Abstract
Explainable artificial intelligence (XAI) models with Shapley additive explanation (SHAP) values allows multidimensional representation of movement performance interpreted on both global and local levels in terms understandable to human intuition. We aimed to evaluate the swimming performance (World Aquatics points) predictability of a combination of demographic, training, anthropometric, and biomechanical variables (inputs) through XAI. Forty-seven swimmers (16 males), after completing a training questionnaire (background and duration) and anthropometric assessment, performed, in a randomised order, a 25 m front crawl and three countermovement jumps, at maximal intensity. The predicted World Aquatics points (516 ± 159; mean ± SD) were highly correlated (r2 = 0.93) with the 529 ± 158 actual values. The duration of swimming training was the most important variable (95_SHAP), followed by the countermovement jump impulse (37_SHAP), both with a positive effect on performance. In contrast, a higher percentage of fat mass (21_SHAP) corresponded to lower World Aquatics points. Impulse, when interpreted together with dryland training duration and stroke rate, shows the positive effects of upper and lower limb power on swimming performance. Height should be interpreted together with arm span when exploring positive effects of anthropometric traits on swimming performance. The XAI modelling highlights the usefulness of specific training, technical and physical testing, and anthropometric factors for monitoring swimmers.
1. Introduction
Artificial neural networks can be employed to form a simplified model of the brain cells’ cooperation in performing a desired function in human movement based on recognition and patterns classification. This type of network uses a series of non-linear interconnected mathematical equations to calculate an output variable (e.g., swimming performance) based on independent input variables [,,]. These models can be used for different tasks (e.g., classification, data noise reduction, and prediction []), with interpretation and translation important for implementation in practical settings. Artificial neural network complexity and difficulty in understanding the interaction between input variables (the so-called “black box” effect []), for example the hidden layers where computations performed on the input data extract increasingly abstract features and patterns, have limited applications in sports performance prediction, particularly in swimming [,]. However, deep learning models have been used for assessing key movement points and swimming techniques [,]. Studies that used these models in swimming prediction typically combined them with correlation and/or regression analysis for data interpretation [,,], potentially limiting the accuracy of the artificial neural networks.
Nevertheless, swimming performance prediction using simpler models (e.g., linear and non-linear regression) remains commonplace given their easy-to-interpret results [,]. However, their lack of generalisation power and the likelihood of substantial prediction errors in the interactions between the inputs should be considered. In this context, the explainable AI (XAI) has begun to be implemented. XAI is a branch of artificial intelligence dedicated to developing models that can offer clear and interpretable explanations for their predictions and decisions [,]. Among the most widely used techniques in this field, SHapley Additive exPlanations (SHAP) and Local Interpretable Model-Agnostic Explanations (LIME) stand out for human performance modelling; however, the latter only present local (individual) explanations []. SHAP values are based on cooperative game theory and offer a measure of feature importance with both local and global accuracy [,]. Other XAI approaches can be found in the literature, with their usefulness dependent on the objective and type of AI used [].
Artificial neural network interpretation can be as simple as the outputs obtained from correlations and regressions models in combination with the SHAP due to their additive interpretation [,,]. SHAP values are a useful visualisation tool that make a deep machine learning model explainable and interpretable by visualizing its output in terms understandable to human intuition [,]. XAI with SHAP values permits more accurate and interpretable predictive models (presenting lower error than traditional statistical methods), with better generalisation and representation of non-linear system behaviours like human athletic performance [,,,,]. This approach has begun to be applied in team-sports-related research [,] but to our knowledge only one technical study has applied the SHAP interpretation method to swimming performance prediction, specifically backstroke-to-breaststroke turn performance by age group [], while another study used SHAP to predict teamwork effects on individual effort expenditure in swimming relays [].
Given the multifactorial nature of swimming performance, and that a predicting model should be as practical as possible [], the input data selection should be derived from the literature (biomechanical, physiological, psychological, genetical, and contextual [,]) and integrate data easy to collect and apply in the training context [,]. Since the variables that influence swimming performance are not independent of the underlying subjects [,,,], the predictive models should be able to separate taxonomically homogenous groups, like swimmers of different performance levels.
The XAI approach with SHAP, given its straightforward interpretation on both global and local levels, will introduce new methods for interpreting commonly used variables in the training and monitoring of swimmers [,]. This modelling allows us to test theoretical foundations on how specific variables interact and impact swimming performance using a multidimensional approach, analysing all variables simultaneously to explore their contributions and impacts without bias by not forcing linear or non-linear relationships [,]. With its practical component, XAI should be helpful for coaches and swimmers to understand how their daily training information and simple tests can be linked to changes in performance.
Therefore, using a three-hidden-layers deep artificial neural network model with SHAP values, the aim of the current study was to assess the explanatory accuracy and relationship strength of age, training background (years of practice) and duration (hours per week), anthropometry, countermovement jump, and general biomechanical-related variables (stroke rate and length) on swimming performance. We hypothesised that when XAI models are employed, simpler and more training-specific evaluations should be capable of explaining variations in competitive swimming performance with high accuracy. We also hypothesised that the XAI model could be applied separately for elite and non-elite swimming groups.
2. Materials and Methods
Forty-seven swimmers (males, n = 16, age 16.6 ± 1.2 y; females, n = 31, 15.2 ± 1.8 y) voluntarily participated in the current study. The total sample was divided into 17 elite/sub-elite (5 male) and 30 national/regional level (11 male) swimmers with 718 ± 41 and 423 ± 84 World Aquatics (WA) points, respectively. The elite/sub-elite and national/regional swimmers were classified as level 3 and 4, respectively []. All swimmers were healthy (without serious injuries or illnesses in the last six months) and familiar with the testing experiments and apparatus. Swimmers provided individual consent for participation after being told the purpose, procedures, benefits, and risks of the study, in accordance with the local research ethics committee (CEFADE 28 2019), the Declaration of Helsinki, and the guidelines of the World Medical Association for research on humans.
2.1. Experimental Design
Using an observational cross-sectional study design, after a brief training background questionnaire and conducting an anthropometric characterisation, the experimental protocol was applied in a randomised order (with 2 h between evaluations; Figure 1). After a 1000 m low-to-moderate intensity warm-up in a 27 °C-water-temperature and 1.90 m-deep 25 m indoor swimming pool, swimmers performed a maximal 25 m front crawl. An acoustic signal was used for in-water starts and time measured using a manual stopwatch (S141, Seiko, Tokyo, Japan). The 25 m was performed with a controlled push-off, and without an underwater phase to reduce the effect of pushing on the free swim velocity. The swimmers also performed three countermovement jumps on a portable force platform (OR6-WP, AMTI, Watertown, NY, USA) with 30 s rest in between. Each jump was initiated while standing on the platform with the lower limbs extended and hands on hips for weight calibration. Then, the lower limbs were flexed to 90° and explosively extended in a coordinated manner aiming for maximum height [], with the ground contact made with the toes first.

Figure 1.
Representation of the swimmers’ experimental evaluations.
2.2. Data Collection
The swimrankings.net database was used to assess each swimmer’s best competitive swimming performance (WA points; output) and performance level (regional, national, or elite), based on the events closest to the experimental protocol (Figure 2). Swimming and dryland training duration (h spend in each type of training) were assessed by a short questionnaire administered to both the swimmers and coaches. The anthropometric data were recorded to the nearest 0.1 cm or kg and obtained in duplicate. Body mass and fat mass were assessed using a bio-impedance scale (InBody 720; InBody, CA, USA), height measured using a stadiometer (Holtain Ltd., Crymych, UK), arm span with an anthropometer, and hand length using a sliding calliper (Sibe-Hegner, GPM, Zurich, Switzerland).

Figure 2.
Distribution of swimming events used to assess competitive swimmers’ performance based on World Aquatics points (model output).
During the 25 m front crawl, stroke rate was determined manually (using a Seiko stopwatch with a base 3 frequency meter function), and stroke length was calculated by dividing the mean velocity by stroke rate [,]. From the force-velocity, -time, and -acceleration traces using a custom-made MATLAB routine (MATLAB R2023a, MathWorks, Natick, MA, USA [,]) were computed the countermovement-jump-related variables, particularly the flight time and impulse.
2.3. Statistical Analysis
A sample size of 47 participants was deemed adequate based on a 0.95 statistical power (β), a 0.50 large effect size, and a 5% level of significance (G*Power 3.1.9.7, Heinrich-Heine-Universität Düsseldorf, Düsseldorf, Germany). The post hoc (correlation: bivariate normal model) power analysis showed that correlations between the variables selected and WA points presented a statistical power from 0.93 to 1.00. Normality of distribution and variance homogeneity were confirmed using Shapiro–Wilk and Levene tests, respectively, and descriptive analysis (mean and standard deviation) were obtained for all variables (IBM® Corp, Armonk, NY, USA, SPSS® Statistics 27.0.1.0). Student’s t-test for independent samples with effect size estimation [] was used for comparing swimmers (separated by sex) from elite and non-elite groups. Pearson correlation coefficients (controlled for sex) and 95% confidence intervals were calculated between age, training background and duration, anthropometry, countermovement jump, and general biomechanical-related variables and WA Points.
After inferential procedures, we developed a predictive deep artificial neural network model to assess the relationship between the dependent variables and WA points. The model structure was developed in Python (version 3.9.2) using the TensorFlow© library (v2.10.0, Google). A total of 16 variables were included in the input layer, 1000 neurons in each of the three hidden layers (hyperbolic tangent, sigmoid, and linear rectified activation functions), and one variable in the output layer (WA points; Figure 3).

Figure 3.
Artificial neural network model structure: 16 variables in the input layer, hyperbolic tangent (Tanh), sigmoid and linear rectified activation (ReLu) functions corresponding to the three hidden layers with 1000 neurons each and World Aquatics points in the output layer.
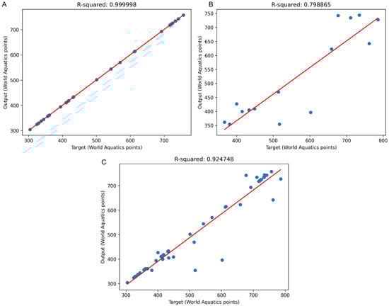
The sample was then divided randomly into data sets for the model training (70%) and testing (30%), and the seed identifier (SID) was saved to ensure model reproducibility and consistency. The current model training used the root mean square propagation adaptive learning algorithm with a loss function based on the mean square error and a learning rate of 0.001 []. A limit of 200,000 epochs was established for training (since computational power was not an issue), and to avoid overtraining, the information of the best weight configuration (by monitoring the root mean square error) was stored by a checkpoint function []. The final model reached a root mean square error of 0.0001 after 25,640 epochs. The model training, test, and total sample sets were measured through linear regressions and correspondent coefficients of determination between targets (predicted) and output (real) values (see Figure 4; predictive validity), and interpretation of the model performed by computing Shapley additive explanations values through the SHAP model (v0.041.0) for Python [].

Figure 4.
Linear regressions and corresponding coefficients of determination between targets (real World Aquatics points) and output (estimated World Aquatics points) values in training, testing, and total sample sets (panels A, B, and C, respectively).
3. Results
The age, training background and duration, anthropometry, countermovement jump, general biomechanical variables, and swimming performance for both performance groups are presented in Table 1. The elite swimmers were older than the non-elite, but only elite female swimmers had a greater training background. The elite swimmers also presented higher swimming and dryland training durations, but the training ratio of 90 to 10% (for swimming and dryland, respectively) was similar between the two groups.

Table 1.
Comparison of elite and non-elite swimmers’ age, training background and duration, anthropometry, swimming performance, countermovement jump, and swimming biomechanics.
Correlational analysis showed that all the assessed variables had moderate to high direct relationships with swimming performance (r > 0.4), except the inverse relationship for fat mass (negative r), and the trivial correlations for body mass and body mass index (r < 0.3; see Table 2). In addition, when the correlations were computed for the elite and non-elite level groups separately, none of the variables in the elite group correlated positively with swimming performance, and in the non-elite group only swimming training and arm span showed direct relationships with performance (r = 0.630, p < 0.001 and r = 0.453, p = 0.014, respectively).

Table 2.
Relationships between swimming performance and age, training background, anthropometry, countermovement jump, stroke rate, and stroke length.
The artificial neural network model predicted average scores of 515 ± 161, 519 ± 155, and 516 ± 159 WA points (based on the coefficients of determination; see Figure 4), while the true average scores were 515 ± 161, 560 ± 145, and 529 ± 158 WA points for the training, test, and all sets, respectively (cf. Figure 4). In Figure 5, the relative importance of each variable to swimming performance (global impact on the model) is presented, where the hours of swimming training appear as the most important variable, followed by the countermovement jump impulse and fat mass percentage (95, 37, and 21 Shapley additive explanation values, respectively). In contrast, stroke length, flight time, and waist-to-hip ratio only showed marginal global impacts in explaining the swimming performance, but were important for the model construction (0.24, 0.03, and 0.02 Shapley additive explanation values, respectively).

Figure 5.
Hierarchical average global impact on swimming performance model expressed by Shapley additive explanation (SHAP) values.
The directions (positive or negative) of the variables’ impact on swimming performance are presented in Figure 6. Swimming training and impulse contributed positively to swimming performance, where more hours of swimming training and impulse were associated with higher WA points. In contrast, fat mass contributed negatively to swimming performance. In Figure 7, the importance of variables (global impact on the models) was altered when the model was exposed only to elite or non-elite swimmers separately. The impulse went to the first place of importance in both groups’ models, and swimming training duration went to the eighth and seventh place in elite and non-elite groups, respectively. In the elite group, the duration of dryland training presented a larger global impact, capable of better explaining the changes in competitive swimming performance than the swimming training duration.

Figure 6.
Beeswarm plot illustrating the impact of each of the 16 input variables values on model output, ordered by feature importance. The colour bar on the right is used to interpret the direction of the relationship between an individual variable and competitive swimming performance, with red (highest values) indicating the direction. When the red colour appears on both the positive and negative sides of the graphic (e.g., stroke rate), it indicates that the local impact of the variable is not unidirectional, acting as a cooperative variable. Shapley additive explanations, SHAP.

Figure 7.
Hierarchical average global impact on swimming performance models for elite and non-elite (A and B bar graphs, respectively) expressed by Shapley additive explanation (SHAP) values.
4. Discussion
We investigated relationships between swimming performance and a set of demographic measures, training background and duration, anthropometry and easily applicable training tests in swimmers. We employed an XAI model with SHAP values to interpret the importance of these relationships. The model interpretation showed that the swimming training duration, lower-body impulse from the countermovement jump, and fat mass were the principal variables explaining differences in swimming performance. However, when exploring separately the cohorts of elite or non-elite swimmers, the differences in swimming performance were principally related to impulse generated during the countermovement jump.
The utility of the employed XAI approach permits simple physical tests and swimming training background to predict/explain differences in swimming performance. Artificial neural networks do not force the variables into a linear or non-linear relationship and are multidimensional, with the benefit of reducing the possibility of misinterpreting how that variable interacts with the outcome [,]. On this basis, neural networks are an attractive alternative to statistical methods for computing quantitative measurements of confidence and correlation [,]. Moreover, when regressions are used, the input variables are deemed independent of each other, which may not always be the case in real-life settings. This shortcoming of regression analysis can increase the error of estimation and diminish the strength of the relationships and interpretations. In contrast, an artificial neural network works in an unsupervised and unbiased way [], getting closer to the real-world context.
The selection of the variables included in predictive models normally depends on the determinant factors of the underlying event. In swimming, the selection should follow the concepts of kinematic, kinetic, and energetic performance determinants (e.g., [,,]) and studies detailing predictive models (e.g., [,,]). However, even variables that present contradictory results in the literature, given the inevitable heterogeneity in methodologies and subjects, should also be explored using artificial models []. If a variable needs to be removed from a model, it will be identified by the high predictive error during the model training. The redundant information problem is easily solved by the model that uses that information to control the model, instead of diminishing its predictive capability.
Machine learning approaches have been proposed as a beneficial approach to modelling and interpreting human (athletic) performances [,,]. In our results, the duration of swimming training, a simple characteristic easily measured and understood by coaches and swimmers, was the highest contributor to swimming performance when both competitive levels were analysed together. The XAI model showed that the second most important variable was lower-body countermovement jump impulse, which only presented the fifth highest correlation value. Height of the swimmer presents a positive correlation but, in the model, had a negative effect on swimming performance, showing that this measure should be combined with other anthropometric variables, particularly arm span and hand length, in seeking a mechanical advantage.
Individual linear correlation analysis must be used with caution when interpreting the relations of the variables included in the neural network to avoid contentious interpretations [], eliminating the main quality of the artificial intelligence of not forcing one type of relationship between the input and output, and missing the local explanations provide by XAI approaches such as SHAP values [,,]. The contrast between the correlation approach and XAI allowed for testing theoretical foundations on how specific variables interact and impact swimming performance using a multidimensional approach without bias []. This comparison highlighted the novel contributions that can be discovered when applying such explainable deep learning methods.
Our results support the widely held but untested assertion that the time swimmers have in contact with the water environment is fundamental to achieving better performances []. The importance of an extensive period of training is widely acknowledged [], as it improves the responses to underlying swimming constraints []. Our elite and non-elite swimmers completed more swimming training []—though of a similar kind []—than previous studies. Importantly, training duration is different from volume, where numerous hours of swimming training can be associated with high volumes [] or with high intensities with increased resting periods [].
The impulse (power test) appeared as the second most important variable, while stroke rate is a useful explanatory variable (with a mainly positive effect) useful to interpret the higher swimmer’s training durations as also higher intensity and quality work. The two tests where the impulse and stroke rate were computed are related with explosive and high-intensity training, while low-intensity training can also elicit reductions in stroke rate [,] and have a negative effect on performance. Even with similar distribution of the swimming and dryland training durations, the elite group completed almost twice the number of total hours of training, exemplifying the dedication of the elite group to swimming practice. The ratio of dryland/swimming training (10%) was substantially higher than in a previous study (0.2% []), mainly explained by the different methodologies used.
The impulse’s positive effect on swimming performance, with a dispersion parallel to the range of WA points (see Figure 6), showed that the lower limb power capability is important. This result can reopen an old discussion of the role (balance of swimming technique) and importance of lower limbs to the overall swimming velocity (possibly more than the 10% previously identified []). Our results are in line with other data indicating the importance of lower limb strength and power in dryland capability to apply force in-water [,]. Moreover, the lower limb actions’ contribution to the force production in front crawl (~31% []) and velocities performed only using the lower limbs’ actions (from 57–86% of full technique []) justify further explorations using new mathematical approaches.
The countermovement jump is used frequently to train and evaluate lower limb explosive power in swimming [,]. The results of jump testing help to explain why the dryland training duration elicited a positive effect on swimming performance in our model []. Collectively, the results confirm the utility of dryland training in promoting the generation of force in water [] and why dryland training should be part of the daily practice of swimmers [].
Our swimmers present similar anthropometric profiles to previous studies of swimmers of different performance levels [,,]. In swimming, the taller and longer-arm-span swimmers typically have biomechanical advantages [,]. On this basis, our results showing that height presented negative effects on swimming performance were unexpected. In early ages, an anthropometric advantage is related with early maturational development []; however, in adult swimmers the main anthropometric variables (such as height, weight, and body mass index) are less likely to distinguish the higher-performance-level swimmers [,]. Nevertheless, the outcome that arm span presented positive effects on swimming performance conforms with existing data [], and demonstrates that arm span is more important in terms of biomechanical advantage than height. It is important to understand that anthropometry is only one of the determinants that influence swimming performance [], and being tall alone is not sufficient to swim at a high standard. The model highlighted that swimmers need to have an arm span (5.15 SHAP) substantially greater than their height (8 SHAP) to positively impact their swimming performance, and that larger hand lengths can help in providing this effect.
The negative effects of body fat and weight on swimming performance need to be interpreted together, since heavier swimmers normally present higher muscle mass but also body fat [,]. In competitive swimming, elite swimmers typically present lower body fat values than non-elite counterparts [,,], as exemplified in the current results, likely a consequence of a higher level of training and lean mass values. The small but positive effect of hand length is justified by increased propelling surface []. Given that height, arm span, and hand length are largely inherited, and interrelated due to scaling effects [], talent identification processes should be implemented until the swimmers are fully developed. After maturation is completed, changes in these variables are no longer expected, and may not be influenced by the training process. The exception here might be body weight, which is sensitive to strength training and dietary practices.
Power capability in the water is associated with sprint swimming and high stroke rates [], and the 25 m test allows us to determine the highest stroke rates that swimmers are able to perform []. Moreover, swimming velocity can be increased by improving stroke rate, stroke length, or both, and these factors represent a swimmer’s technical ability in water [,]. Elite swimmers exhibit higher stroke lengths than non-elite for the same stroke rates, and higher stroke rates for the same stroke length [,], corroborating the tendency observed for the elite male swimmers of a higher stroke length for similar stroke rate and higher stroke length and rates of the elite female swimmers compared to their counterparts. The front crawl test was chosen as >50% of the swimmers’ training is performed with this technique [], and 80% of this cohort presented their best performance in freestyle events (see Figure 2). However, the unexpected substantial effect of a lack of stroke length on the WA points can be justified by stroke parameters being assessed from a maximal 25 m front crawl test [] (swimmers in this cohort typically specialized in longer distances). Also, these results can be related to the already high importance given to arm span in the model and its high association of achieving higher stroke lengths in front crawl [].
The positive effects of training background together with age on swimming performance were expected, since a constant progression in swimmers’ performance is evident between subsequent Olympic Games and within the pre-Olympic year []. The elite swimmers were older than their non-elite counterparts, and consequently presented a larger training background. When the swimmers reach the junior and senior age groups but not an elite level, they normally have a greater tendency to drop out from competitive swimming, instead of progressing further in competition [].
The duration of swimming training loses most of its performance explanation capability when the model is interpreted for elite and non-elite groups separately. This effect mainly relates to the homogeneous training durations within each performance group. Interestingly, lower-body jump impulse appears as the most important explanatory variable in both groups, highlighting the importance of lower limb power on competitive swimming performance. In the elite group, even the dryland training duration climbed to fifth place, showing that strength training is an important part of competition preparation.
One limitation of the study was that our sample was composed of approximately 35 and 65% elite and non-elite swimmers (respectively), with a large gap in performance between the groups that could have harmed the overall accuracy of the model. Another limitation was that training durations were based only on estimated time spent in each activity/training set, limiting the interpretations particularly of the swimming training content. Future research should include in the model both training intensity and internal and external load metrics and explore the interplay of the presented impacts when including metabolic (e.g., anaerobic threshold and maximal oxygen uptake) and force-velocity-curves-related variables.
5. Conclusions
The artificial neural network model combined with Shapley additive explanation values showed that training background and duration, anthropometry, impulse, and stroke rate are relevant variables that could explain competitive performance in swimmers. Dryland training was more beneficial for achieving higher WA points in the elite group. The lower limb power (expressed by lower-body countermovement jump impulse) is highly important irrespective of the level of the swimmer. A test battery of countermovement jumps and anthropometric measures is simple to use in the field, which increases the practical relevance of our study protocol. When analysed in separate performance level groups, our model can be used to generalise the interpretation of non-elite swimmers, given a relatively heterogeneous distribution of performances within this group and predominance of this competitive level on the model training. The application of this XAI approach can assist swimming coaches, scientists, and researchers interested in identifying, developing, and applying new strategies to improve swimmers’ performance.
Author Contributions
Conceptualisation, D.D.C., M.F.G. and R.J.F.; methodology, D.D.C., M.F.G., J.P.V.-B. and R.J.F.; formal analysis, D.D.C., M.F.G. and D.B.P.; investigation, D.D.C., M.F.G., J.P.V.-B. and R.J.F.; resources, A.J.S., J.P.V.-B. and R.J.F.; data curation, D.D.C. and M.F.G.; writing—original draft preparation, D.D.C., M.F.G. and D.B.P.; writing—review and editing, D.D.C., M.F.G., A.J.S., D.B.P., J.P.V.-B. and R.J.F.; visualisation, D.D.C., M.F.G., D.B.P. and R.J.F.; supervision, D.D.C., M.F.G., A.J.S., D.B.P., J.P.V.-B. and R.J.F.; project administration D.D.C., A.J.S., J.P.V.-B. and R.J.F. All authors have read and agreed to the published version of the manuscript.
Funding
This research was supported by national funding through the Portuguese Foundation for Science and Technology, I.P. (FCT) and the European Union (EU) under Grant Number SFRH/BD/138876/2018 endorsed to the first author and under project/support UIDB/05913/2020—Centre of Research, Education, Innovation and Intervention in Sport (https://doi.org/10.54499/UIDB/05913/2020).
Institutional Review Board Statement
This investigation was conducted in accordance with the Declaration of Helsinki and approved by the Ethics Committee of the Faculty of Sport of University of Porto (CEFADE 28 2019).
Informed Consent Statement
Informed consent was obtained from all subjects involved in the study.
Data Availability Statement
The raw data supporting the conclusions of this article will be made available by the authors on request.
Acknowledgments
The authors would like to acknowledge the Portuguese Swimming Federation for the cooperation and the participation of the coaches and swimmers.
Conflicts of Interest
The authors declare no potential conflicts of interest. The funders had no role in the design of the study; in the collection, analyses, or interpretation of data; in the writing of the manuscript; or in the decision to publish the results.
References
- Linder, R.; Mohamed, E.I.; De Lorenzo, A.; Pöppl, S.J. The capabilities of artificial neural networks in body composition research. Acta Diabetol. 2003, 40, S9–S14. [Google Scholar] [CrossRef] [PubMed]
- Chainok, P.; de Jesus, K.; Coelho, L.; Ayala, H.V.H.; de Castro Ribeiro, M.G.; Fernandes, R.J.; Vilas-Boas, J.P. Modeling and predicting the backstroke to breaststroke turns performance in age-group swimmers. Sports Biomech. 2023, 22, 1700–1721. [Google Scholar] [CrossRef]
- Yang, H.L. Application of Multilayer Neural Network in Sports Psychology. Sci. Program. 2022, 2022, 3692428. [Google Scholar] [CrossRef]
- Petrakova, A.; Affenzeller, M.; Merkurjeva, G. Heterogeneous versus homogeneous machine learning ensembles. Inf. Technol. Manag. Sci. 2015, 18, 135–140. [Google Scholar] [CrossRef]
- Zhang, Z.H.; Beck, M.W.; Winkler, D.A.; Huang, B.; Sibanda, W.; Goyal, H.; AME Big-Data Clinical Trial Collaborative Group. Opening the black box of neural networks: Methods for interpreting neural network models in clinical applications. Ann. Transl. Med. 2018, 6, 216. [Google Scholar] [CrossRef] [PubMed]
- Perl, J. Artificial neural networks in sports: New concepts and approaches. Int. J. Perform. Anal. Sport 2001, 1, 106–121. [Google Scholar] [CrossRef]
- Edelmann-Nusser, J.; Hohmann, A.; Henneberg, B. Modeling and prediction of competitive performance in swimming upon neural networks. Eur. J. Sport Sci. 2002, 2, 1–10. [Google Scholar] [CrossRef]
- Xu, B. Optical image enhancement based on convolutional neural networks for key point detection in swimming posture analysis. Opt. Quantum Electron. 2024, 56, 260. [Google Scholar] [CrossRef]
- Hamid, A.H.A.; Othman, Z.; Suhaimi, S. Swimming Style Recognition for Video Sequences Using Deep Learning. In Proceedings of the 2023 International Conference on Electrical Engineering and Informatics (ICEEI), Bandung, Indonesia, 10–11 October 2023; pp. 1–6. [Google Scholar]
- Silva, A.J.; Costa, A.M.; Oliveira, P.M.; Reis, V.M.; Saavedra, J.; Perl, J.; Rouboa, A.; Marinho, D.A. The use of neural network technology to model swimming performance. J. Sport Sci. Med. 2007, 6, 117–125. [Google Scholar]
- Maszczyk, A.; Roczniok, R.; Waskiewicz, Z.; Czuba, M.; Mikolajec, K.; Zajac, A.; Stanula, A. Application of Regression and Neural Models to Predict Competitive Swimming Performance. Percept. Motor Skill 2012, 114, 610–626. [Google Scholar] [CrossRef]
- Carrard, J.; Kloucek, P.; Gojanovic, B. Modelling Training Adaptation in Swimming Using Artificial Neural Network Geometric Optimisation. Sports 2020, 8, 8. [Google Scholar] [CrossRef] [PubMed]
- Morais, J.E.; Silva, A.J.; Marinho, D.A.; Marques, M.C.; Batalha, N.; Barbosa, T.M. Modelling the relationship between biomechanics and performance of young sprinting swimmers. Eur. J. Sport Sci. 2016, 16, 661–668. [Google Scholar] [CrossRef] [PubMed]
- Demarie, S.; Chirico, E.; Galvani, C. Prediction and Analysis of Tokyo Olympic Games Swimming Results: Impact of the COVID-19 Pandemic on Swimmers’ Performance. Int. J. Environ. Res. Public Health 2022, 19, 2110. [Google Scholar] [CrossRef] [PubMed]
- Samek, W.; Montavon, G.; Vedaldi, A.; Hansen, L.K.; Müller, K.-R. (Eds.) Explainable AI: Interpreting, Explaining and Visualizing Deep Learning; Springer: Cham, Switzerland, 2019; Volume 11700. [Google Scholar]
- Markus, A.F.; Kors, J.A.; Rijnbeek, P.R. The role of explainability in creating trustworthy artificial intelligence for health care: A comprehensive survey of the terminology, design choices, and evaluation strategies. J. Biomed. Inform. 2021, 113, 103655. [Google Scholar] [CrossRef] [PubMed]
- Moustakidis, S.; Plakias, S.; Kokkotis, C.; Tsatalas, T.; Tsaopoulos, D. Predicting Football Team Performance with Explainable AI: Leveraging SHAP to Identify Key Team-Level Performance Metrics. Future Internet 2023, 15, 174. [Google Scholar] [CrossRef]
- Linardatos, P.; Papastefanopoulos, V.; Kotsiantis, S. Explainable AI: A Review of Machine Learning Interpretability Methods. Entropy 2021, 23, 18. [Google Scholar] [CrossRef] [PubMed]
- Lundberg, S.M.; Erion, G.; Chen, H.; DeGrave, A.; Prutkin, J.M.; Nair, B.; Katz, R.; Himmelfarb, J.; Bansal, N.; Lee, S.I. From local explanations to global understanding with explainable AI for trees. Nat. Mach. Intell. 2020, 2, 56–67. [Google Scholar] [CrossRef] [PubMed]
- Leite, I.; Goethel, M.; Fonseca, P.; Vilas-Boas, J.P.; Avila-Carvalho, L.; Mochizuki, L.; Conceicao, F. A Hierarchy of Variables That Influence the Force–Velocity Profile of Acrobatic Gymnasts: A Tool Based on Artificial Intelligence. Appl. Sci. 2024, 14, 3191. [Google Scholar] [CrossRef]
- Eisbach, S.; Mai, O.; Hertel, G. Combining theoretical modelling and machine learning approaches: The case of teamwork effects on individual effort expenditure. New Ideas Psychol. 2024, 73, 101077. [Google Scholar] [CrossRef]
- Garnica-Caparrós, M.; Memmert, D. Understanding gender differences in professional European football through machine learning interpretability and match actions data. Sci. Rep. 2021, 11, 10805. [Google Scholar] [CrossRef]
- Barbosa, T.M.; Bragada, J.A.; Reis, V.M.; Marinho, D.A.; Carvalho, C.; Silva, A.J. Energetics and biomechanics as determining factors of swimming performance: Updating the state of the art. J. Sci. Med. Sport 2010, 13, 262–269. [Google Scholar] [CrossRef] [PubMed]
- Morais, J.E.; Barbosa, T.M.; Gomeñuka, N.A.; Marinho, D.A. Effects of anthropometrics, thrust, and drag on stroke kinematics and 100 m performance of young swimmers using path-analysis modeling. Scand. J. Med. Sci. Sports 2024, 34, e14578. [Google Scholar] [CrossRef] [PubMed]
- Post, A.K.; Koning, R.H.; Visscher, C.; Elferink-Gemser, M.T. The importance of reflection and evaluation processes in daily training sessions for progression toward elite level swimming performance. Psychol. Sport Exerc. 2022, 61, 102219. [Google Scholar] [CrossRef]
- Carvalho, D.D.; Monteiro, A.S.; Fonseca, P.; Silva, A.J.; Vilas-Boas, J.P.; Pyne, D.B.; Fernandes, R.J. Swimming sprint performance depends on upper/lower limbs strength and swimmers level. J. Sport Sci. 2023, 41, 747–757. [Google Scholar] [CrossRef] [PubMed]
- West, D.J.; Owen, N.J.; Cunningham, D.J.; Cook, C.J.; Kilduff, L.P. Strength and Power Predictors of Swimming Starts in International Sprint Swimmers. J. Strength Cond. Res. 2011, 25, 950–955. [Google Scholar] [CrossRef] [PubMed]
- Ruiz-Navarro, J.J.; López-Belmonte, Ó.; Gay, A.; Cuenca-Fernández, F.; Arellano, R. A new model of performance classification to standardize the research results in swimming. Eur. J. Sport Sci. 2023, 23, 478–488. [Google Scholar] [CrossRef] [PubMed]
- Linthorne, N.P. Analysis of standing vertical jumps using a force platform. Am. J. Phys. 2001, 69, 1198–1204. [Google Scholar] [CrossRef]
- Carvalho, D.D.; Soares, S.; Zacca, R.; Sousa, J.; Marinho, D.A.; Silva, A.J.; Vilas-Boas, J.P.; Fernandes, R.J. Anaerobic Threshold Biophysical Characterisation of the Four Swimming Techniques. Int. J. Sports Med. 2020, 41, 318–327. [Google Scholar] [CrossRef] [PubMed]
- Rago, V.; Brito, J.; Figueiredo, P.; Carvalho, T.; Fernandes, T.; Fonseca, P.; Rebelo, A. Countermovement Jump Analysis Using Different Portable Devices: Implications for Field Testing. Sports 2018, 6, 91. [Google Scholar] [CrossRef]
- Cohen, J. Statistical Power Analysis for the Behavioral Sciences, 2nd ed.; Routledge: New York, NY, USA, 1988. [Google Scholar]
- Di Prampero, P.E.; Pendergast, D.; Wilson, D.; Rennie, D. Energetics of swimming in man. J. Appl. Physiol. 1974, 37, 1–5. [Google Scholar] [CrossRef]
- Figueiredo, P.; Pendergast, D.R.; Vilas-Boas, J.P.; Fernandes, R.J. Interplay of Biomechanical, Energetic, Coordinative, and Muscular Factors in a 200 m Front Crawl Swim. Biomed. Res. Int. 2013, 2013, 897232. [Google Scholar] [CrossRef] [PubMed]
- Morais, J.; Barbosa, T.; Bragada, J.; Ramirez-Campillo, R.; Marinho, D. Interaction of Kinematic, Kinetic, and Energetic Predictors of Young Swimmers’ Speed. Int. J. Sports Physiol. Perform. 2023, 18, 833–839. [Google Scholar] [CrossRef] [PubMed]
- Carvalho, D.D.; Soares, S.; Zacca, R.; Marinho, D.A.; Silva, A.J.; Pyne, D.B.; Vilas-Boas, J.P.; Fernandes, R.J. In-Water and On-Land Swimmers’ Symmetry and Force Production. Int. J. Environ. Res. Public Health 2019, 16, 5018. [Google Scholar] [CrossRef] [PubMed]
- Maszczyk, A.; Golas, A.; Pietraszewski, P.; Roczniok, R.; Zajac, A.; Stanula, A. Application of Neural and Regression Models in Sports Results Prediction. Procedia-Soc. Behav. 2014, 117, 482–487. [Google Scholar] [CrossRef]
- Seifert, L.; Chollet, D.; Rouard, A. Swimming constraints and arm coordination. Hum. Movement Sci. 2007, 26, 68–86. [Google Scholar] [CrossRef]
- Nugent, F.J.; Comyns, T.M.; Burrows, E.; Warrington, G.D. Effects of Low-Volume, High-Intensity Training on Performance in Competitive Swimmers: A Systematic Review. J. Strength Cond. Res. 2017, 31, 837–847. [Google Scholar] [CrossRef] [PubMed]
- Toubekis, A.G.; Douda, H.T.; Tokmakidis, S.P. Influence of different rest intervals during active or passive recovery on repeated sprint swimming performance. Eur. J. Appl. Physiol. 2005, 93, 694–700. [Google Scholar] [CrossRef] [PubMed]
- Costill, D.L.; Thomas, R.; Robergs, R.A.; Pascoe, D.; Lambert, C.; Barr, S.; Fink, W.J. Adaptations to swimming training: Influence of training volume. Med. Sci. Sport Exer 1991, 23, 371–377. [Google Scholar] [CrossRef]
- Termin, B.; Pendergast, D.R. Training using the stroke frequency-velocity relationship to combine biomechanical and metabolic paradigms. J. Swim. Res. 2000, 14, 9–17. [Google Scholar]
- Hellard, P.; Avalos, M.; Millet, G.; Lacoste, L.; Barale, F.; Chatard, J.C. Modeling the residual effects and threshold saturation of training: A case study of Olympic swimmers. J. Strength Cond. Res. 2005, 19, 67–75. [Google Scholar] [CrossRef][Green Version]
- Deschodt, V.J.; Arsac, L.M.; Rouard, A.H. Relative contribution of arms and legs in humans to propulsion in 25-m sprint front-crawl swimming. Eur. J. Appl. Physiol. Occup. 1999, 80, 192–199. [Google Scholar] [CrossRef] [PubMed]
- Morouço, P.G.; Marinho, D.A.; Izquierdo, M.; Neiva, H.; Marques, M.C. Relative Contribution of Arms and Legs in 30 s Fully Tethered Front Crawl Swimming. Biomed. Res. Int. 2015, 2015, 563206. [Google Scholar] [CrossRef] [PubMed]
- Bartolomeu, R.F.; Costa, M.J.; Barbosa, T.M. Contribution of limbs’ actions to the four competitive swimming strokes: A nonlinear approach. J. Sport Sci. 2018, 36, 1836–1845. [Google Scholar] [CrossRef] [PubMed]
- Strzala, M.; Stanula, A.; Krezalek, P.; Sadowski, W.; Wilk, R.; Palka, T.; Sokolowski, K.; Radecki-Pawlik, A. Body composition and specific and general strength indices as predictors of 100-m front crawl performance. Acta Bioeng. Biomech. 2020, 22, 51–60. [Google Scholar] [CrossRef] [PubMed]
- Dopsaj, M.; Zuoziene, I.J.; Milic, R.; Cherepov, E.; Erlikh, V.; Masiulis, N.; di Nino, A.; Vodicar, J. Body Composition in International Sprint Swimmers: Are There Any Relations with Performance? Int. J. Environ. Res. Public Health 2020, 17, 9464. [Google Scholar] [CrossRef] [PubMed]
- Morouço, P.; Neiva, H.; González-Badillo, J.J.; Garrido, N.; Marinho, D.A.; Marques, M.C. Associations Between Dry Land Strength and Power Measurements with Swimming Performance in Elite Athletes: A Pilot Study. J. Hum. Kinet. 2011, 29A, 105–112. [Google Scholar] [CrossRef] [PubMed]
- Wirth, K.; Keiner, M.; Fuhrmann, S.; Nimmerichter, A.; Haff, G.G. Strength Training in Swimming. Int. J. Environ. Res. Public Health 2022, 19, 5369. [Google Scholar] [CrossRef] [PubMed]
- Lätt, E.; Jürimäe, J.; Mäestu, J.; Purge, P.; Rämson, R.; Haljaste, K.; Keskinen, K.L.; Rodriguez, F.A.; Jürimäe, T. Physiological, biomechanical and anthropometrical predictors of sprint swimming performance in adolescent swimmers. J. Sport Sci. Med. 2010, 9, 398–404. [Google Scholar]
- Pyne, D.B.; Anderson, M.E.; Hopkins, W.G. Monitoring changes in lean mass of elite male and female swimmers. Int. J. Sports Physiol. Perform. 2006, 1, 14–26. [Google Scholar] [CrossRef]
- Lätt, E.; Jürimäe, J.; Haljaste, K.; Cicchella, A.; Purge, P.; Jürimäe, T. Physical Development and Swimming Performance During Biological Maturation in Young Female Swimmers. Coll. Antropol. 2009, 33, 117–122. [Google Scholar]
- Toussaint, H.M.; Beek, P.J. Biomechanics of Competitive Front Crawl Swimming. Sports Med. 1992, 13, 8–24. [Google Scholar] [CrossRef] [PubMed]
- Ribeiro, J.; Figueiredo, P.; Morais, S.; Alves, F.; Toussaint, H.; Vilas-Boas, J.P.; Fernandes, R.J. Biomechanics, energetics and coordination during extreme swimming intensity: Effect of performance level. J. Sport Sci. 2017, 35, 1614–1621. [Google Scholar] [CrossRef] [PubMed]
- Craig, A.B., Jr.; Pendergast, D.R. Relationships of stroke rate, distance per stroke, and velocity in competitive swimming. Med. Sci. Sports 1979, 11, 278–283. [Google Scholar] [CrossRef] [PubMed]
- Craig, A.B.; Skehan, P.L.; Pawelczyk, J.A.; Boomer, W.L. Velocity, Stroke Rate, and Distance Per Stroke during Elite Swimming Competition. Med. Sci. Sport Exer. 1985, 17, 625–634. [Google Scholar] [CrossRef] [PubMed]
- Hellard, P.; Dekerle, J.; Avalos, M.; Caudal, N.; Knopp, M.; Hausswirth, C. Kinematic measures and stroke rate variability in elite female 200-m swimmers in the four swimming techniques: Athens 2004 Olympic semi-finalists and French National 2004 Championship semi-finalists. J. Sport Sci. 2008, 26, 35–46. [Google Scholar] [CrossRef] [PubMed]
- Stewart, A.M.; Hopkins, W.G. Seasonal training and performance of competitive swimmers. J. Sport Sci. 2000, 18, 873–884. [Google Scholar] [CrossRef] [PubMed]
- Pyne, D.B.; Trewin, C.B.; Hopkins, W.G. Progression and variability of competitive performance of Olympic swimmers. J. Sport Sci. 2004, 22, 613–620. [Google Scholar] [CrossRef]
- Monteiro, D.; Marinho, D.; Moutão, J.; Vitorino, A.; Antunes, R.; Cid, L. Reasons for dropout in swimmers, differences between gender and age and intentions to return to competition. J. Sports Med. Phys. Fit. 2018, 58, 180–192. [Google Scholar] [CrossRef]
Disclaimer/Publisher’s Note: The statements, opinions and data contained in all publications are solely those of the individual author(s) and contributor(s) and not of MDPI and/or the editor(s). MDPI and/or the editor(s) disclaim responsibility for any injury to people or property resulting from any ideas, methods, instructions or products referred to in the content. |
© 2024 by the authors. Licensee MDPI, Basel, Switzerland. This article is an open access article distributed under the terms and conditions of the Creative Commons Attribution (CC BY) license (https://creativecommons.org/licenses/by/4.0/).