Pinning Energy and Evidence of Granularity in the AC Susceptibility of an YBa2Cu3O7-x Superconducting Film
Abstract
Featured Application
Abstract
1. Introduction
2. Materials and Methods
3. Results and Discussion
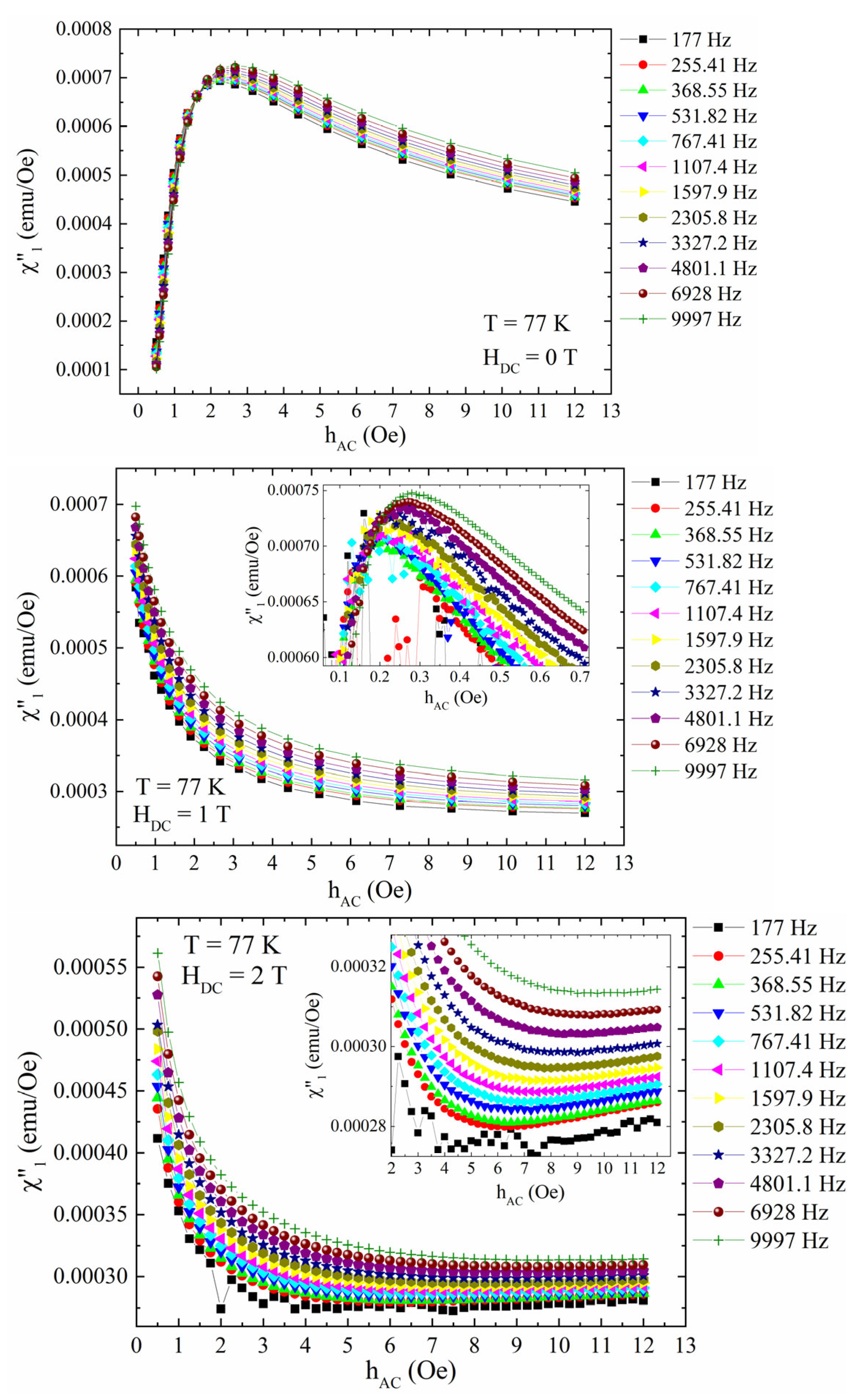
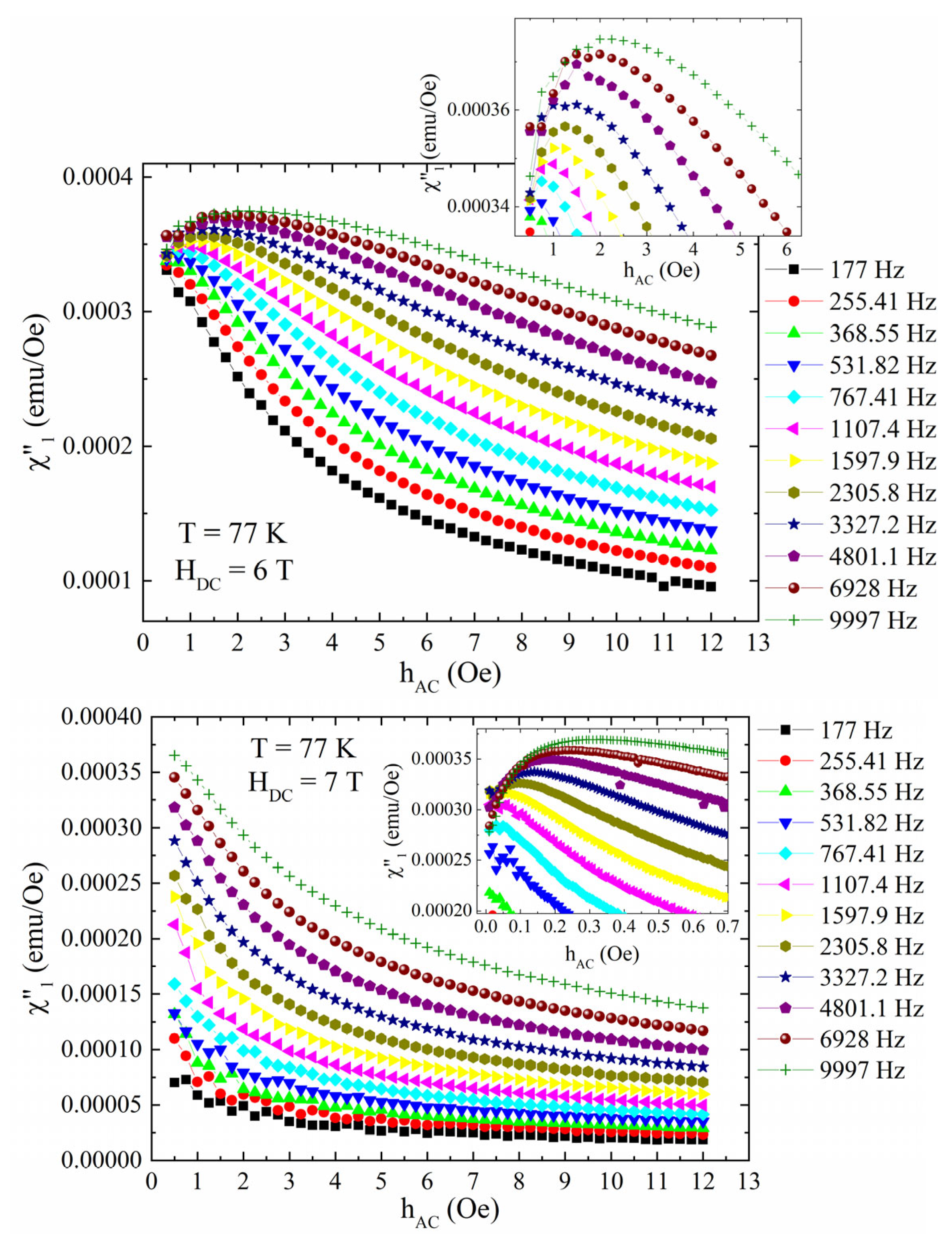
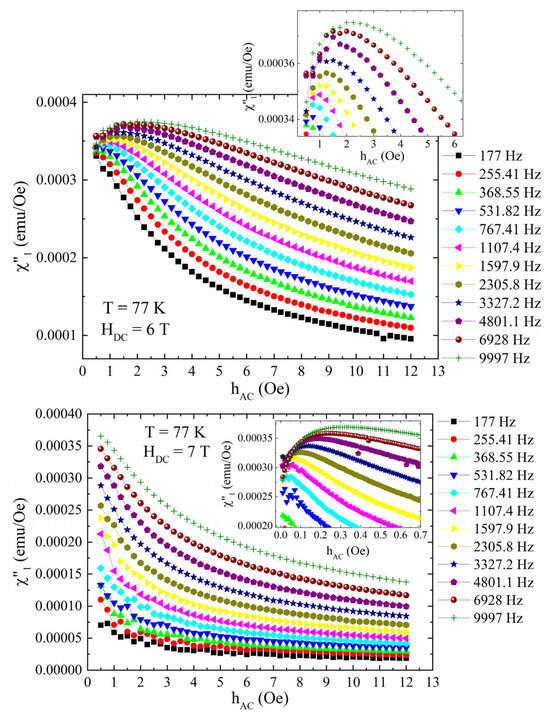
3.1. AC Susceptibility as a Function of AC Field Amplitude:
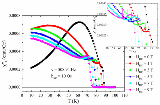
3.2. AC Susceptibility as a Function of Temperature:
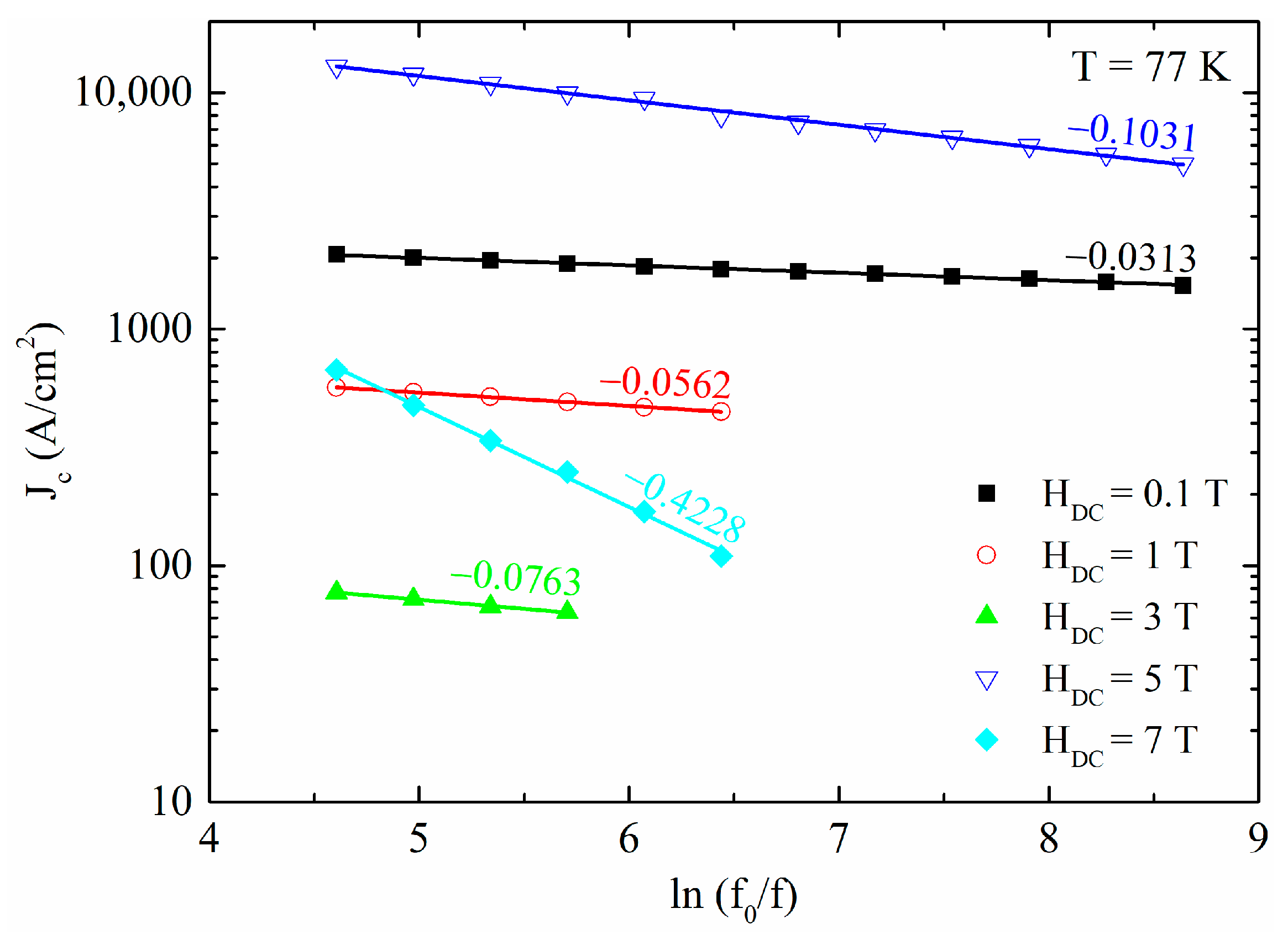
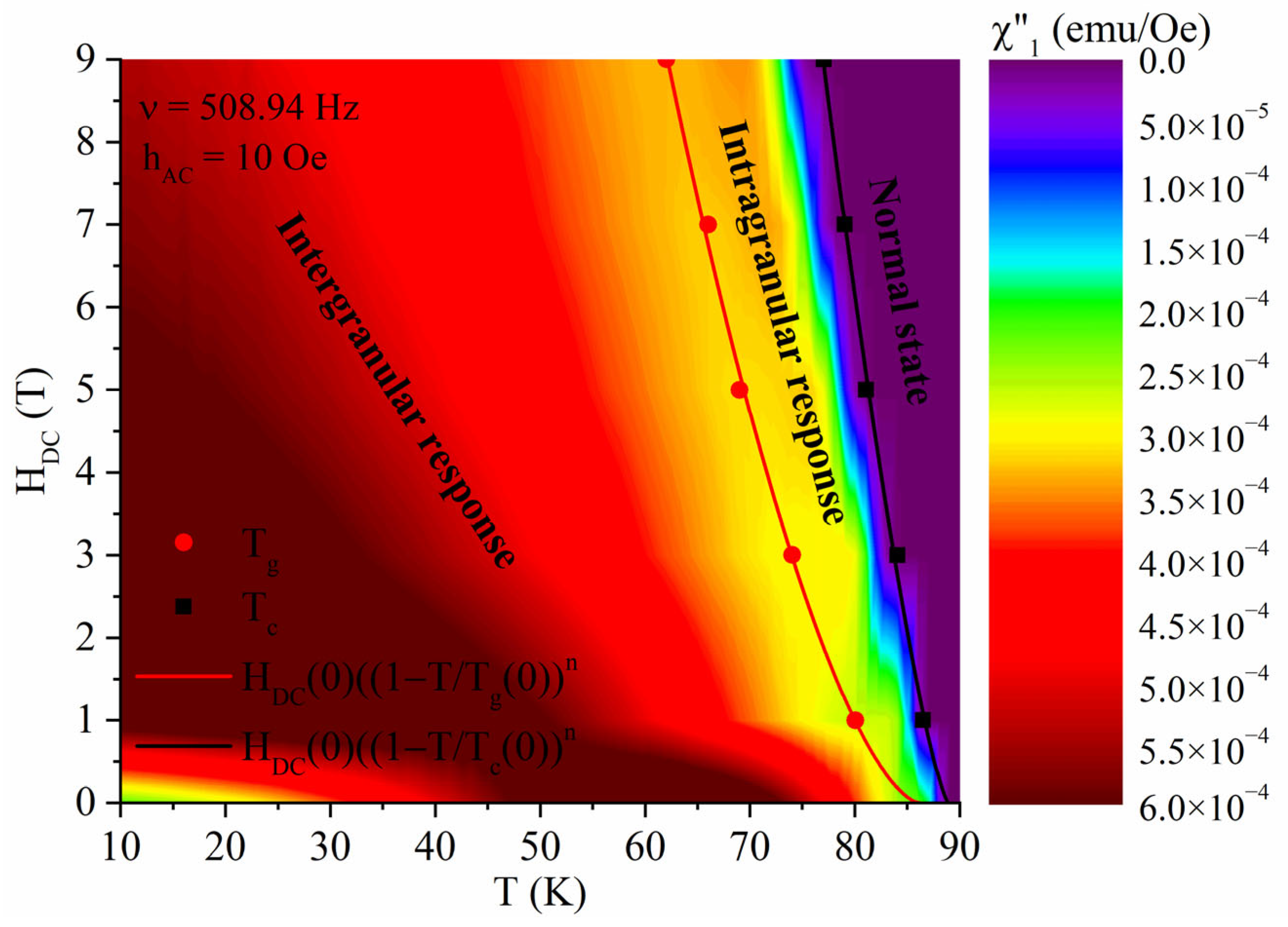
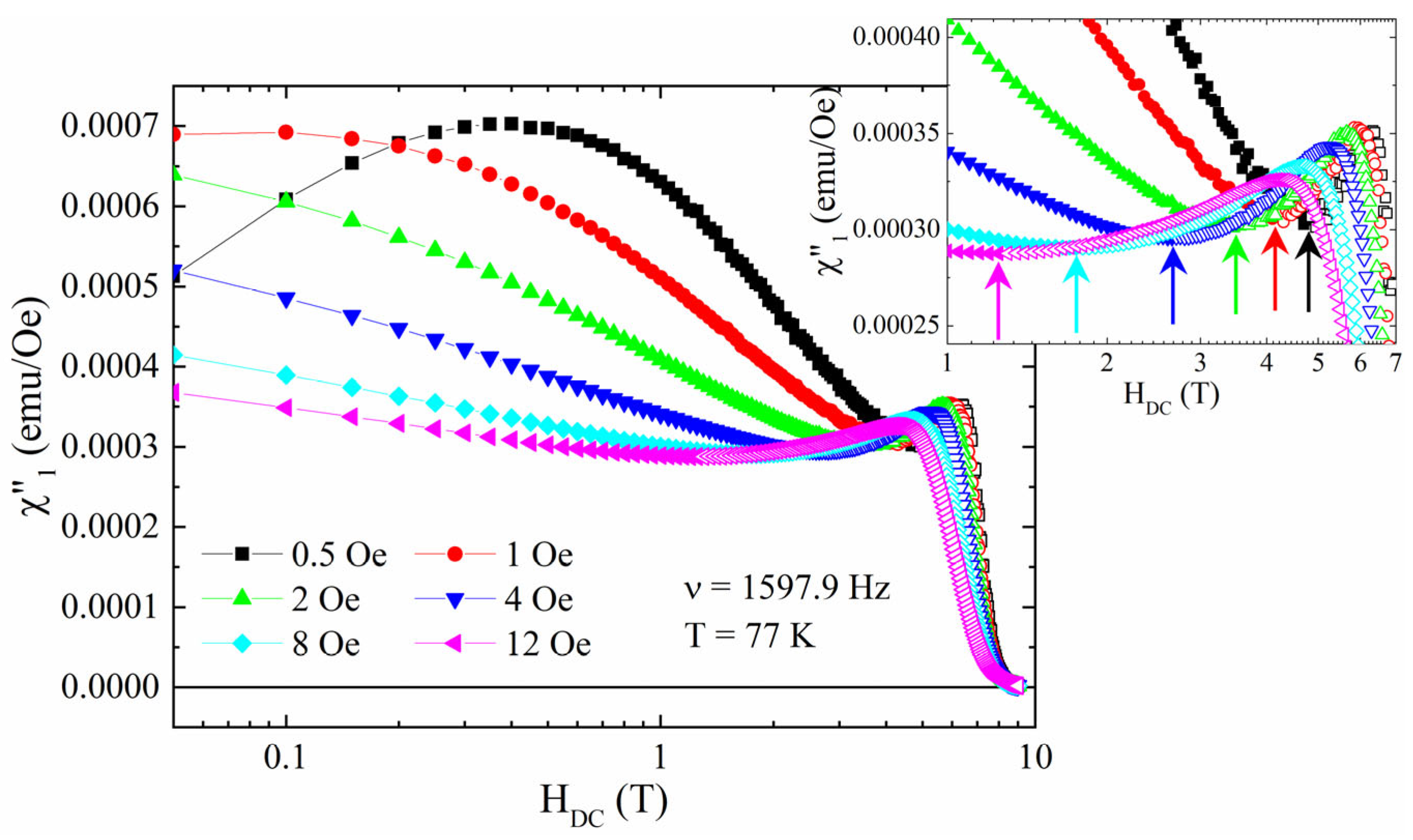
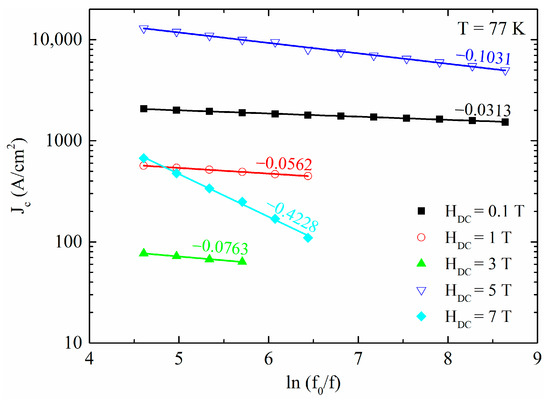
3.3. AC Susceptibility as a Function of DC Field:
4. Conclusions
Author Contributions
Funding
Institutional Review Board Statement
Informed Consent Statement
Data Availability Statement
Conflicts of Interest
References
- Onnes, K. Further experiments with liquid helium. C. On the change of electric resistance of pure metals at very low temperatures etc. IV. The resistance of pure mercury at helium temperatures. KNAW Proc. 1911, 13, 1274–1276. [Google Scholar]
- Bednorz, J.G.; Müller, K.A. Possible high Tc superconductivity in the Ba-La-Cu-O system. Z. Phys. B Condens. Matter 1986, 64, 189–193. [Google Scholar] [CrossRef]
- Belala, K.; Galluzzi, A.; Mosbah, M.F.; Polichetti, M. Transport and magnetic properties of Bi(Pb)2212 superconducting ceramics doped by low rate of potassium. Mater. Sci. 2021, 39, 15–23. [Google Scholar] [CrossRef]
- Menassel, S.; Galluzzi, A.; Boudjadja, Y.; Altintas, S.P.; Terzioglu, C.; Polichetti, M. Investigation of Cr addition effect on structural, morphological, electrical and magnetic properties of Bi(Pb)-2212 superconductors. J. Mater. Sci. Mater. Electron. 2023, 34, 1145. [Google Scholar] [CrossRef]
- Bardeen, J.; Cooper, L.N.; Schrieffer, J.R. Theory of superconductivity. Phys. Rev. 1957, 108, 1175–1204. [Google Scholar] [CrossRef]
- Brylewski, T.; Przybylski, K.; Morawski, A.; Gajda, D.; Cetner, T.; Chmist, J. Soft-chemistry synthesis of Ba2Ca2Cu3Ox precursor and characterization of high-T c Hg0.8Pb0.2Ba2Ca2Cu3O8+δ superconductor. J. Adv. Ceram. 2016, 5, 185–196. [Google Scholar] [CrossRef]
- Wu, M.K.; Ashburn, J.R.; Torng, C.J.; Hor, P.H.; Meng, R.L.; Gao, L.; Huang, Z.J.; Wang, Y.Q.; Chu, C.W. Superconductivity at 93 K in a new mixed-phase Yb-Ba-Cu-O compound system at ambient pressure. Phys. Rev. Lett. 1987, 58, 908–910. [Google Scholar] [CrossRef]
- Bussmann-Holder, A.; Keller, H. High-temperature superconductors: Underlying physics and applications. Z. Naturforschung B 2019, 75, 3–14. [Google Scholar] [CrossRef]
- Hott, R. Application Fields of High-Temperature Superconductors. In High Temperature Superconductivity 2; Springer: Berlin/Heidelberg, Germany, 2004; pp. 35–48. [Google Scholar]
- Jaiaraman, S.; Madhu, S. Research review on magnetic levitation trains. Int. J. Appl. Eng. Res. 2015, 10, 26808–26814. [Google Scholar]
- Jacob, A.; Monteiro, N. A new concept of superelevation in magnetic levitation—Prodynamic. Transp. Syst. Technol. 2018, 4, 77–111. [Google Scholar] [CrossRef]
- Swithenby, S.J. SQUID magnetometers: Uses in medicine. Phys. Technol. 1987, 18, 17–24. [Google Scholar] [CrossRef]
- Wang, Z.; Van Oort, J.M.; Zou, M.X. Development of superconducting magnet for high-field MR systems in China. Phys. C Supercond. Appl. 2012, 482, 80–86. [Google Scholar] [CrossRef]
- Cosmus, T.C.; Parizh, M. Advances in whole-body MRI magnets. IEEE Trans. Appl. Supercond. 2011, 21, 2104–2109. [Google Scholar] [CrossRef]
- Hassenzahl, W.V.; Hazelton, D.W.; Johnson, B.K.; Komarek, P.; Noe, M.; Reis, C.T. Electric power applications of superconductivity. Proc. IEEE 2004, 92, 1655–1674. [Google Scholar] [CrossRef]
- Malozemoff, A.P.; Yuan, J.; Rey, C.M. High-temperature superconducting (HTS) AC cables for power grid applications. In Superconductors in the Power Grid: Materials and Applications; Woodhead Publishing: Cambridge, UK, 2015; pp. 133–188. ISBN 9781782420378. [Google Scholar]
- Wright, K.; Beck, K.M.; Debnath, S.; Amini, J.M.; Nam, Y.; Grzesiak, N.; Chen, J.S.; Pisenti, N.C.; Chmielewski, M.; Collins, C.; et al. Benchmarking an 11-qubit quantum computer. Nat. Commun. 2019, 10, 5464. [Google Scholar] [CrossRef]
- Huang, H.L.; Wu, D.; Fan, D.; Zhu, X. Superconducting quantum computing: A review. Sci. China Inf. Sci. 2020, 63, 180501. [Google Scholar] [CrossRef]
- Albiss, B.A.; Obaidat, I.M. Applications of YBCO-coated conductors: A focus on the chemical solution deposition method. J. Mater. Chem. 2010, 20, 1836–1845. [Google Scholar] [CrossRef]
- Obradors, X.; Puig, T. Coated conductors for power applications: Materials challenges. Supercond. Sci. Technol. 2014, 27, 044003. [Google Scholar] [CrossRef]
- Awaji, S.; Badel, A.; Okada, T.; Takahashi, K.; Miyazaki, H.; Hanai, S.; Ioka, S.; Fujita, S.; Muto, S.; Iijima, Y.; et al. Robust REBCO Insert Coil for Upgrade of 25 T Cryogen-Free Superconducting Magnet. IEEE Trans. Appl. Supercond. 2021, 31, 4300105. [Google Scholar] [CrossRef]
- Uglietti, D. A review of commercial high temperature superconducting materials for large magnets: From wires and tapes to cables and conductors. Supercond. Sci. Technol. 2019, 32, 053001. [Google Scholar] [CrossRef]
- Tinkham, M.; Lobb, C.J. Physical Properties of the New Superconductors. Solid State Phys. 1989, 42, 91–134. [Google Scholar] [CrossRef]
- Hilgenkamp, H.; Mannhart, J. Grain boundaries in high-Tc superconductors. Rev. Mod. Phys. 2002, 74, 485–549. [Google Scholar] [CrossRef]
- Durrell, J.H.; Rutter, N.A. Importance of low-angle grain boundaries in YBa2Cu 3O7-δ coated conductors. Supercond. Sci. Technol. 2009, 22, 013001. [Google Scholar] [CrossRef][Green Version]
- Chen, D.X.; Nogues, J.; Rao, K.V. Ac susceptibility and intergranular critical current density of high Tc superconductors. Cryogenics 1989, 29, 800–808. [Google Scholar] [CrossRef]
- Kunold, A.; Hernández, M.; Myszkowski, A.; Cardoso, J.L.; Pereyra, P. Ac susceptibility in granular superconductors: Theory and experiment. Phys. C Supercond. Appl. 2002, 370, 63–70. [Google Scholar] [CrossRef]
- Buchkov, K.; Galluzzi, A.; Mancusi, D.; Nazarova, E.; Pace, S.; Polichetti, M. Harmonic AC magnetic susceptibility analysis of FeSe crystals with composite morphology. Phys. Scr. 2019, 94, 085804. [Google Scholar] [CrossRef]
- Mancusi, D.; Galluzzi, A.; Pace, S.; Polichetti, M. Demagnetization harmonic effects on the magnetization of granular systems on a macroscopic scale: The superconducting case. J. Phys. Condens. Matter 2017, 29, 425701. [Google Scholar] [CrossRef]
- Chen, D.X.; Sanchez, A.; Puig, T.; Martinez, L.M.; Muñoz, J.S. AC susceptibility of grains and matrix for high-Tc superconductors. Phys. C Supercond. Appl. 1990, 168, 652–667. [Google Scholar] [CrossRef]
- Hein, R.; Francavilla, T.; Liebenberg, D. Magnetic Susceptibility of Superconductors and Other Spin Systems; Hein, R.A., Francavilla, T.L., Liebenberg, D.H., Eds.; Springer: Boston, MA, USA, 1991; ISBN 978-1-4899-2381-3. [Google Scholar]
- Carapella, G.; Sabatino, P.; Barone, C.; Pagano, S.; Gombos, M. Current driven transition from Abrikosov-Josephson to Josephson-like vortex in mesoscopic lateral S/S′/S superconducting weak links. Sci. Rep. 2016, 6, 35694. [Google Scholar] [CrossRef]
- Gömöry, F. Characterization of high-temperature superconductors by AC susceptibility measurements. Supercond. Sci. Technol. 1997, 10, 523–542. [Google Scholar] [CrossRef]
- Nikolo, M.; Goldfarb, R.B. Flux creep and activation energies at the grain boundaries of Y-Ba-Cu-O superconductors. Phys. Rev. B 1989, 39, 6615–6618. [Google Scholar] [CrossRef]
- Ishida, T.; Goldfarb, R.B. Fundamental and harmonic susceptibilities of YBa2Cu3O7. Phys. Rev. B 1990, 41, 8937–8948. [Google Scholar] [CrossRef]
- Galluzzi, A.; Nigro, A.; Fittipaldi, R.; Guarino, A.; Pace, S.; Polichetti, M. DC magnetic characterization and pinning analysis on Nd1.85Ce0.15CuO4 cuprate superconductor. J. Magn. Magn. Mater. 2019, 475, 125–129. [Google Scholar] [CrossRef]
- Galluzzi, A.; Mancusi, D.; Cirillo, C.; Attanasio, C.; Pace, S.; Polichetti, M. Determination of the Transition Temperature of a Weak Ferromagnetic Thin Film by Means of an Evolution of the Method Based on the Arrott Plots. J. Supercond. Nov. Magn. 2018, 31, 1127–1132. [Google Scholar] [CrossRef]
- Yeshurun, Y.; Malozemoff, A.P.; Shaulov, A. Magnetic relaxation in high-temperature superconductors. Rev. Mod. Phys. 1996, 68, 911–949. [Google Scholar] [CrossRef]
- Galluzzi, A.; Leo, A.; Masi, A.; Varsano, F.; Nigro, A.; Grimaldi, G.; Polichetti, M. Magnetic Vortex Phase Diagram for a Non-Optimized CaKFe4As4 Superconductor Presenting a Wide Vortex Liquid Region and an Ultra-High Upper Critical Field. Appl. Sci. 2023, 13, 884. [Google Scholar] [CrossRef]
- Galluzzi, A.; Buchkov, K.; Tomov, V.; Nazarova, E.; Leo, A.; Grimaldi, G.; Pace, S.; Polichetti, M. Mixed state properties analysis in AC magnetic field of strong pinning Fe(Se,Te) single crystal. Supercond. Sci. Technol. 2020, 33, 094006. [Google Scholar] [CrossRef]
- Ionescu, A.M.; Ivan, I.; Crisan, D.N.; Galluzzi, A.; Polichetti, M.; Ishida, S.; Iyo, A.; Eisaki, H.; Crisan, A. Pinning potential in highly performant CaKFe4As4 superconductor from DC magnetic relaxation and AC multi-frequency susceptibility studies. Sci. Rep. 2022, 12, 19132. [Google Scholar] [CrossRef]
- Ivan, I.; Ionescu, A.M.; Crisan, D.N.; Andrei, A.; Galluzzi, A.; Polichetti, M.; Mosqueira, J.; Crisan, A. Pinning Potential of the Self-Assembled Artificial Pinning Centers in Nanostructured YBa2Cu3O7−x Superconducting Films. Nanomaterials 2022, 12, 1713. [Google Scholar] [CrossRef]
- Bean, C.P. Magnetization of High-Field Superconductors. Rev. Mod. Phys. 1964, 36, 31–39. [Google Scholar] [CrossRef]
- Crisan, A.; Iyo, A.; Tanaka, Y.; Hirai, M.; Tokumoto, M.; Ihara, H. Superconducting properties from AC susceptibility and harmonic generation in CuBa2Ca3Cu4Oy bulk superconductors. Phys. C Supercond. Appl. 2001, 353, 227–240. [Google Scholar] [CrossRef]
- Crisan, A.; Iyo, A.; Kito, H.; Tanaka, Y.; Hirai, M.; Sasase, M.; Okayasu, S.; Ihara, H. AC susceptibility and higher harmonics studies of heavy-ion irradiated CuBa2Ca3Cu4Oy bulk superconductor with highest irreversibility field above liquid-nitrogen temperature. Phys. C Supercond. 2002, 378–381, 112–117. [Google Scholar] [CrossRef]
- Weber, H.W. Critical currents in superconductors. In Proceedings of the 7th International Workshop; World Scientific: London, UK, 1994; pp. 1–716. [Google Scholar]
- Brandt, E.H. Thin superconductors in a perpendicular magnetic ac field: General formulation and strip geometry. Phys. Rev. B 1994, 49, 9024–9040. [Google Scholar] [CrossRef]
- Anderson, P.W.; Kim, Y.B. Hard superconductivity: Theory of the motion of abrikosov flux lines. Rev. Mod. Phys. 1964, 36, 39–43. [Google Scholar] [CrossRef]
- Blatter, G.; Feigel’Man, M.V.; Geshkenbein, V.B.; Larkin, A.I.; Vinokur, V.M. Vortices in high-temperature superconductors. Rev. Mod. Phys. 1994, 66, 1125–1388. [Google Scholar] [CrossRef]
- Zeldov, E.; Amer, N.M.; Koren, G.; Gupta, A.; Gambino, R.J.; McElfresh, M.W. Optical and electrical enhancement of flux creep in YBa2Cu3O7−δ epitaxial films. Phys. Rev. Lett. 1989, 62, 3093–3096. [Google Scholar] [CrossRef]
- Yeshurun, Y.; Malozemoff, A.P. Giant flux creep and irreversibility in an Y-Ba-Cu-O crystal: An alternative to the superconducting-glass model. Phys. Rev. Lett. 1988, 60, 2202–2205. [Google Scholar] [CrossRef]
- Bean, C.P. Magnetization of hard superconductors. Phys. Rev. Lett. 1962, 8, 250–253. [Google Scholar] [CrossRef]
- Ozogul, O. Investigation of the ac magnetic field dependence of the first and the third harmonics of the ac susceptibility in a granular Bi-2223 sample. Phys. Status Solidi Appl. Mater. Sci. 2005, 202, 1793–1798. [Google Scholar] [CrossRef]
- Polichetti, M.; Adesso, M.G.; Zola, D.; Luo, J.; Chen, G.F.; Li, Z.; Wang, N.L.; Noce, C.; Pace, S. Granularity and vortex dynamics in LaFeAsO0.92F0.08 probed by harmonics of the ac magnetic susceptibility. Phys. Rev. B 2008, 78, 224523. [Google Scholar] [CrossRef]
- Clem, J.R.; Malozemoff, A.P. Theory of ac loss in power transmission cables with second generation high temperature superconductor wires. Supercond. Sci. Technol. 2010, 23, 034014. [Google Scholar] [CrossRef]
- Mendes, U.C.; Jezouin, S.; Joyez, P.; Reulet, B.; Blais, A.; Portier, F.; Mora, C.; Altimiras, C. Parametric amplification and squeezing with an ac- and dc-voltage biased superconducting junction. Phys. Rev. Appl. 2019, 11, 034035. [Google Scholar] [CrossRef]
- Bort-Soldevila, N.; Cunill-Subiranas, J.; Sanchez, A. Complete and robust magnetic field confinement by superconductors in fusion magnets. Sci. Rep. 2024, 14, 3653. [Google Scholar] [CrossRef]










Disclaimer/Publisher’s Note: The statements, opinions and data contained in all publications are solely those of the individual author(s) and contributor(s) and not of MDPI and/or the editor(s). MDPI and/or the editor(s) disclaim responsibility for any injury to people or property resulting from any ideas, methods, instructions or products referred to in the content. |
© 2024 by the authors. Licensee MDPI, Basel, Switzerland. This article is an open access article distributed under the terms and conditions of the Creative Commons Attribution (CC BY) license (https://creativecommons.org/licenses/by/4.0/).
Share and Cite
Galluzzi, A.; Crisan, A.; Ionescu, A.M.; Ivan, I.; Leo, A.; Grimaldi, G.; Polichetti, M. Pinning Energy and Evidence of Granularity in the AC Susceptibility of an YBa2Cu3O7-x Superconducting Film. Appl. Sci. 2024, 14, 4379. https://doi.org/10.3390/app14114379
Galluzzi A, Crisan A, Ionescu AM, Ivan I, Leo A, Grimaldi G, Polichetti M. Pinning Energy and Evidence of Granularity in the AC Susceptibility of an YBa2Cu3O7-x Superconducting Film. Applied Sciences. 2024; 14(11):4379. https://doi.org/10.3390/app14114379
Chicago/Turabian StyleGalluzzi, Armando, Adrian Crisan, Alina Marinela Ionescu, Ion Ivan, Antonio Leo, Gaia Grimaldi, and Massimiliano Polichetti. 2024. "Pinning Energy and Evidence of Granularity in the AC Susceptibility of an YBa2Cu3O7-x Superconducting Film" Applied Sciences 14, no. 11: 4379. https://doi.org/10.3390/app14114379
APA StyleGalluzzi, A., Crisan, A., Ionescu, A. M., Ivan, I., Leo, A., Grimaldi, G., & Polichetti, M. (2024). Pinning Energy and Evidence of Granularity in the AC Susceptibility of an YBa2Cu3O7-x Superconducting Film. Applied Sciences, 14(11), 4379. https://doi.org/10.3390/app14114379

