Disturbance Propagation Model of Luggage Drifting Motion Based on Nonlinear Pressure in Typical Passenger Corridors of Transportation Hubs
Abstract
1. Introduction
2. Related Works
2.1. Impact of Carried Luggage on a Crowd
2.2. Disturbance Propagation in Crowd Flow
3. Disturbance Dynamics Model of Luggage-Laden Passengers
3.1. Dynamic Pressure between Luggage-Laden and Non-Luggage-Carrying Passengers
3.2. Disturbing Effect of Luggage Drifting Motion
- (a)
- For luggage :
- (b)
- For passengers in front:
- (c)
- For passengers behind:
- (d)
- For passengers on the left:
- (e)
- For passengers on the right:
4. The Disturbance Propagation Model Based on the Aw–Rascle Model in Crowd Flow
4.1. Disturbance of a Luggage-Laden Passenger Particle on Surrounding Passengers
4.2. Disturbance Propagation Model Based on the Aw–Rascle Model
5. Case Study and Discussion
5.1. Experiment Parameters Setup
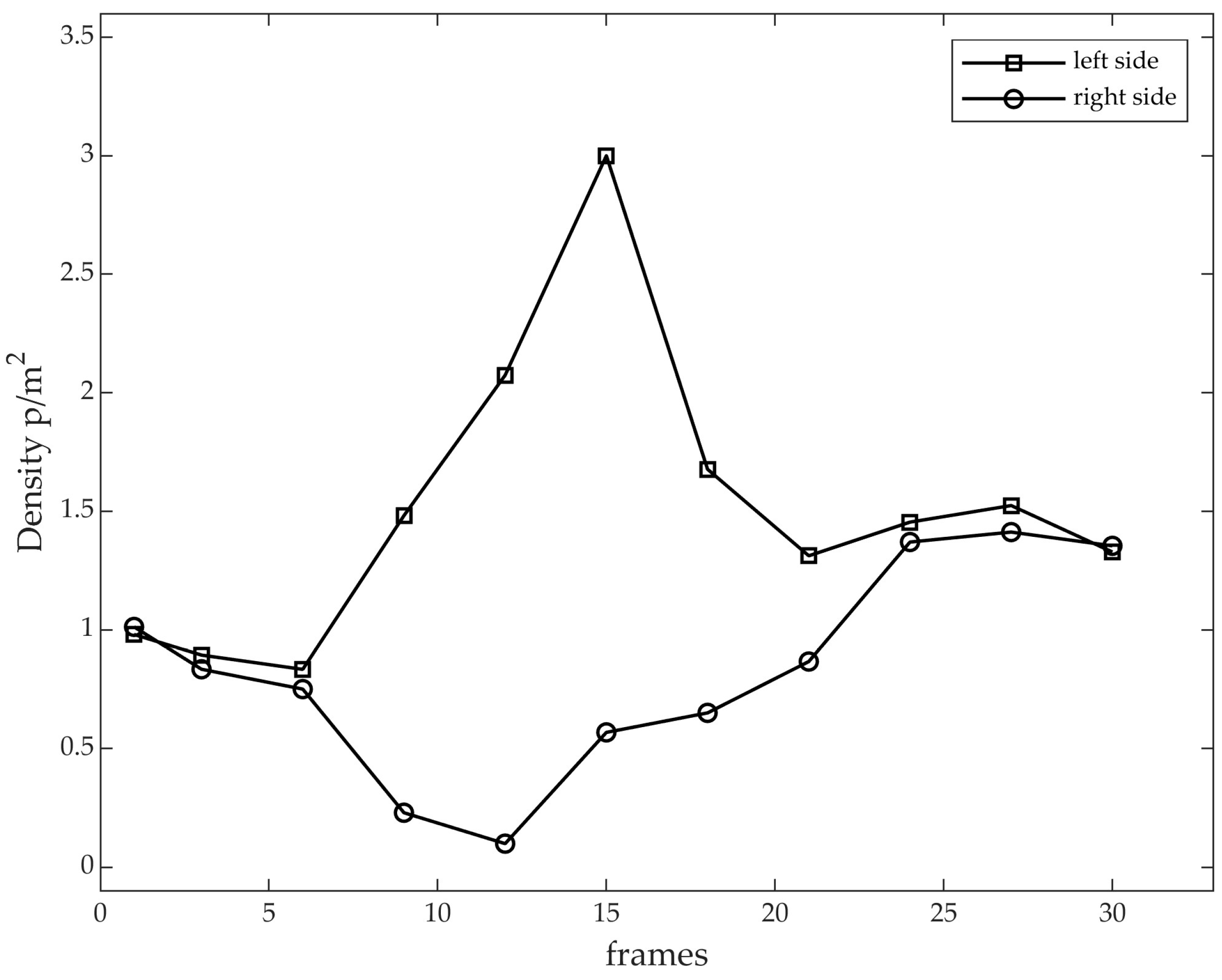
5.2. Case 1: Luggage Drifting Disturbance Propagation in an L-Shaped Corridor

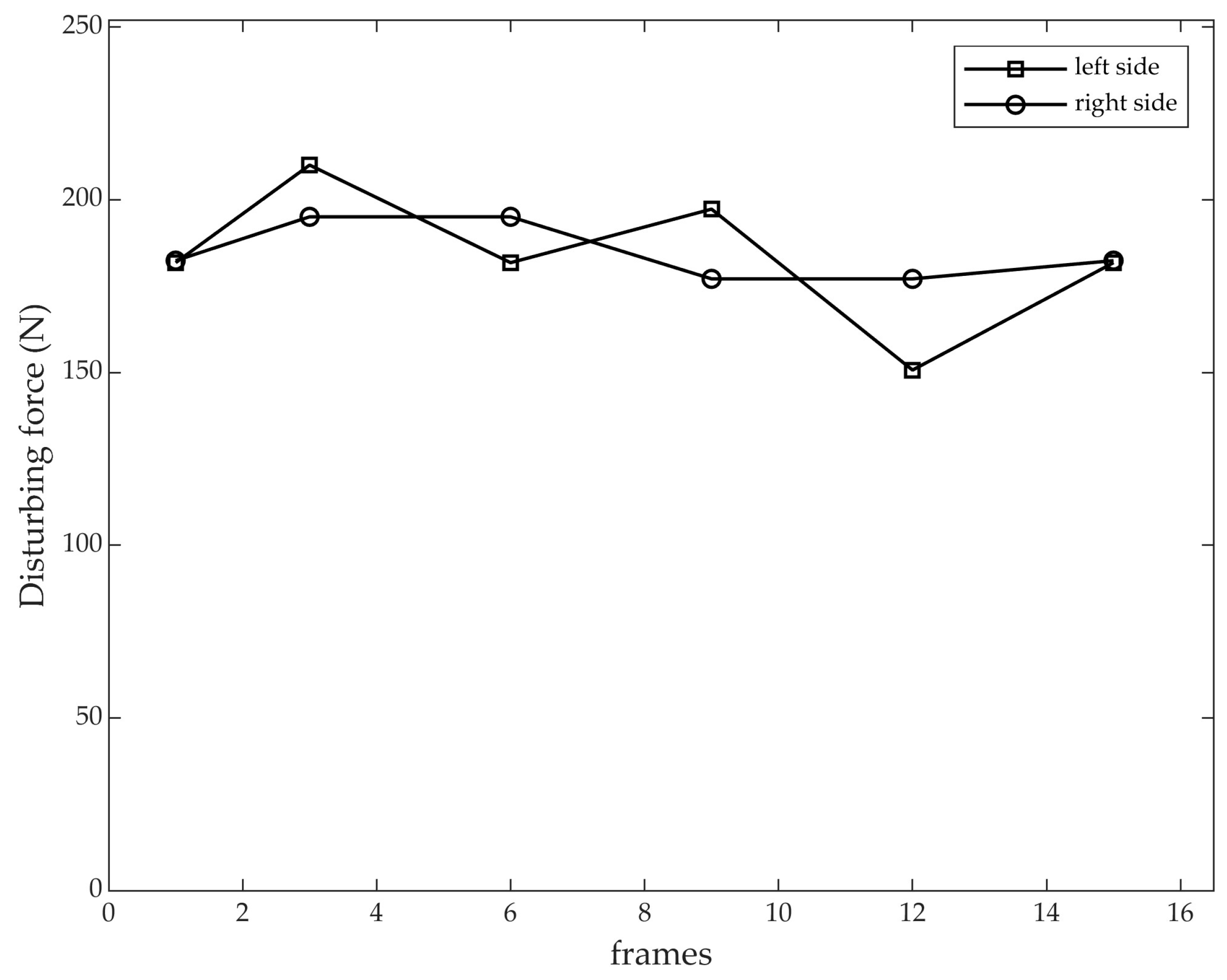
5.3. Case 2: Luggage Retrograde Disturbance Propagation in a Straight Corridor
5.4. Discussion of Disturbance Propagation
6. Conclusions
Author Contributions
Funding
Institutional Review Board Statement
Informed Consent Statement
Data Availability Statement
Conflicts of Interest
References
- Xu, D.; Wang, J.; Liu, J.; Wang, Y.; Jiang, J. A simulation study on the impact of abandoned trolley cases on pedestrian evacuation. KSCE J. Civ. Eng. 2023, 27, 1340–1349. [Google Scholar] [CrossRef]
- Zhang, K.; Yang, S.; He, L.; Long, Y. Research on emergency evacuation of passengers with luggage from bus station. China Saf. Sci. J. 2017, 27, 30–35. [Google Scholar]
- Bayareh-Mancilla, R.; Medina-Ramos, L.A.; Toriz-Vázquez, A.; Hernández-Rodríguez, Y.M.; Cigarroa-Mayorga, O.E. Automated computer-assisted medical decision-making system based on morphological shape and skin thickness analysis for asymmetry detection in mammographic images. Diagnostics 2023, 13, 3440. [Google Scholar] [CrossRef]
- Fang, Z. The theory prospect of crowd dynamics-oriented observation. J. Geo-Inf. Sci. 2021, 23, 1527–1536. [Google Scholar]
- Yugendar, P.; Ravishankar, K.V.R. Crowd behavioural analysis at a mass gathering event. J. KONBiN 2018, 46, 20–25. [Google Scholar] [CrossRef]
- Laxman, K.K.; Rastogi, R.; Chandra, S. Pedestrian flow characteristics in mixed traffic conditions. J. Urban Plan. Dev. 2010, 136, 23–33. [Google Scholar] [CrossRef]
- Tang, J.; Yang, L.; Liu, K. (Eds.) Simulation of safety evacuation of personnel at construction site based on bim technology. In Proceedings of the 24th International Symposium on Advancement of Construction Management and Real Estate; Springer: Singapore, 2021; pp. 1165–1175. [Google Scholar]
- Davis, D.G.; Braaksma, J.P. Adjusting for luggage-laden pedestrians in airport terminals. Transp. Res. Part A Gen. 1988, 22, 375–388. [Google Scholar] [CrossRef]
- Jahedinia, F.; Bagheri, M.; Naderan, A.; Bahramian, Z. Simulation of luggage-laden passengers’ behavior in the evacuation process based on a floor field ca model case study: Tehran metro-rail transfer corridor. Simulation 2023, 99, 681–701. [Google Scholar] [CrossRef]
- Gao, Y.X.; Zhuang, Y.F.; Dong, F.S.; Peng, F.; Zhang, P.; Yang, L.Z.; Ni, Y. Experimental study on the effect of trolley case on unidirectional pedestrian flow. Phys. A Stat. Mech. Appl. 2020, 544, 122670. [Google Scholar] [CrossRef]
- Zhuang, Y.; Schadschneider, A.; Cheng, H.; Yang, L. Estimating escalator vs stairs choice behavior in the presence of entry railing: A field study. KSCE J. Civ. Eng. 2018, 22, 5203–5214. [Google Scholar] [CrossRef]
- Zhao, R.; Wang, D.; Wang, Y.; Han, C.; Jia, P.; Li, C.; Ma, Y. Macroscopic view: Crowd evacuation dynamics at t-shaped street junctions using a modified aw-rascle traffic flow model. IEEE Trans. Intell. Transp. Syst. 2021, 22, 6612–6621. [Google Scholar] [CrossRef]
- Shi, Z.G.; Zhang, J.; Ren, X.X.; Song, W.G. Quantifying the impact of luggage on pedestrian walking and running movements. Saf. Sci. 2020, 130, 104856. [Google Scholar] [CrossRef]
- Li, X. Experimental Study on the Effect of Luggage Type on Pedestrian Movement Characteristics in Stairs. Master’s Thesis, Southwest Jiaotong University, Chengdu, China, 17 May 2022. [Google Scholar]
- Shi, Z.G.; Zhang, J.; Shang, Z.G.; Song, W.G. Collision avoidance behaviours of luggage-laden pedestrians. Phys. A Stat. Mech. Appl. 2024, 639, 129664. [Google Scholar] [CrossRef]
- Fang, Z.; Lv, W.; Jiang, L.-X.; Xu, Q.; Song, W. Observation, simulation and optimization of the movement of passengers with baggage in railway station. Int. J. Mod. Phys. C 2015, 26, 1550124. [Google Scholar] [CrossRef]
- Fu, L.B.; Chen, Y.Q.; Qin, H.G.; Chen, Q.Y.; He, Y.J.; Shi, Y.Q. Dynamics of merging flow involving luggage-laden pedestrians in a y-shaped corridor: An experimental study. Phys. A Stat. Mech. Appl. 2023, 628, 129172. [Google Scholar] [CrossRef]
- Shi, D.; Ma, J.; Luo, Q.; Li, X.; Chen, J.; Lin, P. Fundamental diagrams of luggage-laden pedestrians ascending and descending stairs. Phys. A Stat. Mech. Appl. 2021, 572, 125880. [Google Scholar] [CrossRef]
- Deng, Q.; Fu, Z.; Li, T.; Ma, J.; Luo, L. Effect of luggage-carrying on pedestrian flow through bottleneck: An experimental study. Transp. A Transp. Sci. 2021, 18, 1734–1753. [Google Scholar] [CrossRef]
- Huang, S.; Wei, R.; Lo, S.; Lu, S.; Li, C.; An, C.; Liu, X. Experimental study on one-dimensional movement of luggage-laden pedestrian. Phys. A Stat. Mech. Appl. 2019, 516, 520–528. [Google Scholar] [CrossRef]
- Li, C.L.; Zhao, R.Y.; Han, C.F.; Arifur, R.; Ma, Y.L.; Liu, Q. Dynamic disturbance propagation model of pedestrian panic behaviors and lyapunov-based crowd stability analysis. Appl. Sci. 2023, 13, 11762. [Google Scholar] [CrossRef]
- Ma, J.; Song, W.G.; Lo, S.M.; Fang, Z.M. New insights into turbulent pedestrian movement pattern in crowd-quakes. J. Stat. Mech. Theory Exp. 2013, 2013, P02028. [Google Scholar] [CrossRef]
- Wei, J.; Fan, W.; Guo, Y.; Hu, J.S.; Fang, Y. An extended social force model for pedestrian evacuation under disturbance fluctuation force. Int. J. Mod. Phys. C 2020, 31, 2050102. [Google Scholar] [CrossRef]
- Wang, X.; Zhang, Z.; Wang, Y.; Yang, J.; Lu, L. A study on safety evaluation of pedestrian flows based on partial impact dynamics by real-time data in subway stations. Sustainability 2022, 14, 10328. [Google Scholar] [CrossRef]
- Guo, Y.; Ma, S.; Wei, F.; Lu, L.; Sun, F.; Wang, J. Analysis of behavior characteristics for pedestrian twice-crossing at signalized intersections based on an improved social force model. Sustainability 2022, 14, 2003. [Google Scholar] [CrossRef]
- Zeng, W.; Nakamura, H.; Chen, P. A modified social force model for pedestrian behavior simulation at signalized crosswalks. Procedia Soc. Behav. Sci. 2014, 138, 521–530. [Google Scholar] [CrossRef]
- Lu, C.X. Analysis on the wave of pedestrians. China Saf. Sci. J. 2006, 16, 30–34+146. [Google Scholar] [CrossRef]
- Qin, W.; Cui, B.; Lou, X. Tracking control of disturbed crowd dynamic system using unit sliding mode control and feedback linearization. Nonlinear Dyn. 2019, 98, 2247–2260. [Google Scholar] [CrossRef]
- Flurin, S.H.; Michel, B.; Bilal, F.; Thomas, M. A macroscopic loading model for time-varying pedestrian flows in public walking areas. Transp. Res. Part B Methodol. 2014, 69, 60–80. [Google Scholar] [CrossRef]
- Wang, P.; Yu, G.; Wu, X.; Wang, Y. Linear and nonlinear stability analysis of an extended car-following model considering pedestrians on adjacent lane. Nonlinear Dyn. 2017, 88, 777–789. [Google Scholar] [CrossRef]
- Zhao, R.; Hu, Q.; Liu, Q.; Li, C.; Dong, D.; Ma, Y. Panic propagation dynamics of high-density crowd based on information entropy and aw-rascle model. IEEE Trans. Intell. Transp. Syst. 2020, 21, 4425–4434. [Google Scholar] [CrossRef]
- Li, C.; Zhao, R.; Wang, Y.; Jia, P.; Zhu, W.; Ma, Y.; Li, M. Disturbance propagation model of pedestrian fall behavior in a pedestrian crowd and elimination mechanism analysis. IEEE Trans. Intell. Transp. Syst. 2023, 25, 1519–1529. [Google Scholar] [CrossRef]
- Cundall, P.A.; Strack, O.D.L. A discrete numerical model for granular assemblies. Geotechnique 1979, 29, 47–65. [Google Scholar] [CrossRef]
- Mindlin, R.D. Compliance of elastic bodies in contact. J. Appl. Mech. 2021, 16, 259–268. [Google Scholar] [CrossRef]
- Pasha, M.; Dogbe, S.; Hare, C.; Hassanpour, A.; Ghadiri, M. A linear model of elasto-plastic and adhesive contact deformation. Granul. Matter 2014, 16, 151–162. [Google Scholar] [CrossRef]
- Maio, F.D.; Renzo, A.D. Modelling particle contacts in distinct element simulations: Linear and non-linear approach. Chem. Eng. Res. Des. 2005, 83, 1287–1297. [Google Scholar]
- Shi, D.D.; Li, X.F.; Chen, J.; Wang, Q.; Lovreglio, R.; Ma, J. Understanding pedestrian movement with baggage on stairway: Insights from controlled experiments. Travel Behav. Soc. 2024, 35, 100754. [Google Scholar] [CrossRef]
- Li, X. Study on the Human Crowd Characteristics and Trampling and Crowd Risk in Railway Station. Ph.D. Thesis, Beijing Jiaotong University, Beijing, China, 2020. [Google Scholar]
- Liu, Y.; Ma, X.; Tao, Y.; Dong, L.; Ding, X.; Qiu, X. Numerical investigation on the impact of obstacles on phase transition in pedestrian counter-flow. Phys. A Stat. Mech. Appl. 2024, 635, 129499. [Google Scholar] [CrossRef]
- Aw, A.; Rascle, M. Resurrection of “second order” models of traffic flow. SIAM J. Appl. Math. 2000, 60, 916–938. [Google Scholar] [CrossRef]
- Helbing, D.; Farkas, I.; Vicsek, T. Simulating dynamical features of escape panic. Nature 2000, 407, 487–490. [Google Scholar] [CrossRef] [PubMed]
- Zhao, R.; Wang, Y.; Jia, P.; Zhu, W.; Li, C.; Ma, Y.; Li, M. Abnormal behavior detection based on dynamic pedestrian centroid model: Case study on u-turn and fall-down. IEEE Trans. Intell. Transp. Syst. 2023, 24, 8066–8078. [Google Scholar] [CrossRef]
- Zhao, R.; Liu, Q.; Hu, Q.; Dong, D.; Li, C.; Ma, Y. Lyapunov-based crowd stability analysis for asymmetric pedestrian merging layout at t-shaped street junction. IEEE Trans. Intell. Transp. Syst. 2021, 22, 6833–6842. [Google Scholar] [CrossRef]
- Rascle, M. An improved macroscopic model of traffic flow: Derivation and links with the lighthill-whitham model. Math. Comput. Model. 2002, 35, 581–590. [Google Scholar] [CrossRef]
- Zhang, B.S. Experimental study on the influence of baggage weight on evacuation speed. Fire Sci. Technol. 2021, 40, 837–842. [Google Scholar]














| Key Area | |
|---|---|
| Entrance of corridor | |
| Middle of corridor | |
| Exit of corridor | |
| Down stairs | |
| Up stairs | |
| Platform queuing area |
| Category | Parameters | Value |
|---|---|---|
| Non-luggage passenger particle | Initial density (ped/m2) | Variable |
| Desire velocity (m/s) | Variable | |
| Initial velocity (m/s) | 1.2 m/s | |
| Particle radius (m) | 1.1 m | |
| Particle mass (kg) | 64.08 | |
| Contact | Fraction coefficient μ | 0.3 |
| Normal stiffness kn | ||
| Initial shear stiffness ks | ||
| Normal damping coefficient | ||
| Shear damping coefficient | ||
| Luggage-laden passenger particle | Initial density ρ (ped/m2) | Variable |
| Desire velocity (m/s) | Variable | |
| Initial velocity (m/s) | 1.2 m/s | |
| Particle radius (m) | 0.75 | |
| Particle radius m (kg) | 74 |
Disclaimer/Publisher’s Note: The statements, opinions and data contained in all publications are solely those of the individual author(s) and contributor(s) and not of MDPI and/or the editor(s). MDPI and/or the editor(s) disclaim responsibility for any injury to people or property resulting from any ideas, methods, instructions or products referred to in the content. |
© 2024 by the authors. Licensee MDPI, Basel, Switzerland. This article is an open access article distributed under the terms and conditions of the Creative Commons Attribution (CC BY) license (https://creativecommons.org/licenses/by/4.0/).
Share and Cite
Wei, B.; Zhao, R.; Li, C.; Li, M.; Ma, Y.; Wong, E.S.W. Disturbance Propagation Model of Luggage Drifting Motion Based on Nonlinear Pressure in Typical Passenger Corridors of Transportation Hubs. Appl. Sci. 2024, 14, 4942. https://doi.org/10.3390/app14114942
Wei B, Zhao R, Li C, Li M, Ma Y, Wong ESW. Disturbance Propagation Model of Luggage Drifting Motion Based on Nonlinear Pressure in Typical Passenger Corridors of Transportation Hubs. Applied Sciences. 2024; 14(11):4942. https://doi.org/10.3390/app14114942
Chicago/Turabian StyleWei, Bingyu, Rongyong Zhao, Cuiling Li, Miyuan Li, Yunlong Ma, and Eric S. W. Wong. 2024. "Disturbance Propagation Model of Luggage Drifting Motion Based on Nonlinear Pressure in Typical Passenger Corridors of Transportation Hubs" Applied Sciences 14, no. 11: 4942. https://doi.org/10.3390/app14114942
APA StyleWei, B., Zhao, R., Li, C., Li, M., Ma, Y., & Wong, E. S. W. (2024). Disturbance Propagation Model of Luggage Drifting Motion Based on Nonlinear Pressure in Typical Passenger Corridors of Transportation Hubs. Applied Sciences, 14(11), 4942. https://doi.org/10.3390/app14114942

