395-03; Standard Test Methods for Rubber Property-Compression Set. ASTM International: West Conshohocken, PA, USA, 2003.
- Liao, C.J.; Lu, H.; Chang, X.; Sun, H.; Fan, S.Q.; Wu, H. Mechanical Properties of Silicone Elastomer Seals for Space Docking Vehicles. In Proceedings of the IOP Conference Series: Materials Science and Engineering, Bangkok, Thailand, 22–24 March 2018; IOP Publishing: Bristol, UK, 2018; p. 012010. [Google Scholar]
- Taha, Z.; Norman, M.S.; Omar, S.F.S.; Suwarganda, E.J.P.E. A Finite Element Analysis of a Human Foot Model to Simulate Neutral Standing on Ground. Procedia Eng. 2016, 147, 240–245. [Google Scholar] [CrossRef]
- Li, Y.; Leong, K.F.; Gu, Y. Technology Construction and Finite Element Analysis of a Coupled Finite Element Model of Foot and Barefoot Running Footwear. Proc. Inst. Mech. Eng. Part P J. Sports Eng. Technol. 2019, 233, 101–109. [Google Scholar]
- Landgraf, R.; Oelsch, E.; Steiniger, V.; Ihlemann, J.J.P. Experiments, Hyperelastic Modeling and Finite Element Simulation of 3d-Printed Thermoplastic Polyurethane. PAMM 2021, 21, e202100229. [Google Scholar] [CrossRef]
- Wang, Y.-N.; Lee, K.; Ledoux, W.R. Histomorphological Evaluation of Diabetic and Non-Diabetic Plantar Soft Tissue. Foot Ankle Int. 2011, 32, 802–810. [Google Scholar] [CrossRef]
- Gnanasundaram, S.; Ramalingam, P.; Das, B.N.; Viswanathan, V. Gait Changes in Persons with Diabetes: Early Risk Marker for Diabetic Foot Ulcer. Foot Ankle Surg. 2020, 26, 163–168. [Google Scholar] [CrossRef]
- Witana, C.P.; Goonetilleke, R.S.; Au, E.Y.L.; Xiong, S.; Lu, X. Footbed Shapes for Enhanced Footwear Comfort. Ergonomics 2009, 52, 617–628. [Google Scholar] [CrossRef]
- Mueller, M.J.; Sinacore, D.R.; Hoogstrate, S.; Daly, L. Hip and Ankle Walking Strategies: Effect on Peak Plantar Pressures and Implications for Neuropathic Ulceration. Arch. Phys. Med. Rehabil. 1994, 75, 1196–1200. [Google Scholar] [CrossRef]
- Jasińska, D.; Janus-MIchalska, M.G.; Smardzewski, J. A Study on the Design of Auxetic Structure of Seat Skeleton. Mech. Control 2012, 31, 72–76. [Google Scholar] [CrossRef]
- Yang, C.; Vora, H.D.; Chang, Y. Structures Behavior of Auxetic Structures under Compression and Impact Forces. Smart Mater. 2018, 27, 025012. [Google Scholar] [CrossRef]
- Lvov, V.A.; Senatov, F.S.; Veveris, A.A.; Skrybykina, V.A.; Díaz Lantada, A.J.M. Auxetic Metamaterials for Biomedical Devices: Current Situation, Main Challenges, and Research Trends. Materials 2022, 15, 1439. [Google Scholar] [CrossRef]
- Zwaferink, J.B.; Custers, W.; Paardekooper, I.; Berendsen, H.A.; Bus, S.A. Optimizing Footwear for the Diabetic Foot: Data-Driven Custom-Made Footwear Concepts and Their Effect on Pressure Relief to Prevent Diabetic Foot Ulceration. PLoS ONE 2020, 15, e0224010. [Google Scholar] [CrossRef]
- Bus, S.A.; Haspels, R.; Busch-Westbroek, T.E. Evaluation and Optimization of Therapeutic Footwear for Neuropathic Diabetic Foot Patients Using in-Shoe Plantar Pressure Analysis. Diabetes Care 2011, 34, 1595–1600. [Google Scholar] [CrossRef]
- Puszczalowska-Lizis, E.; Koziol, K.; Omorczyk, J. Perception of Footwear Comfort and Its Relationship with the Foot Structure among Youngest-Old Women and Men. PeerJ 2021, 9, e12385. [Google Scholar] [CrossRef]
- Lam, Y.N.; Yick, K.L.; Ng, S.P.; Leung, D.M.; Yeung, K.L. Plantar Pressure Distribution and Perceived Comfort with Elevated Heel Heights during Standing and Walking. In Proceedings of the 7th Textile Bioengineering and Informatics Symposium, TBIS 2014, in Conjunction with the 5th Asian Protective Clothing Conference (APCC 2014), Hong Kong, China, 6–8 August 2014; Binary Information Press: Norwalk, CT, USA, 2014; pp. 722–728. [Google Scholar]
- Wallbanks, M.; Khan, M.F.; Bodaghi, M.; Triantaphyllou, A.; Serjouei, A.J.S.M. Structures On the Design Workflow of Auxetic Metamaterials for Structural Applications. Smart Mater. Struct. 2021, 31, 023002. [Google Scholar] [CrossRef]
- Tawk, C.; Mutlu, R.; Alici, G. A 3D Printed Modular Soft Gripper Integrated with Metamaterials for Conformal Grasping. Front. Robot. AI 2022, 8, 799230. [Google Scholar] [CrossRef]
- Fernández-Seguín, L.M.; Mancha, J.A.D.; Rodríguez, R.S.; Martínez, E.E.; Martín, B.G.; Ortega, J.R. Comparison of Plantar Pressures and Contact Area between Normal and Cavus Foot. Gait Posture 2014, 39, 789–792. [Google Scholar] [CrossRef]
- Lange, J.; Maiwald, C.; Mayer, T.; Schwanitz, S.; Odenwald, S.; Milani, T. Relationship between Plantar Pressure and Perceived Comfort in Military Boots. Footwear Sci. 2009, 1, 30–32. [Google Scholar] [CrossRef]
- Shirvani, H.; Ghasemi, M.H.; Shamsoddini, A.; Barati, K. Immediate Effects of Using Insoles with Various Wedges on Plantar Pressure Measurements and Comfort Level during Marching. 2021. Available online: https://www.researchsquare.com/article/rs-258589/v1 (accessed on 13 June 2024).
- James, K.; Orkaby, A.R.; Schwartz, A.W. Foot Examination for Older Adults. Am. J. Med. 2021, 134, 30–35. [Google Scholar] [CrossRef]
- Hackney, J.M.; Hunt, G.C.; Lerche, F.F.; Voi, P.; Smith, J.W. Orthotics An External Shoe Modification for Reducing Metatarsal Head Pressure in People with Metatarsalgia. J. Prosthet. Orthot. 2010, 22, 37–42. [Google Scholar] [CrossRef]
- Koenraadt, K.L.; Stolwijk, N.M.; van den Wildenberg, D.; Duysens, J.; Keijsers, N.L. Effect of a Metatarsal Pad on the Forefoot During Gait. J. Am. Podiatr. Med. Assoc. 2012, 102, 18–24. [Google Scholar]
- Cui, T. Disruption in Digital Fabrication: Exploring Fdm 3D Printing and 3D Cad for a Wearable Apparel Product; Auburn University: Auburn, AL, USA, 2019. [Google Scholar]
Disclaimer/Publisher’s Note: The statements, opinions and data contained in all publications are solely those of the individual author(s) and contributor(s) and not of MDPI and/or the editor(s). MDPI and/or the editor(s) disclaim responsibility for any injury to people or property resulting from any ideas, methods, instructions or products referred to in the content. |
© 2024 by the authors. Licensee MDPI, Basel, Switzerland. This article is an open access article distributed under the terms and conditions of the Creative Commons Attribution (CC BY) license (https://creativecommons.org/licenses/by/4.0/).





