Laminated Steel Fiber-Reinforced Concrete Hingeless Arch: Research on Damage Evolution Laws
Abstract
1. Introduction
2. Material Constitutive Models
2.1. Steel Fiber-Reinforced Concrete
2.1.1. Axial Tensile Stress–Strain Relationship
2.1.2. Axial Compressive Stress–Strain Relationship
2.2. Matrix Concrete
2.3. Rebar
3. Verification of the Constitutive Model
3.1. SFRC Unit Tests
3.2. LSFRC Beam Performance Test
4. Calculation of Damage to RC Arch
4.1. Model Introduction
4.2. Calculation of RC Arch Damage Evolution
4.3. Calculation of LSFRC Arch Damage Evolution
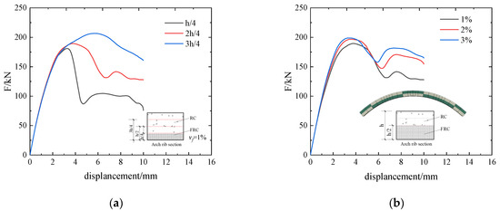
4.4. Parametric Analysis of the LSFRC Arch
5. Conclusions
- In the context of static arch loading, the damage to the RC arch section manifests as cracking at the lower edge of the arch crown, the foot edge of the arch, and the upper edge of the arch waist. The corresponding stress damage areas are [3L/8,5 L/8], [0, L/8], and [L/8, 3L/8], respectively.
- A local incorporation of steel fibers can effectively increase the cracking load and bearing capacity of the RC arch, reduce the deflection of the arch waist and vault, and improve the damaged area of the section. The damage evolution rate of the LSFRC arch section slows down significantly with the increase in the steel fiber volume ratio and the height of the doped section, and crack propagation is effectively inhibited, thus improving the ductility and reliability of the failure stage.
- In terms of a balance in performance, a local incorporation of steel fibers enhances the performance of RC arches while reducing the quantity of materials employed in comparison to the full-section incorporation of steel fiber (FRC) arch. Consequently, the LSFRC arch is more economical and practical. This research study offers a novel concept and methodology for the design and implementation of concrete arch bridges, which are anticipated to be widely adopted in future engineering practices.
Author Contributions
Funding
Institutional Review Board Statement
Informed Consent Statement
Data Availability Statement
Conflicts of Interest
References
- Chen, B.C.; Liu, J.P. A review of world arch bridge construction and technology development. J. Transp. Eng. 2020, 20, 27–41. [Google Scholar]
- Liu, K.L.; Sen, W. Research on Mechanical Characteristics and Load-bearing Behavior of Nodes of Steel Fiber Concrete Arch Bridges. Eur. J. Comput. Mech. 2023, 32, 211–234. [Google Scholar]
- Zheng, Y.X.; Lv, X.M.; Hu, S.W.; Zhuo, J.; Wan, C.; Liu, J. Mechanical properties and durability of steel fiber reinforced concrete: A review. J. Build. Eng. 2024, 82, 108025. [Google Scholar] [CrossRef]
- Tian, Z.C.; Wu, Z.Q.; Zhang, Z.J.; Yu, L. Temperature test analysis of C80 steel fiber concrete arch ribs. J. Shenyang Univ. Technol. 2024, 1–9. Available online: https://kns.cnki.net/kcms/detail//21.1189.T.20221202.1754.001.html (accessed on 10 May 2024).
- Tian, Z.C.; Zhang, Z.J.; Wu, Z.Q.; Peng, W.; Xu, B. Experimental and numerical study of the three-dimensional temperature field in the arch ribs of the reinforced concrete ribbed arch bridge during construction. Adv. Struct. Eng. 2024, 27, 995–1015. [Google Scholar] [CrossRef]
- Chen, B.C.; Huang, Q.W.; Wang, Y.Y.; Guo, B.; Luo, X.; Jiang, S.H. Design and construction of the first ultra-high performance concrete (UHPC) arch bridge in China. J. China Foreign Highw. 2016, 36, 67–71. (In Chinese) [Google Scholar]
- Wang, D. Application of milled steel fiber concrete composite pavement in the reconstruction of old asphalt roads. Highway 1998, 9, 16–20. (In Chinese) [Google Scholar]
- Wang, Y.M.; He, J.; Jiao, C.J. Mechanical properties of steel fiber concrete composite layer pavement materials. J. South China Univ. Technol. (Nat. Sci. Ed.) 2010, 38, 21–25. (In Chinese) [Google Scholar]
- Jamwal, V.; Singh, P. Use of glass fiber in pavement quality concrete slab. Int. J. Adv. Res. Ideas Innov. Technol. 2018, 4, 1949–1954. [Google Scholar]
- Sinha, D.; Mishra, C.B.; Solanki, R.V. Comparison of normal concrete pavement with steel fiber reinforced concrete pavement. Indian J. Appl. Res. 2014, 4, 233–235. [Google Scholar] [CrossRef]
- He, D.Q.; Wang, Y.M.; Liu, B. Research on composite steel fiber concrete pavement. J. Henan Univ. (Nat. Sci. Ed.) 2014, 44, 240–243. [Google Scholar]
- Zhao, J. Boundary steel fiber concrete layer thickness of reinforced steel fiber concrete beams. Henan Sci. 2001, 19, 304–306. [Google Scholar]
- Padmarajaiah, S.K.; Ramaswamy, A. Comparative study on flexural response of full and partial depth fiber-reinforced high-strength concrete. J. Mater. Civ. Eng. 2002, 14, 130–136. [Google Scholar] [CrossRef]
- Padmarajaiah, S.K.; Ramaswamy, A. Flexural strength predictions of steel fiber reinforced high-strength concrete in fully/partially prestressed beam specimens. Cem. Concr. Compos. 2004, 26, 275–290. [Google Scholar] [CrossRef]
- Jing, H.; Li, Y.Q. Nonlinear finite element analysis of layered steel fiber reinforced concrete beam. Appl. Mech. Mater. 2012, 166–169, 616–619. [Google Scholar] [CrossRef]
- Do, T.M.D.; Lam, T.Q.K.; Ngo, V.T.; Nguyen, T.T.N. Two-Layered Steel Fiber Concrete Beam with Concrete Grade Change in Layers. Lect. Notes Civ. Eng. 2022, 202, 427–443. [Google Scholar]
- Wu, K.; Yang, Y.H.; Zhang, Y.J.; Liang, Q.; Wang, S. Experimental study on mechanical properties of locally composite steel and steel fiber reinforced concrete beams. Structures 2023, 58, 105389. [Google Scholar] [CrossRef]
- Arif, M.; Alawad, O.; Shariq, M.; Bayoumi, E.S.A. Flexural response of reinforced concrete beams with full and partial depth of steel fiber-reinforced layer at severe conditions. Mater. Today Proc. 2023; in press. [Google Scholar] [CrossRef]
- Zhang, J.; Li, C.; Xu, F.; Yu, X. Test and Analysis for Ultimate Load-Carrying Capacity of Existing Reinforced Concrete Arch Ribs. J. Bridge Eng. 2007, 12, 4–12. [Google Scholar] [CrossRef]
- Zhou, J.T.; Wang, S.R.; Liu, Z.W.; Yang, L.; Wang, Z.; Li, Y. Coupling Dual Nonlinearity of Arch Bridge Bearing Capacity Analysis Method. Int. J. Struct. Stab. Dyn. 2023, 23, 2340030. [Google Scholar] [CrossRef]
- Mak, M.W.T.; Lees, J.M. Arch action in reinforced concrete subjected to shear. Eng. Struct. 2023, 274, 115096. [Google Scholar] [CrossRef]
- Ma, Y.F.; Wang, L.; Zhang, J.R. Test and simulation of bearing capacity of rusted and expanded reinforced concrete arch ribs. Eng. Mech. 2017, 34, 155–161. [Google Scholar]
- Xia, Q.L.; Liu, C.Y.; Wang, Y.Y.; Jelovica, J. Experimental Study on Static Strength of Damaged Concrete Arches Reinforced by Corrugated Steel. J. Struct. Eng. 2022, 148, 04022039. [Google Scholar] [CrossRef]
- Yan, J.; Chen, R.; Zhang, Z.Y.; Zou, Y.; Zhou, J.; Xia, J. Experimental study on the ultimate bearing capacity of damaged RC arches strengthened with ultra-high performance concrete. Eng. Struct. 2023, 279, 115611. [Google Scholar]
- Gao, D.Y. Experimental study on tensile stress-strain relationship of steel fiber concrete. Hydropower Gener. 1991, 11, 54–58+66. [Google Scholar]
- Jiao, C.J.; Sun, W.; Qin, H.G.; Zhang, Y.M.; Jiang, J.Y. Uniaxial compression constitutive equation of steel-fiber high-strength concrete. J. Southeast Univ. (Nat. Sci. Ed.) 2004, 34, 366–369. [Google Scholar]
- GB 50010-2022; Code for Design of Concrete Structures. China Architecture & Building Press: Beijing, China, 2022. (In Chinese)
- Panahi, H.; Genikomsou, A.S. Comparative Investigation of Concrete Plasticity Models for Nonlinear Finite-Element Analysis of Reinforced Concrete Specimens. Pract. Period. Struct. Des. Constr. 2022, 27, 04021083. [Google Scholar] [CrossRef]
- ABAQUS Theory Manual; Version 6.8; ABAQUS Incorporation: Palo Alto, CA, USA, 2007.
- Gao, Y.F.; Pu, Q.H.; Li, X.B.; Hu, Q.G. Development of cantilever casting method in the construction of large-span concrete arch bridges in foreign countries. World Bridge 2008, 1, 18–21. [Google Scholar]
- Chen, B.C.; Zhang, M.J.; Liu, J.P. Current situation and prospect of concrete arch bridge application in China. J. Fuzhou Univ. (Nat. Sci. Ed.) 2021, 49, 716–726. [Google Scholar]
- Othman, H.; Marzouk, H. Applicability of damage plasticity constitutive model for ultra-high performance fibre-reinforced concrete under impact loads. Int. J. Impact. Eng. 2018, 114, 20–31. [Google Scholar] [CrossRef]

















| Material | Compressive Strength/MPa | Tensile Strength/MPa | Elastic Modulus/GPa | Poisson’s Ratio |
|---|---|---|---|---|
| RC | 35.6 | 2.82 | 39 | 0.2 |
| SFRC | 37.3 | 3.54 | 41 | 0.2 |
| Model | Remarks | |
|---|---|---|
| 1 | RC arch | Ordinary reinforced concrete hingeless arch |
| 2 | FRC arch | Uniform distribution of steel fibers throughout the arch section |
| 3 | LSFRC arch | Layering of steel fibers in the damaged cross-section area |
| Expansion Angle | Eccentricity | Compressive Strength Ratio | K-Factor | Coefficient of Viscosity |
|---|---|---|---|---|
| 30 | 0.1 | 1.16 | 0.6667 | 0.0005 |
Disclaimer/Publisher’s Note: The statements, opinions and data contained in all publications are solely those of the individual author(s) and contributor(s) and not of MDPI and/or the editor(s). MDPI and/or the editor(s) disclaim responsibility for any injury to people or property resulting from any ideas, methods, instructions or products referred to in the content. |
© 2024 by the authors. Licensee MDPI, Basel, Switzerland. This article is an open access article distributed under the terms and conditions of the Creative Commons Attribution (CC BY) license (https://creativecommons.org/licenses/by/4.0/).
Share and Cite
Tian, Z.; Dai, Y.; Peng, T.; Zhang, Z.; Cai, Y.; Xu, B. Laminated Steel Fiber-Reinforced Concrete Hingeless Arch: Research on Damage Evolution Laws. Appl. Sci. 2024, 14, 5015. https://doi.org/10.3390/app14125015
Tian Z, Dai Y, Peng T, Zhang Z, Cai Y, Xu B. Laminated Steel Fiber-Reinforced Concrete Hingeless Arch: Research on Damage Evolution Laws. Applied Sciences. 2024; 14(12):5015. https://doi.org/10.3390/app14125015
Chicago/Turabian StyleTian, Zhongchu, Ye Dai, Tao Peng, Zujun Zhang, Yue Cai, and Binlin Xu. 2024. "Laminated Steel Fiber-Reinforced Concrete Hingeless Arch: Research on Damage Evolution Laws" Applied Sciences 14, no. 12: 5015. https://doi.org/10.3390/app14125015
APA StyleTian, Z., Dai, Y., Peng, T., Zhang, Z., Cai, Y., & Xu, B. (2024). Laminated Steel Fiber-Reinforced Concrete Hingeless Arch: Research on Damage Evolution Laws. Applied Sciences, 14(12), 5015. https://doi.org/10.3390/app14125015

