Abstract
The aim of this study was to investigate the effects of maleic acid (MA), salicylic acid (SA), and citric acid (CA) on alleviating the drought stress of a lettuce (Lactuca sativa L.) hydroponic culture. The effect of these organic acids was tested under stress conditions induced by polyethene glycol (PEG 6000) at 5% and 7.5% concentrations. Drought stress reduced the fresh and dry matter yields of plants. The acid treatment caused increasing tendencies in the fresh weight yield:control (SA, MA), PEG 7.5% (SA, MA, CA)) and dry weight yield (control (SA, MA), PEG 5% (MA), PEG 7.5% (SA, MA)). The acid treatment also enhanced the nutrient uptake of stressed plants: SA: N (PEG 7.5%), K (PEG 5 and 7.5%); MA: N, P, K, Ca (PEG 5 and 7.5%). This work found that chlorophyll a and b amounts did not change under applied experimental conditions. Most parameters of chlorophyll fluorescence did not depend on either the level of applied water stress (PEG level) or the type of spraying. Drought stress increased leaf superoxide anion (O2•−) and malondialdehyde (MDA) levels but decreased H2O2. Proline (Pro) and phenolic compounds (TFC), including flavonols (Fla), accumulated more in stressed plants. Drought stress also affected the chlorophyll fluorescence. Our results suggest that acids can improve plant tolerance to drought stress by boosting the antioxidant defence system and reducing the oxidative damage caused by reactive oxygen species.
1. Introduction
Drought, among other abiotic stresses, is the most challenging threat to plant growth, yield, and development, which is envisaged to worsen primarily due to human-caused climate changes []. Moreover, the shortfall of drought monitoring systems used to quantify the direct impact of agricultural drought on crop yield has further exposed the vulnerability of global food security [,]. Drought has caused grave impairment in plants’ morphological, biochemical, physiological, and molecular traits []. Therefore, an urgent need is to improve environmentally friendly, time-saving, and cost-effective strategies to mitigate this impact on food availability to feed the ever-increasing human population. Knowledge about the resistance of various crop plants to drought is still limited; although, many studies are being conducted []. For this reason, exogenous application of plant protective osmolytes, like organic acids, has proven to be a better alternative for improving plant tolerance to environmental stresses. It is known that organic acids are present in all plants. Moreover, they play a multifaceted role in plants, including their tolerance to stress more than other acids [], and are pivotal in cellular metabolism []. In addition, these acids are involved in the regulation of pH and have organoleptic properties. The level and type of the organic acids to which they accumulate are variable between species, tissues, and developmental stages. Malate and citrate are frequently the most accumulated in plants []. Natural low-molecular-weight organic acids, a vital group of plant metabolites, such as salicylic acid (SA), citric acid (CA), and malic acid (MA), have a high degradability and low toxicity, making them environmentally friendly []. However, they may confer varied responses among plants when applied exogenously due to the different metabolic pathways. Numerous studies have elaborated on the importance of organic acids in respiration and photosynthesis, nutrient uptake, tricarboxylic acid cycle metabolism [,], and the mitigation of plant abiotic stress []. Citric acid (CA) is a three-carboxylic acid (COOH). Salicylic acid (2-hydroxybenzoic acid), a vital plant hormone, has proven to significantly improve the physiological, yield, and growth parameters of rubber [] and mustard plants [] under drought stress by improving stomatal aperture, photosynthetic functionality, membrane permeability, and the activities of antioxidants. Similar results have been observed in plants under cold stress [] and metal toxicity []. Studies have shown that exudates of malate and citrate in the roots of plants growing in stressed conditions promote the uptake of nutrients by decreasing pH in the soil []. Under drought-stress conditions, the exogenous application of citric acid improved the photosynthetic rate by increasing the volume of chloroplasts in mesophyll cells while malic acid significantly enhanced biomass by accelerating the activities of antioxidants in scavenging reactive oxygen species. However, studies relating to the efficacy of malic acids in drought-stress plants have been relatively scarcely investigated. This study aimed to determine the influence of the exogenous application of three varied organic acids (malic, salicylic and citric) on the response of lettuce plants grown under induced PEG-drought stress. The quality of the plants was evaluated based on several parameters: fresh weight, nutrient content, chlorophyll and carotenoid content, and chlorophyll fluorescence. In addition, the present investigation aimed to study the effects of tested organic acids on oxidative stress (O2•−, H2O2) and antioxidant potential by evaluating ascorbate, phenolic contents, and lipid peroxidation. Drought stress conditions also altered proline levels, which regulate cellular osmotic potential.
2. Materials and Methods
The vegetation experiment was carried out from August to October in a climate chamber at the Poznan University of Life Science, Faculty of Agriculture, Horticulture, and Bioengineering. This study aims to determine the influence of the exogenous application of three chosen organic acids (malic, salicylic, and citric acids) on the response of lettuce plants grown under drought stress.
2.1. Vegetation Experiment
The experiment was conducted in a climate chamber [temp. 17 ± 1 °C; RH 75–80%, LED light: 16 h day/8 h night; LED 150 µmol·m−2·s−1]. Lettuce seeds (Lactuca sativa L. cv. Zeralda; Vilmorin) were individually sown on the 11th of August to standard peat substrate. After two weeks, seedlings in Stage 3–4 leaves were transplanted into a PE box (V 1000 cm3) filled with perlite. Plants were established in a static hydroponic system with a standard nutrient solution with the following chemical composition (in mg·dm−3): N-NH4 < 10, N-NO3 150, P-PO4 50, K 150, Ca 150, Mg 50, Fe 1.50, Mn 0.5, Zn 0.44, Cu 0.03, B 0.01; pH 5.50, EC 1.8 mS cm−1. The experiment was performed in 8 replications (1 plant was a single replication). Lettuce seedlings were subjected to water stress by immersing their root system in the polyethene glycol [PEG 6000] solution at 5% or 7.5% concentrations. The control consisted of only standard solutions without PEG application. The effect of foliar spraying with the following organic acids (0.02% solution) was evaluated: salicylic acid (SA), maleic acid (MA), and citric acid in a 2.0 cm3 dose per plant three times (6th, 14th, and 21st of September). Also, tested plants were sprayed with distilled water and were without foliar spraying (as a control). The scheme for obtaining plant material for estimations has been moved to the attachment (Scheme S1).
2.2. Chlorophyll Fluorescence Measurements
The chlorophyll fluorescence during the vegetation period was measured four times (4 days after each foliar spraying: the 9th, 17th, 24th, and 29th of September). Before the OJIP test measure (including F0, FM, FV, FV/FM, ABS/RC, TR0/RC, ET0/RC, DI0/RC, and PIABS) [], the leaves were dark-adapted for 30 min. The measurements were conducted on all the plants in the experiment using a PAR-FluorPen FP 110D fluorometer (Photon Systems Instruments Company (PSI), Drásov, Czech Republic).
2.3. Biometrical Measurements
The following were determined: the weight of a lettuce head (g) and dry matter content (%).
2.4. Analysis of Macroelements in Plants
Aboveground parts of the plants were collected and dried at 45–50 °C, then ground, and later, directly before the mineralisation procedure, dried at 105 °C for 60 min. Then 1 g of plant material for the determination of N, P, K, Ca, Mg, and Na was mineralised in concentrated sulfuric acid (96% analytically pure; 20 cm3) with a hydrogen peroxide addition (30% analytically pure) []. After that, the following determinations were conducted using the following methods: N-total using the distillation method; P, colourimetrically with ammonium molybdate; and K, Ca, Mg, and Na using flame atomic absorption (FAAS), (Carl Zeiss Jena apparatus; Thornwood, NY, USA). The accuracy of the laboratory procedure tested the LGC7162 reference material (LGC standards), with an average nutrient recovery of 96% (N, P, K, Ca, Mg, Fe, Mn, and Zn).
2.5. Physiological Parameters
2.5.1. Superoxide Anion (O2•−)
The superoxide anion level was estimated by its reaction with nitroblue tetrazolium (NBT, Lab Empire) []. Leaf samples (0.2 g) were treated with 0.01 M potassium phosphate buffer at pH 7.8 with the addition of 0.05% NBT and 10 mM sodium azide (NaN3) and then incubated for 1 h at room temperature. The reference sample was an incubation mixture without leaf extract. After that, 2 mL of extract was heated in a water bath at 80 °C for 15 min. After cooling, the absorbance of the solution was recorded at 580 nm and the O2•− content was calculated in absorbance units (increased absorbance) per gram of fresh weight.
2.5.2. Hydrogen Peroxide (H2O2)
Hydrogen peroxide concentration was assayed using Messner and Boll’s method []. Leaf tissue (0.2 g) was ground in cold potassium phosphate buffer (pH 7.0) containing Polyclar AT. The homogenate was centrifuged at 15,000× g at 4°C for 25 min. The reaction mixture contained 0.15 mL potassium phosphate buffer (pH 7.0), horseradish peroxidase (1 mg/1 mL 100 mM potassium phosphate buffer, 60 units/mg), 0.05 M 2,2’-Azino-bis(3-ethylo-benzothiazoline-6-sulfonic acid) diammonium salt, and analysed extract. Absorbance increase, according to the H2O2 level at 415 nm, was measured after 3 min. The measurements were compared to the standard curve of freshly prepared H2O2 solutions in 100 mM potassium phosphate buffer (pH 7.0), ranging from 0 to 30 nanomolar (nM) concentrations. The H2O2 content was expressed in nmol hydrogen peroxide per gram of fresh weight.
2.5.3. Malondialdehyde (MDA)
The degree of lipid peroxidation was determined according to the method of Heath and Packer [], which involves testing the level of MDA as a lipid peroxidation product using a coloured reaction with thiobarbituric acid (TBA). Samples (0.2 g) were homogenised in 0.1 M P-K buffer (pH 7.0). The supernatant tubes were filled with 0.5% TBA in 20% trichloroacetic acid (TCA) and placed in a boiling water bath. After 30 min, the samples were cooled and centrifuged for 10 min at 12,000× g. The absorbance of the supernatant was measured at 532 nm and 600 nm. The concentration of MDA was calculated from the molar absorption coefficient (155 mM−1·cm−1).
2.5.4. Ascorbic Acid (AsA)
Ascorbic acid content was determined according to the previously described method [], as reported by Costa et al. []. Leaf samples were homogenised in ice-cold 10% (w/v) TCA and centrifuged at 20,000× g. For supernatants, 150 mM NaH2PO4 buffer (pH 7.4) and water were vortex-mixed and incubated at room temperature for 30 s. To each sample, 10% (w/v) TCA, 44% (v/v) H3PO4, 4% (w/v) bipyridyl in 70% (v/v) ethanol, and 3% (w/v) FeCl3 were added and, after vortex-mixing, samples were incubated at 37 °C for 60 min. This assay is based on the reduction of Fe3+ by AsA, followed by a complex formation between Fe2+ and bipyridyl that absorbs at 525 nm. A standard curve of AsA was used for calibration. The results are given in nmol per gram of fresh weight.
2.5.5. Proline (Pro)
Proline content was determined according to Bates [], with some modifications []. The method involves the reaction of proline with ninhydrin in a strongly acidic environment and determining the content of the formed colour complex. Leaf samples (0.2 g) were homogenised with 5% TCA and centrifuged at 5000× g for 15 min. Samples were mixed with the same volume of ninhydrin solution and glacial acetic acid and incubated at 100 °C for 60 min. After cooling, the formed chromophore was extracted with toluene and its absorbance at 520 nm was determined. Its amount was calculated from a previously plotted standard curve and expressed in milligrams per gram of fresh weight.
2.5.6. The Total Phenolic Content (TPC)
The total phenolic content was determined with the Folin–Ciocalteu reagent with some modifications []. A portion of the 0.2 g leaf sample was extracted with 80% methanol and then centrifuged for 30 min at 10,000× g. After that, diluted extracts were mixed with diluted Folin–Ciocalteu phenol reagent (1:1 with water, v:v). The resulting solutions were left to rest for 5 min before being added with 10% sodium carbonate (Na2CO3). The resulting colour absorbance was measured at 660 nm after 20 min of reaction time at room temperature. A calibration curve for different concentrations of coumaric acid was constructed to obtain the phenolic compounds’ concentration data. The total phenolic compounds’ content was expressed in milligrams per gram of fresh weight.
2.5.7. Flavonols (Fla)
Leaf samples (0.2 g) were cut into pieces and homogenised with MeOH:HCl:H2O (90:1:1, v/v/v). Homogenates were stirred and heated (60 °C) for 10 min, cooled at room temperature for 15 min, and centrifuged at 23,000× g for 30 min. Flavonol contents were determined at 254 nm [], calculated using the calibration curve of quercetin [] and expressed in micrograms per gram of fresh weight.
2.5.8. Photosynthetic Pigments
Photosynthetic pigments: chlorophyll a, chlorophyll b, and carotenoids, were estimated according to the method of Hiscox and Israelstam []. Leaf tissue (0.2 g) was cut into pieces, treated with 5 mL dimethyl sulphoxide (DMSO) and incubated for 60 min in a water bath at 65 °C. The absorbance of extracts was measured at 663, 645, and 480 nm. If absorbance values were higher than 0.7, the extract was diluted accordingly. The pigment content was calculated using modified Arnon formulas [] and expressed in micrograms per gram of fresh weight.
Physiological parameters were measured spectrophotometrically (Jasco V-530 UV-VIS).
2.6. Statistical Analysis
Results were subjected to ANOVA statistical analysis and the post hoc Tukey’s test repeated measurements using the STATISTICA 13.3 package (Stat-Soft, Inc. Tulsa, OK, USA). Summaries of the ANOVA results (d.f., F, p-value) for individual parameters determined by PEG level and various kinds of foliar spray are in Supplementary material (Tables S1–S3 and S8–S10). If the F coefficient is greater than 1, we can only check whether the test is statistically significant. Nevertheless, the desired significance level of less than 0.05 is usually achieved only when the F statistic is at least equal to or greater than 2. If the p-value is less than 0.05, we report the result as statistically significant. The results marked with identical letters in rows exhibit no differences at the significance level p = 0.05.
3. Results
3.1. Plant Yielding
Drought stress generally reduced the yield of fresh and dry matter in plants (Table 1). The acid application had a positive effect on fresh weight yield for the control (SA, MA), PEG 7.5% (SA, MA, CA), and also dry matter yield for the control (MA), PEG 5% (MA) and PEG 7.5% (SA, MA). The plant yield depended on the PEG level. In the case of dry matter, plant yield additionally depended on the kind of foliar spray (Table S1).

Table 1.
Effect of the foliar application of salicylic acid (SA), maleic acid (MA), and citric acid (CA) on plant yielding (g·plant−1).
3.2. Nutrient Status
Drought stress changed the chemical composition of plants and nutrient uptake (Table 2). MA application increased N uptake in PEG by 5% and Sa and MA improved the N status of plants in PEG by 7.5%. SA and MA treatments improved the uptake of P for PEG by 5%. All the tested acids positively affected the case plants grown under high PEG stress. A positive effect of spraying plants on uptake was found for K (both for PEG 5% and PEG 7.5% SA, MA). A direct effect of spraying was not found for Ca, Mg, and Na.

Table 2.
Effect of foliar application of salicylic acid (SA), maleic acid (MA), and citric acid (CA) on uptake of elements in aboveground parts of the plant (µg plant−1).
The uptake of most elements depended on the PEG level but did not depend on the kind of foliar spray (Table S2). Only in the case of magnesium, its uptake depended on both the level of applied water stress and the type of spraying. Positive correlations were found between plant yielding, dry mass plant yielding, and all elements [Table S3]. Moreover, the results were statistically significant (p < 0.05).
3.3. Chlorophyll Fluorescence
Foliar treatment modified the photosynthesis activity expressed by chlorophyll fluorescence. Table 3 shows the last term of measurements. Details were shown in Supplementary Materials (Tables S4–S7). Trends of FM changes in plants subjected to higher drought stress (PEG 7.5%) showed a positive effect of acid application on plant response. FV/F0 indicates the efficiency of the primary photochemical reaction—foliar application (especially of acids and water alone) positively affected the tendency of its changes under moderate stress (PEG 5.0%). Changes in PiABSS after MA application for PEG 5.0% positively correlate with the trend of changes in crop yields. Acid application for PEG 7.5% significantly improved the flow of sorbed energy per RC (ABS/RC) while having a positive effect on the flow of retained photons (reducing QA) in PSII per RC (TRo/RC).

Table 3.
Effect of foliar application of salicylic acid (SA), maleic acid (MA), and citric acid (CA) on selected parameters of chlorophyll fluorescence. Values with the same letter do not differ significantly at p 0.05.
Most parameters of chlorophyll fluorescence did not depend on either the level of applied water stress (PEG level) or the type of spraying (Table S8). Only in the case of F0, Fv, and FM did its uptake depend only on the PEG level.
3.4. Physiological Parameters
Leaf superoxide anion (O2•−) and malondialdehyde (MDA) levels increased considerably in plants under various drought stress conditions (5% PEG and 7.5% PEG), compared to the level of H2O2, which insignificantly decreased. Exogenous application of salicylic acid (SA), maleic acid (MA), and citric acid (CA) significantly reduced the superoxide anion and MDA levels in stressed and control plants (Figure 1). In the case of H2O2, acids sprayed on the leaf also reduced its level, but these changes were insignificant. SA was the most effective in reducing all oxidative stress attributes among the acids used.

Figure 1.
Effect of foliar application of salicylic acid (SA), maleic acid (MA), and citric acid (CA) on selected physiological parameters: (A) superoxide anion radical, (B) H2O2, (C) MDA. Values with the same letter do not differ significantly at p 0.05.
The content of superoxide anion and MDA depended on the water stress level (PEG level) and various foliar sprays (Table S9). The superoxide anion and MDA levels of the analysed plant were found to have no significant effect on antioxidants like ascorbate, phenolic compounds, flavonoids, and Chl a and b contents, as evidenced by p-values (Table S10). A positive correlation was found between H2O2 content and ascorbate, proline, phenolic compounds, and flavonoid contents. Moreover, the results were statistically significant (p < 0.05).
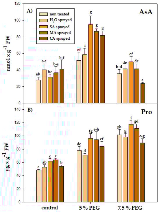
Moreover, a significant increase in the accumulation of proline (Pro) and ascorbic acid (AsA) was also recorded under drought stress. The application of exogenous acids significantly increased the accumulation of both Pro and AsA under stress and control conditions (Figure 2). The osmolyte accumulation (Pro) was higher under the stronger stress (7.5% PEG), in contrast to the AsA level, which was higher under 5% PGE. SA resulted in a greater increase between the three acid treatments than MA and CA. The AsA levels were, respectively, 1.8-fold (SA) and 1.5-fold (MA and CA) higher than in non-treated stress conditions. Positive correlations were found between proline content and all antioxidants (AsA, Phe, Fla, and Car) (Table S10). These results were statistically significant, as evidenced by p < 0.05. The content of Pro and AsA depended on the water stress level (PEG level) and various foliar sprays (Table S9).

Figure 2.
Effect of foliar application of salicylic acid (SA), maleic acid (MA), and citric acid (CA) on selected physiological parameters: (A) ascorbic acid, (B) proline contents. Values with the same letter do not differ significantly at p 0.05.
In addition, stress conditions significantly increased the pool of phenolic compounds (TFC), including flavonols (Fla). The TPC and Fla levels were, respectively, 2.8-fold and 1.5-fold (in 5% PEG) and 4.5-fold and 2.0-fold (in 7.5% PEG) higher (Figure 3). Acid foliar spray significantly increased parameter content under both drought and control conditions. SA was most effective in increasing its contents, whereas CA was the least effective. In the plants sprayed with SA, the level of TPC increased three-fold at 5% PEG and twice at 7.5% PEG. Positive correlations were found between phenolic compounds and flavonol content (Table S10). These results were statistically significant, as evidenced by p < 0.05. Positive correlations were also found between both Phe and Fla and superoxide anion, MDA, and total chlorophyll but were statistically insignificant (p > 0.05). The content of Phe and Fla depended on the water stress level (PEG level) and various foliar sprays (Table S9).

Figure 3.
Effect of foliar application of salicylic acid (SA), maleic acid (MA), and citric acid (CA) on selected physiological parameters: (A) total phenolics, (B) flavonol contents. Values with the same letter do not differ significantly at p 0.05.
The chlorophyll a and b amounts did not change under all the applied experimental conditions (Figure 4). Their levels were insignificant. The total chlorophyll content was found to have no significant effect on the remaining analysed parameters, as evidenced by p-values (Table S10). The decrease in carotenoid levels was recorded under drought stress while applying exogenous acids, which significantly increased the accumulation. The content of carotenoids depended on the water stress level (PEG level) and various foliar sprays (Table S9). Opposite to Chl a + b, the correlation between carotenoids and all analysed parameters (except H2O2) was found.

Figure 4.
Effect of foliar application of salicylic acid (SA), maleic acid (MA), and citric acid (CA) on selected physiological parameters: (A) total chlorophyll, (B) carotenoid contents. Values with the same letter do not differ significantly at p 0.05.
4. Discussion
4.1. Plant Yielding
In the conducted studies, drought stress reduced plant yield. An effective method of improving the yields was the application of SA and MA (for Control with an optimal water regime) and SA, MA, and CA (for PEG 7.5%). Dry matter yielding indicates the efficiency of photosynthesis—acid application had a positive effect on dry matter yielding for the control (SA, MA), PEG 5% (MA), and PEG 7.5% (SA, MA).
One more significant component of plant physical control is water use proficiency, which is the proportion of the dry matter accumulated to the volume of water used. Effective wheat cultivars have higher water use productivity in drought situations []. The improved water use proficiency is basically due to the accumulation of dry matter by using a lower volume of water due to the closing of the stomata and decreased transpiration rate []. A reduced water use proficiency was seen in potatoes (Solanum tuberosum L.) when presented with water shortage in the early period; it eventually brought about reduced biomass and yield []. Also, in our work, we observed the decreasing tendency of biomass production under drought stress.
One significant physiological process impacted by the drought is photosynthesis []. It is predominantly impacted because of decreased leaf development, malfunctioning of the photosynthetic systems, and leaf death. Closing of the stomata during drought periods lessens the CO2 accessibility, which makes the plant more vulnerable to photo injury []. The decreased water accessibility negatively affects photosynthetic pigments, harms the photosynthetic processes, and impedes the activities of significant enzymes, causing impressive losses in plant development and yield. Additionally, drought impedes the course of photosynthesis by damaging the photosynthetic pigment, lessening the action of Photosystem II and debilitating the recovery limit of RuBP []. Lettuce is relatively sensitive to water deficits throughout its growth cycle, which places grave repercussions on nutrient and CO2 assimilation and photosynthetic functions, which are necessary to maintain optimum yielding [,]. In the studies that were conducted, plants subjected to drought stress significantly decreased in yield (about 30–50%) compared to the control plants. This may confirm the theory that stomata closure in plants is the primary response to restrict transpiration, thus affecting photosynthesis at the expense of yield []. These results agree with Sayyari et al. [] and Franzoni et al. [] on lettuce under water stress. Furthermore, water plays a fundamental role in nutrient assimilation []. However, insignificant organic acid (maleic, salicylic, and citric) caused a propensity to increase plant yielding (9.9%, 3.9%, and 3.9%), respectively, when stress worsened. According to previous studies, the exogenous application of abscisic acid, salicylic acid, brassinolide, and jasmonic acid can further develop crop efficiency during drought []. Plant hormones like cytokinin are catalysts that direct the drought’s negative influence on different plants, including maise, lettuce, tomato, and rice. Soluble sugars, soluble protein content, superoxide dismutase, peroxidase, and catalase activities in the leaves were increased by uniconazole in the stress from drought []. Salicylic acids and exogenously applied substances further develop drought resistance and improve plant development and final harvest. An improvement in the catalase operation of wheat was seen through salicylic acid application during water scarcity []. The utilisation of salicylic acid and its subsidiaries in foliar and seed treatment applications expanded the drought resilience system in lettuce exposed to drought stress []. Also, studies by Nazar et al. [] show that applying salicylic acid improved proline accumulation.
4.2. Nutrient Uptake
Drought stress significantly affected the deterioration of plant nutrient management. Nitrogen is a mobile macronutrient that plays a pivotal role in photosynthesis pigments (chlorophyll) and molecular compounds, such as proteins (structural components of enzymes) []. Drought stress significantly decreases nitrogen content in plants (30%), which may be attributable to the inhibition of key enzymatic enzymes, such as nitrate reductase [,] and nutrient-uptake proteins (AMT1, NRT1) []. These findings agree with those reported by Kazemi et al. []. Phosphorus is integral to cell energy (ATP), water use efficiency, and enhanced root proliferation [,]. The results of our research correspond positively with previous studies by Biswas et al. [], who reported a significant decrease in phosphorus status with increasing drought stress intensity. Potassium primarily activates key enzymes in respiration and photosynthesis, including regulating the stomatal aperture []. In our work, reducing K uptake by plants grown under water stress may inhibit ATP production, further decelerating varied ATP-dependent processes []. Maathius [] also reported that K significantly helps maintain water balance and the transport of nutrients via the xylem and phloem. K application due to drought stress alleviates the negative impact of water shortages and keeps up with plant efficiency. The plants take up more potassium in the cytoplasm during drought-stress situations. Subsequently, plants’ increased demand for K under stress is to keep up with the CO2 fixation during photosynthesis. Under stress, the increase in ROS in plants can be due to decreased CO2. The photosynthesis cycle was impeded and carbohydrate metabolism was likewise impacted through ROS formation when plants were exposed to stress conditions. A lower photosynthesis rate was found in plants grown under drought stress with a lower K status []. K increment by acid application (especially MA) more than the control could improve the regulation of the stomatal opening [,], which could enhance the photosynthesis process. Calcium is an immobile nutrient in plant tissues that facilitates cellular stability, cell elongation, and division []. We observed that calcium content significantly decreased (average 50–60%) with increasing drought stress. This may highlight decreased cell membrane stability, whereas growth and development are severely inhibited. In addition, this could have caused problems with the selective uptake of other ions. Magnesium is an essential central ion in chlorophyll that helps enhance the green pigments to trap light energy for photosynthesis []. In the stroma, light reactions are enhanced by magnesium and the activation of Rubisco in facilitating CO2 assimilation []. In our studies, drought stress significantly reduced the Mg uptake by plants, which could implicate a decrease in chloroplast size and electron transfer in Photosystem II []. The synergistic effect of K and Mg in plants has been extensively highlighted in their role in activating key enzymes, ion homeostasis, and pH stabilisation []. The significant reduction in potassium and magnesium content may highlight the plant’s exposure to varied consequences, including photosynthetic damage []. An appreciable amount of these cations could help improve growth, as seen in the case of maleic acid, which increased Mg content at PEG 7.5%. Meanwhile, drought stress reduces the content of Na in plant tissues. Sodium has been reported to maintain mesophyll structure [] and osmotic adjustment []. Abubakar et al. [] found a higher sodium content in lettuce leaves under drought stress. According to Bai et al. [], plants accumulate salt ions by reducing the osmotic potential to facilitate water absorption by the roots. Furthermore, it has been established that Na+ may confer a similar role in osmotic balance in potassium-deficient plants []; nevertheless, it may be toxic in excess.
4.3. Chlorophyll Fluorescence
The primary reaction of every crop to drought stress is the closing of the stomata to avoid losing water via transpiration. The closing of stomata might be due to a prompt reaction to control the water level in leaves [] or a reduced rate of moisture in the air. The closing of the stomata controls CO2 absorption, which prompts oxidative harm and no photosynthate uptake. Stomata closing likewise upsurges the heat dispersal in leaves []. Also, the pigments of photosynthesis and the thylakoid membrane are harmed by drought stress. The decreased chlorophyll composition within the drought episodes has likewise been accounted for []. Notwithstanding, a few studies have elaborated a surge in chlorophyll composition in oats under water stress []. It appears to rely on the type of crop and variety. For example, chlorophyll composition in certain cultivars of a dark gram Vigna mungo L. was augmented while, in other cases, it was reduced in situations of water stress []. These can be ascribed to the varied changes in the activities of catalysts engaged in chlorophyll biosynthesis. It has been accounted for that the content of “chlorophyll a” was more relative to “chlorophyll b” within plants that were stressed under drought []. A decline in the chlorophyll a/b proportion was accounted for in the Brassica species during drought []. The activities of the Rubisco catalyst in leaves rely on the rate at which the photosynthetic apparatus, including the stomata, functions []. Furthermore, significant harm is caused by the reduction in the Rubisco due to the reduction in its subunits. The binding of inhibitors like 2-Carboxyaribinitol 1-Phosphate to the catalytic site of Rubisco is also common under drought stress, which affects enzyme activity []. Likewise, other significant catalysts associated with photosynthesis are additionally adversely impacted by drought. The reduction in phosphorylation and debilitated ATP amalgamation have been accounted for as the central point restricting the photosynthetic process in mild drought periods []. The decreased generation of nicotinamide adenine dinucleotide phosphate NADP⁺ during drought results in low control of the non-cyclic electron transportation link, lessening ATP production [,]. Chlorophyll fluorescence analysis provides an in-depth insight into the photochemical and photosynthetic activities to depict plants’ health and stress levels []. Drought strongly inhibits the process of photosynthesis. Under its influence, the probability of PSII damage, characterised by reduced photosynthetic efficiency and increased dissipation of absorbed energy in non-photochemical quenching, increases []. The measurements carried out record dynamic changes in PSII functioning under the influence of ongoing drought stress and the application of acid spraying. Initial fluorescence (F0) analyses the level of fluorescence when all the RCs (reaction centres) of the photosystems are open. Furthermore, it is a vital parameter to analyse a fully oxidised plastoquinone acceptor pool (QA) [,]. An increase in F0 indicates any disruption of energy transfer to the reaction centre []. For example, with PEG 5%, stress was noted in the second term, while later plants sprayed with MA and CA adapted to unfavourable environmental conditions. On the other hand, with PEG 7.5%, fluctuations in F0 changes were shown, alternately positive and negative. Considering the average of the combinations, the acid treatment showed a positive effect on the increasing trend of FM, indicating an improvement in PS II’s functioning. The changes in FV trends varied dynamically. Lower values of this parameter lower the performance of PS II []. This generally reduced the field efficiency of PS II quantum (lower FV), which may result in greater dissipation of energy in the form of heat []. The FV/F0 indicates the photochemical and non-photochemical quantum efficiency []. The application of acids positively affected this parameter in III (PEG 5%) or IV (7.5%), indicating that the efficiency of oxygen evolution in PS II was improved. All aerobic organisms use molecular oxygen to generate ATP, which is the chemical energy useful for life. Oxygen has a central role in the evolution of complex life on Earth, mainly because of the biochemical symmetry of oxygenic photosynthesis and aerobic respiration (H2O → O2 → H2O) []. The appearance of oxygenic photosynthetic organisms on Earth suggests that low and/or localised levels of photosynthetically produced oxygen necessitated the emergence of ROS scavenging mechanisms to protect life []. Nevertheless, oxygen may also be toxic and mutagenic through the production of reactive oxygen species (ROS). Free radical generation can be considered a double-edged sword because, on the one hand, O2-dependent reactions and aerobic respiration have significant advantages. Still, on the other, the generation of ROS has the potential to cause damage []. The effect may indicate that organic acids play a role in alleviating reactive oxygen species caused by stress [], consistent with the findings of Mallhi et al. [] regarding castor beans. The maximum photochemical quantum PSII (FV/FM) is a vital metric to ascertain the health of plants under varied stress. It indicates the maximum quantum yield of the PSII []. According to Maxwell and Johnson [], the FV/FM for unstressed tissues in plants ranges from 0.75 to 0.85. In this study, the average value FV/FM of stressed (up to the application of PEG 7.5%) and unstressed ranges from 0.83 to 0.86. This indicates that water stress did not depict damage to the photosynthetic apparatus, though there was evidence of a decline in its functionality. The decreasing tendency in F0 amidst a stable FV/FM signals no adverse photodamages and inhibitions in the lettuce tissues []. This may indicate that the FV/FM is not a reliable metric for analysing plant drought stress, as suggested by many authors. The performance index (PIABS) estimates the all-inclusive functionality of the flow of electrons through Photosystem II, indicating plants’ homeostasis []. The decreasing PIABS can be primarily associated with the decreased functionality of the photochemistry and the photochemical efficiency of electron transport correlated with fluctuations in the DI0/RC []. Our research showed an increasing PIABS trend under the influence of acid application, particularly CA and MA (PEG 5%, end of experiment) or CA, SA, and MA (PEG 7.5%; third term of fluorescence measurement). Obtained results correlate with the trends of F0 changes, indicating a positive aspect of acid application. ABS/RC quantifies the flow of energy via the reaction centre. It is determined by the ratio of inactive/active reaction centres []. Increasing drought stress generally causes decreased energy absorption in the reaction centres. An increase in ABS/RC for SA, MA, and CA (PEG 7.5%, IV T) treatment indicates enhanced energy flow due to the conversion efficiency of excited energy (TR0/RC). These findings were in line with Bukhat et al. [], who observed enhanced energy flow for SA (2 mM) on salinity-stressed radish. A generally decreasing tendency of TR0/RC under drought stress may gradually impede the effective conversion of excited energy in the PSII. What is important is that the application of acids at PEG 7.5 had a stimulating effect—that is, it alleviated plant stress.
4.4. Physiological Parameters
According to our study, proline content increased significantly under drought stress compared to the control group. On the other hand, we observed that SA, MA, and CA treatment induced more accumulation of the free proline in the water-stressed and well-watered plants (Figure 4B). Drought stress increased the proline level of wheat [,,], sunflower [], tomatoes, amaranth [,], bean [], and linseed [], the level of which has increased further by the exogenous application of SA. These results show that salicylic acid treatment may stimulate proline biosynthesis and is involved in protective mechanisms mitigating stress.
It is known that drought stress induces rapid and excessive production of ROS (i.e., superoxide anion and hydrogen peroxide), leading to lipid peroxidation and, consequently, membrane damage [,,]. Superoxide anion radical formation is the primary cause of oxidative damage. Our research shows that its level significantly increased under various stress intensities compared to the level of H2O2, which insignificantly decreased (Figure 3). These results suggest that H2O2 may play a secondary role in the drought stress signalling network by inducing defence pathways in the late drought phase.
The end products of lipid peroxidation, like malondialdehyde (MDA) or trans-4-hydroxynonenal (4-HNE), can change the physical properties of cell membranes, disrupting their integrity and, thus, destroying the cell’s protective function. In this vein, mapping the movement of cell apoplastic ion and metabolite patterns could offer novel insights into the function of membrane integrity, particularly during stressful conditions. This understanding could shed light on how cells maintain their protective barriers and respond to environmental challenges []. The increase in MDA content in cells indicates oxidative stress in plants and disorders in the functioning of antioxidant defence, which shows cell damage [,,,]. When the ROS level reaches above the threshold, enhanced lipid peroxidation takes place in both cellular and organellar membranes, which, in turn, affects normal cellular functioning. The most damaging oxidative effect is lipid peroxidation of the biological membranes, which results in the concomitant production of malondialdehyde (MDA). Under a strong stress factor, the activity of enzymes and antioxidant compounds may be insufficient to counteract the generated ROS, which may consequently lead to membrane damage manifested by an increased level of MDA [].
Our results revealed that lipid peroxidation, measured in terms of malondialdehyde content, was prevented using acids. Exogenous lettuce application of salicylic acid (SA), maleic acid (MA), and citric acid (CA) significantly decreased the MDA, superoxide anion, and H2O2 levels in stressed plants. Our results supported that the decrease in membrane damage may be related to the induction of antioxidant responses by acids that protect the cell from oxidative damage.
A similar mechanism was responsible for SA-induced stress tolerance in bean and tomato plants [,]. Salicylic acid treatment also prevented lipid peroxidation in Ctenanthe setosa [], maise [] and wheat []. Pretreatment of sensitive and tolerant drought maise cultivars with salicylic acid almost totally prevented a lipid peroxidation increase. Additionally, the salicylic acid foliar application significantly declined MDA content in the Cucurbita pepo plant leaves under normal and stress conditions []. Based on the literature data, it was shown that exogenous CA improved the drought tolerance of Lilium Cv, G. barbadense, cotton plants, and Brassica oleracea [,]. In addition, CA affected the H2O2 and phosphorus metabolism levels in cabbage []. Our results showed that CA reduced H2O2 and MDA levels in lettuce leaves compared to untreated plants, which confirms the above research results.
The cells’ self-defence against ROS involves activating or synthesising antioxidant enzymes that deactivate ROS. It was reported that SA application modulates the activities of superoxide dismutase, peroxidase, and catalase enzymes via activating a defensive system, triggering redox changes in signal transduction pathways [,,,,]. Our research has proven that SA treatment during stress conditions causes a significant increase in the level of non-enzymatic antioxidants, like total phenolic compounds (TPCs), flavonoids (Fla), and carotenoids (Car), as well as the accumulation of ascorbic acid (AsA). Of course, our results revealed that drought stress alone significantly increased these antioxidant levels in lettuce leaves and spraying them with SA, CA, and MA further boosted this increase (Figure 2A, Figure 3, Figure 4A). Other studies confirm drought stress significantly increases the content of these plant metabolites [,,,,,]. The exogenous application of SA also significantly induced these accumulations in various plant species [,,,,,]. All these antioxidant metabolites help regulate metabolism and reduce oxidative damage. The upregulation of antioxidants in stressed conditions indicates stress tolerance []. Moreover, it turns out that ascorbate is essential for synthesising proline, which acts as one of the potential osmoprotectants in response to water stress [].
It is known that salicylic acid is a promising compound for the reduction of stress sensitivity in plants. Moreover, SA is vital in producing plant bioactive compounds [,,]. The protective function of SA on plants is associated with its role in regulating the biosynthesis of secondary metabolites, which plays an essential role in plant resistance []. Usually, in plants subjected to drought stress, chlorophyll content considerably decreases. It is associated with pigment biosynthesis inhibition, which reduces plant growth [,,,,]. The adverse effects of water deficit on the chlorophyll pigments are caused by the increase in chlorophyllase enzyme activity, which destroys chloroplasts and causes chlorophyll degradation []. Our research recorded that chlorophyll a and b amounts did not change under applied experimental conditions (Figure 4A). The exogenous application of acids probably reduced chlorophyllase activity and increased carotenoid content, thus participating in energy dissipation and stabilising photosynthetic complexes []. It turns out that ascorbic acid (AsA) can also reverse the adverse effects of water deficit stress by significantly improving the chlorophyll contents [].
In many studies, the exogenous application of SA under water stress reduces the chlorophyll degradation process, corroborating the hypothesis that SA, CA, and MA may mitigate the effect of water deficiency [,,]. Our results indicate that the foliar spray of acids did not change chlorophyll pigment levels under stress and control conditions (Figure 4A). The beneficial effects of SA could be attributed to its stimulatory effects on Rubisco activity and, ultimately, to increased photosynthetic rate.
5. Conclusions
Drought stress reduced the fresh and dry matter yields of plants. The acid treatment caused increasing tendencies in the fresh weight yield but the response varied depending on the level of drought stress and acid. Mainly MA treatment also enhanced the nutrient uptake of stressed plants. Experimental conditions did not vary the chlorophyll content of leaves. Meanwhile, drought stress increased leaf superoxide anion (O2•−) and malondialdehyde (MDA) levels but decreased H2O2. Proline (Pro) and phenolic compounds (TFC) accumulated more in stressed plants. Drought stress also affected the chlorophyll fluorescence. In conclusion, acid foliar spray improved the resistance of plants against drought stress by upregulating the antioxidant defence system and reducing the oxidative damage caused by reactive oxygen species.
Supplementary Materials
The following supporting information can be downloaded at: https://www.mdpi.com/article/10.3390/app14125119/s1, Table S1: Summary of ANOVA results plant yielding by PEG level and various kinds of foliar spray; Table S2: Summary of ANOVA results for uptake of elements by PEG level and various kinds of foliar spray; Table S3: Results of the Pearson coefficient (r) and p-value between plant yielding and elements. Correlation coefficients are significant with p < 0.05; Table S4: The impact of the application of organic acids on selected parameters of chlorophyll fluorescence (F0, FM); Table S5: The impact of the application of organic acids on selected parameters of chlorophyll fluorescence (FV, FV/FM); Table S6: The impact of the application of organic acids on selected parameters of chlorophyll fluorescence (FV/F0, PIABS); Table S7: The impact of the application of organic acids on selected parameters of chlorophyll fluorescence (ABS/RC, TR0/RC); Table S8: Summary of ANOVA results for selected parameters of chlorophyll fluorescence by PEG level and various kind of foliar spray; Table S9: Summary of ANOVA results for physiological parameters by PEG level and various kinds of foliar spray; Table S10: Results of the Pearson coefficient (r) and p-value between physiological parameters. Correlation coefficients are significant with p < 0.05; Scheme S1. Acquisition of lettuce plant material for determination.
Author Contributions
Conceptualization, T.K. (Tomasz Kleiber); methodology, T.K. (Tomasz Kleiber), T.K. (Tomasz Kosiada), T.C. and M.F.-L., formal analysis, T.K. (Tomasz Kleiber), T.C., M.F.-L. and J.L.L.; investigation, T.K. (Tomasz Kleiber), T.C., M.F.-L., J.L.L. and T.K. (Tomasz Kosiada); data curation, T.K. (Tomasz Kleiber), T.C. and M.F-L.; writing—original draft preparation, T.K. (Tomasz Kleiber), T.C. and M.F.-L.; statistical analyses, T.K. (Tomasz Kleiber) and T.C.; visualisation, T.C.; supervision, project administration, funding acquisition, T.K. (Tomasz Kleiber). All authors have read and agreed to the published version of the manuscript.
Funding
This research was financed from the subsidy received from the Ministry of Science and Higher Education of Poland.
Institutional Review Board Statement
Not applicable.
Informed Consent Statement
Not applicable.
Data Availability Statement
The original contributions presented in the study are included in the article/supplementary material, further inquiries can be directed to the corresponding author.
Conflicts of Interest
The authors declare no conflicts of interest.
References
- FAO. The state of the world’s land and water resources for food and agriculture–Systems at breaking point. In Synthesis Report 2021; FAO: Rome, Italy, 2021; Available online: https://www.fao.org/land-water/solaw2021/en/ (accessed on 9 June 2024).
- Orimoloye, I.R. Agricultural Drought and Its Potential Impacts: Enabling Decision-Support for Food Security in Vulnerable Regions. Front. Sustain. Food Syst. 2022, 6, 838824. [Google Scholar] [CrossRef]
- Liu, X.; Zhu, X.; Pan, Y.; Li, S.; Liu, Y.; Ma, Y. Agricultural drought monitoring: Progress, challenges, and prospects. J. Geogr. Sci. 2016, 26, 750–767. [Google Scholar] [CrossRef]
- Salehi-Lisar, S.Y.; Bakhshayeshan-Agdam, H. Drought stress in plants: Causes, consequences, and tolerance. In Drought Stress Tolerance in Plants; Hossain, M., Wani, S., Bhattacharjee, S., Burritt, D., Tran, L.S., Eds.; Springer: Cham, Switzerland, 2016; Volume 1. [Google Scholar]
- Luo, L.; Xia, H.; Lu, B.-R. Editorial: Crop breeding for drought resistance. Front. Plant Sci. 2019, 10, 314. [Google Scholar] [CrossRef] [PubMed]
- Panchal, P.; Miller, A.J.; Giri, J. Organic acids: Versatile stress-response roles in plants. J. Exp. Bot. 2021, 72, 4038–4052. [Google Scholar] [CrossRef] [PubMed]
- Igamberdiev, A.U.; Bykova, N.V. Role of organic acids in the integration of cellular redox metabolism and mediation of redox signalling in photosynthetic tissues of higher plants. Free Radic. Biol. Med. 2018, 22, 74–85. [Google Scholar] [CrossRef] [PubMed]
- Vallarino, J.G.; Osorio, S. Organic acids. In Postharvest Physiology and Biochemistry of Fruits and Vegetables; Woodhead Publishing: Sawston, UK, 2019; pp. 207–224. [Google Scholar]
- Zhang, S.; Chen, H.; He, D.; He, X.; Yan, Y.; Wu, K.; Wei, H. Effects of exogenous organic acids on Cd tolerance mechanism of Salix Variegata Franch. under Cd stress. Front. Plant Sci. 2020, 11, 1594. [Google Scholar] [CrossRef] [PubMed]
- Araujo, W.L.; Nunes-Nesi, A.; Nikoloski, Z.; Sweetlove, L.J.; Fernie, A.R. Metabolic control and regulation of the tricarboxylic acid cycle in photosynthetic and heterotrophic plant tissues. Plant Cell Environ. 2012, 35, 1–21. [Google Scholar] [CrossRef] [PubMed]
- Song, L.; Prince, S.; Valliyodan, B.; Joshi, T.; Maldonado dos Santos, J.V.; Wang, J.; Lin, L.; Wan, J.; Wang, Y.; Xu, D.; et al. Genome-wide transcriptome analysis of soybean primary root under varying water-deficit conditions. BMC Genom. 2016, 17, 57. [Google Scholar] [CrossRef]
- Khan, N.; Ali, S.; Zandi, P.; Mehmood, A.; Ullah, S.; Ikram, M.; Ismail, M.A.S.; Babar, M.A. Role of sugars, amino acids and organic acids in improving plant abiotic stress tolerance. Pak. J. Bot. 2020, 52, 355–363. [Google Scholar] [CrossRef]
- Nakandala, S.A.; Weerasinghe, K.D.N.; Senevirathne, P.; Iqbal, S.M.M.; Lakmini, W.G.D.; Vijithasiri, P.M.P.S. Exogenous application of Salicylic Acid alleviates drought stress of rubber nursery plants in the Intermediate Zone of Sri Lanka. J. Rubber Res. Inst. Sri Lanka 2016, 96, 50–58. [Google Scholar] [CrossRef]
- Hasanuzzaman, M.; Matin, M.A.; Fardus, J.; Hasanuzzaman, M.; Hossain, M.S.; Parvin, K. Foliar application of salicylic acid improves growth and yield attributes by upregulating the antioxidant defense system in Brassica campestris plants grown in lead-amended soils. Acta Agrobot. 2019, 72, 1765. [Google Scholar] [CrossRef]
- Wang, S.; Ma, L.; Xu, Y.; Wang, Y.; Zhu, N.; Liu, J.; Dolfing, J.; Kerr, P.; Wu, Y. The unexpected concentration-dependent response of periphytic biofilm during indole acetic acid removal. Bioresour. Technol. 2020, 303, 122–922. [Google Scholar] [CrossRef] [PubMed]
- Kotapati, K.P.; Bhagath, K.P.; Dinakara, R.A. Alleviation of nickel toxicity in finger millet (Eleusine coracana L.) germinating seedlings by exogenous application of salicylic acid and nitric oxide. Crop J. 2017, 5, 240–250. [Google Scholar] [CrossRef]
- Ghazijahani, T.G.; Jiao, H.; Holloway, S. Influence of a cutout on circular steel hollow sections under cyclic loading. J. Constr. Steel Res. 2014, 100, 12–20. [Google Scholar] [CrossRef]
- Strasser, R.J.; Tsimilli-Michael, M.; Srivastava, A. Analysis of the chlorophyll a fluorescence transient. In Chlorophyll a Fluorescence; Papageorgiou, G.C., Govindjee, Eds.; Springer: Dordrecht, The Netherlands, 2004; pp. 321–362. [Google Scholar]
- IUNG. Analytical Methods in Agricultural Chemistry Stations Part II. In Plant Analyses; Institute of Soil Science and Plant Cultivation: Puławy, Poland, 1972; pp. 25–83. [Google Scholar]
- Doke, N. Involvement of superoxide anion generation in the hypersensitive response of potato tuber tissues to infection with an incompatible race of Phytophthora infestans and the hyphal wall components. Physiol. Plant Pathol. 1983, 23, 345–357. [Google Scholar] [CrossRef]
- Messner, B.; Boll, M. Cell suspension cultures of spruce (P. abies): Inactivation of extracellular enzymes by fungal elicitor-induced transient release of hydrogen peroxide (oxidative burst). Plant Cell Tissue Organ Cult. 1994, 39, 69–78. [Google Scholar] [CrossRef]
- Heath, R.L.; Packer, L. Effect of light on lipid peroxidation in chloroplasts. Biochem. Biophys. Res. Commun. 1968, 19, 716–720. [Google Scholar] [CrossRef] [PubMed]
- Law, M.Y.; Charles, S.A.; Halliwell, B. Glutathione and ascorbic acid in spinach (Spinacia oleracea) chloroplasts. The effect of hydrogen peroxide and paraquat. Biochem. J. 1983, 210, 899–903. [Google Scholar] [CrossRef]
- Costa, H.; Gallego, S.M.; Tomaro, M.L. Effect of UV-B radiation on antioxidant defense system in sunflower cotyledons. Plant Sci. 2002, 162, 939–945. [Google Scholar] [CrossRef]
- Bates, I.S.; Waldern, R.P.; Teare, I.D. Rapid determination of free proline for water stress studies. Plant Soil 1973, 39, 205–207. [Google Scholar] [CrossRef]
- Bandurska, H. Does proline accumulated in leaves of water deficit stressed barley plants confine cell membrane injury? I. Free proline accumulation and membrane injury index in drought and osmotically stressed plants. Acta Physiol. Plant. 2000, 22, 409–415. [Google Scholar] [CrossRef]
- Singleton, V.L.; Rossi, J.A. Colorimetry of total phenolics with phosphomolybdic-phosphotungstic acid reagents. Am. J. Enol. Vitic. 1965, 16, 144–158. [Google Scholar] [CrossRef]
- Day, T.A. Relating UV-B radiation screening effectiveness of foliale to absorbing-compound concentration andanatomical characteristis in a diverse group of plants. Oecologia 1993, 95, 542–550. [Google Scholar] [CrossRef]
- Stefova, M.; Kulevanova, S.; Stafilov, T. Assay of flavonols andquantification of quercetin in medicinal plants by HPLC with UV-diode array detection. J. Liq. Chromatogr. Relat. 2001, 24, 2283–2292. [Google Scholar] [CrossRef]
- Hiscox, J.D.; Israelstam, G.F. A method for the extraction of chlorophyll from leaf tissue without maceration. Can. J. Bot. 1979, 57, 1332–1334. [Google Scholar] [CrossRef]
- Wellburn, A.R. The spectral determination of chlorophylls a and b, as well as total carotenoids, using various solvents with spectrophotometers of different resolution. J. Plant Physiol. 1994, 144, 307–313. [Google Scholar] [CrossRef]
- Scudeletti, D.; Crusciol, C.A.C.; Bossolani, J.W.; Moretti, L.G.; Momesso, L.; Servaz Tubana, B.; De Castro, S.G.Q.; De Oliveira, E.F.; Hungria, M. Trichoderma asperellum inoculation as a tool for attenuating drought stress in sugarcane. Front. Plant Sci. 2021, 12, 570. [Google Scholar] [CrossRef]
- Waqas, M.; Yaning, C.; Iqbal, H.; Shareef, M.; ur Rehman, H.; Bilal, H.M. Synergistic consequences of salinity and potassium deficiency in quinoa: Linking with stomatal patterning, ionic relations and oxidative metabolism. Plant Physiol. Biochem. 2021, 159, 17–27. [Google Scholar] [CrossRef]
- Rady, M.M.; Boriek, S.H.; El-Mageed, A.; Taia, A.; Seif El-Yazal, M.A.; Ali, E.F.; Hassan, F.A.; Abdelkhalik, A. Exogenous gibberellic acid or dilute bee honey boosts drought stress tolerance in Vicia faba by rebalancing osmoprotectants, antioxidants, nutrients, and phytohormones. Plants 2021, 10, 748. [Google Scholar] [CrossRef]
- Tahmasebi, A.; Niazi, A. Comparison of Transcriptional Response of C3 and C4 plants to drought stress using meta-analysis and systems biology approach. Front. Plant Sci. 2021, 12, 668736. [Google Scholar] [CrossRef]
- Khalvandi, M.; Siosemardeh, A.; Roohi, E.; Keramati, S. Salicylic acid alleviated the effect of drought stress on photosynthetic characteristics and leaf protein patterns in winter wheat. Heliyon 2021, 7, e05908. [Google Scholar] [CrossRef] [PubMed]
- Altaf, M.A.; Shahid, R.; Ren, M.X.; Naz, S.; Altaf, M.M.; Khan, L.U.; Tiwari, R.K.; Lal, M.K.; Shahid, M.A.; Kumar, R.; et al. Melatonin improves drought stress tolerance of tomatoes by modulating plant growth, root architecture, photosynthesis, and antioxidant defense system. Antioxidants 2022, 11, 309. [Google Scholar] [CrossRef] [PubMed]
- Franzoni, G.; Cocetta, G.; Ferrante, A. Effect of glutamic acid foliar applications on lettuce under water stress. Physiol. Mol. Biol. Plants 2021, 27, 1059–1072. [Google Scholar] [CrossRef] [PubMed]
- Gil, M.; Tudela, J.; Martınez-Sanchez, A.; Luna, M. Harvest maturity indicators of leafy vegetables. Stewart Postharvest Rev. 2012, 8, 1–9. [Google Scholar]
- Waskiewicz, A.; Gładysz, O.; Beszterda, M.; Golinski, P. Water stress and crop plants. In Water Stress and Crop Plants: A Sustainable Approach; Ahmad, P., Ed.; Wiley: Chichester, UK, 2006; Volume 2, pp. 393–411. [Google Scholar]
- Sayyari, M.; Ghavami, M.; Ghanbari, F.; Kordi, S. Assessment of salicylic acid impacts on growth rate and some physiological parameters of lettuce plants under drought stress conditions. Int. J Agric. Crop Sci. 2013, 5, 1951–1957. [Google Scholar]
- Mou, B. Genetic Variation of Beta-carotene and Lutein Contents in Lettuce. J. Am. Soc. Hortic. Sci. 2009, 130, 870–876. [Google Scholar] [CrossRef]
- Mostofa, M.G.; Rahman, M.M.; Ansary, M.M.U.; Keya, S.S.; Abdelrahman, M.; Miah, M.G.; Phan Tran, L.S. Silicon in mitigation of abiotic stress-induced oxidative damage in plants. Crit. Rev. Biotechnol. 2021, 41, 918–934. [Google Scholar] [CrossRef] [PubMed]
- Ghanbary, E.; Fathizadeh, O.; Pazhouhan, I.; Zarafshar, M.; Tabari, M.; Jafarnia, S.; Parad, G.A.; Bader, M.K.F. Drought and pathogen effects on survival, leaf physiology, oxidative damage, and defense in two Middle Eastern oak species. Forests 2021, 12, 247. [Google Scholar] [CrossRef]
- Bhardwaj, S.; Kapoor, D. Fascinating regulatory mechanism of silicon for alleviating drought stress in plants. Plant Physiol. Biochem. 2021, 166, 1044–1053. [Google Scholar] [CrossRef]
- Bankole, A.E.; Umebese, C.E.; Feyisola, R.T.; Bamise, T. Influence of Salicylic Acid on the Growth of Lettuce (Lactuca sativa var longifolia) During Reduced Leaf Water Potential. J. Appl. Sci. Environ. Manag. 2018, 22, 543. [Google Scholar] [CrossRef]
- Nazar, R.; Umar, S.; Khan, N.A.; Sareer, O. Salicylic acid supplementation improves photosynthesis and growth in mustard through changes in proline accumulation and ethylene formation under drought stress. S. Afr. J. Bot. 2015, 98, 84–94. [Google Scholar] [CrossRef]
- Iqbal, M.; Hussain, I.; Liaqat, H.; Ashraf, M.A.; Rasheed, R.; Rehman, A. Exogenously applied selenium reduces oxidative stress and induces heat tolerance in spring wheat. Plant Physiol. Biochem. 2015, 94, 95–103. [Google Scholar] [CrossRef] [PubMed]
- Christophe, S.; Jean-Christophe, A.; Annabelle, L.; Alain, O.; Marion, P.; Anne-Sophie, V. Plant N fluxes and modulation by nitrogen, heat and water stresses: A review based on comparison of legumes and non legume plants. In Abiotic Stress in Plants–Mechanisms and Adaptations; Shanker, A., Venkateswarlu, B., Eds.; Intech Open Access Publisher: Rijeka, Croatia, 2011; pp. 79–118. [Google Scholar]
- Robredo, A.; Pérez-López, U.; Miranda-Apodaca, J.; Lacuesta, M.; Mena-Petite, A.; Muñoz-Rueda, A. Elevated CO2 reduces the drought effect on nitrogen metabolism in barley plants during drought and subsequent recovery. Environ. Exp. Bot. 2011, 71, 399–408. [Google Scholar] [CrossRef]
- Giri, A.; Heckathorn, S.; Mishra, S.; Krause, C. Heat stress decreases levels of nutrient-uptake and -assimilation proteins in tomato roots. Plants 2017, 6, 6. [Google Scholar] [CrossRef] [PubMed]
- Kazemi, M.; Hadavi, E.; Hekmati, J. Effect of salicylic acid, malic acid, citric acid and sucrose on antioxidant activity, membrane stability and ACC-Oxidase activity in relation to vase life of carnation cut flowers. J. Agric. Technol. 2012, 8, 2053–2063. [Google Scholar] [CrossRef]
- He, M.; Dijkstra, F.A. Drought effect on plant nitrogen and phosphorus: A meta-analysis. New Phytol. 2014, 204, 924–931. [Google Scholar] [CrossRef] [PubMed]
- Waqas, M.; Wang, L.; Jones, J.J.; Josef Turetschek, R.; Engelmeier, D.; Geilfus, C.; Koch, M. Short-term phosphorus deficiency induces flavonoid accumulation in the lamina of pak choi: A finishing treatment that influences inner quality. Sci. Hortic. 2023, 314, 111953. [Google Scholar] [CrossRef]
- Biswas, D.K.; Ma, B.L.; Morrison, M.J. Changes in leaf nitrogen and phosphorus content, photosynthesis, respiration, growth, and resource use efficiency of a rapeseed cultivar as affected by drought and high temperatures. Can. J. Plant Sci. 2019, 99, 488–498. [Google Scholar] [CrossRef]
- Uchida, R. Essential nutrients for plant growth-nutrient functions and deficiency symptoms. In Plant Nutrient Management in Hawaii’s Soils, Approaches for Tropical and Subtropical Agriculture; : Silva, J.A., Uchida, R., Eds.; College of Tropical Agriculture and Human Resources, University of Hawaii: Honolulu, Hawaii, 2000; pp. 31–55. [Google Scholar]
- Maathuis, F.J. Physiological functions of mineral macronutrients. Curr. Opin. Plant Biol. 2009, 12, 250–258. [Google Scholar] [CrossRef]
- Munsif, F.; Farooq, U.; Arif, M.; Shah, T.; Jehangir, M.; Zaheer, S.; Akhtar, K.; Khan, M.S.; Ahmad, I.; Ahmad, W.; et al. Potassium and salicylic acid function synergistically to promote the drought resilience through upregulation of antioxidant profile for enhancing potassium use efficiency and wheat yield. Ann. Appl. Biol. 2022, 180, 273–282. [Google Scholar] [CrossRef]
- Cockburn, W. Stomatal Mechanism as the Basis of the Evolution of CAM and C4 Photosynthesis. Plant Cell Environ. 1983, 6, 275–279. [Google Scholar] [CrossRef]
- Outlaw, W.H.; Lowry, O.H. Organic acid and potassium accumulation in guard cells during stomatal opening. Proc. Nat. Acad. Sci. USA 1977, 74, 4434–4438. [Google Scholar] [CrossRef] [PubMed]
- McAinsh, M.R.; Pittman, J.K. Shaping the calcium signature. New Phytol. 2009, 181, 275–294. [Google Scholar] [CrossRef]
- Mengel, K.; Kirkby, E.A. (Eds.) Principles of Plant Nutrition; International Potash Institute: Worblaufen-Bern, Switzerland, 2006. [Google Scholar]
- Fiedor, L.; Kania, A.; Myśliwa-Kurdziel, B.; Orzeł, Ł.; Stochel, G. Understanding chlorophylls: Central magnesium ion and phytyl as structural determinants. Biochim. Biophys. Acta 2008, 1777, 1491–1500. [Google Scholar] [CrossRef] [PubMed]
- Wanli, G.; Nazimc, H.; Lianga, Z.; Dongfeng, Y.D. Magnesium deficiency in plants: An urgent problem. Crop J. 2016, 4, 83–91. [Google Scholar]
- Marschner, H. Marschner’s mineral nutrition of plants. J. Plant Physiol. 2012, 134, 308–315. [Google Scholar] [CrossRef]
- Tränkner, M.; Tavakol, E.; Jákli, B. Functioning of potassium and magnesium in photosynthesis, photosynthate translocation and photoprotection. Physiol. Plant. 2018, 163, 414–431. [Google Scholar] [CrossRef]
- Martinez, J.P.; Ledent, J.F.; Bajji, M.; Kinet, J.M.; Lutts, S. Effect of water stress on growth, Na+ and K+ accumulation and water use efficiency in relation to osmotic adjustment in two populations of Atriplex halimus L. Plant Growth Regul. 2003, 41, 63–73. [Google Scholar] [CrossRef]
- Xiao, F.; Zhou, H. Plant salt response: Perception, signaling, and tolerance. Front. Plant Sci. 2023, 13, 1053699. [Google Scholar] [CrossRef]
- Abubakar, M.; Kadiec, P.; Melante, W. Impact of drought on nutrient composition of vegetables. J. Plant Nutr. 2022, 44, 365–422. [Google Scholar]
- Bai, X.; Zhu, J.J.; Zhang, P. Severe salt stress in Vaccinium myrtillus (L.) in response to Na+ ion toxicity. Environ. Exp. Bot. 2012, 76, 49–53. [Google Scholar]
- Erel, R.; Ben-Gal, A.; Dag, A.; Schwartz, A.; Yermiyahu, U. Sodium replacement of potassium in physiological processes of olive trees (var. Barnea) as affected by drought. Tree Physiol. 2014, 34, 1102–1117. [Google Scholar] [CrossRef] [PubMed]
- Li, H.J.; Wang, Y.F.; Zhao, C.F.; Yang, M.; Wang, G.X.; Zhang, R.H. The quantitative proteomic analysis provides insight into the effects of drought stress in maize. Photosynthetica 2021, 59, 1–11. [Google Scholar] [CrossRef]
- Babaei, K.; Moghaddam, M.; Farhadi, N.; Pirbalouti, A.G. Morphological, physiological and phytochemical responses of Mexican marigold (Tagetes minuta L.) to drought stress. Sci. Hortic. 2021, 284, 110–116. [Google Scholar] [CrossRef]
- Babaei, L.; Sharifani, M.M.; Darvishzadeh, R.; Abbaspour, N.; Henareh, M. Impact of drought stress on photosynthetic response of some pear species. Int. J. Hortic. Sci. Technol. 2021, 8, 353–369. [Google Scholar]
- Song, X.; Zhou, G.; He, Q. Critical leaf water content for maize photosynthesis under drought stress and its response to re-watering. Sustainability 2021, 13, 7218. [Google Scholar] [CrossRef]
- Ors, S.; Ekinci, M.; Yildirim, E.; Sahin, U.; Turan, M.; Dursun, A. Interactive effects of salinity and drought stress on photosynthetic characteristics and physiology of tomato (Lycopersicon esculentum L.) seedlings. S. Afr. J. Bot. 2021, 137, 335–339. [Google Scholar] [CrossRef]
- Kaur, H.; Manna, M.; Thakur, T.; Gautam, V.; Salvi, P. Imperative role of sugar signaling and transport during drought stress responses in plants. Physiol. Plant. 2021, 171, 833–848. [Google Scholar] [CrossRef]
- Ahmad, H.; Li, J. Impact of water deficit on the development and senescence of tomato roots grown under various soil textures of Shaanxi, China. BMC Plant Biol. 2021, 21, 241. [Google Scholar] [CrossRef]
- Ullah, A.; Farooq, M. The challenge of drought stress for grain legumes and options for improvement. Arch. Agron. Soil Sci. 2021, 68, 1601–1618. [Google Scholar] [CrossRef]
- Ullah, A.; Al-Rajhi, R.S.; Al-Sadi, A.M.; Farooq, M. Wheat genotypes with higher intercellular CO2 concentration, rate of photosynthesis, and antioxidant potential can better tolerate drought stress. J. Soil Sci. Plant Nutr. 2021, 21, 2378–2391. [Google Scholar] [CrossRef]
- Guidi, L.; Lo Piccolo, E.; Landi, M. Chlorophyll fluorescence, photoinhibition and abiotic stress: Does it make any difference the fact to be a C3 or C4 species? Front. Plant Sci. 2019, 10, 174. [Google Scholar] [CrossRef] [PubMed]
- Faraloni, C.; Cutino, I.; Petruccelli, R.; Leva, A.R.; Lazzeri, S.; Torzillo, G. Chlorophyll fluorescence technique as a rapid tool for in vitro screening of olive cultivars (Olea europaea L.) tolerant to drought stress. Environ. Exp. Bot. 2011, 73, 49–56. [Google Scholar] [CrossRef]
- Fracheboud, Y.; Jompuk, C.; Ribaut, J.M.; Stamp, P.; Leipner, J. Genetic analysis of cold-tolerance of photosynthesis in maize. Plant Mol. Biol. 2004, 56, 241–253. [Google Scholar] [CrossRef]
- Gorbe, E.; Calatayud, A. Applications of chlorophyll fluorescence imaging technique in horticultural research: A review. Sci. Hortic. 2012, 138, 24–35. [Google Scholar] [CrossRef]
- Calatayud, A.; Roca, D.; Martínez, P.F. Spatial-temporal variations in rose leaves under water stress conditions studied by chlorophyll fluorescence imaging. Plant Physiol. Biochem. 2006, 44, 564–573. [Google Scholar] [CrossRef] [PubMed]
- Kalaji, H.M.; Łoboda, T. Fluorescencja Chlorofilu w Badaniach Stanu Fizjologicznego Roślin; Wydawnictwo SGGW: Warszawa, Poland, 2010. [Google Scholar]
- Ruban, A.V.; Horton, P. Regulation of non-photochemical quenching of chlorophyll fluorescence in plants. Funct. Plant Biol. 1995, 22, 221–230. [Google Scholar] [CrossRef]
- Umar, M.; Siddiqui, Z.S. Physiological performance of sunflower genotypes under combined salt and drought stress environment. Acta Bot. Croat. 2020, 77, 36–44. [Google Scholar] [CrossRef]
- Buonocore, G.; Perrone, S.; Tataranno, M.L. Oxygen toxicity: Chemistry and biology of reactive oxygen species. In Seminars in Fetal and Neonatal Medicine; WB Saunders: Philadelphia, PA, USA, 2010; Volume 15, pp. 186–190. [Google Scholar] [CrossRef]
- Inupakutika, M.A.; Sengupta, S.; Devireddy, A.R.; Azad, R.K.; Mittler, R. The evolution of reactive oxygen species metabolism. J. Exp. Bot. 2016, 67, erw382. [Google Scholar] [CrossRef]
- Ruban, A.V. Nonphotochemical chlorophyll fluorescence quenching: Mechanism and effectiveness in protecting plants from photodamage. Plant Physiol. 2016, 170, 1903–1916. [Google Scholar] [CrossRef]
- Mallhi, Z.I.; Rizwan, M.; Mansha, A.; Ali, Q.; Asim, S.; Ali, S.; Ahmad, P. Citric acid enhances plant growth, photosynthesis, and phytoextraction of lead by alleviating the oxidative stress in castor beans. Plants 2019, 8, 525. [Google Scholar] [CrossRef]
- Krause, G.H.; Weis, E. Chlorophyll fluorescence as a tool in plant physiology. Photosynth. Res. 1984, 5, 139–157. [Google Scholar] [CrossRef] [PubMed]
- Maxwell, K.; Johnson, G.N. Chlorophyll fluorescence—A practical guide. J. Exp. Bot. 2000, 51, 659–668. [Google Scholar] [CrossRef] [PubMed]
- Yuan, A.; Zhou, P.; Xiao, Q.; Shi, D. Effects of foliar application of organic acids on alleviation of aluminum toxicity in Lettuce. J. Plant. Nutr. Soil Sci. 2014, 177, 421–430. [Google Scholar] [CrossRef]
- Ceusters, N.; Valcke, R.; Frans, M.; Claes, J.E.; Van den Ende, W.; Ceusters, J. Performance index and PSII connectivity under drought and contrasting light regimes in the CAM orchid Phalaenopsis. Front. Plant Sci. 2019, 10, 1012. [Google Scholar] [CrossRef] [PubMed]
- Bacarin, M.A.; Deuner, S.; Silva, F.S.P.D.; Cassol, D.; Silva, D.M. Chlorophyll a fluorescence as indicative of the salt stress on Brassica napus L. Braz. J. Plant Physiol. 2011, 23, 245–253. [Google Scholar] [CrossRef]
- Kumar, D. Salicylic acid signaling in disease resistance. Plant Sci. 2014, 228, 127–134. [Google Scholar] [CrossRef] [PubMed]
- Bukhat, S.; Manzoor, H.; Athar, H.U.R.; Zafar, Z.U.; Azeem, F.; Rasul, S. Salicylic acid induced photosynthetic adaptability of Raphanus sativus to salt stress is associated with antioxidant capacity. J. Plant Growth Regul. 2020, 39, 809–822. [Google Scholar] [CrossRef]
- Bandurska, H.; Stroinski, A. The effect of salicylic acid on barley response to water deficit. Acta Physiol. Plant. 2005, 27, 379–386. [Google Scholar] [CrossRef]
- El Tayeb, M.A.; Ahmed, N.L. Response of wheat cultivars to drought and salicylic acid. Am.-Eurasian J. Agric. Environ. Sci. 2010, 3, 1–7. [Google Scholar]
- Parveen, A.; Arslan Ashraf, M.; Hussain, I.; Perveen, S.; Rasheed, R.; Mahmood, Q.; Hussain, S.; Ditta, A.; Hashem, A.; Al-Arjani, A.-B.F.; et al. Promotion of growth and physiological characteristics in water-stressed Triticum aestivum in relation to foliar-application of salicylic acid. Water 2021, 13, 1316. [Google Scholar] [CrossRef]
- Hussain, M.; Malik, M.A.; Farooq, M.; Ashraf, M.Y.; Cheema, M.A. Improving drought tolerance by exogenous application of glycinebetaine and salicylic acid in sunflower. J. Agron. Crop Sci. 2008, 194, 193–199. [Google Scholar] [CrossRef]
- Hayat, S.; Hasan, S.A.; Fariduddin, Q.; Ahmad, A. Growth of tomato (Lycopersicon esculentum) in response to salicylic acid under water stress. J. Plant Interact. 2008, 3, 297–304. [Google Scholar] [CrossRef]
- Umebese, C.E.; Olatimilehin, T.O.; Ogunsusi, T.A. Salicylic acid protects nitrate reductase activity, growth and proline in amaranth and tomato plants during water deficit. Am. J. Agric. Biol. Sci. 2009, 4, 224–229. [Google Scholar] [CrossRef][Green Version]
- Sadeghipour, O.; Aghaei, P. Biochemical changes of common bean (Phaseolus vulgaris L.) to pretreatment with salicylic acid (SA) under water stress conditions. Int. J. Biosci. 2012, 2, 14–22. [Google Scholar]
- Bakry, B.A.; El-Hariri, D.M.; Sadak, M.S.; El-Bassiouny, H.M.S. Drought stress mitigation by foliar application of salicylic acid in two linseed varieties grown under newly reclaimed sandy soil. J. Appl. Sci. Res. 2012, 8, 3503–3514. [Google Scholar]
- De Carvalho, M.H.C.; Brunet, J.; Bazin, J.; Kranner, I.; d’Arcy-Lameta, A.; Zuily-Fodil, Y.; Contour-Ansel, D. Homoglutathione synthetase and glutathione synthetase in drought-stressed cowpea leaves: Ex-pression patterns and accumulation of lowmolecular-weight thiols. J. Plant Physiol. 2010, 167, 480–487. [Google Scholar] [CrossRef] [PubMed]
- Das, K.; Roychoudhury, A. Reactive oxygen species (ROS) and response of antioxidants as ROS-scavengers during environmental stress in plants. Front. Environ. Sci. 2014, 2, 53. [Google Scholar] [CrossRef]
- Camaille, M.; Fabre, N.; Clément, C.; Ait Barka, E. Advances in wheat physiology in response to drought and the role of plant growth promoting rhizobacteria to trigger drought tolerance. Microorganisms 2021, 9, 687. [Google Scholar] [CrossRef] [PubMed]
- Franzisky, B.L.; Solter, J.; Xue, C.; Harter, K.; Stahl, M.; Geilfus, C.-M. In planta exploitation of leaf apoplastic compounds: A window of opportunity for spatiotemporal studies of apoplastic metabolites, hormones and physiology. Biorxiv 2023. [Google Scholar]
- Ali, Q.; Javed, M.T.; Noman, A.; Haider, M.Z.; Waseem, M.; Iqbal, N.; Waseem, M.; Shah, M.S.; Shahzad, F.; Perveen, R. Assessment of drought tolerance in mung bean cultivars/lines as depicted by the activities of germination enzymes, seedling’s antioxidative potential and nutrient acquisition. Arch. Agron. Soil Sci. 2018, 64, 84–102. [Google Scholar] [CrossRef]
- Demidchik, V. Mechanisms of oxidative stress in plants: From classical chemistry to cell biology. Environ. Exp. Bot. 2015, 109, 212–228. [Google Scholar] [CrossRef]
- Raza, G.; Ali, K.; Ashraf, M.Y.; Mansoor, S.; Javid, M.; Asad, S. Overexpression of an H+−PPase gene from Arabidopsis in sugarcane improves drought tolerance, plant growth, and photosynthetic responses. Turk. J. Biol. 2016, 40, 109–119. [Google Scholar] [CrossRef]
- Rosalie, R.; Léchaudel, M.; Dhuique-Mayer, C.; Dufossé, L.; Joas, J. Antioxidant and enzymatic responses to oxidative stress induced by cold temperature storage and ripening in mango (Mangifera indica L. cv. ‘Cogshall’) in relations to carotenoid content. J. Plant Physiol. 2018, 224, 75–85. [Google Scholar] [CrossRef]
- Sharma, P.; Jha, A.B.; Dubey, R.S.; Pessarakli, M. Reactive oxygen species, oxidative damage, and antioxidative defense mechanism in plants under stressful conditions. J. Bot. 2012, 2012, 217037. [Google Scholar] [CrossRef]
- Senaratna, T.; Touchell, D.; Bunn, E.; Dixon, K. Acetyl salicylic acid (Aspirin) and salicylic acid induce multiple stress tolerance in bean and tomato plants. Plant Growth Regul. 2000, 30, 157–161. [Google Scholar] [CrossRef]
- Kadioglu, A.; Saruhan, N.; Saglam, A.; Terzi, R.; Acet, T. Exogenous salicylic acid alleviates effects of long term drought stress and delays leaf rolling by inducing antioxidant system. Plant Growth Regul. 2011, 64, 27–37. [Google Scholar] [CrossRef]
- Saruhan, N.; Saglam, A.; Kadioglu, A. Salicylic acid pretreatment induces drought tolerance and delays leaf rolling by inducing antioxidant systems in maise genotypes. Acta Physiol. Plant. 2011, 34, 97–106. [Google Scholar] [CrossRef]
- Biareh, V.; Shekari, F.; Sayfzadeh, S.; Zakerin, H.; Hadidi, E.; Beltrão, J.G.T.; Mastinu, A. Physiological and qualitative response of Cucurbita pepo L. to salicylic acid under controlled water stress conditions. Horticulturae 2022, 8, 79. [Google Scholar] [CrossRef]
- Gebaly, S.G.; Ahmed, F.M.; Namich, A.A. Effect of spraying some organic, amino acids and potassium citrate on alleviation of drought stress in cotton plant. J. Plant Prod. 2013, 4, 1369–1381. [Google Scholar] [CrossRef]
- Levi, A.; Paterson, A.H.; Cakmak, I.; Saranga, Y. Metabolite and mineral analyses of cotton near-isogenic lines introgressed with QTLs for productivity and drought-related traits. Physiol. Plant. 2011, 141, 265–275. [Google Scholar] [CrossRef]
- Miyazawa, K. Drought stress alleviation of cabbage seedlings by citric acid application. Acta Hortic. 2016, 1112, 101–108. [Google Scholar] [CrossRef]
- Ababaf, M.; Omidi, H.; Bakhshandeh, A. Changes in antioxidant enzymes activities and alkaloid amount of Catharanthus roseus in response to plant growth regulators under drought condition. Ind. Crops Prod. 2021, 167, 113505. [Google Scholar] [CrossRef]
- Aftab, T.; Khan, M.M.A.; Da Silva, J.A.T.; Idrees, M.; Naeem, M.; Moinuddin. Role of salicylic acid in promoting salt stress tolerance and enhanced artemisinin production in Artemisia annua L. J. Plant Growth Regul. 2011, 30, 425–435. [Google Scholar] [CrossRef]
- Després, C.; Fobert, P.R. In vivo biochemical characterisation of transcription factors regulating plant defense response to disease. Can. J. Plant Pathol. 2006, 28, 3–15. [Google Scholar] [CrossRef]
- Wani, A.B.; Chadar, H.; Wani, A.H.; Singh, S.; Upadhyay, N. Salicylic acid to decrease plant stress. Environ. Chem. Lett. 2017, 15, 101–123. [Google Scholar] [CrossRef]
- Akram, N.A.; Shafiq, F.; Ashraf, M. Ascorbic acid-a potential oxidant scavenger and its role in plant development and abiotic stress tolerance. Front. Plant Sci. 2017, 8, 613. [Google Scholar] [CrossRef]
- Farooq, A.; Bukhari, S.A.; Akram, N.A.; Ashraf, M.; Wijaya, L.; Alyemeni, M.N.; Ahmad, P. Exogenously applied ascorbic acid-mediated changes in osmoprotection and oxidative defense system enhanced water stress tolerance in different cultivars of safflower (Carthamus tinctorious L.). Plants 2020, 9, 104. [Google Scholar] [CrossRef] [PubMed]
- Nakabayashi, R.; Yonekura-Sakakibara, K.; Urano, K.; Suzuki, M.; Yamada, Y.; Nishizawa, T.; Matsuda, F.; Kojima, M.; Sakakibara, H.; Shinozaki, K.; et al. Enhancement of oxidative and drought tolerance in Arabidopsis by overaccumulation of antioxidant flavonoids. Plant J. 2014, 77, 367–379. [Google Scholar] [CrossRef]
- Osama, S.; El Sherei, M.; Al-Mahdy, D.A.; Bishr, M.; Salama, O. Effect of salicylic acid foliar spraying on growth parameters, γ-pyrones, phenolic content and radical scavenging activity of drought stressed Ammi visnaga L. plant. Ind. Crops Prod. 2019, 134, 1–10. [Google Scholar] [CrossRef]
- Shafiq, S.; Akram, N.A.; Ashraf, M.; Arshad, A. Synergistic effects of drought and ascorbic acid on growth, mineral nutrients and oxidative defense system in canola (Brassica napus L.) plants. Acta Physiol. Plant. 2014, 36, 1539–1553. [Google Scholar] [CrossRef]
- Smirnoff, N. Ascorbic acid metabolism and functions: A comparison of plants and mammals. Free Radic. Biol. Med. 2018, 122, 116–129. [Google Scholar] [CrossRef] [PubMed]
- Acevedo, A.F.G.; da Silva Gomes, J.W.; Avilez, A.A.; Sarria, S.D.; Broetto, F.; Vieites, R.L.; de Souza Guimarães, M.L.C. Foliar salicylic acid application to mitigate the effect of water deficiency on potato (Solanum tuberosum L.). Plant Stress 2023, 7, 100135. [Google Scholar] [CrossRef]
- Li, J.; Cang, Z.; Jiao, F.; Bai, X.; Zhang, D.; Zhai, R. Influence of drought stress on photosynthetic characteristics and protective enzymes of potato at seedling stage. J. Saudi Soc. Agric. Sci. 2017, 16, 82–88. [Google Scholar] [CrossRef]
- Tajik, S.; Zarinkamar, F.; Soltani, B.M.; Nazari, M. Induction of phenolic and flavonoid compounds in leaves of saffron (Crocus sativus L.) by salicylic acid. Sci. Hortic. 2019, 257, 108751. [Google Scholar] [CrossRef]
- Khalil, N.; Fekry, M.; Bishr, M.; El-Zalabani, S.; Salama, O. Foliar spraying of salicylic acid induced accumulation of phenolics, increased radical scavenging activity and modified the composition of the essential oil of water stressed Thymus vulgaris L. Plant Physiol. Biochem. 2018, 123, 65–74. [Google Scholar] [CrossRef] [PubMed]
- Yadav, N.; Sharma, S.; Samir, P. Research, Reactive oxygen species, oxidative stress and ROS scavenging system in plants. J. Chem. Pharm. Res. 2016, 8, 595–604. [Google Scholar]
- Rana, V.; Ram, S.; Nehra, K. Review proline biosynthesis and its role in abiotic stress. Int. J. Agric. Innov. Res. 2017, 6, 2319–2473. [Google Scholar]
- Cappellari, L.D.R.; Chiappero, J.; Palermo, T.B.; Giordano, W.; Banchio, E. Volatile organic compounds from rhizobacteria increase the biosynthesis of secondary metabolites and improve the antioxidant status in Mentha piperita L. grown under salt stress. Agronomy 2020, 10, 1094. [Google Scholar] [CrossRef]
- Palmer, I.A.; Chen, H.; Chen, J.; Chang, M.; Li, M.; Liu, F.; Fu, Z.Q. Novel salicylic acid analogs induce a potent defense response in Arabidopsis. Int. J. Mol. Sci. 2019, 20, 3356. [Google Scholar] [CrossRef]
- Pál, M.; Janda, T.; Majláth, I.; Szalai, G. Involvement of salicylic acid and other phenolic compounds in light-dependent cold acclimation in maise. Int. J. Mol. Sci. 2020, 21, 1942. [Google Scholar] [CrossRef]
- Ali, B. Salicylic acid: An efficient elicitor of secondary metabolite production in plants. Biocatal. Agric. Biotechnol. 2020, 31, 101884. [Google Scholar] [CrossRef]
- Ashraf, M.; Harris, P.J.C. Photosynthesis under stressful environments: An overview. Photosynthetica 2013, 51, 163–190. [Google Scholar] [CrossRef]
- Amirjani, M.R.; Mahdiyeh, M. Antioxidative and biochemical responses of wheat to drought stress. J. Agric. Biol. Sci. 2013, 8, 291–301. [Google Scholar]
- Habib, N.; Ali, Q.; Ali, S.; Javed, M.T.; Haider, M.Z.; Perveen, R.; Shahid, M.R.; Rizwan, M.; Abdel-Daim, M.M.; Elkelish, A.; et al. Use of nitric oxide and hydrogen peroxide for better yield of wheat (Triticum aestivum L.) under water deficit Conditions: Growth, Osmoregulation, and Antioxidative Defense Mechanism. Plants 2020, 9, 285. [Google Scholar] [CrossRef] [PubMed]
- Naz, H.; Akram, N.A.; Ashraf, M. Impact of ascorbic acid on growth and some physiological attributes of cucumber (Cucumis sativus) plants under water-deficit conditions. Pak. J. Bot. 2016, 48, 877–883. [Google Scholar]
- Askari, E.; Ehsanzadeh, P. Drought stress mitigation by foliar application of salicylic acid and their interactive effects on physiological characteristics of fennel (Foeniculum vulgare Mill.) genotypes. Acta Physiol. Plant. 2015, 37, 4. [Google Scholar] [CrossRef]
- Razmi, N.; Ebadi, A.; Daneshian, J.; Jahanbakhsh, S. Salicylic acid induced changes on antioxidant capacity, pigments and grain yield of soybean genotypes in water deficit condition. J. Plant Interact. 2017, 12, 457–464. [Google Scholar] [CrossRef]
- Khapte, P.S.; Kumar, P.; Burman, U.; Kumar, P. Deficit irrigation in tomato: Agronomical and physio-biochemical implications. Sci. Hortic. 2019, 248, 256–264. [Google Scholar] [CrossRef]
- Li, Q.; Wang, G.; Wang, Y.; Yang, D.; Guan, C.; Ji, J. Foliar application of salicylic acid alleviate the cadmium toxicity by modulation the reactive oxygen species in potato. Ecotoxicol. Environ. Saf. 2019, 172, 317–325. [Google Scholar] [CrossRef]
- Lobato, A.K.D.S.; Barbosa, M.A.M.; Alsahli, A.A.; Lima, E.J.A.; Silva, B.R.S.D. Exogenous salicylic acid alleviates the negative impacts on production components, biomass and gas exchange in tomato plants under water deficit improving redox status and anatomical responses. Physiol. Plant. 2021, 172, 869–884. [Google Scholar] [CrossRef] [PubMed]
Disclaimer/Publisher’s Note: The statements, opinions and data contained in all publications are solely those of the individual author(s) and contributor(s) and not of MDPI and/or the editor(s). MDPI and/or the editor(s) disclaim responsibility for any injury to people or property resulting from any ideas, methods, instructions or products referred to in the content. |
© 2024 by the authors. Licensee MDPI, Basel, Switzerland. This article is an open access article distributed under the terms and conditions of the Creative Commons Attribution (CC BY) license (https://creativecommons.org/licenses/by/4.0/).