GAT-ABiGRU Based Prediction Model for AUV Trajectory
Abstract
1. Introduction
- •
- A novel GAT-ABiGRU model is proposed to predict the trajectory of lost AUVs. This model utilizes a graph attention mechanism to extract spatial features from data and assigns different weights to the results. Simultaneously, the ABiGRU model incorporates an attention mechanism based on bidirectional gated recurrent units, allowing the model to respond more sensitively and integrate dynamic changes in marine environmental factors when processing time-series data.
- •
- The time-series data in this study are arranged into a graph structure, with each time step acting as a node and varying degrees of interaction between nodes. Using a graph neural network allows the model to prioritize nodes that significantly impact the prediction outcomes by dynamically adjusting the weights of neighboring nodes.
- •
- Various factors affecting AUV trajectory prediction, such as the kinematic information of historical AUVs and marine environmental conditions, were considered. Not only were the latitude and longitude of historical AUV data points taken into account, but ecological features, such as ocean current speed, temperature, and salinity at the AUV’s disappearance location, were also considered to enhance the diversity of the data.
2. Related Work
2.1. Dynamical Modeling Based Approach
2.2. Neural Network Model-Based Approach
3. Materials and Methods
3.1. Data Processing
3.2. Description of the Problem
3.3. GAT
3.4. GRU
3.5. GAT-ABiRGU
4. Experiments and Results
4.1. Experimental Dataset
4.2. Parameter Settings
4.3. Evaluation Indicators
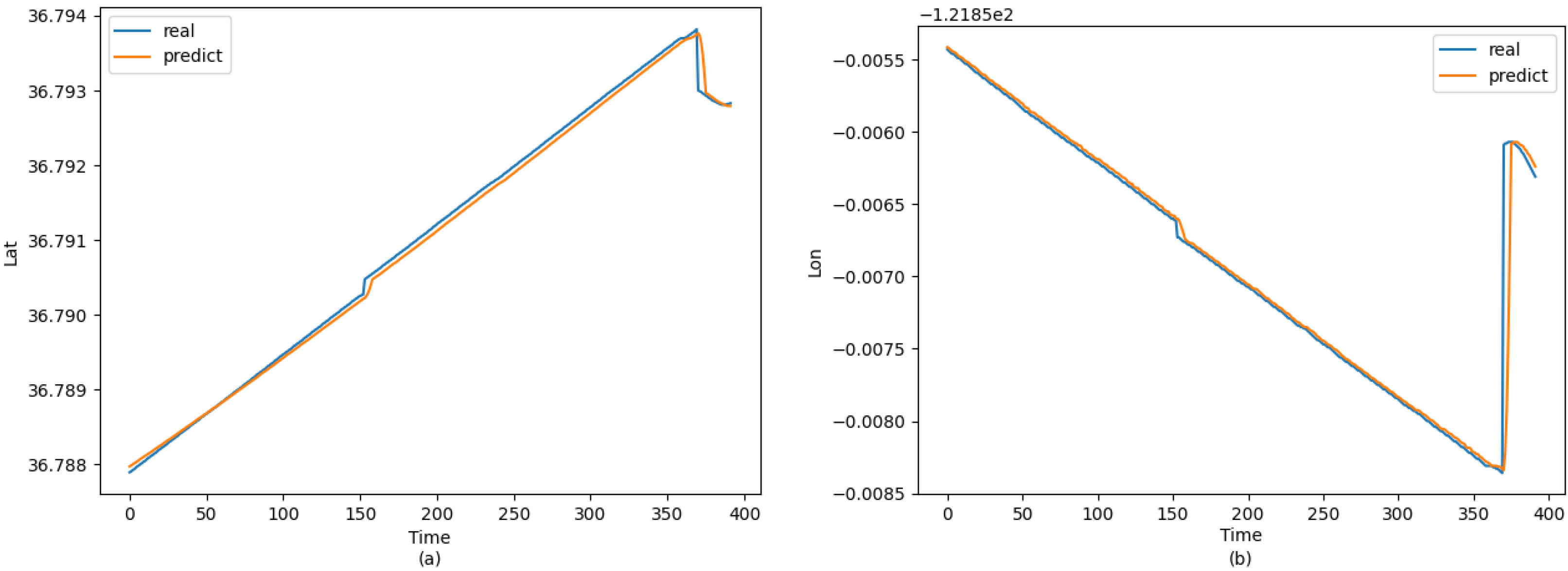
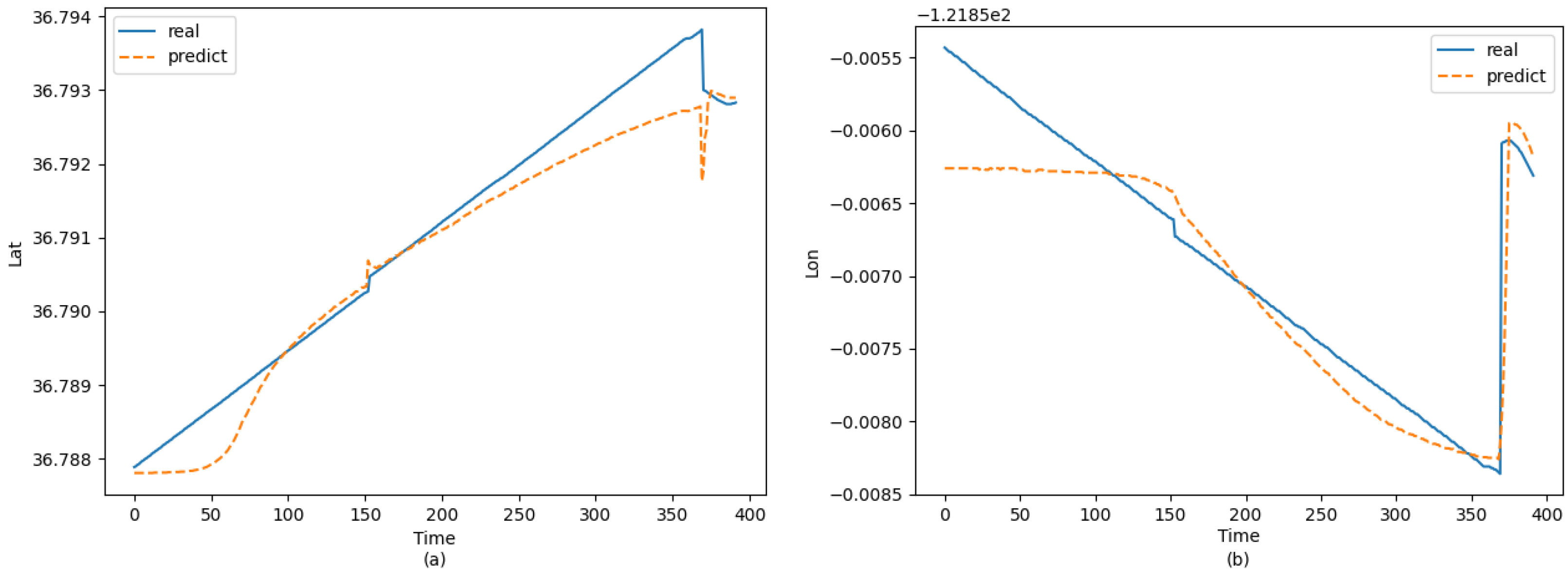
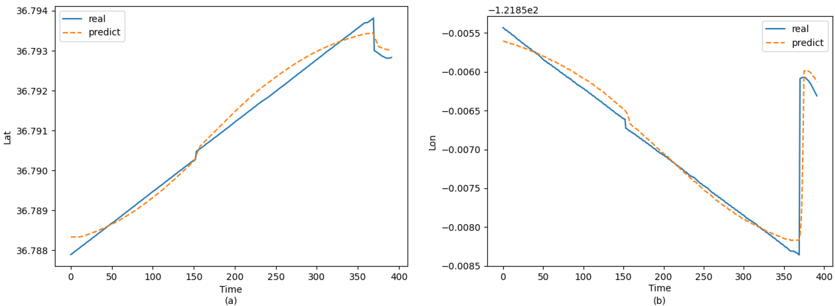
4.4. Analysis of Forecast Results
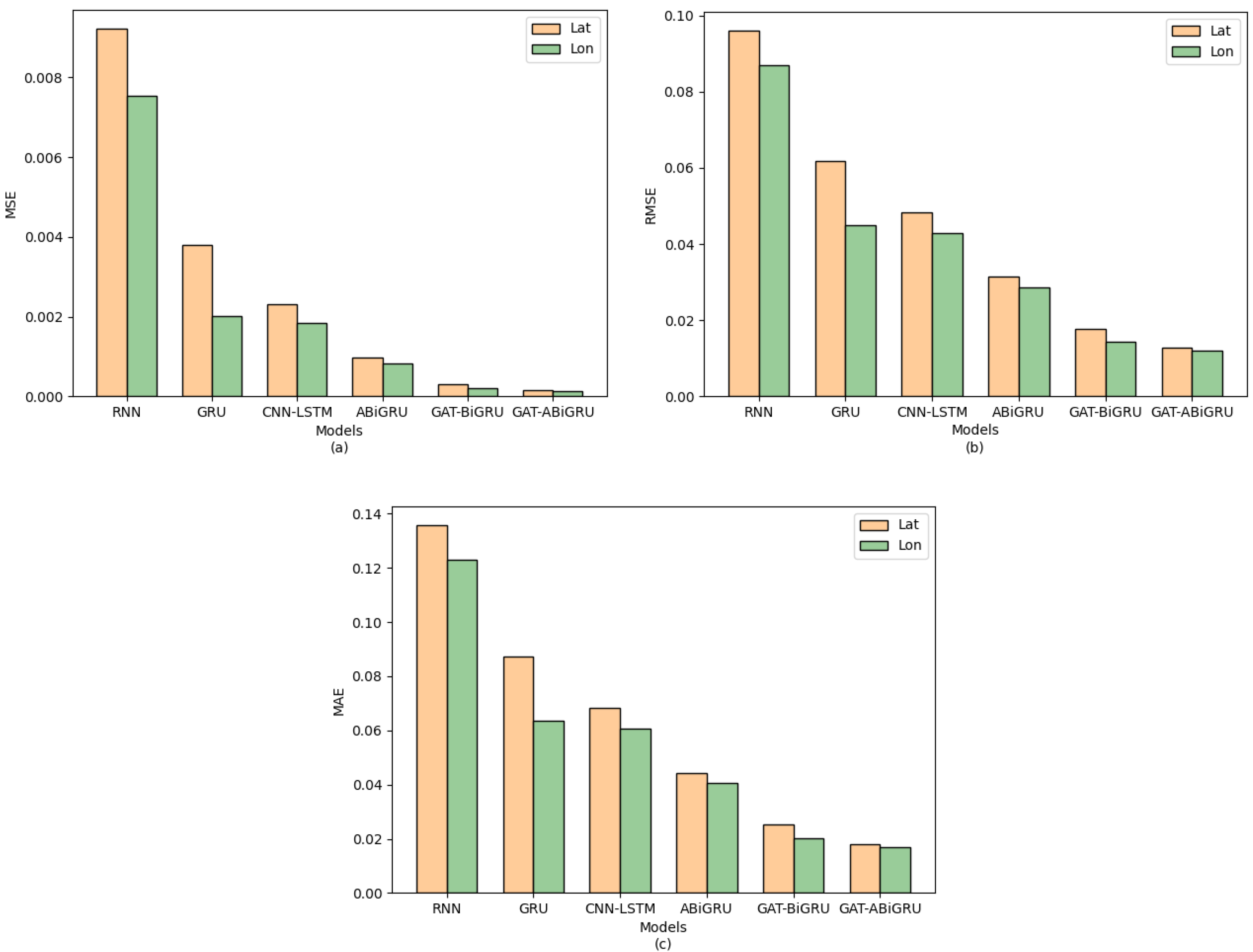
4.4.1. Comparative Experimental Analyses
4.4.2. Analysis of Ablation Experiments
4.4.3. Overall Experiments
4.5. Other Datasets
5. Conclusions and Future Prospects
Author Contributions
Funding
Institutional Review Board Statement
Informed Consent Statement
Data Availability Statement
Conflicts of Interest
References
- Xiang, X.; Yu, C.; Zhang, Q. On intelligent risk analysis and critical decision of underwater robotic vehicle. Ocean. Eng. 2017, 140, 453–465. [Google Scholar] [CrossRef]
- Zhu, D.; Pang, W.; Ren, K. Research status and prospect of multi-autonomous underwater vehicle cooperative search control. J. Univ. Shanghai Sci. Technol. 2022, 44, 417–428. [Google Scholar]
- Liu, X.; Zhang, M.; Rogers, E.; Wang, Y.; Yao, F. Terminal sliding mode-based tracking control with error transformation for underwater vehicles. Int. J. Robust Nonlinear Control 2021, 31, 7186–7206. [Google Scholar] [CrossRef]
- Fossen, S.; Fossen, T.I. Extended kalman filter design and motion prediction of ships using live automatic identification system (ais) data. In Proceedings of the 2018 2nd European Conference on Electrical Engineering and Computer Science (EECS), Bern, Switzerland, 20–22 December 2018; IEEE: Piscataway, NJ, USA, 2018; pp. 464–470. [Google Scholar]
- Cheng, J.; Chen, Y.; Zhang, Q.; Gan, L.; Liu, C.; Liu, M. Real-time trajectory planning for autonomous driving with gaussian process and incremental refinement. In Proceedings of the 2022 International Conference on Robotics and Automation (ICRA), Philadelphia, PA, USA, 23–27 May 2022; IEEE: Piscataway, NJ, USA, 2022; pp. 8999–9005. [Google Scholar]
- Potter, C.; Venayagamoorthy, G.K.; Kosbar, K. RNN based MIMO channel prediction. Signal Process. 2010, 90, 440–450. [Google Scholar] [CrossRef]
- Rumelhart, D.E.; Hinton, G.E.; Williams, R.J. Learning representations by back-propagating errors. Nature 1986, 323, 533–536. [Google Scholar] [CrossRef]
- Sherstinsky, A. Fundamentals of recurrent neural network (RNN) and long short-term memory (LSTM) network. Phys. D Nonlinear Phenom. 2020, 404, 132306. [Google Scholar] [CrossRef]
- Dey, R.; Salem, F.M. Gate-variants of gated recurrent unit (GRU) neural networks. In Proceedings of the 2017 IEEE 60th International Midwest Symposium on Circuits and Systems (MWSCAS), Boston, MA, USA, 6–9 August 2017; IEEE: Piscataway, NJ, USA, 2017; pp. 1597–1600. [Google Scholar]
- Hochreiter, S.; Schmidhuber, J. Long short-term memory. Neural Comput. 1997, 9, 1735–1780. [Google Scholar] [CrossRef] [PubMed]
- Gers, F.A.; Schmidhuber, J.; Cummins, F. Learning to forget: Continual prediction with LSTM. Neural Comput. 2000, 12, 2451–2471. [Google Scholar] [CrossRef] [PubMed]
- Suo, Y.; Chen, W.; Claramunt, C.; Yang, S. A ship trajectory prediction framework based on a recurrent neural network. Sensors 2020, 20, 5133. [Google Scholar] [CrossRef]
- Capobianco, S.; Millefiori, L.M.; Forti, N.; Braca, P.; Willett, P. Deep learning methods for vessel trajectory prediction based on recurrent neural networks. IEEE Trans. Aerosp. Electron. Syst. 2021, 57, 4329–4346. [Google Scholar] [CrossRef]
- Kaur, K.; Kaur, P. SABDM: A self-attention based bidirectional-RNN deep model for requirements classification. J. Softw. Evol. Process. 2024, 36, e2430. [Google Scholar] [CrossRef]
- Gülmez, B. Stock price prediction with optimized deep LSTM network with artificial rabbits optimization algorithm. Expert Syst. Appl. 2023, 227, 120346. [Google Scholar] [CrossRef]
- Ma, H.; Zuo, Y.; Li, T. Vessel navigation behavior analysis and multiple-trajectory prediction model based on AIS data. J. Adv. Transp. 2022, 2022, 6622862. [Google Scholar] [CrossRef]
- Geng, M.; Chen, Y.; Xia, Y.; Chen, X.M. Dynamic-learning spatial-temporal Transformer network for vehicular trajectory prediction at urban intersections. Transp. Res. Part Emerg. Technol. 2023, 156, 104330. [Google Scholar] [CrossRef]
- Liu, R.W.; Zheng, W.; Liang, M. Spatio-temporal multi-graph transformer network for joint prediction of multiple vessel trajectories. Eng. Appl. Artif. Intell. 2024, 129, 107625. [Google Scholar] [CrossRef]
- Tang, H.; Yin, Y.; Shen, H. A model for vessel trajectory prediction based on long short-term memory neural network. J. Mar. Eng. Technol. 2022, 21, 136–145. [Google Scholar] [CrossRef]
- Ding, W.; Huang, J.; Shang, G.; Wang, X.; Li, B.; Li, Y.; Liu, H. Short-term Trajectory prediction based on Hyperparametric optimisation and a dual attention mechanism. Aerospace 2022, 9, 464. [Google Scholar] [CrossRef]
- Dong, S.; Xiao, J.; Hu, X.; Fang, N.; Liu, L.; Yao, J. Deep transfer learning based on Bi-LSTM and attention for remaining useful life prediction of rolling bearing. Reliab. Eng. Syst. Saf. 2023, 230, 108914. [Google Scholar] [CrossRef]
- Ma, L.; Tian, S. A hybrid CNN-LSTM model for aircraft 4D trajectory prediction. IEEE Access 2020, 8, 134668–134680. [Google Scholar] [CrossRef]
- Cai, Z.; Tan, C.; Zhang, J.; Zhu, L.; Feng, Y. DBSTGNN-Att: Dual Branch Spatio-Temporal Graph Neural Network with an Attention Mechanism for Cellular Network Traffic Prediction. Appl. Sci. 2024, 14, 2173. [Google Scholar] [CrossRef]
- Guo, G.; Yuan, W. Short-term traffic speed forecasting based on graph attention temporal convolutional networks. Neurocomputing 2020, 410, 387–393. [Google Scholar] [CrossRef]
- Kipf, T.N.; Welling, M. Semi-supervised classification with graph convolutional networks. arXiv 2016, arXiv:1609.02907. [Google Scholar]
- Peng, Y.; Wu, W.; Ren, J.; Yu, X. Novel GCN Model Using Dense Connection and Attention Mechanism for Text Classification. Neural Process. Lett. 2024, 56, 144. [Google Scholar] [CrossRef]
- Kumar, S.; Mallik, A.; Panda, B. Influence maximization in social networks using transfer learning via graph-based LSTM. Expert Syst. Appl. 2023, 212, 118770. [Google Scholar] [CrossRef]
- Wang, Y.; Yao, X.; Zhu, P.; Li, W.; Cao, M.; Hu, Q. Integrated Heterogeneous Graph Attention Network for Incomplete Multi-modal Clustering. Int. J. Comput. Vis. 2024, 1–20. [Google Scholar] [CrossRef]
- Xu, Y.; Ji, J.; Ni, Q.; Feng, K.; Beer, M.; Chen, H. A graph-guided collaborative convolutional neural network for fault diagnosis of electromechanical systems. Mech. Syst. Signal Process. 2023, 200, 110609. [Google Scholar] [CrossRef]
- Wu, Z.; Pan, S.; Long, G.; Jiang, J.; Zhang, C. Graph wavenet for deep spatial-temporal graph modeling. arXiv 2019, arXiv:1906.00121. [Google Scholar]
- Zhang, T.; Guo, G. Graph attention LSTM: A spatiotemporal approach for traffic flow forecasting. IEEE Intell. Transp. Syst. Mag. 2020, 14, 190–196. [Google Scholar] [CrossRef]
- Wang, J.; Chen, Q.; Gong, H. STMAG: A spatial-temporal mixed attention graph-based convolution model for multi-data flow safety prediction. Inf. Sci. 2020, 525, 16–36. [Google Scholar] [CrossRef]
- Cho, K.; Van Merriënboer, B.; Gulcehre, C.; Bahdanau, D.; Bougares, F.; Schwenk, H.; Bengio, Y. Learning phrase representations using RNN encoder-decoder for statistical machine translation. arXiv 2014, arXiv:1406.1078. [Google Scholar]
- Nguyen, D.; Fablet, R. TrAISformer-A generative transformer for AIS trajectory prediction. arXiv 2021, arXiv:2109.03958. [Google Scholar]
- Busbridge, D.; Sherburn, D.; Cavallo, P.; Hammerla, N.Y. Relational graph attention networks. arXiv 2019, arXiv:1904.05811. [Google Scholar]
- Cho, H.; Lee, H. Biomedical named entity recognition using deep neural networks with contextual information. BMC Bioinform. 2019, 20, 735. [Google Scholar] [CrossRef] [PubMed]
- Xian-yan, M.; Rong-yi, C.; Ya-hui, Z.; Zhenguo, Z. Multilingual short text classification based on LDA and BiLSTM-CNN neural network. In Proceedings of the Web Information Systems and Applications: 16th International Conference, WISA 2019, Qingdao, China, 20–22 September 2019; Proceedings 16. Springer: Berlin/Heidelberg, Germany, 2019; pp. 319–323. [Google Scholar]
- Scholin, C. Autonomous Underwater Vehicle Monterey Bay Time Series—AUV Makai CTD. Biological and Chemical Oceanography Data Management Office (BCO-DMO). (Version 1) Version Date 15 August 2023 [If Applicable, Indicate Subset Used]; Springer: Berlin/Heidelberg, Germany, 2023. [Google Scholar] [CrossRef]














| Models | Metrics | Latitude (°N) | Longitude (°E) |
|---|---|---|---|
| RNN | MSE | 0.009232 | 0.007548 |
| RMSE | 0.096083 | 0.086879 | |
| MAE | 0.135882 | 0.122865 | |
| GRU | MSE | 0.003807 | 0.002014 |
| RMSE | 0.061700 | 0.044877 | |
| MAE | 0.087258 | 0.063466 | |
| CNN-LSTM | MSE | 0.002324 | 0.001847 |
| RMSE | 0.048207 | 0.042976 | |
| MAE | 0.068176 | 0.060778 | |
| GAT-ABiGRU | MSE | 0.000163 | 0.000142 |
| RMSE | 0.012767 | 0.011916 | |
| MAE | 0.018055 | 0.016852 |
| Models | Metrics | Latitude (°N) | Longitude (°E) |
|---|---|---|---|
| ABiGRU | MSE | 0.000984 | 0.000825 |
| RMSE | 0.031368 | 0.028722 | |
| MAE | 0.044362 | 0.040620 | |
| GAT-BiGRU | MSE | 0.000318 | 0.000205 |
| RMSE | 0.017832 | 0.014317 | |
| MAE | 0.025219 | 0.020248 | |
| GAT-ABiGRU | MSE | 0.000163 | 0.000142 |
| RMSE | 0.012767 | 0.011916 | |
| MAE | 0.018055 | 0.016852 |
| Models | Metrics | Latitude (°N) | Longitude (°E) |
|---|---|---|---|
| RNN | MSE | 0.009232 | 0.007548 |
| RMSE | 0.096083 | 0.086879 | |
| MAE | 0.135882 | 0.122865 | |
| GRU | MSE | 0.003807 | 0.002014 |
| RMSE | 0.061700 | 0.044877 | |
| MAE | 0.087258 | 0.063466 | |
| CNN-LSTM | MSE | 0.002324 | 0.001847 |
| RMSE | 0.048207 | 0.042976 | |
| MAE | 0.068176 | 0.060778 | |
| ABiGRU | MSE | 0.000984 | 0.000825 |
| RMSE | 0.031368 | 0.028722 | |
| MAE | 0.044362 | 0.040620 | |
| GAT-BiGRU | MSE | 0.000318 | 0.000205 |
| RMSE | 0.017832 | 0.014317 | |
| MAE | 0.025219 | 0.020248 | |
| GAT-ABiGRU | MSE | 0.000163 | 0.000142 |
| RMSE | 0.012767 | 0.011916 | |
| MAE | 0.018055 | 0.016852 |
Disclaimer/Publisher’s Note: The statements, opinions and data contained in all publications are solely those of the individual author(s) and contributor(s) and not of MDPI and/or the editor(s). MDPI and/or the editor(s) disclaim responsibility for any injury to people or property resulting from any ideas, methods, instructions or products referred to in the content. |
© 2024 by the authors. Licensee MDPI, Basel, Switzerland. This article is an open access article distributed under the terms and conditions of the Creative Commons Attribution (CC BY) license (https://creativecommons.org/licenses/by/4.0/).
Share and Cite
Zhao, M.; Zhang, J.; Li, Q.; Yang, J.; Siga, E.; Zhang, T. GAT-ABiGRU Based Prediction Model for AUV Trajectory. Appl. Sci. 2024, 14, 4184. https://doi.org/10.3390/app14104184
Zhao M, Zhang J, Li Q, Yang J, Siga E, Zhang T. GAT-ABiGRU Based Prediction Model for AUV Trajectory. Applied Sciences. 2024; 14(10):4184. https://doi.org/10.3390/app14104184
Chicago/Turabian StyleZhao, Mingxiu, Jing Zhang, Qin Li, Junzheng Yang, Estevao Siga, and Tianchi Zhang. 2024. "GAT-ABiGRU Based Prediction Model for AUV Trajectory" Applied Sciences 14, no. 10: 4184. https://doi.org/10.3390/app14104184
APA StyleZhao, M., Zhang, J., Li, Q., Yang, J., Siga, E., & Zhang, T. (2024). GAT-ABiGRU Based Prediction Model for AUV Trajectory. Applied Sciences, 14(10), 4184. https://doi.org/10.3390/app14104184

