An Improved Pedotransfer Function for Soil Hydrological Properties in New Zealand
Abstract
Featured Application
Abstract
1. Introduction
Application of the Model
2. Materials and Methods
2.1. Available Predictors
2.2. Available Data
2.2.1. Data Sources and Distribution
2.2.2. Data Processing
- The total porosity (TP) was calculated from fine-earth bulk density () and particle density () if TP was missing, using the functional relationship .
- Water content values outside the range [0, 1] (0% to 100%) were dropped.
- Water content values for a sample were only retained where the soil water values from tensions of 0 to −1500 kPa were non-increasing. However, TP is measured using a different method from other tensions, and sometimes the TP response is less than the response measured at −5 kPa by a very small amount (typically 0.5%). Where this is the case, the TP was increased above the −5 kPa value by a value equal to half of the minimum difference between all the TP and the −5 kPa values (after dropping TP values equal to or smaller than the −5 kPa response). This step was used to ensure non-increasing values but avoids dropping too many TP values.
- Samples were dropped if the sample top and/or bottom were missing, or if the sample top was negative (i.e., above ground level).
- Since Allophanic soils are characterized by a high porosity (>60%), Allophanic soils with a total porosity of less 60% were dropped. This involved only a very small number of cases (2% of Allophanic soils).
- Any samples with a functional horizon indicating a pan were dropped, since these dense layers of soil are largely impervious to water and were problematic to model. Anthropic soils are man-made soils whose characteristics are often drastically changed from mixing and compaction and are likely to have confusing effects on regression models. Raw soils are soils that lack soil development and are likely to be outliers in soil–water relationships. These dropped cases involved very few samples, since pan, anthropic, and raw soils are of low interest for modeling of physical characteristics in agricultural landscapes.
- Any stony soil samples, as defined by the functional horizon description, were dropped, since stony soils were modeled as a post hoc adjustment of water release predictions, as noted in Section 1.
- Any samples (other than for Organic or Pumice soils) where the bulk density is less than 0.5 were dropped, since these low-density soils suggested incorrect soil classification. Samples were also only retained where the bulk density was measured from an undisturbed core sample.
2.3. Modeling Approach
- The soil–water response is non-increasing with increasing tension value;
- Estimates of derived properties (e.g., TAW, macroporosity) are bounded below by zero and above by 1;
- Lower and upper uncertainty estimates for the soil–water response and derived properties are bounded below by zero and above by one.
2.4. Non-Organic Horizons
2.5. Organic Horizons
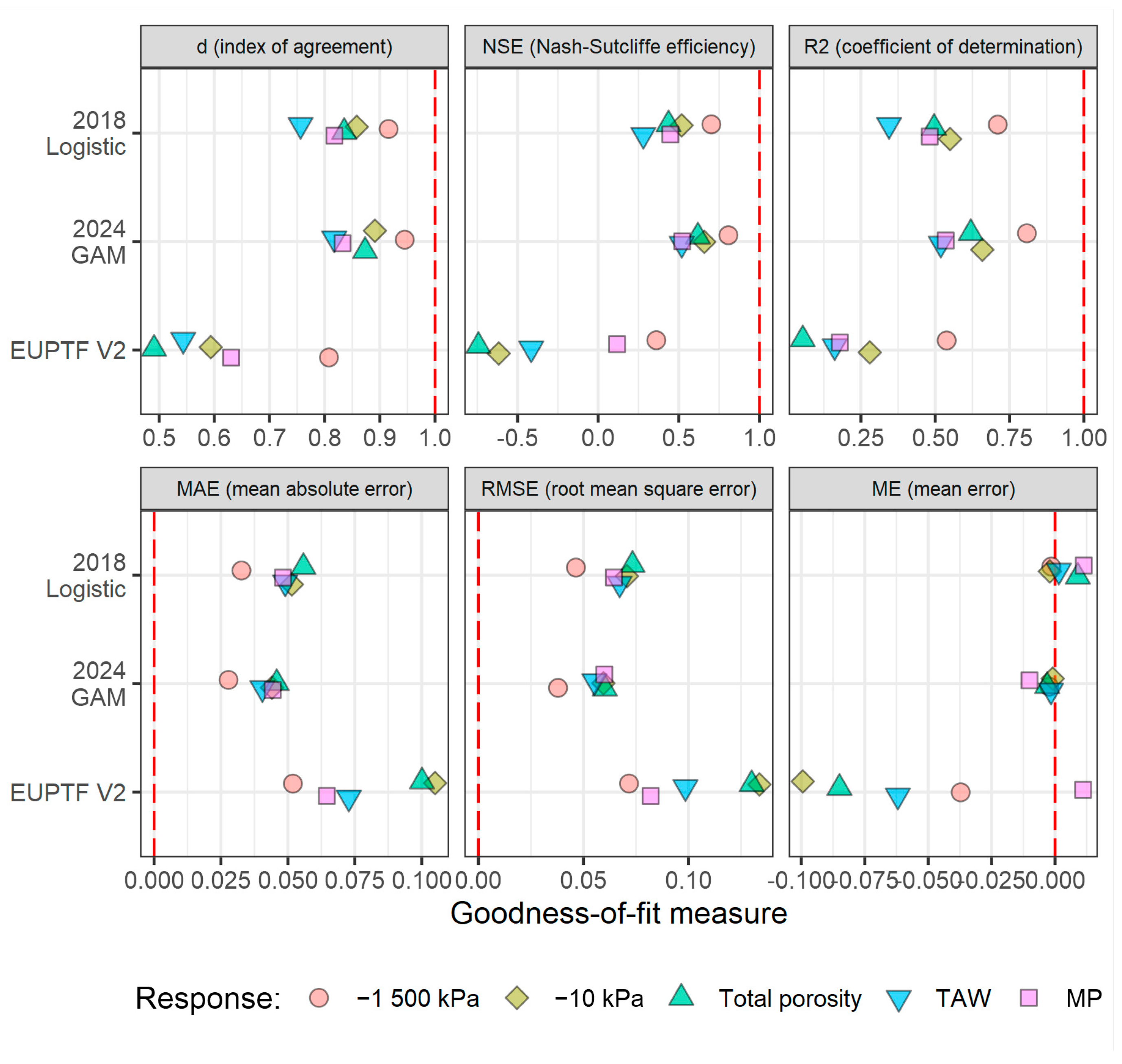
2.6. Model Assessment
2.7. Comparison with Other PTF Models
3. Results
3.1. Non-Organic Horizons
3.2. Organic Horizons
3.3. Model Assessment
3.4. Error by Covariates
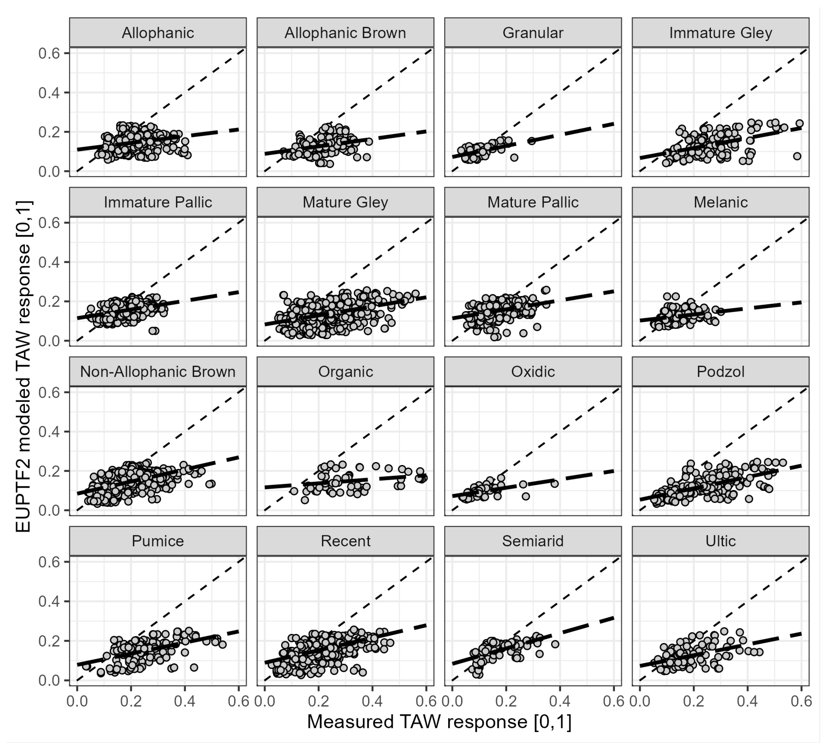
3.5. Comparisons with Other PTF Models
4. Discussion
4.1. Model Improvements
- There is a twofold increase in the number of sites available for fitting the PTF, especially for less common soils in New Zealand (e.g., Pumice soils).
- Inclusion of the sample depth as an explanatory variable; this is justified since sample depth is associated with changes in carbon concentration [28] and bulk density.
- Refinements to the processing of the training data, including removal of all stony soils to a post hoc procedure, and more consistent estimation of texture classes.
- A change from logistic regression in [1] to the GAM semi-parametric approach with a Beta response. This allows the model to adapt to the data characteristics while still adhering to the requirement for physically plausible estimates of the soil–water response and derived values (e.g., TAW).
4.2. Comparisons between Models
- Many PTFs require soil inputs such as bulk density that are not spatially available in New Zealand.
- Some PTFs are so geographically specific that their use for New Zealand soils would be pointless [30].
- Either the coefficients for the published model were not available for application with New Zealand data, or the software was not suitable for use in calculations of large quantities of S-map sample data.
- Global maps [31] in image format of the mean and coefficient of variation of saturated moisture content, field capacity, and permanent wilting point estimated using an ensemble model can be found online (https://doi.org/10.7910/DVN/VPIN2B, accessed on 1 May 2024). In this case, the PTF predictions are available at such a low spatial resolution (10 km postings) that a comparison with New Zealand point data was pointless. We also note that recent research is finding that local models usually perform better than global models (e.g., [32,33,34,35]).
4.3. Limitations
- The PTF is physically informed, with estimates bounded above and below by physically plausible limits (0%, 100%), and the estimates are enforced to be monotonic with increasing tension. However, the differences in response between soil types and other explanatory variables may not be explainable in a straightforward manner [36]. As for all PTF models, there is a compromise choice between the fidelity of predictions to measured data and the interpretability of the results.
- The model indicates associative relationships between the various explanatory variables and the soil–water response, but those relationships may not be causal. For example, including sample depth does not cause a strong change in soil–water response by itself, but its beneficial inclusion is likely due to the strong association between sample depth with bulk density and carbon concentration, both of which are known to affect soil water retention [6,37,38,39].
- The training data used in development of the model were derived from historical data and do not represent random sampling over the landscape or over explanatory variables. It is difficult to determine the effect of this non-random sampling, but certain diagnostics were used to provide checks on potential problems. For example, the smooth effect of adding spatial coordinates was extracted to determine where spatial extrapolation of the estimated response (e.g., at −1500 kPa) was notable. Although not shown here, the result did not suggest that there are extensive areas where the predicted response is likely to be biased.
5. Conclusions
Author Contributions
Funding
Institutional Review Board Statement
Informed Consent Statement
Data Availability Statement
Conflicts of Interest
Appendix A
| New Zealand Soil Classification (Soil Order) | Soil Taxonomy (Equivalent Soil Order, or Suborder/Great Group) | World Reference Base (Equivalent Reference Soil Group) | 
|---|---|---|
| Allophanic | Andisols (except Vitrands) | Andosols | 
| Anthropic | Entisols or unclassified | Anthrosols or Technosols | 
| Brown | Inceptisols (also Entisols) | Cambisols | 
| Gley | Aquic suborders of Inceptisols, Entisols, Oxisols, etc. | Gleysols | 
| Granular | Ultisols | Nitisols | 
| Melanic | Mollisols, Vertisols | Vertisols, Calcisols, Chernozems or Phaeozems | 
| Organic | Histosols | Histosols | 
| Oxidic | Oxisols | Ferralsols | 
| Pallic | Alfisols, Inceptisols | Cambisols, Luvisols, or Planosols | 
| Podzol | Spodosols | Podzols | 
| Pumice | Andisols: mainly Vitrands (also Vitricryands, Vitriquands) | Andosols | 
| Raw | Not-soil or Entisols | Regosols, Aernosols, or unclassified | 
| Recent | Entisols (also Inceptisols) | Fluvisols, Arenosols, Leptosols, Cambisols, Regosols, or Umbrisols | 
| Semiarid | Aridisols | Luvisols, Cambisols, or Solonetz | 
| Ultic | Ultisols | Planosols | 
References
- McNeill, S.J.; Lilburne, L.R.; Carrick, S.; Webb, T.H.; Cuthill, T. Pedotransfer functions for the soil water characteristics of New Zealand soils using S-map information. Geoderma 2018, 326, 96–110. [Google Scholar] [CrossRef]
- Manaaki Whenua Landcare Research. S-Map—New Zealand’s National Digital Soil Map. Available online: https://smap.landcareresearch.co.nz/ (accessed on 12 March 2024).
- Schaap, M.G.; Nemes, A.; van Genuchten, M.T. Comparison of models for indirect estimation of water retention and available water in surface soils. Vadose Zone J. 2004, 3, 1455–1463. [Google Scholar] [CrossRef]
- Toth, B.; Weynants, M.; Nemes, A.; Mako, A.; Bilas, G.; Toth, G. New generation of hydraulic pedotransfer functions for Europe. Eur. J. Soil Sci. 2015, 66, 226–238. [Google Scholar] [CrossRef]
- Weynants, M.; Vereecken, H.; Javaux, M. Revisiting Vereecken pedotransfer functions: Introducing a closed-form hydraulic model. Vadose Zone J. 2009, 8, 86–95. [Google Scholar] [CrossRef]
- Saxton, K.E.; Rawls, W.J. Soil water characteristic estimates by texture and organic matter for hydrologic solutions. Soil Sci. Soc. Am. J. 2006, 70, 1569–1578. [Google Scholar] [CrossRef]
- Lilburne, L.R.; Hewitt, A.; Webb, T. Soil and informatics science combine to develop S-map: A new generation soil information system for New Zealand. Geoderma 2012, 170, 232–238. [Google Scholar] [CrossRef]
- Robertson, B.B.; Almond, P.C.; Carrick, S.T.; Penny, V.; Eger, A.; Chau, H.W.; Smith, C.M.S. The influence of rock fragments on field capacity water content in stony soils from hard sandstone alluvium. Geoderma 2021, 389, 114912. [Google Scholar] [CrossRef]
- Hewitt, A.E. New Zealand Soil Classification, 3rd ed.; Manaaki Whenua Press: Lincoln, Canterbury, New Zealand, 2010; p. 136. [Google Scholar]
- Webb, T.H. Identification of functional horizons to predict physical properties for soils from alluvium in Canterbury, New Zealand. Aust. J. Soil Res. 2003, 41, 1005–1019. [Google Scholar] [CrossRef]
- Webb, T.H.; Lilburne, L.R. Criteria for Defining the Soil Family and Soil Sibling: The Fourth and Fifth Categories of the New Zealand Soil Classification, 2nd ed.; Manaaki Whenua Press: Lincoln, Canterbury, New Zealand, 2011; p. 38. [Google Scholar]
- Milne, J.D.G.; Clayden, B.; Singleton, P.L.; Wilson, A.D. Soil Description Handbook; Manaaki Whenua Press: Lincoln, Canterbury, New Zealand, 1995. [Google Scholar]
- Littleboy, M. Spatial Generalisation of Biophysical Simulation Models for Quantitative Land Evaluation: A Case Study for Dryland Wheat Growing Areas of Queensland. Ph.D. Thesis, The University of Queensland, Brisbane, Australia, 1997. [Google Scholar]
- Manaaki Whenua Landcare Research. National Soils Data Repository (NSDR). Available online: https://viewer-nsdr.landcareresearch.co.nz/ (accessed on 12 March 2024).
- Manaaki Whenua Landcare Research. National Soils Database (NSD). Available online: https://viewer-nsdr.landcareresearch.co.nz/search (accessed on 12 March 2024).
- Ng, P.; Maechler, M. A fast and efficient implementation of qualitatively constrained quantile smoothing splines. Stat. Model. 2007, 7, 315–328. [Google Scholar] [CrossRef]
- Minasny, B.; McBratney, A.B. The Australian soil texture boomerang: A comparison of the Australian and USDA/FAO soil particle-size classification systems. Soil Res. 2001, 39, 1443–1451. [Google Scholar] [CrossRef]
- U.S. Department of Agriculture Natural Resources Conservation Service. National Soil Survey Handbook, Title 430-VI; 2023. Available online: https://directives.sc.egov.usda.gov/ (accessed on 1 May 2024).
- Cornell, J.A. Experiments with Mixtures; John Wiley and Sons: New York, NY, USA, 1981. [Google Scholar]
- R Core Team. R: A Language and Environment for Statistical Computing; R Foundation for Statistical Computing: Vienna, Austria, 2023; Available online: https://www.R-project.org (accessed on 1 May 2024).
- Marra, G.; Wood, S.N. Coverage properties of confidence intervals for generalized additive model components. Scand. J. Stat. 2012, 39, 53–74. [Google Scholar] [CrossRef]
- Wood, S.N. Generalized Additive Models: An Introduction with R, 2nd ed.; CRC Press: Boca Raton, FL, USA, 2017. [Google Scholar]
- Nash, J.E.; Sutcliffe, J.V. River flow forecasting through conceptual models part I—A discussion of principles. J. Hydrol. 1970, 10, 282–290. [Google Scholar] [CrossRef]
- Willmott, C.J. On the validation of models. Phys. Geogr. 1981, 2, 184–194. [Google Scholar] [CrossRef]
- Nemes, A.; Rawls, W.J. Evaluation of different representations of the particle-size distribution to predict soil water retention. Geoderma 2006, 132, 47–58. [Google Scholar] [CrossRef]
- Szabó, B.; Weynants, M.; Weber, T.K.D. Updated European hydraulic pedotransfer functions with communicated uncertainties in the predicted variables (euptfv2). Geosci. Model Dev. 2021, 14, 151–175. [Google Scholar] [CrossRef]
- van Genuchten, M.T. A closed-form equation for predicting the hydraulic conductivity of unsaturated soils. Soil Sci. Soc. Am. J. 1980, 44, 892–898. [Google Scholar] [CrossRef]
- Kelliher, F.M.; Parfitt, R.L.; van Koten, C.; Schipper, L.A.; Rys, G. Use of shallow samples to estimate the total carbon storage in pastoral soils. New Zealand J. Agric. Res. 2013, 56, 86–90. [Google Scholar] [CrossRef]
- Pollacco, J.A.P.; Fernandez-Galvez, J.; Ackerer, P.; Belfort, B.; Lassabatere, L.; Angulo-Jaramillo, R.; Rajanayaka, C.; Lilburne, L.; Carrick, S.; Peltzer, D.A. HyPix: 1D physically based hydrological model with novel adaptive time-stepping management and smoothing dynamic criterion for controlling Newton-Raphson step. Environ. Model. Softw. 2022, 153, 105386. [Google Scholar] [CrossRef]
- Rudiyanto; Minasny, B.; Chaney, N.W.; Maggi, F.; Giap, S.G.E.; Shah, R.M.; Fiantis, D.; Setiawan, B.I. Pedotransfer functions for estimating soil hydraulic properties from saturation to dryness. Geoderma 2021, 403, 115194. [Google Scholar] [CrossRef]
- Zhang, Y.; Schaap, M.G.; Wei, Z. Development of hierarchical ensemble model and estimates of soil water retention with global coverage. Geophys. Res. Lett. 2020, 47, e2020GL088819. [Google Scholar] [CrossRef]
- Helfenstein, A.; Mulder, V.L.; Heuvelink, G.B.M.; Okx, J.P. Tier 4 maps of soil pH at 25 m resolution for the Netherlands. Geoderma 2022, 410, 115659. [Google Scholar] [CrossRef]
- Liu, F.; Wu, H.Y.; Zhao, Y.G.; Li, D.C.; Yang, J.L.; Song, X.D.; Shi, Z.; Zhu, A.X.; Zhang, G.L. Mapping high resolution national soil information grids of China. Sci. Bull. 2022, 67, 328–340. [Google Scholar] [CrossRef] [PubMed]
- Mulder, V.L.; Lacoste, M.; Richer-de-Forges, A.C.; Martin, M.P.; Arrouays, D. National versus global modelling the 3D distribution of soil organic carbon in mainland France. Geoderma 2016, 263, 16–34. [Google Scholar] [CrossRef]
- Vitharana, U.W.A.; Mishra, U.; Mapa, R.B. National soil organic carbon estimates can improve global estimates. Geoderma 2019, 337, 55–64. [Google Scholar] [CrossRef]
- Peters, A.; Durner, W.; Wessolek, G. Consistent parameter constraints for soil hydraulic functions. Adv. Water Resour. 2011, 34, 1352–1365. [Google Scholar] [CrossRef]
- Pollacco, J.A.P. A generally applicable pedotransfer function that estimates field capacity and permanent wilting point from soil texture and bulk density. Can. J. Soil Sci. 2008, 88, 761–774. [Google Scholar] [CrossRef]
- Contreras, C.P.; Bonilla, C.A. A comprehensive evaluation of pedotransfer functions for predicting soil water content in environmental modeling and ecosystem management. Sci. Total Environ. 2018, 644, 1580–1590. [Google Scholar] [CrossRef]
- Rawls, W.J.; Pachepsky, Y.A.; Ritchie, J.C.; Sobecki, T.M.; Bloodworth, H. Effect of soil organic carbon on soil water retention. Geoderma 2003, 116, 61–76. [Google Scholar] [CrossRef]
- Hewitt, A.E.; Balks, M.R.; Lowe, D.J. The Soils of Aotearoa New Zealand; Springer Link: Cham, Switzerland, 2021. [Google Scholar]
- IUSS Working Group WRB. World Reference Base for Soil Resources. International Soil Classification System for Naming Soils and Creating Legends for Soil Maps, 4th ed.; International Union of Soil Sciences (IUSS): Vienna, Austria, 2022. [Google Scholar]









| Parameter | Data Type | Interpretation | 
|---|---|---|
| NZSC soil order | Categorical | Soil order defined as in [9] | 
| NZSC soil group | Categorical | Subdivision of specific soil order classes defined as in [9] | 
| Sample depth | Numeric | Mid-depth of sample (maximum 1 m) | 
| Sand, silt, clay fractions | Numeric | Sand, silt, and clay content, as defined in the National Soils Data Repository, and documented in [12] | 
| Drainage class | Categorical | An ordered set of 5 categories from “verypoorlydrained” to “welldrained”, as defined in [12] | 
| Rock class of fines | Categorical | An unordered set of 8 categories from “Siliceous”, “SoftRocks”, “HardRocks”, “BasicRocks”, “Limestone”, “Rhyolitic”, “OtherRocks”, or “NotApplicable” (where rock class of fines is not specified, as opposed to being missing), as defined by Webb and Lilburne [11] | 
| Topsoil | Boolean | True/False (from functional horizon description) | 
| Organic horizon | Boolean | True/False, as defined in [12] | 
| Texture | Categorical | An unordered set of 4 categories from “sandy”, “loamy”, “clayey”, or “nulltexture” (where texture class is not applicable, as opposed to being missing), as defined in [11] | 
| Ped size | Categorical | An unordered set of 4 categories from “earthy”, “fine”, “coarse”, or “nullpedsize” (where ped size is not applicable, as opposed to being missing), as defined in [11] | 
| Strength | Categorical | An unordered set of 4 categories from “loose”, “weakslightlyfirm”, “firm”, or “nullstrength” (where strength is not applicable, as opposed to being missing), as defined in [11] | 
| Tephra | Categorical | An unordered set of 3 volcanic soil categories, from “acidic”, “basic”, or “nulltephra” (for non-tephric soil material), as defined in [11] | 
| Composition | Categorical | [Only organic horizons] Organic composition of the horizon, an unordered set of 2 categories from either “peaty” or “humic”, as defined in [11] | 
| NZSC Soil Order | Number of Samples | Number of Sites | 
|---|---|---|
| Allophanic | 554 | 64 | 
| Allophanic Brown | 164 | 25 | 
| Granular | 51 | 7 | 
| Immature Gley | 148 | 19 | 
| Immature Pallic | 958 | 110 | 
| Mature Gley | 1005 | 125 | 
| Mature Pallic | 743 | 81 | 
| Melanic | 104 | 14 | 
| Non-Allophanic Brown | 841 | 159 | 
| Organic | 57 | 9 | 
| Oxidic | 51 | 8 | 
| Podzol | 210 | 30 | 
| Pumice | 157 | 28 | 
| Recent | 691 | 93 | 
| Semiarid | 98 | 10 | 
| Ultic | 124 | 14 | 
| All soil orders | 5956 | 796 | 
| Component | Particle Size Distribution Range (µm) | ||
|---|---|---|---|
| New Zealand (1) | Australia (2) | USDA/FAO (2, 3) | |
| Sand | [60, 2000) | [20, 2000) | [50, 2000) | 
| Silt | [2, 60) | [2, 20) | [2, 50) | 
| Clay | [0, 2) | [0, 2) | [0, 2) | 
| Response Tension | ||||||||
|---|---|---|---|---|---|---|---|---|
| Total Porosity | −5 kPa | −10 kPa | −20 kPa | −40 kPa | −100 kPa | −1500 kPa | ||
| Training | Num. samples | 2788 | 3520 | 3558 | 2944 | 2811 | 3041 | 4135 | 
| Minimum | 0.291 | 0.086 | 0.050 | 0.046 | 0.037 | 0.018 | 0.010 | |
| 2.5% quantile | 0.372 | 0.250 | 0.174 | 0.128 | 0.107 | 0.085 | 0.037 | |
| Median | 0.527 | 0.419 | 0.394 | 0.373 | 0.354 | 0.325 | 0.186 | |
| Mean | 0.542 | 0.430 | 0.401 | 0.378 | 0.357 | 0.327 | 0.197 | |
| 97.5% quantile | 0.741 | 0.635 | 0.614 | 0.601 | 0.581 | 0.552 | 0.393 | |
| Maximum | 0.939 | 0.850 | 0.820 | 0.737 | 0.727 | 0.705 | 0.566 | |
| Validation | Num. samples | 1174 | 1505 | 1518 | 1263 | 1223 | 1304 | 1757 | 
| Minimum | 0.314 | 0.080 | 0.054 | 0.049 | 0.041 | 0.029 | 0.014 | |
| 2.5% quantile | 0.370 | 0.281 | 0.200 | 0.156 | 0.133 | 0.106 | 0.041 | |
| Median | 0.529 | 0.419 | 0.395 | 0.374 | 0.354 | 0.326 | 0.190 | |
| Mean | 0.541 | 0.431 | 0.402 | 0.379 | 0.356 | 0.326 | 0.198 | |
| 97.5% quantile | 0.759 | 0.644 | 0.621 | 0.607 | 0.592 | 0.563 | 0.400 | |
| Maximum | 0.934 | 0.849 | 0.749 | 0.738 | 0.728 | 0.703 | 0.520 | |
| (a) | |||||||
| 0.72 | 0.62 | 0.56 | 0.52 | 0.50 | 0.28 | ||
| 0.96 | 0.91 | 0.87 | 0.83 | 0.54 | |||
| 0.98 | 0.96 | 0.92 | 0.65 | ||||
| 0.99 | 0.97 | 0.73 | |||||
| 0.99 | 0.76 | ||||||
| 0.81 | |||||||
| (b) | |||||||
| 0.45 | 0.27 | 0.15 | 0.05 | −0.26 | −0.41 | ||
| 0.61 | 0.38 | 0.15 | −0.13 | −0.46 | |||
| 0.62 | 0.52 | −0.01 | −0.46 | ||||
| 0.63 | 0.10 | −0.37 | |||||
| 0.11 | −0.30 | ||||||
| −0.02 | 
| Disclaimer/Publisher’s Note: The statements, opinions and data contained in all publications are solely those of the individual author(s) and contributor(s) and not of MDPI and/or the editor(s). MDPI and/or the editor(s) disclaim responsibility for any injury to people or property resulting from any ideas, methods, instructions or products referred to in the content. | 
© 2024 by the authors. Licensee MDPI, Basel, Switzerland. This article is an open access article distributed under the terms and conditions of the Creative Commons Attribution (CC BY) license (https://creativecommons.org/licenses/by/4.0/).
Share and Cite
McNeill, S.; Lilburne, L.; Vickers, S.; Webb, T.; Carrick, S. An Improved Pedotransfer Function for Soil Hydrological Properties in New Zealand. Appl. Sci. 2024, 14, 3997. https://doi.org/10.3390/app14103997
McNeill S, Lilburne L, Vickers S, Webb T, Carrick S. An Improved Pedotransfer Function for Soil Hydrological Properties in New Zealand. Applied Sciences. 2024; 14(10):3997. https://doi.org/10.3390/app14103997
Chicago/Turabian StyleMcNeill, Stephen, Linda Lilburne, Shirley Vickers, Trevor Webb, and Samuel Carrick. 2024. "An Improved Pedotransfer Function for Soil Hydrological Properties in New Zealand" Applied Sciences 14, no. 10: 3997. https://doi.org/10.3390/app14103997
APA StyleMcNeill, S., Lilburne, L., Vickers, S., Webb, T., & Carrick, S. (2024). An Improved Pedotransfer Function for Soil Hydrological Properties in New Zealand. Applied Sciences, 14(10), 3997. https://doi.org/10.3390/app14103997
 
        
 
                                                


 
       