Core Technology Topic Identification and Evolution Analysis Based on Patent Text Mining—A Case Study of Unmanned Ship
Abstract
1. Introduction
2. Literature Review
3. Methods
3.1. Research Framework
- Patent data collection and preprocessing. First, we collect and download patent data in unmanned ship technology, then clean the collected data, delete irrelevant and duplicate data, and standardize the data.
- Technical topic identification. Mining and identifying technical topics and keywords through the LDA topic model and TF-IDF text vectorization method, and drawing word cloud diagrams.
- Evolution results of technical theme intensity. Draw a heat map of technical topics based on the intensity of technical topics, and analyze the attention and rise and fall of technical topics at each stage.
- Evolution results of technical theme content. This paper divides technology development stages according to the technology life cycle theory, uses cosine distance to measure the similarity between technical topics, draws the content evolution diagram of technical topics, and analyzes the evolutionary relationship between technical topics at each stage.
3.2. Data Acquisition
3.3. Methods
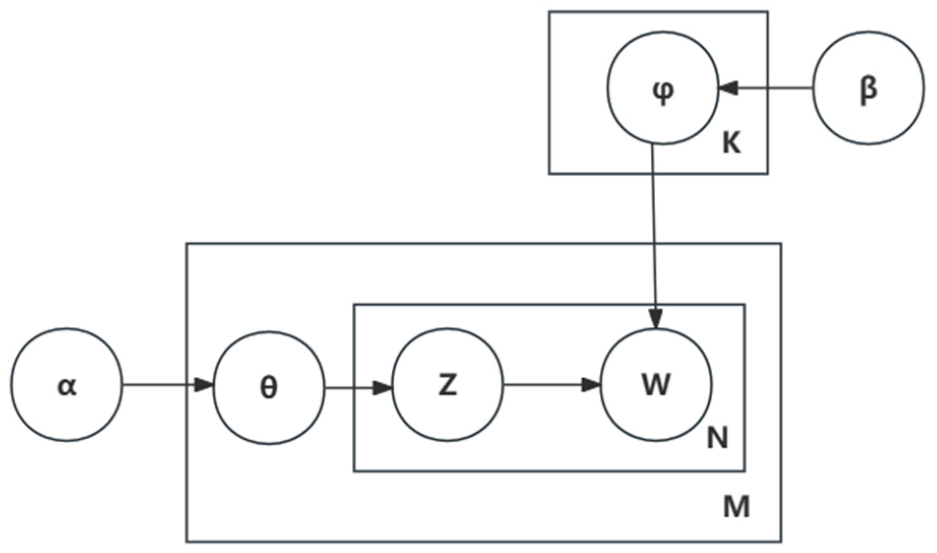
3.3.1. LDA Topic Model
3.3.2. Technical Topic Extraction
3.3.3. Technical Theme Intensity
3.3.4. Evolution of Technical Theme Content
4. Results and Analysis
4.1. Technical Theme Identification
4.2. Technical Theme Intensity Evolution
4.3. Technical Theme Content Evolution
- In the embryonic stage (2013–2015), the number of annual patent applications in unmanned ships began to increase, and the annual growth rate increased slowly, indicating that the technology in unmanned ships was gradually developing.
- In the rapid development stage (2016–2019), the number of annual patent applications in unmanned ship technology increased rapidly, and the annual growth rate was relatively high, indicating that the technology in unmanned ships was developing rapidly.
- In the stable development stage (2020–2022), the annual number of patent applications in the unmanned ship field technology was at a high level, and the annual growth rate was low, indicating that after the rapid development stage of the unmanned ship field technology, unmanned ship technology technology was still evolving.
5. Discussion
- (A)
- Against the use of TF-IDF with LDA:
- (B)
- In favor of using TF-IDF with LDA:
6. Conclusions
Author Contributions
Funding
Data Availability Statement
Conflicts of Interest
References
- Ampah, J.D.; Jin, C.; Fattah, I.M.R.; Appiah-Otoo, I.; Afrane, S.; Geng, Z.; Liu, H. Investigating the evolutionary trends and key enablers of hydrogen production technologies: A patent-life cycle and econometric analysis. Int. J. Hydrogen Energy 2023, 48, 37674–37707. [Google Scholar] [CrossRef]
- Miao, Z.; Du, J.; Dong, F.; Liu, Y.; Wang, X. Identifying technology evolution pathways using topic variation detection based on patent data: A case study of 3D printing. Futures 2020, 118, 102530. [Google Scholar] [CrossRef]
- Liu, Z.; Feng, J.; Uden, L. From technology opportunities to ideas generation via cross-cutting patent analysis: Application of generative topographic mapping and link prediction. Technol. Forecast. Soc. Chang. 2023, 192, 122565. [Google Scholar] [CrossRef]
- Baumann, M.; Domnik, T.; Haase, M.; Wulf, C.; Emmerich, P.; Rösch, C.; Weil, M. Comparative patent analysis for the identification of global research trends for the case of battery storage, hydrogen and bioenergy. Technol. Forecast. Soc. Chang. 2021, 165, 120505. [Google Scholar] [CrossRef]
- Lee, P.C.; Su, H.N.; Wu, F.S. Quantitative mapping of patented technology—The case of electrical conducting polymer nanocomposite. Technol. Forecast. Soc. Chang. 2010, 77, 466–478. [Google Scholar] [CrossRef] [PubMed]
- Zhang, H.; Daim, T.; Zhang, Y.P. Integrating patent analysis into technology roadmapping: A latent dirichlet allocation based technology assessment and roadmapping in the field of Blockchain. Technol. Forecast. Soc. Chang. 2021, 167, 120729. [Google Scholar] [CrossRef]
- Zhou, H.; Dai, J.; Chen, X.; Hu, B.; Wei, H.; Cai, H.H. Understanding innovation of new energy industry: Observing development trend and evolution of hydrogen fuel cell based on patent mining. Int. J. Hydrogen Energy 2024, 52, 548–560. [Google Scholar] [CrossRef]
- Liu, Z.; Xiang, X.; Feng, J. Tracing evolutionary trajectory of charging technologies in electric vehicles: Patent citation network analysis. Environ. Dev. Sustain. 2023, 26, 12789–12813. [Google Scholar] [CrossRef]
- Yang, C.; Huang, C.; Su, J. An improved SAO network-based method for technology trend analysis: A case study of graphene. J. Inf. 2018, 12, 271–286. [Google Scholar] [CrossRef]
- Wang, J.; Cheng, L.; Feng, L.; Lin, K.Y.; Zhang, L.; Zhao, W. Tracking and predicting technological knowledge interactions between artificial intelligence and wind power: Multimethod patent analysis. Adv. Eng. Inf. 2023, 58, 102177. [Google Scholar] [CrossRef]
- Dotsika, F.; Watkins, A. Identifying potentially disruptive trends by means of keyword network analysis. Technol. Forecast. Soc. Chang. 2017, 119, 114–127. [Google Scholar] [CrossRef]
- Xue, D.; Shao, Z. Patent text mining based hydrogen energy technology evolution path identification. Int. J. Hydrogen Energy 2024, 49, 699–710. [Google Scholar] [CrossRef]
- Lin, W.; Yu, W. Measuring Patent Similarity Based on Text Mining and Image Recognition. Systems 2023, 11, 294. [Google Scholar] [CrossRef]
- Altuntas, F.; Gok, M.S. A data-driven analysis of renewable energy management: A case study of wind energy technology. Clust. Comput. 2023, 26, 4133–4152. [Google Scholar] [CrossRef]
- Di Corso, E.; Proto, S.; Vacchetti, B.; Bethaz, P.; Cerquitelli, T. Simplifying text mining activities: Scalable and self-tuning methodology for topic detection and characterization. Appl. Sci. 2022, 12, 5125. [Google Scholar] [CrossRef]
- Khachatryan, D.; Muehlmann, B. Measuring the drafting alignment of patent documents using text mining. PLoS ONE 2020, 15, e0234618. [Google Scholar] [CrossRef]
- Garechana, G.; Rio-Belver, R.; Bildosola, I.; Cilleruelo-Carrasco, E. A method for the detection and characterization of technology fronts: Analysis of the dynamics of technological change in 3D printing technology. PLoS ONE 2019, 14, e0210441. [Google Scholar] [CrossRef]
- Wu, H.; Yi, H.; Li, C. An integrated approach for detecting and quantifying the topic evolutions of patent technology: A case study on graphene field. Scientometrics 2021, 126, 6301–6321. [Google Scholar] [CrossRef]
- Ashouri, S.; Mention, A.L.; Smyrnios, K.X. Anticipation and analysis of industry convergence using patent-level indicators. Scientometrics 2021, 126, 5727–5758. [Google Scholar] [CrossRef]
- Hu, R.; Ma, W.; Lin, W.; Chen, X.; Zhong, Z.; Zeng, C. Technology topic identification and trend prediction of new energy vehicle using LDA modeling. Complexity 2022, 2022, 1–20. [Google Scholar] [CrossRef]
- Small, H.; Boyack, K.W.; Klavans, R. Identifying emerging topics in science and technology. Res. Policy 2014, 43, 1450–1467. [Google Scholar] [CrossRef]
- Zheng, X.; Aborisade, M.A.; Liu, S.; Lu, S.; Oba, B.T.; Xu, X.; Ding, H. The history and prediction of composting technology: A patent mining. J. Clean. Prod. 2020, 276, 124232. [Google Scholar] [CrossRef]
- Ning, L.; Guo, R. Technological diversification to green domains: Technological relatedness, invention impact and knowledge integration capabilities. Res. Policy 2022, 51, 104406. [Google Scholar] [CrossRef]
- Naumanen, M.; Uusitalo, T.; Huttunen-Saarivirta, E.; van der Have, R. Development strategies for heavy duty electric battery vehicles: Comparison between China, EU, Japan and USA. Resour. Conserv. Recycl. 2019, 151, 104413. [Google Scholar] [CrossRef]
- Govindarajan, U.H.; Trappey, A.J.C.; Trappey, C.V. Intelligent collaborative patent mining using excessive topic generation. Adv. Eng. Inf. 2019, 42, 100955. [Google Scholar] [CrossRef]
- Wang, B.; Liu, S.; Ding, K.; Liu, Z.; Xu, J. Identifying technological topics and institution-topic distribution probability for patent competitive intelligence analysis: A case study in LTE technology. Scientometrics 2014, 101, 685–704. [Google Scholar] [CrossRef]
- Han, X.; Zhu, D.; Lei, M.; Daim, T. R&D trend analysis based on patent mining: An integrated use of patent applications and invalidation data. Technol. Forecast. Soc. Chang. 2021, 167, 120691. [Google Scholar]
- Wei, T.; Jiang, T.; Feng, D.; Xiong, J. Exploring the Evolution of Core Technologies in Agricultural Machinery: A Patent-Based Semantic Mining Analysis. Electronics 2023, 12, 4277. [Google Scholar] [CrossRef]
- Li, X.; Wu, Y.; Cheng, H.; Xie, Q.; Daim, T. Identifying technology opportunity using SAO semantic mining and outlier detection method: A case of triboelectric nanogenerator technology. Technol. Forecast. Soc. Chang. 2023, 189, 122353. [Google Scholar] [CrossRef]
- Ghaffari, M.; Aliahmadi, A.; Khalkhali, A.; Zakery, A.; Daim, T.U.; Yalcin, H. Topic-based technology mapping using patent data analysis: A case study of vehicle tires. Technol. Forecast. Soc. Chang. 2023, 193, 122576. [Google Scholar] [CrossRef]
- Wang, J.; Zhang, Z.; Feng, L.; Lin, K.Y.; Liu, P. Development of technology opportunity analysis based on technology landscape by extending technology elements with BERT and TRIZ. Technol. Forecast. Soc. Chang. 2023, 191, 122481. [Google Scholar] [CrossRef]
- Wei, C.; Chaoran, L.; Chuanyun, L.; Lingkai, K.; Zaoli, Y. Tracing the evolution of 3-D printing technology in China using LDA-based patent abstract mining. IEEE Trans. Eng. Manag. 2020, 69, 1135–1145. [Google Scholar] [CrossRef]
- Ma, Y.; Kong, L.; Lin, C.; Yang, X. Research on the identification of generic technology of eco-friendly materials based on text mining. Environ. Sci. Pollut. Res. 2022, 29, 35269–35283. [Google Scholar] [CrossRef] [PubMed]
- Pan, X.; Zhong, B.; Wang, X.; Xiang, R. Text mining-based patent analysis of BIM application in construction. J. Civ. Eng. Manag. 2021, 27, 303–315. [Google Scholar] [CrossRef]
- Yun, J.; Geum, Y. Automated classification of patents: A topic modeling approach. Comput. Ind. Eng. 2020, 147, 106636. [Google Scholar] [CrossRef]
- Wang, J.; Hsu, C.C. A topic-based patent analytics approach for exploring technological trends in smart manufacturing. J. Manuf. Technol. Manag. 2021, 32, 110–135. [Google Scholar] [CrossRef]
- Hu, Z.; Fang, S.; Liang, T. Empirical study of constructing a knowledge organization system of patent documents using topic modeling. Scientometrics 2014, 100, 787–799. [Google Scholar] [CrossRef]









| Paper | Model Used | Real Dataset | Special Features | Limitations | |
|---|---|---|---|---|---|
| Patent classification numbers | Zhang et al. [6] | LDA, text similarity calculation | blockchain field patents | Technological evolution | Inaccurate, Without objectivity |
| Zhou et al. [7] | IPC co-category analysis | hydrogen fuel cell patents | map the knowledge map of hotspots | Inaccurate, Insufficient information | |
| Patent citation networks | Liu et al. [8] | Main path analysis, Evolutionary trajectory | electric vehicles patents | co-opetition situation analysis | Inaccurate, Time lag |
| Yang et al. [9] | structural holes, SAO network | Graphene patents | identifying technology development trends | maybe errors in explaining the relationship | |
| Patent Text content | Wang et al. [10] | LDA | Communication patents | Increased institutional topic probability hierarchy | Without dynamic characteristics |
| Dotsika et al. [11] | keyword network analysis, visualization approach | 3D Printing, Big Data, Bitcoin, Cloud Technologies, | Technical forecasts | Inaccurate | |
| Xue et al. [12] | technology evolution path | hydrogen energy patent | visualization | Uncovered potential information | |
| Lin et al. [13] | SAO, text similarity | mechanical structures patent | fast, accurate | Without dynamic characteristics | |
| Altuntas et al. [14] | k-means, text mine | Renewable energy patent | data-driven analysis | Unclear evolutionary path | |
| Di et al. [15] | topic modeling, clustering | scientific papers | Automated determination of parameters | take a long time, long text |
| Type | Content |
|---|---|
| Database | Patsnap Database |
| Search scope | 2013–2022 |
| Patent search scope | Invention application patent, Utility model patent, Authorized invention patent, and Design patent |
| Search expression | Key words = (unmanned ship) |
| Topic | Topic Word |
|---|---|
| Topic #0. | Controller, Design, Velocity, Time, Error, Disturbance, Observer, Performance, Guidance, Surface |
| Topic #1. | Wireless, Terminal, Robot, Base station, Ship, Cable, Technology, Communication, Transmission, User |
| Topic #2. | Navigation, Ship, Command, Action, Experimentation, Status, Risk, Assessment, Status, Capability |
| Topic #3. | Path, Planning, Obstacle, Steps, Route, Algorithm, Goal, Dynamic, Environment, Information |
| Topic #4. | Hull, Structure, Power, Field, Technology, Tail, Water Surface, Anti-collision, Camera, Effect |
| Topic #5. | Pump, Airbag, Pushrod, Bottom, Plate, Hydraulic, Fascia, Inflatable, Rod, Inlet, Pressure |
| Topic #6. | Data, Intelligence, Servers, Environment, Networks, Analytics, Data Processing, Remote, Integrated, Transmission |
| Topic #7. | Body, Spring, Active, Slider, Camera, Motor, Slot, Support, Rod, Slide, Slide Rail |
| Topic #8. | Information, Shore-based, Video, Failure, Status, Transmission, Node, Oil, Spill Control Command, Messages |
| Topic #9. | Boxes, Floats, Openings, Pipes, Grooves, Rings, Components, Rails Water, plants, Containers |
| Topic #10. | Sensors, Positioning, Heading, Distance, Angle, Adjustment, Attitude, Speed, Information, Trajectory |
| Topic #11. | Bracket, Circuit, Mode, Remote, Control, Power, Supply, Flexible, Work, Function, Voltage |
| Topic #12. | Signal, Rescue, Status, Dock, Inertial, Rotor, Personnel, Momentary, Sensing, Gain |
| Topic #13. | Module, Space, Ground, Power, Camera, Size, Object, Electric, Control, Body Management System |
| Topic #14. | Component, Hull, Adjustment, Component, Driver, Tubing, Structure, Fuselage, Impact, Damping |
| Topic #15. | Module, Controller, Positioning, Data, Communication, Attitude, Up, Drive, Transmission, Remote |
| Topic #16. | Formation, Ship, Collaboration, Mothership, Buoyage, Orbit, Network, Distributed, Shelf, Formation |
| Topic #17. | Measurement, Subsystem, River, Hydrology, Observation, Carrier, Data, Acoustic, Work Steps |
| Topic #18. | Thruster, Automatic, Structure, Cabin, Direction, Deck, Helm, Horizontal, Motion, Field |
| Topic #19. | Body, Limit, Battery, Support, Frame, Structure, Sheet, Elasticity, Function, Collection, Box, Technology |
| Topic #20. | Unit, Mechanical, Attitude, Storage, Centre, Winch, Base, Crossbar, Automatic, Monitoring |
| Topic #21. | Partial, task, processor, calibration, test, catheter, indicator, monitoring, point, computational, structure |
| Topic #22. | Powerplant, Mast, Battery, Bow, Sludge, Central, Navigation, System, Electrode, Somewhat, Corresponding |
| Topic #23. | Platform, Movement, Sonar, Emitter, Marker, Direction, Range, Adjustment, Motion, Terminal |
| Topic #24. | Drives, Motors, Propellers, Power, Farming, Feeding, Shafts, Transmission, Fields, Feeding |
| Topic #25. | Image, Ultrasound, Camera, Receiver, Image-processing, Pixel, Classification, Area, Object, Body |
| Topic #26. | Equipment, Operation, Monitoring, Remote, Water, Area, Technology, Field, Communication, Method, Work |
| Topic #27. | Surface, Case, Screw, thread, Slide, Motor, Map, Gear, Structure, Frame, Shaft |
| Topic #28. | Model Move Trajectory Parameter Problem Environment Predict Optimization Algorithm State |
| Topic #29. | Antenna Chassis Test Shell Cable Catamaran Connector Circuit Board Rotating Shaft Structure |
| Topic #30. | Solar, Energy, Battery, Power, Generation, Electricity, Electric, Battery, Panel, Generator, Wind, Wave, Utilisation |
| Topic #31. | Target, Water, surface, Detection, Radar, Features, Vision, Area, Cohesion, Data, Utilization |
| Topic #32. | Mechanisms, Garbage, Surface, Float, Regulating, Drive, Field, Technology, Floaters, Dynamics |
| Topic #33. | Detection, Monitor, Water, quality, Water, body, Waters, Analyze, Watery, Sensor, Automation, Pollution |
| Topic #34. | Area, Guidance, Water, Preset, Bathymetry, Terrain, Technology, Surface, Water, Sample, Operations |
| Stage 1 (2013–2015) | Stage 2 (2016–2019) | Stage 3 (2020–2022) |
|---|---|---|
| Theme Content | Theme Content | Theme Content |
| (A-Topic 0) Remote control | (B-Topic 0) Power Battery | (C-Topic 0) Sampling technology |
| (A-Topic 1) Sensor Technology | (B-Topic 1) Image Processing | (C-Topic 1) Solar Battery |
| (A-Topic 2) Water monitoring | (B-Topic 2) Garbage removal | (C-Topic 2) Garbage removal |
| (A-Topic 3) Autonomous navigation | (B-Topic 3) Water quality testing | (C-Topic 3) Path planning |
| (A-Topic 4) Measurement technology | (B-Topic 4) Hull structure | (C-Topic 4) Intelligent Aquaculture |
| (A-Topic 5) Hull structure | (B-Topic 5) Attitude control | (C-Topic 5) Speed control |
| (A-Topic 6) Drive System | (B-Topic 6) Target Detection | (C-Topic 6) Hull structure |
| (B-Topic 7) Remote control | (C-Topic 7) Remote control | |
| (B-Topic 8) Solar battery | (C-Topic 8) Movable platform | |
| (B-Topic 9) Advancing technology | (C-Topic 9) Water quality testing | |
| (B-Topic 10) Path planning | (C-Topic 10) Propulsion equipment | |
| (B-Topic 11) Surveillance system | (C-Topic 11) Surveying and mapping technology | |
| (B-Topic 12) Autonomous navigation | (C-Topic 12) Positioning technology | |
| (B-Topic 13) Motor drive | (C-Topic 13) Power Battery | |
| (B-Topic 14) Surveying and mapping technology | (C-Topic 14) Simulation Technology |
Disclaimer/Publisher’s Note: The statements, opinions and data contained in all publications are solely those of the individual author(s) and contributor(s) and not of MDPI and/or the editor(s). MDPI and/or the editor(s) disclaim responsibility for any injury to people or property resulting from any ideas, methods, instructions or products referred to in the content. |
© 2024 by the authors. Licensee MDPI, Basel, Switzerland. This article is an open access article distributed under the terms and conditions of the Creative Commons Attribution (CC BY) license (https://creativecommons.org/licenses/by/4.0/).
Share and Cite
Lin, Y.; Wang, X.; Yang, J.; Wang, S. Core Technology Topic Identification and Evolution Analysis Based on Patent Text Mining—A Case Study of Unmanned Ship. Appl. Sci. 2024, 14, 4661. https://doi.org/10.3390/app14114661
Lin Y, Wang X, Yang J, Wang S. Core Technology Topic Identification and Evolution Analysis Based on Patent Text Mining—A Case Study of Unmanned Ship. Applied Sciences. 2024; 14(11):4661. https://doi.org/10.3390/app14114661
Chicago/Turabian StyleLin, Yan, Xuelei Wang, Jing Yang, and Shutian Wang. 2024. "Core Technology Topic Identification and Evolution Analysis Based on Patent Text Mining—A Case Study of Unmanned Ship" Applied Sciences 14, no. 11: 4661. https://doi.org/10.3390/app14114661
APA StyleLin, Y., Wang, X., Yang, J., & Wang, S. (2024). Core Technology Topic Identification and Evolution Analysis Based on Patent Text Mining—A Case Study of Unmanned Ship. Applied Sciences, 14(11), 4661. https://doi.org/10.3390/app14114661
