Regenerative Cooling Comparison of LOX/LCH4 and LOX/LC3H8 Rocket Engines Using the One-Dimensional Regenerative Cooling Modelling Tool ODREC
Abstract
:1. Introduction
2. Rocket Engine Heat Transfer
3. Description of the Tool
3.1. Input/Output Structure
3.2. Algorithm of the Coolant State
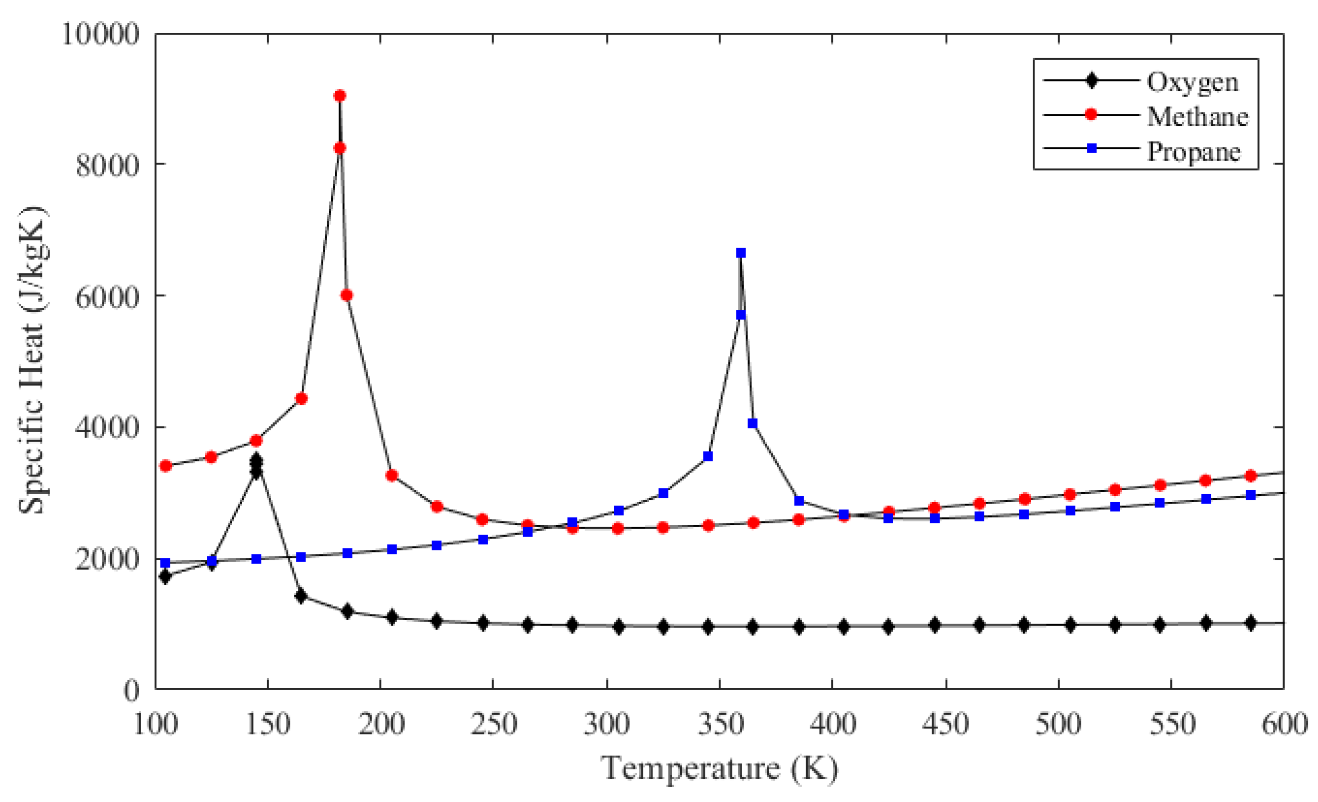
3.3. Algorithm of the Coolant Phase and Thermophysical Properties
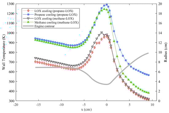
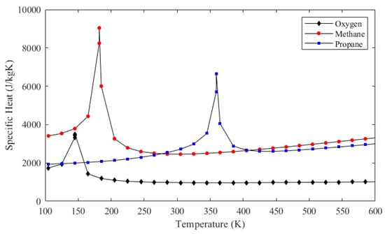
4. Results and Discussion
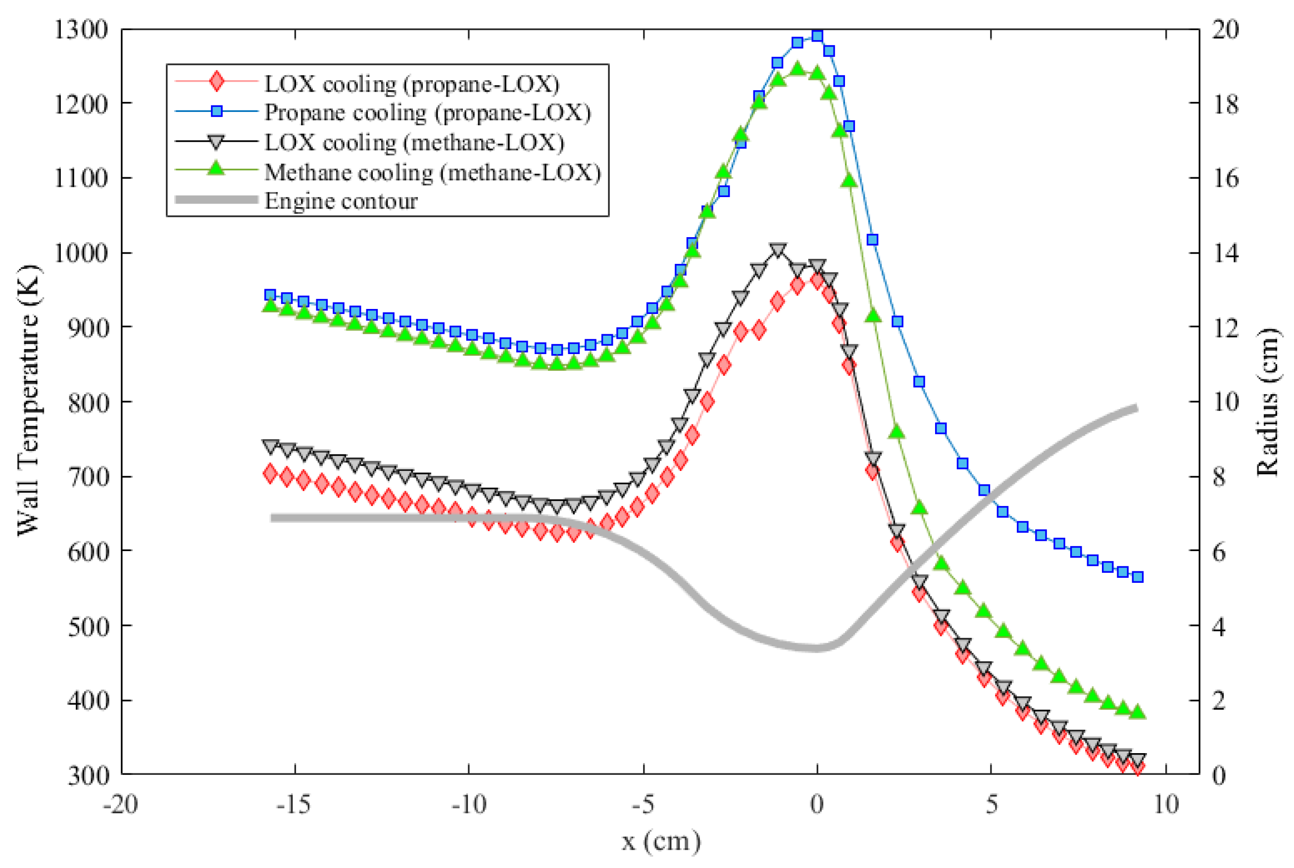
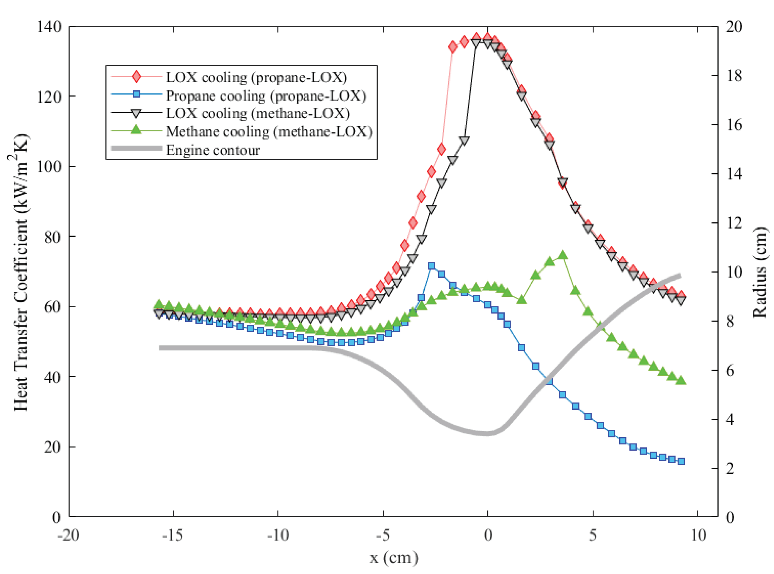
A Regenerative Cooling Comparison of LOX/LCH4 and LOX/LC3H8 Engines
5. Conclusions
Author Contributions
Funding
Institutional Review Board Statement
Informed Consent Statement
Data Availability Statement
Conflicts of Interest
References
- Sutton, G.P.; Biblarz, O. Rocket Propulsion Elements; John Wiley & Sons: Hoboken, NJ, USA, 2016. [Google Scholar]
- Huzel, D.K. Modern Engineering for Design of Liquid-Propellant Rocket Engines; AIAA: Reston, VA, USA, 1992; Volume 147. [Google Scholar]
- Nikischenko, I.N.; Wright, R.D.; Marchan, R.A. Improving the Performance of LOX/Kerosene Upper Stage Rocket Engines. Propuls. Power Res. 2017, 6, 157–176. [Google Scholar] [CrossRef]
- Naraghi, M.H.N. RTE: A Computer Code for Rocket Thermal Evaluation. In Proceedings of the Sixth Annual Thermal and Fluids Analysis Workshop, NASA Lewis Research Center, Cleveland, OH, USA, 17–21 August 1995. [Google Scholar]
- Nickerson, G.R.; Dang, L.D.; Coats, D.E. Engineering and Programming Manual: Two-Dimensional Kinetic Reference Computer Program (TDK); Technical Report; NASA Technical Reports Server: Cleveland, OH, USA, 1985. [Google Scholar]
- Wadel, M.; Meyer, M. Validation of high aspect ratio cooling in a 89 kN (20,000 lbf) thrust combustion chamber. In Proceedings of the 32nd Joint Propulsion Conference, Lake Buena Vista, FL, USA, 1–3 July 1996. AIAA-96-2584. [Google Scholar]
- Naraghi, M.; Dunn, S.; Coats, D. A Model for Design and Analysis of Regeneratively Cooled Rocket Engines. In Proceedings of the 40th Joint Propulsion Conference, Fort Lauderdale, FL, USA, 11–14 July 2004. AIAA-2004-3852. [Google Scholar]
- Ulas, A.; Boysan, E. Numerical analysis of regenerative cooling in liquid propellant rocket engines. Aerosp. Sci. Technol. 2013, 24, 187–197. [Google Scholar] [CrossRef]
- Naraghi, M.H.; Foulon, M. A Simple Approach for Thermal Analysis of Regenerative Cooling of Rocket Engines. In Proceedings of the ASME International Mechanical Engineering Congress and Exposition, Boston, MA, USA, 31 October–6 November 2008; Volume 48715, pp. 531–538. [Google Scholar]
- Wang, T.S.; Luong, V. Hot-Gas-Side and Coolant-Side Heat Transfer in Liquid Rocket Engine Combustors. J. Thermophys. Heat Transf. 1994, 8, 524–530. [Google Scholar] [CrossRef]
- Cho, W.K.; Seol, W.S.; Son, M.; Seo, M.K.; Koo, J. Development of Preliminary Design Program for Combustor of Regenerative Cooled Liquid Rocket Engine. J. Therm. Sci. 2011, 20, 467–473. [Google Scholar] [CrossRef]
- Kim, S.K.; Joh, M.; Choi, H.S.; Park, T.S. Effective Modeling of Conjugate Heat Transfer and Hydraulics for the Regenerative Cooling Design of Kerosene Rocket Engines. Numer. Heat Transf. Part A Appl. 2014, 66, 863–883. [Google Scholar] [CrossRef]
- Zhu, S.; Wei, R.; Hu, C.; Li, C. Regenerative-Cooling Heat-Transfer Performance of Mg/CO2 Powder Rocket Engines for Mars Missions. Int. J. Aeronaut. Space Sci. 2023, 24, 1–8. [Google Scholar] [CrossRef]
- Haeseler, D.; Bombelli, V.; Vuillermoz, P.; Lo, R.; Marée, T.; Caramelli, F. Green Propellant Propulsion Concepts for Space Transportation and Technology Development Needs. In Proceedings of the 2nd International Conference on Green Propellants for Space Propulsion, Chia Laguna (Cagliari), Sardinia, Italy, 2–4 June 2004; Volume 557. [Google Scholar]
- Roncioni, P.; Cardillo, D.; Panelli, M.; Ricci, D.; Di Clemente, M.; Battista, F. CFD Modelling and Simulations of the HYPROB Regenerative LOX/CH4 Thrust Chamber. In Proceedings of the 5th European Conference for Aeronautics and Space Sciences (EUCASS), Munich, Germany, 1–5 July 2013. [Google Scholar]
- Arun, M.; Amith, R.R.; Jose, P.M. Numerical Analysis of Combustion and Film Cooling in LOX-Methane Rocket Engine. J. Phys. Conf. Ser. 2019, 1355, 012009. [Google Scholar] [CrossRef]
- Haemisch, J.; Suslov, D.; Waxenegger-Wilfing, G.; Dresia, K.; Oschwald, M. LUMEN—Design of the Regenerative Cooling System for an Expander Bleed Cycle Engine Using Methane. In Proceedings of the 7th International Space Propulsion Conference, Virtual Conference, 17–19 March 2021; p. 68. [Google Scholar]
- Concio, P.; Migliorino, M.T.; Bianchi, D.; Nasuti, F. Modeling of Wall Heat Flux in Oxygen-Methane Liquid Rocket Thrust Chambers. In Proceedings of the AIAA AVIATION Forum, Chicago, IL, USA, 27 June–1 July 2022. AIAA-2022-3275. [Google Scholar]
- Concio, P.; Tindaro Migliorino, M.; Bianchi, D.; Nasuti, F. Numerical Estimation of Nozzle Throat Heat Flux in Oxygen-Methane Rocket Engines. J. Propuls. Power 2023, 39, 71–83. [Google Scholar] [CrossRef]
- Pizzarelli, M.; Battista, F. Oxygen-Methane Rocket Thrust Chambers: Review of Heat Transfer Experimental Studies. Acta Astronaut. 2023, 209, 48–66. [Google Scholar] [CrossRef]
- Denies, L. Regenerative Cooling Analysis of Oxygen/Methane Rocket Engines. Master’s Thesis, Delft University of Technology, Delft, The Netherlands, 2015. [Google Scholar]
- Song, J.; Liang, T.; Li, Q.; Cheng, P.; Zhang, D.; Cui, P.; Sun, J. Study on the Heat Transfer Characteristics of Regenerative Cooling for LOX/LCH4 Variable Thrust Rocket Engine. Case Stud. Therm. Eng. 2021, 28, 101664. [Google Scholar] [CrossRef]
- Kennedy, H.T. Sky Rockets in Flight, Biofuels Delight! The bioLPG Story, Orbex’s Biofuel Powered Space Rocket and More. 2021. Available online: https://www.biofuelsdigest.com/bdigest/2021/10/24/sky-rockets-in-flight-biofuels-delight-the-biolpg-story-orbexs-biofuel-powered-space-rocket-and-more/ (accessed on 17 December 2023).
- Boyd, W.C. LOX/Hydrocarbon Propellants for Space Propulsion Systems; Technical Report 841529; SAE: Warrendale, PA, USA, 1984. [Google Scholar]
- Liang, K.; Yang, B.; Zhang, Z. Investigation of Heat Transfer and Coking Characteristics of Hydrocarbon Fuels. J. Propuls. Power 1998, 14, 789–796. [Google Scholar] [CrossRef]
- Schoenman, L. LOX/Propane and LOX/Ethanol Combustion Chamber Heat Transfer. J. Propuls. Power 1991, 7, 538–548. [Google Scholar] [CrossRef]
- GitHub Repository of Yigithanmehmetkose. 2023. Available online: https://github.com/yigithanmehmetkose/ODREC (accessed on 17 December 2023).
- Munson, B.R.; Okiishi, T.H.; Huebsch, W.W.; Rothmayer, A.P. Fluid Mechanics; Wiley Singapore: Singapore, 2013. [Google Scholar]
- Leontiev, A.; Popovich, S.; Strongin, M.; Vinogradov, Y. Adiabatic Wall Temperature and Heat Transfer Coefficient Influenced by Separated Supersonic Flow. In Proceedings of the EPJ Web of Conferences, Novosibirsk, Russia, 22–25 November 2016; Volume 159. [Google Scholar]
- Bartz, D.R. A Simple Equation for Rapid Estimation of Rocket Nozzle Convective Heat Transfer Coefficients. Jet Propuls. 1957, 27, 49–51. [Google Scholar]
- Bergman, T.L.; Lavine, A.S.; Incropera, F.P.; DeWitt, D.P. Introduction to Heat Transfer; John Wiley & Sons: Hoboken, NJ, USA, 2011. [Google Scholar]
- Kirchberger, C.U. Investigation on Heat Transfer in Small Hydrocarbon Rocket Combustion Chambers. Ph.D. Thesis, Technische Universität München, Munich, Germany, 2014. [Google Scholar]
- Lemmon, E.W.; Huber, M.L.; McLinden, M.O. NIST Standard Reference Database 23; Reference Fluid Thermodynamic and Transport Properties–REFPROP; NIST: Gaithersburg, MD, USA, 2002. [Google Scholar]
- Gordon, S.; McBride, B.J. Computer Program for Calculation of Complex Chemical Equilibrium Compositions and Applications. Part 1: Analysis; Technical report; NASA Technical Reports Server: Cleveland, OH, USA, 1994. [Google Scholar]
- GitHub Repository of PurdueH2Lab. 2014. Available online: https://github.com/PurdueH2Lab/MatlabCEA (accessed on 17 December 2023).
- GitHub Repository of Tgvoskuilen. 2014. Available online: https://github.com/tgvoskuilen/MatlabTools (accessed on 17 December 2023).
- Rao, G. Exhaust Nozzle Contour for Optimum Thrust. J. Jet Propuls. 1958, 28, 377–382. [Google Scholar] [CrossRef]
- GitHub Repository of ravi4ram. 2020. Available online: https://github.com/ravi4ram/Bell-Nozzle (accessed on 17 December 2023).
- Ricci, D.; Battista, F.; Fragiacomo, M. Transcritical Behavior of Methane in the Cooling Jacket of a Liquid-Oxygen/Liquid-Methane Rocket Engine Demonstrator. Energies 2022, 15, 4190. [Google Scholar] [CrossRef]
- Ricci, D.; Battista, F.; Ferraiuolo, M.; Natale, P.; Fragiacomo, M. Development of a Liquid Rocket Ground Demonstrator Through Thermal Analyses. Heat Transf. Eng. 2019, 41, 1100–1116. [Google Scholar] [CrossRef]
- Ricci, D.; Natale, P.; Battista, F. Experimental and numerical investigation on the behaviour of methane in supercritical conditions. Appl. Therm. Eng. 2016, 107, 1334–1353. [Google Scholar] [CrossRef]
- Pizzarelli, M.; Betti, B.; Nasuti, F.; Ricci, D.; Roncioni, P.; Battista, F.; Salvatore, V. Cooling Channel Analysis of a LOX/LCH4 Rocket Engine Demonstrator. In Proceedings of the 50th Joint Propulsion Conference, Cleveland, OH, USA, 28–30 July 2014. AIAA-2014-4004. [Google Scholar]
- Gallo, G.; Kamps, L.; Hirai, S.; Carmicino, C.; Nagata, H. One-dimensional modelling of the nozzle cooling with cryogenic oxygen flowing through helical channels in a hybrid rocket. Acta Astronaut. 2023, 210, 176–196. [Google Scholar] [CrossRef]
- Tamura, H.; Ono, F.; Kumakawa, A.; Yatsuyanagi, N. LOX/methane Staged Combustion Rocket Combustor Investigation. In Proceedings of the 23rd Joint Propulsion Conference, San Diego, CA, USA, 29 June–2 July 1987. AIAA-87-1856. [Google Scholar]













| Input Parameter | Value |
|---|---|
| Ambient pressure, | 0.5 bar |
| Wall thermal conductivity, | 365 W/mK |
| Channel wall roughness, | 6.3 |
| Number of cooling channels, N | 90 |
| Cooling channel height, | 6 mm |
| Cooling channel width, w | 1 mm |
| Engine wall thickness, t | 5 mm |
| Engine characteristic length, | 0.3 m |
| Nozzle inflection angle, | 45° |
| Nozzle exit angle, | 15° |
| Coolant | T | P | |
|---|---|---|---|
| LOX (LOX/LCH4) | 340.8 K | 31.2 bar | 4.41 kg/s |
| LCH4 (LOX/LCH4) | 571.3 K | 35.1 bar | 1.10 kg/s |
| LOX (LOX/LC3H8) | 310.1 K | 31.8 bar | 4.54 kg/s |
| LC3H8 (LOX/LC3H8) | 594.4 K | 36.4 bar | 1.16 kg/s |
Disclaimer/Publisher’s Note: The statements, opinions and data contained in all publications are solely those of the individual author(s) and contributor(s) and not of MDPI and/or the editor(s). MDPI and/or the editor(s) disclaim responsibility for any injury to people or property resulting from any ideas, methods, instructions or products referred to in the content. |
© 2023 by the authors. Licensee MDPI, Basel, Switzerland. This article is an open access article distributed under the terms and conditions of the Creative Commons Attribution (CC BY) license (https://creativecommons.org/licenses/by/4.0/).
Share and Cite
Kose, Y.M.; Celik, M. Regenerative Cooling Comparison of LOX/LCH4 and LOX/LC3H8 Rocket Engines Using the One-Dimensional Regenerative Cooling Modelling Tool ODREC. Appl. Sci. 2024, 14, 71. https://doi.org/10.3390/app14010071
Kose YM, Celik M. Regenerative Cooling Comparison of LOX/LCH4 and LOX/LC3H8 Rocket Engines Using the One-Dimensional Regenerative Cooling Modelling Tool ODREC. Applied Sciences. 2024; 14(1):71. https://doi.org/10.3390/app14010071
Chicago/Turabian StyleKose, Yigithan Mehmet, and Murat Celik. 2024. "Regenerative Cooling Comparison of LOX/LCH4 and LOX/LC3H8 Rocket Engines Using the One-Dimensional Regenerative Cooling Modelling Tool ODREC" Applied Sciences 14, no. 1: 71. https://doi.org/10.3390/app14010071
APA StyleKose, Y. M., & Celik, M. (2024). Regenerative Cooling Comparison of LOX/LCH4 and LOX/LC3H8 Rocket Engines Using the One-Dimensional Regenerative Cooling Modelling Tool ODREC. Applied Sciences, 14(1), 71. https://doi.org/10.3390/app14010071

