Next Article in Journal
Delayed Enhancement in Cardiac CT: A Potential Alternative to Cardiac MRI? Technical Updates and Clinical Considerations
Previous Article in Journal
Physiological and Biomechanical Characteristics of Olympic and World-Class Rowers—Case Study
 
 
Font Type:
Arial Georgia Verdana
Font Size:
Aa Aa Aa
Line Spacing:
Column Width:
Background:
Article

Application of Three-Dimensional Porous Aerogel as Adsorbent for Removal of Textile Dyes from Water

by
Monika Liugė
1,*,
Dainius Paliulis
1 and
Teresė Leonavičienė
2
1
Department of Environmental Protection and Water Engineering, Vilnius Gediminas Technical University (VILNIUS TECH), Sauletekio Str. 11, 10223 Vilnius, Lithuania
2
Department of Mathematical Modelling, Vilnius Gediminas Technical University (VILNIUS TECH), Sauletekio Str. 11, 10223 Vilnius, Lithuania
*
Author to whom correspondence should be addressed.
Appl. Sci. 2024, 14(10), 4274; https://doi.org/10.3390/app14104274
Submission received: 27 March 2024 / Revised: 20 April 2024 / Accepted: 16 May 2024 / Published: 17 May 2024

Abstract

The textile industry is one of the most important industries in the European Union. The main environmental problems of the textile industry are the high water consumption, the generated pollution, the variety of chemicals used and the high energy demand. Recently, adsorbents with a large specific surface area and low weight, such as aerogels, have attracted great interest as promising materials for removing dyes from polluted water. Cellulose aerogels are inexpensive and non-toxic. Langmuir and Freundlich isotherms were chosen as the best method to describe the performance of the adsorbent. In this study, the adsorption efficiency of Congo red, Naphthol green B, Rhodamine B and Methylene blue were determined by using an adsorbent synthesized from paper and cardboard waste. The total organic carbon concentration was chosen as an indicator of the concentration of the dyes in the solutions. The aerogel capsules had 5% cellulose content. It was found that the adsorption capacity of the aerogel in the solutions of Congo red varied from 0.028 mg/g to 14.483 mg/g; in the solutions of Naphthol green B, from 0.013 mg/g to 7.698 mg/g; in the solutions of Rhodamine B, from 0.020 mg/g to 8.768 mg/g; and in the solutions of Methylene blue, from 0.024 mg/g to 13.538 mg/g.

1. Introduction

Due to the expansion of the industrial sector, large amounts of wastewater are generated every year [1]. Untreated wastewater released into the natural environment can cause significant harm to humans, animals, plants and microorganisms [2]. Organic dyes can block the penetration of sunlight, reducing the photosynthesis efficiency of aquatic plants. Dyes can also accumulate in animals and cause serious health problems due to their mutagenic and/or carcinogenic properties [2].
Dyes are organic pollutants with a complex chemical structure that is characterized by high stability [3]. Dyes absorb light in the visible spectrum (400–700 nm) and contain one or more chromophores. Chromophores contain heteroatoms such as N, O and S, which include bonds such as -N=N-, =C=O, NO or N-OH, -NO2 or NO-OH, and C=S [4]. Groups of chromophores are unsaturated and consist of atoms or groups of atoms in which single and double bonds are arranged one after the other and resonate, thus allowing the absorption of light rays. Synthetic dyes are characterized by great structural diversity, resulting in significant differences in chemical and physical properties [3].
Congo red is a dye belonging to the group of azo dyes with the molecular formula of C32H22N6Na2O6S2. It is a water-soluble chemical that forms a red colloidal solution when the dye dissolves [5]. Due to its color change from blue to red at pH 3.0–5.2, Congo red can be used as a pH indicator.
Naphthol green B is a coordination iron complex used as a dye. Its molecular formula is C30H15FeN3Na3O15S3. The absorption maximum of Naphthol green B in water is at a wavelength of 714 nm [6].
Rhodamine B is often used to determine the speed and direction of flow. Rhodamine dyes fluoresce [7]. The molecular formula of the dye is C28H31ClN2O3.
Methylene blue is a heterocyclic aromatic chemical compound with the molecular formula of C16H18N3SCl. The dye is widely used in various fields, such as biology and chemistry [8]. At room temperature, Methylene blue is a solid, odorless, dark-green powder that dissolves in water to form a blue solution.
Among the wastewater treatment methods most often mentioned in the scientific literature, adsorption is considered an effective option for wastewater treatment [9]. Adsorption efficiency depends on the type of adsorbent [10]. Currently, the most commonly used adsorbents are made of carbon. Activated carbon is characterized by a large specific surface area, low cost and high porosity [11]. However, this material has poor regenerative properties and reusability.
Cellulose is a renewable and naturally degradable biomass material [12]. The aerogels obtained not from petroleum but rather from, for example, cellulose, chitosan, lignin, pectin or other materials have high adsorption properties for removing organic pollutants from wastewater [13]. This is due to the high porosity, high specific surface area and low density of aerogels [14].
Cellulose-based aerogel materials are made from regenerated cellulose or nanocellulose, which requires special solvents and the treatment of plant fibers with acids and bases or formaldehyde, glutaraldehyde and epichlorohydrin [15].
There are various methods of recovery or reuse of aerogel capsules. One of the simplest methods to recover the capsules is mechanical compression [16]. A chemical method using ethanol and a physical method of distillation are both possible options [17].
The disposal of aerogel is not regulated, but the most common practice is burning the used capsules of sorbent. The scientific literature increasingly describes the use of microorganisms for the decomposition of pollutants deposited on aerogel capsules and the decomposition of cellulose, since it is a biodegradable material [18]. It is also possible to recycle aerogel capsules at special sites where, for example, soil contaminated with petroleum products is recycled. Storage of this material in landfills or storage in special biodegradable containers is possible. Unfortunately, not much research has been performed on this topic.
One type of aerogel capsules with cellulose content reaching 5% was used in this study. The aim of this work was to determine whether it is suitable to use an adsorbent made from paper and cardboard waste for the removal of Congo red, Naphthol green B, Rhodamine B and Methylene blue, the dyes used in the textile industry, from aqueous solutions.

2. Materials and Methods

2.1. Chemicals and Materials

The Congo red, Naphthol green B, Rhodamine B and Methylene blue dyes that are used in the textile industry were chosen for the experimental studies in powder form.
The laboratory equipment and chemical reagents listed below were used for the experimental study:
  • Chemical reagents: chemically clean Congo red, Naphthol green B, Rhodamine B and Methylene blue dyes; distilled water that meets the requirements of standard ISO 3696:1987 [19], 0.1 M H2SO4 and 0.1 M NaOH aqueous solutions and potassium hydrogen phthalate.
  • Laboratory equipment: Radwag analytical balance, glass-fiber filter paper “REF A0478855”, filter paper “Qualitative Filter Paper Grade 202” and pH meter “Mettler Toledo Multi seven”; 50, 100 and 500 mL volumetric flasks and 1, 2, 10 and 25 mL graduated pipettes, Shimadzu TOC total carbon analyzer, synthetic air balloon, vacuum pump, magnetic stirrer Heidolph MR 1000 (LabMakelaar Benelux B.V., Zevenhuizen, The Netherlands) and SEM Helios Nanolab 650 (FEI, Eindhoven, The Netherlands).

2.2. Preparation of Aqueous Solutions

The pH values of the aqueous solutions were measured before and after each adsorption test. Before the experimental studies, the calibration of the pH meter “Mettler Toledo Multi seven” was carried out. Tests were performed at room temperature: in the temperature range of 20–23 °C.
Glass measuring vessels of 50, 100 and 500 mL were used for this research. Before use, dishes were cleaned with distilled water and dried.
Studies on the adsorption of the dyes using an adsorbent synthesized from paper and cardboard waste, aerogel, were carried out for up to 24 h by continuously stirring the aqueous solutions of the dye prepared with a magnetic stirrer. Based on the sources of the scientific literature, the following time intervals were chosen: 5 min, 10 min, 15 min, 20 min, 25 min, 30 min, 35 min, 40 min, 45 min, 50 min, 55 min, 60 min, 120 min, 240 min, 480 min and 1440 min.
Aqueous solutions of the dyes with concentrations of 0.1 mg/L, 0.5 mg/L 1.0 mg/L, 2.0 mg/L, 5.0 mg/L, 10.0 mg/L, 50.0 mg/L, 100.0 mg/L and 200.0 mg/L were prepared for the adsorption tests.
The required amounts of Congo red, Naphthol green B, Rhodamine B and Methylene blue dye powders were added to a 100 mL measuring flask, and distilled water was added to the 100 mL mark. The samples intended for the adsorption test under static conditions were transferred to larger-capacity (500 mL) glass vessels, placed in an automatic mixer and stirred at a speed of 400 revolutions per minute. Based on the results of research conducted by other scientists, it was decided to use a speed no higher than 400 revolutions per minute in order not to destroy the original structure of the aerogel capsule. At speeds greater than 400 rpm, the blades of the automatic mixer begin to break down the structure of the aerogel capsule by tearing apart the fibers that make up the adsorbent. During the tests, the aerogel capsules were completely immersed in the prepared aqueous dye solutions.
It was decided to use a 0.8 g amount of aerogel under static conditions in the adsorption study.

2.3. Batch Adsorption Tests

Adsorption studies under static conditions were terminated after the predetermined adsorption time by separating the aerogel capsules from the prepared aqueous solutions of the dyes Congo red, Naphthol green B, Rhodamine B and Methylene blue that are used in the textile industry by filtering them through a glass-fiber filter. The separated aerogel capsules were not reused in further stages of the study.
Aerogel capsules are composed of small cellulose fibers that can be seen with the naked eye. One type of aerogel capsule with the cellulose content of 5% was used in this study. When synthesizing aerogel capsules of different composition, there are no restrictions regarding the amount of cellulose in them. Aerogel capsules with cellulose content below or above 5% were not used due to the fact that these capsules have lower values of adsorption capacity.

2.4. Fabrication of Aerogels Made from Paper and Cardboard Waste

The adsorbent used in the adsorption studies under static conditions was synthesized at Klaipėda University, Department of Engineering, Faculty of Marine Technologies and Natural Sciences. The aerogel mixture was produced in several stages. Water was mixed with shredded paper (5%). After adding an environmentally friendly crosslinking agent, starch, 0.1% of the total, the mixture was prepared for 3 min by stirring at 20,000 rpm by using an UltraTurrax T25 digital IKA (IKA-Werke GmbH & Co. KG, Staufen, Germany) (stainless steel rotor/stator diameter of 18 mm). Next, the mixture was homogenized and poured into 40 mL jars. Then, the mixture was frozen; freezing took about 3 h at −18 °C. The lyophilization process was performed under vacuum at a pressure of 0.015 hPa and a condenser temperature of −105 °C (ScanVac CoolSafe; LaboGene, Lillerod, Denmark). The purpose of this process was to evaporate the water crystals. In this way, a porous 3D structure of aerogels was formed.
After preparing the main aerogel mass, its modification began. After freeze-drying, the samples were placed in a 3 L beaker and coated with MTMS material (methyltrimethoxysilane) in order to give them hydrophobicity. The top of the glass was covered with aluminum foil and placed in a 70 °C oven for 12 h.

2.5. Characterization

Aerogel capsules were circular, 5 (+/−0.5) cm in diameter and 1 cm in height (Figure 1). The density of the aerogel was 40.753 kg/m3.
The contact angle of the aerogel samples, which were based on cardboard and paper waste, was between 117 and 125° (Figure 2). The wettability of the aerogel surface, which was made from paper and cardboard waste, was investigated by measuring the water contact angle (θ) by using the sessile drop method. In order to take a close-up picture, the high-resolution camera of a smartphone was used. The contact angle was calculated by using contact angle measurement software (protractor) based on the droplet shape image obtained. A few drops of distilled water were used for the test.
If the angle is less than 90°, the aerogel is hydrophilic, and if the angle is greater than 90°, it is hydrophobic.
After crushing the adsorbent to granules, the aerogel still retains its hydrophobicity properties. However, shredding should only be performed during the production stage, as even slightly incorrect shredding the aerogel during the cutting stage can damage its 3D structure. Aerogel crushing is a negative factor to the aerogel’s porosity, low density and large specific surface area, properties that lead to higher adsorption capacity values.
A SEM was employed to visualize the morphology of aerogel. The surface area of the aerogel before the adsorption process under static conditions can be seen in Figure 3 below.
The unique internal structure of aerogel, made from paper and cardboard waste, is a major factor that is expected to improve its absorption properties under static conditions. As can be seen in Figure 3, the aerogel was composed of many fibers with angular edges. This high surface-area-to-volume ratio improves aerogels’ adsorption properties.
Further, Figure 4 shows that after the adsorption process, which took 24 h, dye particles settled on the surface of aerogel; the visible bubbles on the surface indicate dye particles.
FTIR analysis is one of the efficient techniques used in the characterization of organic compounds. As described in Liuge et al. (2024) [20], FTIR was used in order to confirm the presence of functional groups. Functional groups of azo group for the dye Congo red were found from 1410 cm−1 to 1440 cm−1. Peaks around the 3200 cm−1 and 3300 cm−1 indicated the group of O-H. The peaks of Naphthol green B which were found between 1318 cm−1 and 874 cm−1 presented the characteristic bands of the sulfonate groups. The peaks of Rhodamine B at 1639 cm−1 and 1423 cm−1 were due to NH2 bending vibration. The peak at 1333 cm−1 corresponded to the stretching vibrations of the C-N-terminal saturated dimethylamine groups.

2.6. Determination of Residual Dissolved Total Organic Carbon

A Shimadzu TOC total organic carbon analyzer (Shimadzu Corporation, Kyoto, Japan) was used to determine the residual dissolved total organic carbon in aqueous solutions after the adsorption test under static conditions. It is a fast and reliable method for monitoring the concentration of organic matter dissolved in water using carbon as an indicator.
The Shimadzu analyzer system consists of the following blocks: TOC-VCSN—analyzer; SSM-5000A—solid-sample combustion unit; and ASI-V—automatic liquid sample collection system.
The process of testing a liquid sample for total organic carbon includes several stages, detailed as follows:
  • Thirty minutes before starting the test, the analyzer should be turned on, and the carrier gas should be released;
  • Special 40 mL test tubes are prepared. A detergent is added to an empty test tube (for example, 2.5 g of iodine and 12.5 g of potassium iodide are added to a liter of 1% (volume) sulfuric acid), and the walls of the bottle are properly covered by shaking, followed by a 15 min wait. The solution is poured out, and the test tubes are rinsed thoroughly with tap water and then with distilled water; finally, they are dried;
  • The liquid samples need to be filtered. Suspended solids are removed by using a glass-fiber filter (1.2 µm). The samples are poured into special test tubes with a capacity of 40 mL so that ~1 cm of the test tube remains empty;
  • The sample tubes are placed in the drum of the automatic liquid sampling system and analyzed. Samples containing carbon compounds are heated to 680 °C in an oxygen-rich environment in carbon combustion tubes filled with a platinum catalyst. The carbon dioxide produced during oxidation is detected by using an infrared gas analyzer. The signal from the detector produces a peak reading, where its area is proportional to the concentration of total organic carbon in the sample.
For the preparation of standard TC solutions, the following steps are necessary:
  • A total of 2.125 g of pure potassium hydrogen phthalate, previously dried for 1 h at 105–120 °C and cooled in a drying cabinet, is weighed;
  • The weighed amount of potassium hydrogen phthalate is added to a measuring flask with a capacity of 1 L and dissolved in distilled water;
  • The standard stock solution is diluted with distilled water to prepare a standard stock solution of the selected concentration.
Based on the methodology of the research described above, experimental studies were carried out in which an attempt was made to assess whether the dyes Congo red, Naphthol green B, Rhodamine B and Methylene blue that are used in the textile industry could be removed from an aqueous solution by using an adsorbent made from paper and cardboard waste.

2.7. Adsorption Isotherms and Kinetics

Isothermal and kinetic studies play an important role in estimating the behavior and performance of an adsorption system [21]. Adsorption isotherms describe the phenomenon that regulates the movement of molecules from the mobile phase to the solid phase at a constant temperature [22].
Most of the works on aerogels have suggested that the Langmuir isotherm is better suited for representing the data in comparison to other models, including the Temkin or Freundlich model [23].
The adsorption process equilibrium data were fitted to the Langmuir and Freundlich isotherms. The equilibrium relation between the adsorbed amount of the adsorbate and the amount of the adsorbate in the solution was determined by using the following equation:
q e =   C 0 C e   V m ,
where qe (mg/g)—adsorption capacity; C0 (mg/L)—initial concentration of adsorbate; Ce (mg/L)—equilibrium concentration of adsorbate; V (L)—volume of solution; and m (g)—mass of the adsorbent.
Langmuir and Freundlich isotherms were chosen as best describing the performance of the adsorbent made from paper and cardboard waste.
The formula for the Langmuir isotherm is
q e = q m   K L C e 1 + K L C e ,
and that for the Freundlich isotherm is
q e = K f C e 1 n ,
where qm is the maximum adsorption capacity (mg/g), KL is the Langmuir isotherm constant (l/g), Kf is the Freundlich isotherm constant (mg/g)/(mg/l)−1/n and n is the Freundlich exponent.
In equilibrium studies, it is customary to use linear forms of isotherms.
The linear form of the Langmuir isotherm used is
C e q e = 1 q m K L + C e q m .
And the linear form of Freundlich isotherm is
log q e = log K f + 1 n log C e .
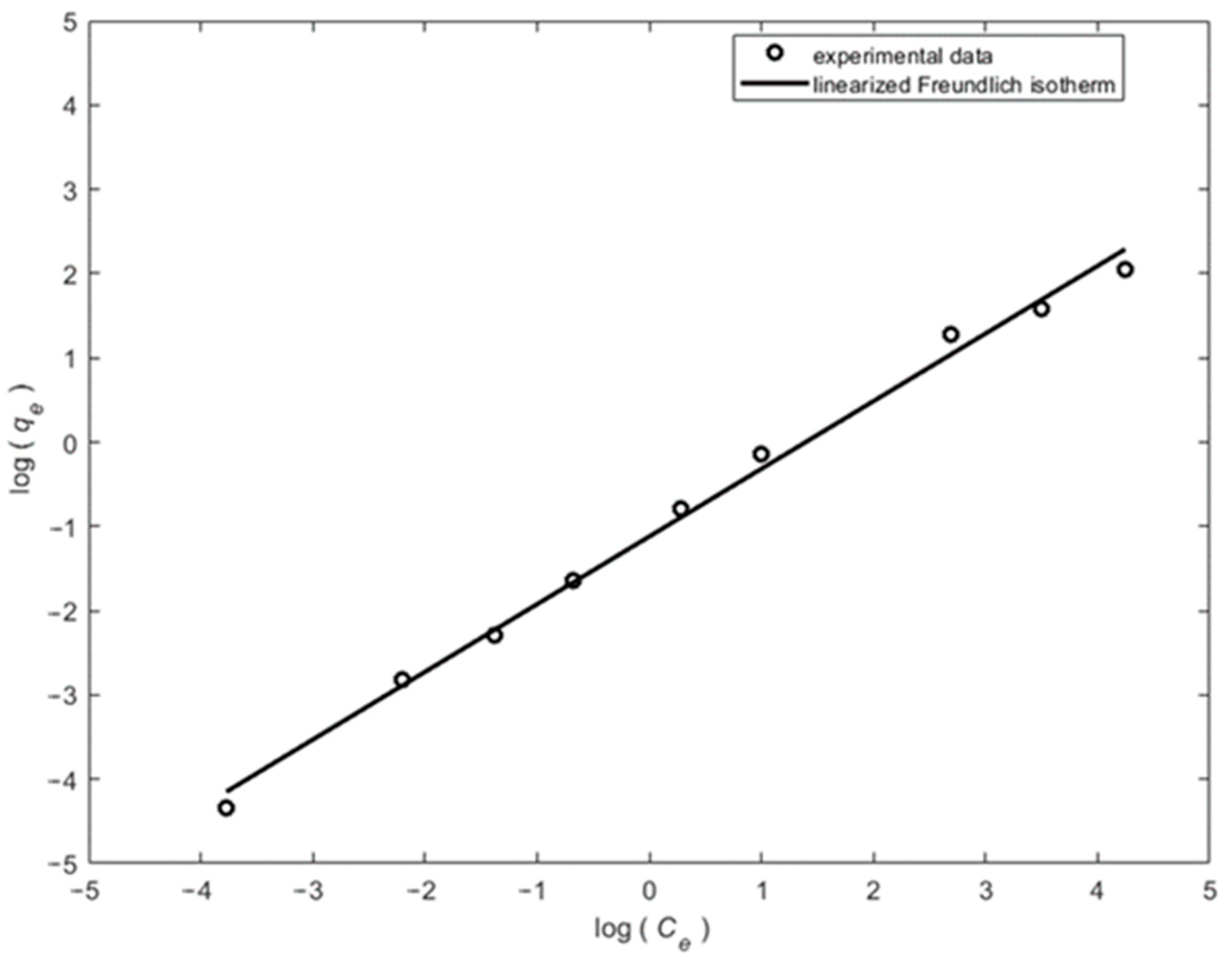
If we use the Freundlich isotherm, then the Freundlich exponent (n) is the adsorption process characteristic. Exponent values above 1 have a favorable adsorption process and values less than 1, an unfavorable process.
In order to understand the mechanism of the adsorption process, the experimental data were fitted to the following well-known kinetic models: the pseudo-first-order and the pseudo-second-order models. The pseudo-first-order model equation is
q t = q e 1 exp k 1 t ,
and the linear form of the pseudo-first-order model is
l n q e q t = l n q e k 1 t .
The pseudo-second-order model equation is
q t = q e 2 k 2 t 1 + k 2 q e t ,
and the linear form of the pseudo-second-order model is
t q t = 1 k 2 q e 2 + t q e ,
where qe represents the amount of adsorption at equilibrium, qt represents the amount of adsorption at time t, k1 is the rate constant of the pseudo-first-order model and k2 is the rate constant of the pseudo-second-order model.
The constants of the pseudo-models were determined in two ways, i.e., by applying linear model forms and by applying nonlinear regression and minimizing the sum:
i = 1 N ( q t , e x p q t , c a l c ) 2 ,
where qt,exp is the obtained value in adsorption experiments at time moment t and qt,calc is the value predicted by using the equation of the studied isotherm at time t.
The coefficient of determination and the average relative errors were calculated as follows:
R 2 = 1 i = 1 N q t ,   e x p q t ,   c a l c 2 i = 1 N q t ,   e x p q ¯ t , c x p 2 ,
and
A R E = 1 N   i = 1 N q t , e x p q t , c a l c q t , e x p   100 % ,
where q ¯ t , c x p is the average of q t , c x p , i.e., q ¯ t , e x p = 1 N i = 1 N q t , e x p i , and N is the number of time moments.

3. Results

3.1. Adsorption Results

The most important initial parameter of adsorbent functionality is adsorption capacity. The capacity of the adsorbent, the aerogel, to adsorb Congo red, Naphthol green B, Rhodamine B and Methylene blue from monocomponent solutions was assessed by performing adsorption tests with an adsorbent dose of 0.8 g. The values of adsorption capacity are given in Table 1.
The Congo red dye was characterized by the highest adsorption capacity values. On the other hand, the lowest values of adsorption capacity were obtained for Naphthol green B and Rhodamine B. Methylene blue, which belongs to the group of basic dyes, showed better adsorption efficiency than Naphthol green B or Rhodamine B. It is assumed that the functional groups of the aerogel interact with the functional groups of the dyes; therefore, water purification occurs.
It was demonstrated that cellulose was not only an important component to construct the aerogel structure but also a functional material to improve adsorption performance. The adsorption capacity of the adsorbent increases rapidly with the passage of time and reaches equilibrium after about 60 min.
The results show that the adsorption between the cellulose aerogel and the molecules of the dyes was mainly electrostatic attraction. As displayed in Figure 4, the dye particles settled on the aerogel surface, forming small dye bubbles. By removing the dye particles from the surface of the aerogel, the adsorbent could be reused. This type of research is planned in the future.
According to the analysis of the adsorption experiments, the adsorption mechanism of dyes on cellulose aerogel can be summarized as follows: The cellulose in the aerogel contained a large amount of carboxyl and hydroxyl groups. Cellulose increased the specific surface area of the aerogel, which was beneficial for the adsorption of the dyes.
The adsorption capacity was higher for the solutions of dyes with a 0.1–10.0 mg/L initial concentration. As the initial concentration of textile dye increased from 10.0 mg/L to 200.0 mg/L, the adsorption capacity of Congo dye decreased from 62.02% to 21.00%, that of Naphthol green B from 34.02% to 15.00%, that of Rhodamine B from 28.00% to 10.00% and that of Methylene blue from 48.01% to 18.00%.
The color of the dyes was not removed in any case; the intensity of the color decreased, but the color did not disappear. The color intensity decreased significantly in the solution with concentration of 0.1 mg/L to 10.0 mg/L. As the dye concentration increased from 10.0 mg/L to 200.0 mg/L, the color remained bright. It can be assumed that the amount of adsorbent used was insufficient to remove the color of the dye.
A comparative table with references from the literature with adsorption capacity (Table 2) can be found below. It can be noted that in recent years, aerogel has attracted a lot of attention among scientists due to it being a cheap, non-toxic, light and highly porous material.
Since the amount of dyes in wastewater is not regulated, researchers conduct studies with various initial study parameters, so the concentration of the dye can vary over a wide range. It is also important to emphasize that aerogels of very different compositions can be used in studies.

3.2. Modeling Results

3.2.1. Adsorption Equilibrium

The Langmuir and Freundlich isotherms were fitted and the adsorption characteristics calculated for analyzing the aerogel. The model parameters (Table 3) were calculated by using nonlinear and linear forms of the Langmuir and Freundlich isotherms.
The constant values for the linearized models were obtained by using the slope and intercept values of the plot of Ce/qe versus Ce of the Langmuir model for the dye Congo red (Figure 5) and by using the slope and intercept values of the plot of log qe versus log Ce of the Freundlich isotherm for the dye Congo red (Figure 6).
The maximum adsorption capacity for Congo red obtained by using the linearized Langmuir model was 14.684 mg/g, and that obtained with the nonlinear model was 14.589 mg/g. The obtained values of n suggest favorable adsorption.
The constant values for the nonlinear models were obtained by using the nonlinear curve-fitting method in MS Excel solver 2023. The obtained values of the parameters were used in the models, and the adsorbed amount of adsorbate was calculated. Both (linearized and nonlinear) Langmuir and Freundlich isotherms for Congo red are presented in Figure 7 below.
The constant values for the linearized models of Naphthol green B dye are presented in Figure 8 and Figure 9.
The maximum adsorption capacity for Naphthol green B obtained by using the nonlinear Langmuir model was 11.655 mg/g, and that obtained with the linearized model was 9.833 mg/g. The obtained values of n suggest favorable adsorption.
Both (linearized and nonlinear) Langmuir and Freundlich isotherms for Naphthol green B are represented in Figure 10 below.
The constant values for the linearized models of Rhodamine B dye are presented in Figure 11 and Figure 12.
The maximum adsorption capacity for Rhodamine B obtained using the nonlinear Langmuir model was 11.627 mg/g, and that obtained with the linearized model was 10.320 mg/g. The obtained values of n suggest favorable adsorption.
Both (linearized and nonlinear) Langmuir and Freundlich isotherms are represented in Figure 13 below.
The constant values for the linearized models of Methylene blue dye are presented in Figure 14 and Figure 15.
Both (linearized and nonlinear) Langmuir and Freundlich isotherms are represented in Figure 16 below.
The maximum adsorption capacity obtained for Methylene blue by using the nonlinear Langmuir model was 16.739 mg/g, and that obtained with the linearized model was 15.798 mg/g. The obtained values of n suggest favorable adsorption.

3.2.2. Kinetic Analysis

The kinetic models were fitted for dyes, and the obtained results were compared. Solutions of dyes were selected with the close initial concentration of total organic carbon as follows: Congo red—Co = 5.517 mg/L; Naphthol green B—Co = 4.112 mg/L; Rhodamine B—Co = 7.014 mg/L; and Methylene blue—Co = 3.008 mg/L.
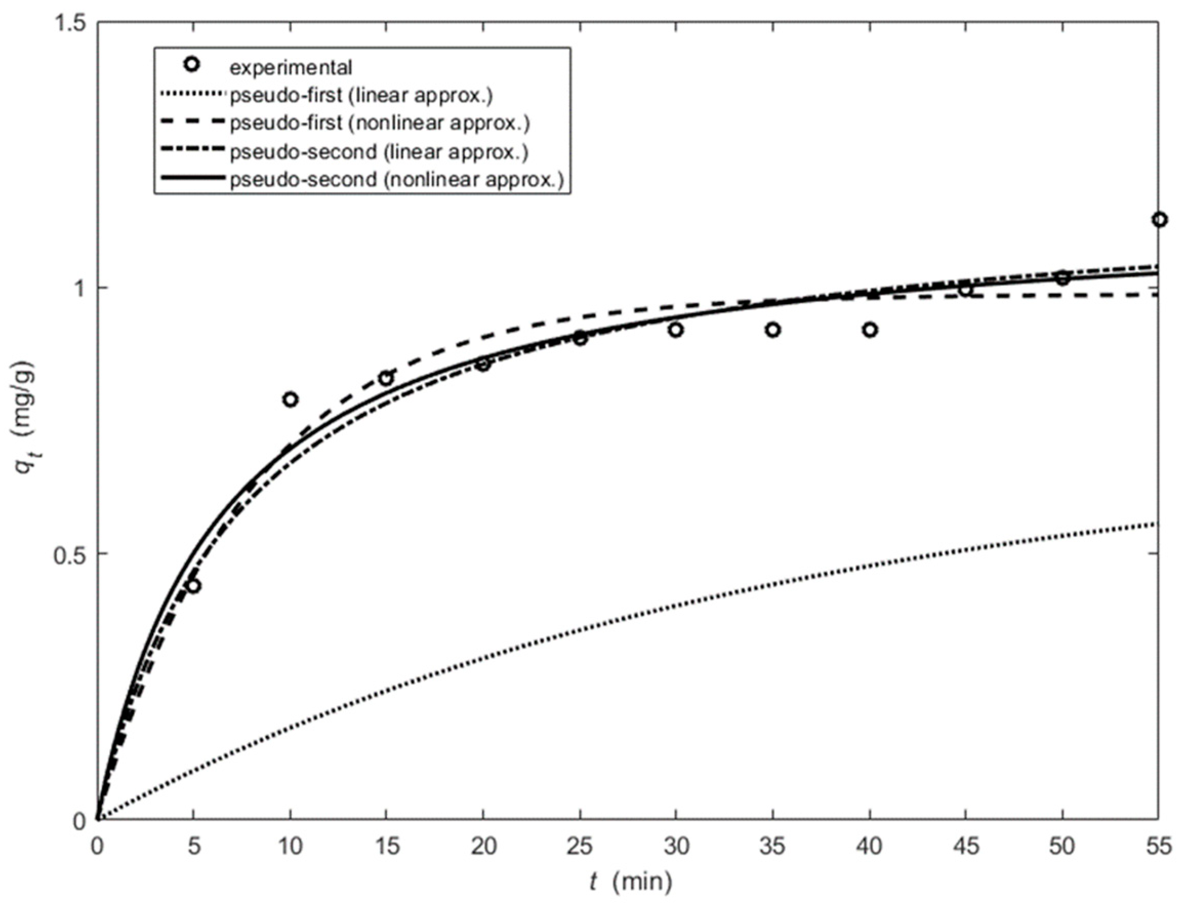
The results of the kinetic study of Congo red are presented in Table 4 and Table 5. Values of the coefficient of determination (R2) and the average relative error (ARE) were also calculated. The line of the pseudo-first-order and pseudo-second-order kinetic models with the obtained constants are presented in Figure 17.
The smallest differences in adsorption amount were found for the pseudo-second-order kinetic model constructed by using a nonlinear fit. The highest value for the determination coefficient was 0.75, and the average relative error was 3.53%.
The results of the kinetic study of Naphthol green B are presented in Table 6 and Table 7. The lines of the pseudo-first-order and pseudo-second-order kinetic models with the obtained constants are presented in Figure 18.
According to the obtained results, it can be concluded that in this case, the kinetic model applied in the pseudo-first-order nonlinear form and the pseudo-second-order kinetic models in both forms are almost equally good. However, a higher value of the determination coefficient and, at the same time, a lower value of the average relative error suggest the choice of the pseudo-first-order kinetic model applied in the nonlinear form.
The results of the kinetic study of Rhodamine B are presented in Table 8 and Table 9. The lines of the pseudo-first-order and pseudo-second-order kinetic models with the obtained constants are presented in Figure 19.
In this case, the situation is very similar to the case of Naphthol green B. Considering the higher values of the determination coefficient and smaller values of the average relative error, pseudo-second-order models (both linear and nonlinear) would be more suitable for Rhodamine B.
The results of the kinetic study of Methylene blue are presented in Table 10 and Table 11. The line of the pseudo-first-order and pseudo-second-order kinetic models with the obtained constants are presented in Figure 20.
The smallest differences in adsorption amount were found for the pseudo-second-order kinetic model constructed by using a nonlinear fit. The highest value for the determination coefficient was 0.86, and the average relative error was 1.41%.

4. Discussion

In this study, higher adsorption capacity values were achieved with aerogel capsules containing 5% cellulose than in the previous study by the authors. In previous studies, it was found that an increase in cellulose content from 3% to 5% contributed to the improvement in adsorption properties. The adsorption capacity values of 10.0 mg/L concentration Congo red after an adsorption process, which took 60 min, were 3.10 mg/g and 3.80 mg/g, respectively; the adsorption capacity values of Naphthol green B were 2.80 mg/g and 3.41 mg/g, respectively; the adsorption capacity values of Rhodamine B were 0.12 mg/g and 0.41 mg/g, respectively; and the adsorption capacity values of Methylene blue were 0.24 mg/g and 0.81 mg/g, respectively.
In the future, we expect to extend the study by reusing capsules of aerogel which have 5% cellulose and apply the adsorption method together with the electrocoagulation method.

5. Conclusions

This study evaluated the adsorption capacity of adsorbent made from paper and cardboard waste for removing textile dyes from aqueous solutions. The experiments were carried out under laboratory conditions (in batch stand). The adsorption capacity of the aerogel in Congo red solutions varied from 0.028 mg/g to 14.483 mg/g; in Naphthol green B solutions, from 0.013 mg/g to 7.698 mg/g; in Rhodamine B, from 0.020 mg/g to 8.768 mg/g; and in Methylene blue, from 0.024 mg/g to 13.538 mg/g.
The analysis showed that the results of the adsorption equilibrium modeling obtained for the aerogel are very compatible with the experimental results; thus, both the Langmuir and Freundlich models can be successfully applied.
The smallest differences in adsorption amount for the dyes Congo red and Methylene blue were found for the pseudo-second-order kinetic model constructed by using a nonlinear fit. It was observed that for the dye Naphthol green B, the kinetic model applied in the pseudo-first-order nonlinear form and the pseudo-second-order kinetic models in both forms are almost equally appliable. Pseudo-second-order models (both linear and nonlinear) would be more suitable for Rhodamine B.
During the batch experiment, 0.8 g of adsorbent was used for the removal of the dyes Congo red, Naphthol green B, Rhodamine B and Methylene blue. The adsorbent, aerogel, was not reused in the later stages of the process. The colors of the dyes were not removed, but the color intensity was reduced.

Author Contributions

M.L.: conceptualization; methodology; formal analysis; investigation; resources; data curation; writing—original draft preparation; project administration; funding acquisition. D.P.: writing—review and editing; supervision. T.L.: software; validation; visualization; modeling. All authors have read and agreed to the published version of the manuscript.

Funding

This research received no external funding.

Institutional Review Board Statement

Not applicable.

Informed Consent Statement

Not applicable.

Data Availability Statement

The raw data supporting the conclusions of the article will be made available by the authors upon request.

Conflicts of Interest

The authors declare no conflicts of interest.

References

  1. Rahman, M.M.; Alam, K.; Velayutham, E. Is industrial pollution detrimental to public health? Evidence from the world’s most industrialised countries. BMC Public Health 2021, 21, 1175. [Google Scholar] [CrossRef]
  2. Kishor, R.; Purchase, D.; Saratale, G.D.; Saratale, R.G.; Ferreira, L.F.R.; Bilal, M.; Chandra, R.; Bharagava, R.N. Ecotoxicological and health concerns of persistent coloring pollutants of textile industry wastewater and treatment approaches for environmental safety. J. Environ. Chem. Eng. 2021, 9, 105012. [Google Scholar] [CrossRef]
  3. Ardila-Leal, L.D.; Poutou-Piñales, R.A.; Pedroza-Rodríguez, A.M.; Queve-do-Hidalgo, B.E. A brief history of colour, the environmental impact of synthetic dyes and removal by using laccases. Molecules 2021, 26, 3813. [Google Scholar] [CrossRef]
  4. Slama, H.B.; Bouket, A.C.; Pourhassan, Z.; Alenezi, F.N.; Silini, A.; Cherif-Silini, H.; Oszako, T.; Luptakova, L.; Golinska, P.; Belbahri, L. Diversity of Synthetic Dyes from Textile Industries, Discharge Impacts and Treatment Methods. Appl. Sci. 2021, 11, 6255. [Google Scholar] [CrossRef]
  5. Fan, K.; Zhang, T.; Xiao, S.; He, H.; Yang, J.; Qin, Z. Preparation and adsorption performance of functionalization cellulose-based composite aerogel. Int. J. Biol. Macromol. 2022, 30, 1–14. [Google Scholar] [CrossRef]
  6. Gunasundari, E.; Senthil Kumar, P.; Rajamohan, N.; Vellaichamy, P. Feasibility of naphthol green-b dye adsorption using microalgae: Thermodynamic and kinetic analysis. Desalination Water Treat. 2020, 192, 358–370. [Google Scholar] [CrossRef]
  7. Awoniyi, A.M.; Souza, F.N.; Zeppelini, C.G.; Xavier, B.I.A.; Barreto, A.M.; Santiago, D.C.C.; Santana, J.O.; Silva, E.M.; Costa, F.; Begon, M.; et al. Using Rhodamine B to assess the movement of small mammals in an urban slum. Methods Ecol. Evol. 2021, 12, 2234–2242. [Google Scholar] [CrossRef]
  8. Tsade Kara, H.; Anshebo, S.T.; Sabir, F.K.; Workineh, G.A. Removal of Methylene Blue Dye from Wastewater Using Periodiated Modified Nanocellulose. Int. J. Chem. Eng. 2021, 2021, 9965452. [Google Scholar] [CrossRef]
  9. Sočo, E.; Papciak, D.; Michel, M.M.; Pająk, D.; Domoń, A.; Kupiec, B. Characterization of the physical, chemical, and adsorption properties of coal-fly-ash–hydroxyapatite composites. Minerals 2021, 11, 744. [Google Scholar] [CrossRef]
  10. Liang, L.; Zhang, S.; Goenaga, G.A.; Meng, X.; Zawodzinski, T.A.; Ragauskas, A.J. Chemically Cross-Linked Cellulose Nanocrystal Aerogels for Effective Removal of Cation Dye. Front. Chem. 2020, 8, 570. [Google Scholar] [CrossRef]
  11. Muhammad, S.; Yahya, E.B.; Abdul Khalil, H.P.S.; Marwan, M.; Albadn, Y.M. Recent advances in carbon and activated carbon nanostructured aerogels prepared from agricultural wastes for wastewater treatment applications. Agriculture 2023, 13, 208. [Google Scholar] [CrossRef]
  12. Esmaeili, Z.; Izadyar, S.; Hamzeh, Y.; Abdulkhani, A. Preparation and Characterization of Highly Porous Cellulose Nanofibrils/Chitosan Aerogel for Acid Blue 93 Adsorption: Kinetics, Isotherms, and Thermodynamics Analysis. J. Chem. Eng. Data 2021, 66, 1068–1080. [Google Scholar] [CrossRef]
  13. Luo, M.; Wang, M.; Pang, H.; Zhang, R.; Huang, J.; Liang, K.; Chen, P.; Sun, P.; Kong, B. Super-assembled highly compressible and flexible cellulose aerogels for methylene blue removal from water. Chin. Chem. Lett. 2021, 32, 2091–2096. [Google Scholar] [CrossRef]
  14. Wang, Y.; Zhang, S.; Zhu, J.; Li, N.; Yin, Y. Fabrication of wood-inspired nanocellulose-based aerogels for efficient adsorption and filtration removal of Congo red. Ind. Crops Prod. 2023, 205, 117482. [Google Scholar] [CrossRef]
  15. El-Zawahry, M.M.; Hassabo, A.G.; Abdelghaffar, F.; Abdelghaffar, R.A.; Hakeim, O.A. Preparation and use of aqueous solutions magnetic chitosan / nanocellulose aerogels for the sorption of reactive black 5. Biointerface Res. Appl. Chem. 2021, 11, 12380–12402. [Google Scholar] [CrossRef]
  16. Paulauskiene, T.; Uebe, J.; Karasu, A.U.; Anne, O. Investigation of Cellulose-Based Aerogels for Oil Spill Removal. Water Air Soil. Pollut. 2020, 231, 424. [Google Scholar] [CrossRef]
  17. Paulauskiene, T.; Uebe, J.; Ziogas, M. Cellulose aerogel composites as oil sorbents and their regeneration. PeerJ 2021, 9, e11795. [Google Scholar] [CrossRef]
  18. Torgbo, S.; Sukyai, P. Biodegradation and thermal stability of bacterial cellulose as biomaterial: The relevance in biomedical applications. Polym. Degrad. Stab. 2020, 179, 109232. [Google Scholar] [CrossRef]
  19. ISO 3696:1987; Water for analytical laboratory use—Specification and test methods. International Organization for Standardization: Geneva, Switzerland, 1987.
  20. Liuge, M.; Paliulis, D.; Kumpiene, J.; Paulauskiene, T. Removal of textile dyes from water using cellulose aerogel. Ecol. Chem. Eng. S 2024, 31, 49–62. [Google Scholar]
  21. Hamidi, A.; Atia, D.; Rebiai, A.; Reghioua, A.; Zobeidi, A.; Messaoudi, M.; Seghir, B.B.; Pohl, P.; Simal-Gandara, J. Investigation of adsorption kinetics and isothermal thermodynamics for optimizing methylene blue adsorption onto a modified clay with cellulose using the response surface approach. Biomass Conv. Biorefinery 2023, 1–15. [Google Scholar] [CrossRef]
  22. Kalam, S.; Abu-Khamsin, S.A.; Kamal, M.S.; Patil, S. Surfactant Adsorption Isotherms: A Review. ACS Omega 2021, 6, 32342–32348. [Google Scholar] [CrossRef] [PubMed]
  23. Zhang, Y.; Shaad, K.; Vollmer, D.; Ma, C. Treatment of Textile Wastewater Using Advanced Oxidation Processes—A Critical Review. Water 2021, 13, 3515. [Google Scholar] [CrossRef]
  24. Qiu, C.; Li, Y.; Liu, H.; Wang, X.; Hu, S.; Qi, H. A novel crosslinking strategy on functional cellulose-based aerogel for effective and selective removal of dye. J. Chem. Eng. 2023, 463, 142404. [Google Scholar] [CrossRef]
  25. Sharma, S.K.; Ranjani, P.; Mamane, H.; Kumar, R. Preparation of graphene oxide-doped silica aerogel using supercritical method for efficient removal of emerging pollutants from wastewater. Sci. Rep. 2023, 13, 16448. [Google Scholar] [CrossRef]
  26. Guo, J.; Zhou, S.; Ma, X.; He, S.; Chen, D.; Xie, F.; Wang, C.; Yang, H.; Li, W. Regenerated cellulose/polyethyleneimine composite aerogel for efficient and selective adsorption of anionic dyes. Sep. Purif. Technol. 2024, 330, 125480. [Google Scholar] [CrossRef]
Figure 1. Photo of aerogel surface, top view.
Figure 1. Photo of aerogel surface, top view.
Applsci 14 04274 g001
Figure 2. Determination of contact angle of aerogel.
Figure 2. Determination of contact angle of aerogel.
Applsci 14 04274 g002
Figure 3. Surface area of aerogel captured before adsorption process with SEM Helios Nanolab 650: (a) 400 μm; (b) 5 μm.
Figure 3. Surface area of aerogel captured before adsorption process with SEM Helios Nanolab 650: (a) 400 μm; (b) 5 μm.
Applsci 14 04274 g003
Figure 4. Surface area of aerogel captured after adsorption process with SEM Helios Nanolab 650: (a) 400 μm; (b) 5 μm.
Figure 4. Surface area of aerogel captured after adsorption process with SEM Helios Nanolab 650: (a) 400 μm; (b) 5 μm.
Applsci 14 04274 g004
Figure 5. The linearized form of the Langmuir isotherm for Congo red.
Figure 5. The linearized form of the Langmuir isotherm for Congo red.
Applsci 14 04274 g005
Figure 6. The linearized form of the Freundlich isotherm for Congo red.
Figure 6. The linearized form of the Freundlich isotherm for Congo red.
Applsci 14 04274 g006
Figure 7. Equilibrium analysis for Congo red.
Figure 7. Equilibrium analysis for Congo red.
Applsci 14 04274 g007
Figure 8. The linearized form of the Langmuir isotherm for Naphthol green B.
Figure 8. The linearized form of the Langmuir isotherm for Naphthol green B.
Applsci 14 04274 g008
Figure 9. The linearized form of the Freundlich isotherm for Naphthol green B.
Figure 9. The linearized form of the Freundlich isotherm for Naphthol green B.
Applsci 14 04274 g009
Figure 10. Equilibrium analysis for Naphthol green B.
Figure 10. Equilibrium analysis for Naphthol green B.
Applsci 14 04274 g010
Figure 11. The linearized form of the Langmuir isotherm for Rhodamine B.
Figure 11. The linearized form of the Langmuir isotherm for Rhodamine B.
Applsci 14 04274 g011
Figure 12. The linearized form of the Freundlich isotherm for Rhodamine B.
Figure 12. The linearized form of the Freundlich isotherm for Rhodamine B.
Applsci 14 04274 g012
Figure 13. Equilibrium analysis for Rhodamine B.
Figure 13. Equilibrium analysis for Rhodamine B.
Applsci 14 04274 g013
Figure 14. The linearized form of the Langmuir isotherm for Methylene blue.
Figure 14. The linearized form of the Langmuir isotherm for Methylene blue.
Applsci 14 04274 g014
Figure 15. The linearized form of the Freundlich isotherm for Methylene blue.
Figure 15. The linearized form of the Freundlich isotherm for Methylene blue.
Applsci 14 04274 g015
Figure 16. Equilibrium analysis for Methylene blue.
Figure 16. Equilibrium analysis for Methylene blue.
Applsci 14 04274 g016
Figure 17. The kinetic experimental data with the pseudo-first-order and the pseudo-second-order kinetic models using the obtained constants (Table 4 and Table 5).
Figure 17. The kinetic experimental data with the pseudo-first-order and the pseudo-second-order kinetic models using the obtained constants (Table 4 and Table 5).
Applsci 14 04274 g017
Figure 18. The kinetic experimental data with the pseudo-first-order and the pseudo-second-order kinetic models using the obtained constants (Table 6 and Table 7).
Figure 18. The kinetic experimental data with the pseudo-first-order and the pseudo-second-order kinetic models using the obtained constants (Table 6 and Table 7).
Applsci 14 04274 g018
Figure 19. The kinetic experimental data with the pseudo-first-order and the pseudo-second-order kinetic models using the obtained constants (Table 8 and Table 9).
Figure 19. The kinetic experimental data with the pseudo-first-order and the pseudo-second-order kinetic models using the obtained constants (Table 8 and Table 9).
Applsci 14 04274 g019
Figure 20. The kinetic experimental data with the pseudo-first-order and the pseudo-second-order kinetic models using the obtained constants (Table 10 and Table 11).
Figure 20. The kinetic experimental data with the pseudo-first-order and the pseudo-second-order kinetic models using the obtained constants (Table 10 and Table 11).
Applsci 14 04274 g020
Table 1. Values of adsorption capacity for textile dyes.
Table 1. Values of adsorption capacity for textile dyes.
DyeConcentration of Dye, mg/L
0.10.51.02.05.010.050.0100.0200.0
qe, mg/g
Congo red0.0280.1330.2620.4901.1732.1398.7938.62114.483
Naphthol green B0.0130.0590.1010.1950.4490.8743.5914.8697.698
Rhodamine B0.0200.0960.1760.3340.8111.2284.6036.5768.768
Methylene blue0.0240.1230.2290.4350.9401.8387.36410.12713.538
Table 2. Values of adsorption capacity for specific textile dyes and other parameters.
Table 2. Values of adsorption capacity for specific textile dyes and other parameters.
Type of DyeConcentration of Dye, mg/LType of AdsorbentAdsorption Capacity, mg/gReferences
Congo red, Naphthol green B, Rhodamine B and Methylene blue0.1; 0.5; 1.0; 2.0; 5.0; 10.0; 50.0; 100.0; 200.0Cellulose aerogel0.028–14.483; 0.013–7.698; 0.020–8.768; 0.024–13.538Liuge et al., 2024 [20]
Methyl orange200.0Cellulose aerogel1013.11Qiu et al., 2023 [24]
Acid green 25 and Crystal violet70.0Graphene oxide-doped silica aerogel20.25; 41.46Sharma et al., 2023 [25]
Methyl orange20.0Cellulose/polyethyleneimine composite aerogel980.39Guo et al., 2024 [26]
Table 3. Determination coefficients and parameters calculated for models.
Table 3. Determination coefficients and parameters calculated for models.
ModelParametersDetermination Coefficient
Congo red
Linearized Langmuir modelqm = 14.684 mg/g
KL = 0.099 L/mg
R2 = 0.95
Nonlinear Langmuir modelqm = 14.589 mg/g
KL = 0.083 L/mg
R2 = 0.95
Linearized Freundlich modeln = 1.447
Kf = 0.955 mg/g
R2 = 0.70
Nonlinear Freundlich modeln = 2.213
Kf = 1.892 mg/g
R2 = 0.95
Naphthol green B
Linearized Langmuir modelqm = 9.833 mg/g
KL = 0.041 L/mg
R2 = 0.99
Nonlinear Langmuir modelqm = 11.655 mg/g
KL = 0.026 L/mg
R2 = 0.99
Linearized Freundlich modeln = 1.245
Kf = 0.326 mg/g
R2 = 0.91
Nonlinear Freundlich modeln = 1.653
Kf = 0.597 mg/g
R2 = 0.99
Rhodamine B
Linearized Langmuir modelqm = 10.320 mg/g
KL = 0.037 L/mg
R2 = 0.98
Nonlinear Langmuir modelqm = 11.627 mg/g
KL = 0.023 L/mg
R2 = 0.99
Linearized Freundlich modeln = 1.326
Kf = 0.323 mg/g
R2 = 0.84
Nonlinear Freundlich modeln = 1.872
Kf = 0.691 mg/g
R2 = 0.99
Methylene blue
Linearized Langmuir modelqm = 15.798 mg/g
KL = 0.052 L/mg
R2 = 0.98
Nonlinear Langmuir modelqm = 16.739 mg/g
KL = 0.039 L/mg
R2 = 0.99
Linearized Freundlich modeln = 1.318
Kf = 0.620 mg/g
R2 = 0.77
Nonlinear Freundlich modeln = 1.984
Kf = 1.407 mg/g
R2 = 0.98
Table 4. Constants for the pseudo-first-order kinetic models for Congo red.
Table 4. Constants for the pseudo-first-order kinetic models for Congo red.
qe,expPseudo-First-Order Model (Linear Form)Pseudo-First-Order Model (Nonlinear Form)
qe,calc k 1 R 2 AREqe,calc k 1 R 2 ARE
2.141.910.11<015.43%2.020.320.375.49%
Table 5. Constants for the pseudo-second-order kinetic models for Congo red.
Table 5. Constants for the pseudo-second-order kinetic models for Congo red.
qe,expPseudo-Second-Order Model (Linear Form)Pseudo-Second-Order Model (Nonlinear Form)
qe,calc k 2 R 2 AREqe,calc k 2 R 2 ARE
2.142.240.140.542.96%2.140.270.753.53%
Table 6. Constants for the pseudo-first-order kinetic models for Naphthol green B.
Table 6. Constants for the pseudo-first-order kinetic models for Naphthol green B.
qe,expPseudo-First-Order Model (Linear Form)Pseudo-First-Order Model (Nonlinear Form)
qe,calc k 1 R 2 AREqe,calc k 1 R 2 ARE
0.870.370.05<067.98%0.810.140.933.32%
Table 7. Constants for the pseudo-second-order kinetic models for Naphthol green B.
Table 7. Constants for the pseudo-second-order kinetic models for Naphthol green B.
qe,expPseudo-Second-Order Model (Linear Form)Pseudo-Second-Order Model (Nonlinear Form)
qe,calc k 2 R 2 AREqe,calc k 2 R 2 ARE
0.870.910.220.914.35%0.930.210.914.27%
Table 8. Constants for the pseudo-first-order kinetic models for Rhodamine B.
Table 8. Constants for the pseudo-first-order kinetic models for Rhodamine B.
qe,expPseudo-First-Order Model (Linear Form)Pseudo-First-Order Model (Nonlinear Form)
qe,calc k 1 R 2 AREqe,calc k 1 R 2 ARE
1.230.710.03<059.70%0.990.130.875.46%
Table 9. Constants for the pseudo-second-order kinetic models for Rhodamine B.
Table 9. Constants for the pseudo-second-order kinetic models for Rhodamine B.
qe,expPseudo-Second-Order Model (Linear Form)Pseudo-Second-Order Model (Nonlinear Form)
qe,calc k 2 R 2 AREqe,calc k 2 R 2 ARE
1.231.180.110.894.83%1.150.140.905.04%
Table 10. Constants for the pseudo-first-order kinetic models for Methylene blue.
Table 10. Constants for the pseudo-first-order kinetic models for Methylene blue.
qe,expPseudo-First-Order Model (Linear Form)Pseudo-First-Order Model (Nonlinear Form)
qe,calc k 1 R 2 AREqe,calc k 1 R 2 ARE
0.940.1040.038<092.9%0.9060.5330.601.41%
Table 11. Constants for the pseudo-second-order kinetic models for Methylene blue.
Table 11. Constants for the pseudo-second-order kinetic models for Methylene blue.
qe,expPseudo-Second-Order Model (Linear Form)Pseudo-Second-Order Model (Nonlinear Form)
qe,calc k 2 R 2 AREqe,calc k 2 R 2 ARE
0.940.9381.2080.431.24%0.9242.1870.860.84%
Disclaimer/Publisher’s Note: The statements, opinions and data contained in all publications are solely those of the individual author(s) and contributor(s) and not of MDPI and/or the editor(s). MDPI and/or the editor(s) disclaim responsibility for any injury to people or property resulting from any ideas, methods, instructions or products referred to in the content.

Share and Cite

MDPI and ACS Style

Liugė, M.; Paliulis, D.; Leonavičienė, T. Application of Three-Dimensional Porous Aerogel as Adsorbent for Removal of Textile Dyes from Water. Appl. Sci. 2024, 14, 4274. https://doi.org/10.3390/app14104274

AMA Style

Liugė M, Paliulis D, Leonavičienė T. Application of Three-Dimensional Porous Aerogel as Adsorbent for Removal of Textile Dyes from Water. Applied Sciences. 2024; 14(10):4274. https://doi.org/10.3390/app14104274

Chicago/Turabian Style

Liugė, Monika, Dainius Paliulis, and Teresė Leonavičienė. 2024. "Application of Three-Dimensional Porous Aerogel as Adsorbent for Removal of Textile Dyes from Water" Applied Sciences 14, no. 10: 4274. https://doi.org/10.3390/app14104274

APA Style

Liugė, M., Paliulis, D., & Leonavičienė, T. (2024). Application of Three-Dimensional Porous Aerogel as Adsorbent for Removal of Textile Dyes from Water. Applied Sciences, 14(10), 4274. https://doi.org/10.3390/app14104274

Note that from the first issue of 2016, this journal uses article numbers instead of page numbers. See further details here.

Article Metrics

Back to TopTop