Study on the Fracture Resistance of Mixed Fiber Concrete Lining in a Reverse Fault Tunnel
Abstract
:1. Introduction
2. Methodology and Theoretical Background
2.1. Damage Variable
2.2. Uniaxial Tensile and Compressive Curve
2.3. Concrete Damage Plasticity Model
3. Model Implementation
3.1. Statement of Geometry
3.2. Materials and Contact Properties
3.3. Boundary Conditions and Simulation Process
4. Validation
5. Calculation of the Reverse Fault Tunnel
6. Parametric Study
6.1. Influences of Polypropylene Fiber ()
6.2. Influences of L/D Ratio of Steel Fiber ()
6.3. Influences of Steel Fiber ()
6.4. Influences of Single Fiber
7. Discussion
7.1. Influences of Fibers Compound
7.2. Correlation Analysis
8. Conclusions
- (1)
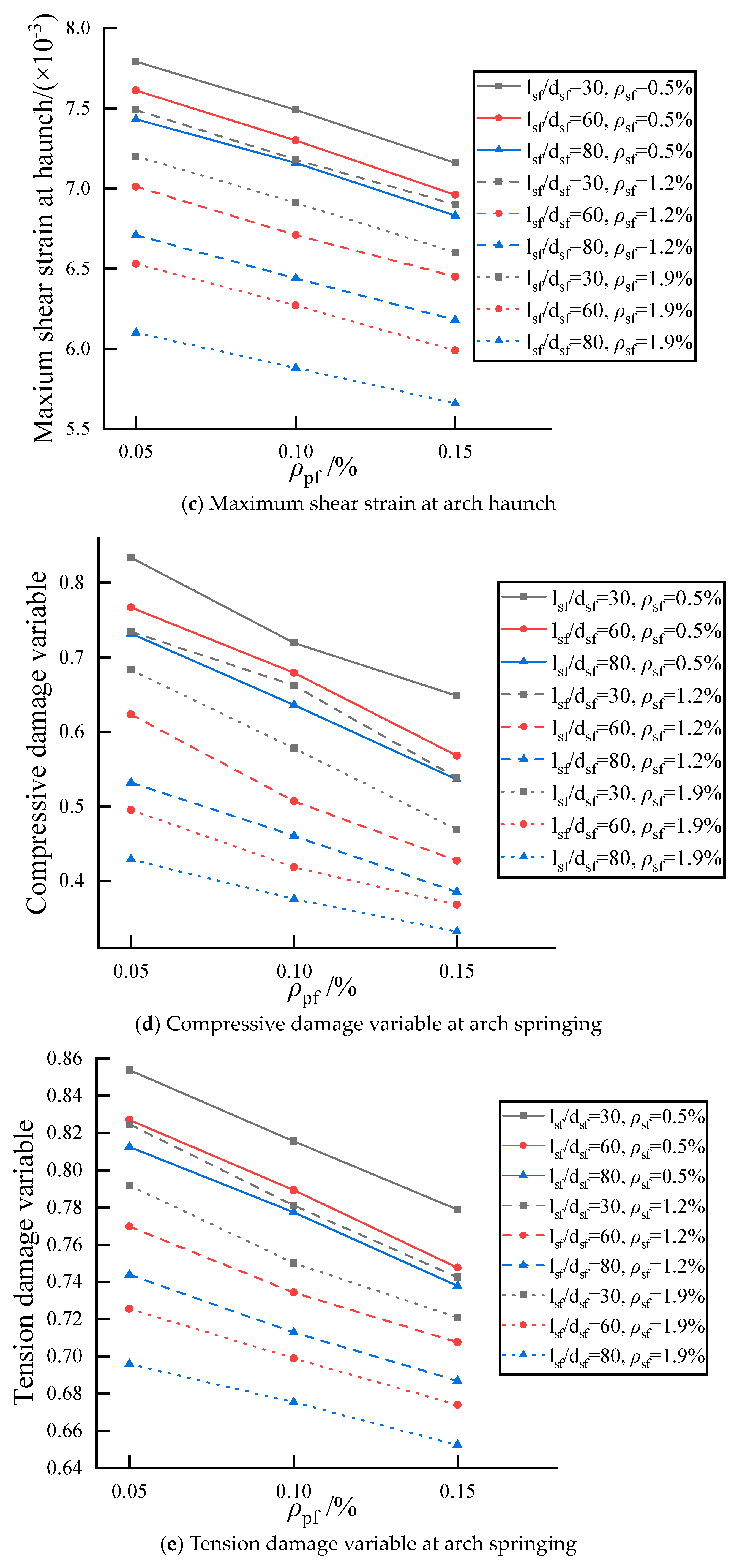
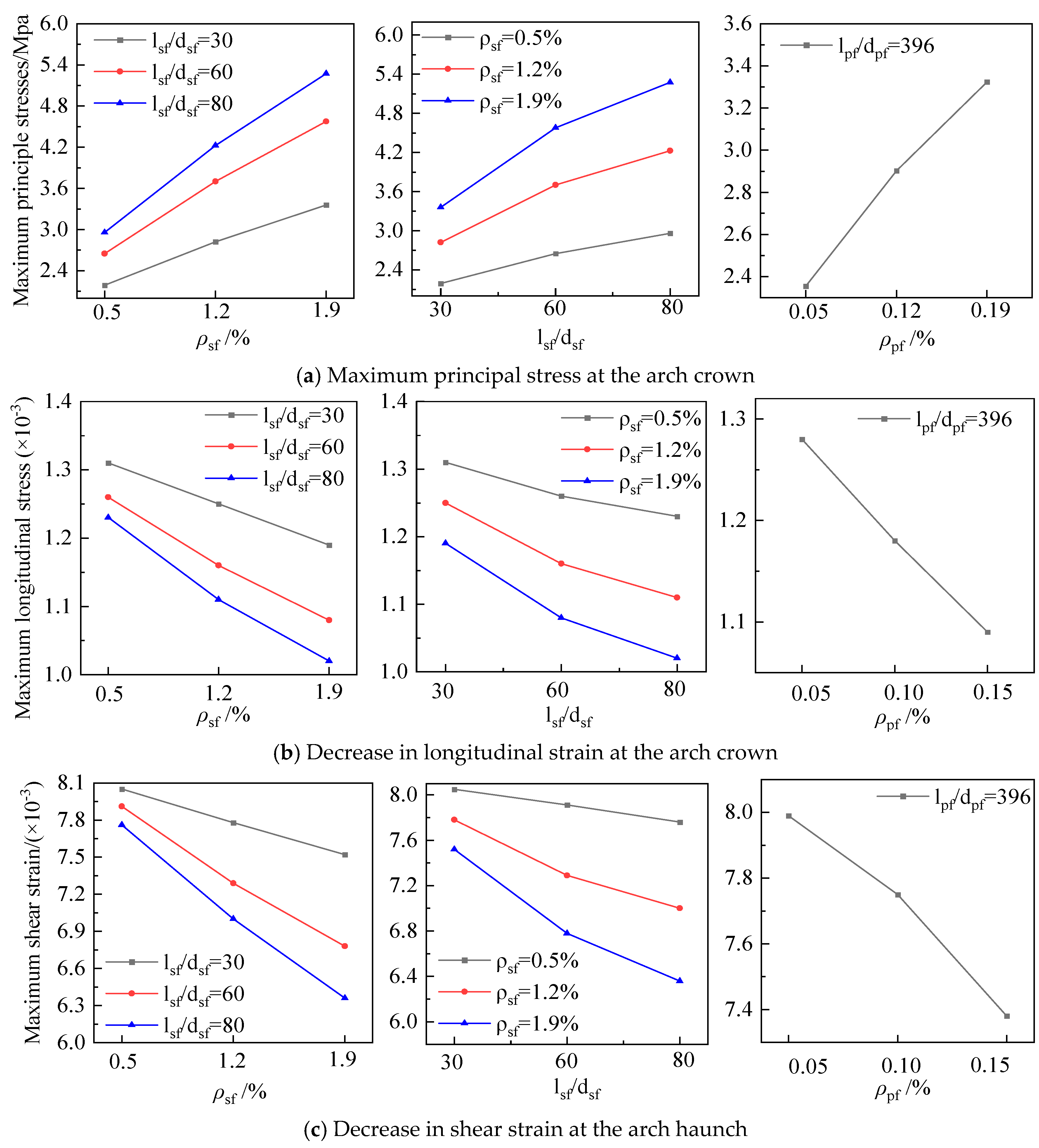
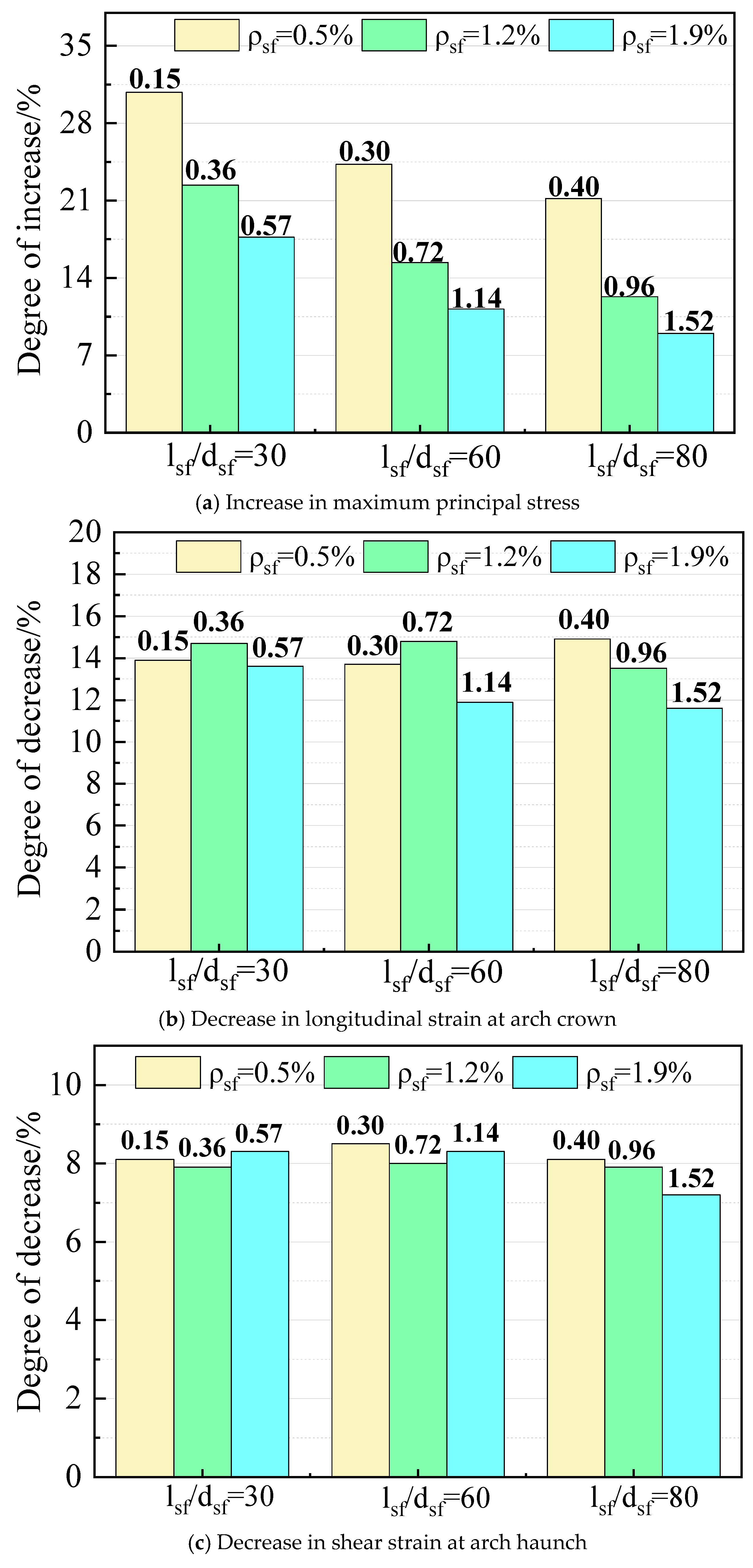
- The fluctuation range of the secondary lining caused by reverse fault misalignment is concentrated within 80 m near the fault zone, where the steel-polypropylene mixed fibers can be used to focus on the reinforcement. The misalignment causes tensile at the arch crown and invert arch, as well as significant shear at the arch sidewall. Fiber parameters do not affect the basic distribution law of the mechanical properties of the lining, but the corresponding index extremes are closely correlated with the three parameters of , and .
- (2)
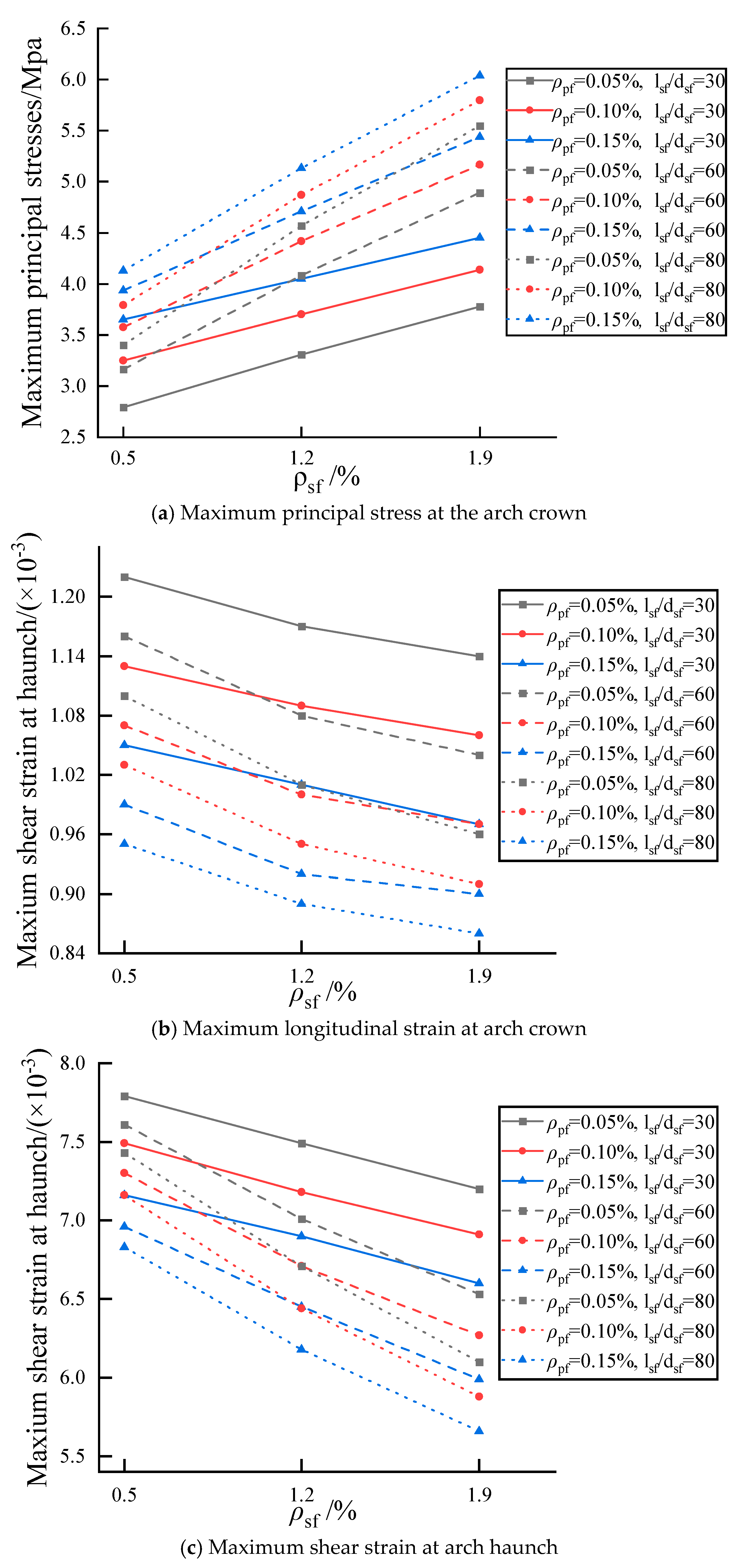
- With the increase in , the stress, strain, and damage indicators decrease, and the law is more significant when is small, where the characteristics of the steel fibers are relatively inconspicuous, and the polypropylene fibers play a major role, and assume stress-enhancing, deformation-inhibiting, and damage-weakening effect, and as increases, the effect produced by change is weakened, even may produce a negative effect. In addition, the effect of is relatively weak for shear and inhibit tensile damage, it is recommended that in a reasonable range, to take a small value, to take a relatively large value.
- (3)
- With the increase in or , stress indicator gradually increases, strain factors gradually decrease, and damage indicators also decrease, and there is an interaction between and , it is recommended takes 1.9% when takes 60, and takes 1.2%, when takes 80. For the serious tensile damage near fault zone, both and can be taken as larger values.
- (4)
- Fibers play an important role in anti-fault performance, and mixed fibers have with better effect than single fiber, and there existed a characteristic value for the two fibers in single doped, less than , the effect of single polypropylene fiber is better, more than , the other become better. It is not recommended to use single polypropylene fiber for its weak shear deformation and damage inhibition effects. The value of varies at different part, therefore, the ratio of each part can be designed according to actual engineering requirements.
Author Contributions
Funding
Institutional Review Board Statement
Informed Consent Statement
Data Availability Statement
Acknowledgments
Conflicts of Interest
Nomenclature
| Damage variable, tensile damage variable, compressive damage variable | strain and stress normalization parameters | ||
| area of material before damage | strain value corresponding to peak stress | ||
| area of material after damage | peak stress | ||
| actual effective stress considering material damage | parameter of ascending section and descending section | ||
| initial elastic modulus | concrete matrix axial compressive strength and corresponding strains | ||
| strain | cracking strain and compressive strain | ||
| equivalent plastic strain | Non-associated flow plastic potential | ||
| effective stress | dilation angle in p-q plane | ||
| strain energy of initial undamaged state | uniaxial tensile stress at failure | ||
| strain energy of Najar’s simplified linear calculation of the damage state | maximum principal effective stress | ||
| compressive modulus of elasticity of concrete | initial equibiaxial compressive yield stress and initial uniaxial compressive yield stress | ||
| peak stress of plain concrete and mixed fiber concrete | Bulk modulus | ||
| strain corresponding to the peak tensile stress of plain concrete and mixed fiber concrete | Density of material | ||
| product of the characteristic values of steel fiber and polypropylene fiber | Elastic modulus | ||
| L/D ratio of steel fiber and polypropylene fiber | Poisson’s ratio | ||
| Admixture of steel fiber and polypropylene fiber | Cohesion | ||
| internal friction angle |
References
- Balaguru, P.N.; Shah, S.P. Fiber-Reinforced Cement Composites; McGraw Hill: New York, NY, USA, 1992. [Google Scholar]
- Walton, P.; Majumdar, A.J. Cement-based composites with mixtures of different types of fibres. Composites 1975, 6, 209–216. [Google Scholar] [CrossRef]
- Rossi, P. High performance multimodal fiber reinforced cement composites (HPMFRCC): The LCPC experience. Mater. J. 1997, 94, 478–783. [Google Scholar]
- Rossi, P.; Acker, P.; Malier, Y. Effect of steel fibres at two different stages: The material and the structure. Mater. Struct. 1987, 20, 436–439. [Google Scholar] [CrossRef]
- Boulay, C.; Rossi, P.; Tailhan, J.L. Uniaxial tensile test on a new cement composite having a hardening behavior. In Proceedings of the Sixth International RILEM Symposium on Fibre-Reinforced Concretes (BEFIB 2004), Varenna, Italy, 20–22 September 2004. [Google Scholar]
- Markovic, I.; Walraven, J.; Mier, J. Development of High-Performance Hybrid Fibre Concrete. In Proceedings of the High Performance Fiber Reinforced Cement Composites HPFRCC-4: International RILEM Workshop, Ann Arbor, MI, USA, 16–18 June 2003. [Google Scholar]
- Markovic, I.; Walraven, J.; Van Mier, J. Experimental Evaluation of Fiber Pullout From Plain and Fibre Reinforced Concrete. In Proceedings of the High Performance Fiber Reinforced Cement Composites HPFRCC-4: International RILEM Workshop, Ann Arbor, MI, USA, 16–18 June 2003; p. 419. [Google Scholar]
- Wang, D.Y.; Qi, J.S.; Cui, G.Y.; Yang, Y.L.; Chang, J. Model Test on Bearing Characteristics of Basalt Fiber-Reinforced Concrete Lining. Adv. Mater. Sci. Eng. 2020, 2020, 3891343. [Google Scholar] [CrossRef]
- Liu, X.; Sun, Q.H.; Song, W.; Bao, Y.H. Structural behavior of reinforced concrete tunnel linings with synthetic fibers addition. Tunn. Undergr. Space Technol. 2023, 131, 104771. [Google Scholar] [CrossRef]
- An, S.; Tao, L.J.; Han, X.C.; Zhang, Y. Application of two-level design method on subway tunnel crossing active fault: A case study on Urumqi subway tunnel intersected by reverse fault dislocation. Bull. Eng. Geol. Environ. 2021, 80, 3871–3884. [Google Scholar] [CrossRef]
- Ren, L.X.; Wei, Z.F.; Liang, N.H.; Liu, X.R.; Deng, Z.Y. Mechanical behavior of multi-scale fiber-reinforced concrete for secondary tunnel lining: Field test and numerical simulation. Case Stud. Constr. Mater. 2022, 17, e01669. [Google Scholar] [CrossRef]
- Kachanov, L.M.; Krajcinovic, D. Introduction to continuum damage mechanics. J. Appl. Mech. 1986, 54, 481. [Google Scholar] [CrossRef]
- Kachanov, L. Rupture time under creep conditions. Izv. Akad. Nauk SSSR 1958, 8, 26–31. [Google Scholar]
- Yu, S.W.; Feng, X.Q. Damage Mechanics; Tsinghua University: Beijing, China, 1997. [Google Scholar]
- Comi, C.; Perego, U. Fracture energy based bi-dissipative damage model for concrete. Int. J. Solids Struct. 2001, 38, 6427–6454. [Google Scholar] [CrossRef]
- Rabotnov, Y.N. Paper 68: On the equation of state of creep. Proc. Inst. Mech. Eng. Conf. Proc. 1963, 178, 2-117–2-122. [Google Scholar] [CrossRef]
- Zhao, Y.; Guo, E.D.; Liu, Z.; Gao, L. Damage analysis of urban metro tunnel under strike-slip fault. Rock Soil Mech. 2014, 35, 467–473. (In Chinese) [Google Scholar] [CrossRef]
- Hao, Q.; Xianzhong, Z. Study on the ABAQUS Damage Parameter in the Concrete Damage Plasticity Model. Struct. Eng. 2013, 29, 27–32. (In Chinese) [Google Scholar] [CrossRef]
- Nan, T.; Sun, J.-J.; Ke, D.U. Comparative Study on Calculation Method of Damage Factor for Concrete Damage Plasticity Model. In Proceedings of the 26th National Conference on Structural Engineering, Changsha, China, 20–22 October 2017; pp. 494–499. [Google Scholar]
- Najar, J. Continuous damage of brittle solids. In Continuum Damage Mechanics Theory and Application; Springer: Vienna, Austria, 1987; pp. 233–294. [Google Scholar]
- Zhao, L.; Chen, Q. A new segmented linearized damage model for concrete members. J. Chongqing Jiaotong Univ. 1996, 15, 27–33. (In Chinese) [Google Scholar]
- Wang, Z.Q.; Yu, Z.W. Concrete Damage Model Based on Energy Loss. J. Build. Mater. 2004, 7, 365–369. [Google Scholar] [CrossRef]
- Mei, G.D. Study on Uniaxial Tensile Properties and Constitutive Relation of Steel-Polypropylene Hybrid Fiber Reinforced Concrete. Ph.D. Thesis, Wuhan University, Wuhan, China, 2014. [Google Scholar]
- GB 50010-2010; Code for Design of Concrete Structures. Standardization Administration of China: Beijing, China, 2014.
- Bai, X.W. Study and Application on the Damage Constitutive Law for Concrete. Master’s Thesis, Zhengzhou University, Zhengzhou, China, 2017. [Google Scholar]
- Wu, Y.H. Study on the Surrounding Rock Stability of Deep Buried Circular Tunnel near the Fault. Master’s Thesis, Hebei University of Engineering, Handan, China, 2020. [Google Scholar]
- Zhang, Y.T. Research on Structure Deformation Regularity and Safety Early Warning Method of Integrated Pipe Gallery in Active Environment of Xi’an Ground Fissure. Master’s Thesis, Xi’an University of Architecture and Technology, Xi’an, China, 2020. [Google Scholar]
- Zhang, Y.Y. Study on Uniaxial Compressive Constitutive Relationship and Uniaxial Tensile Behavior of Steel-Polypropylene Hybrid Fiber Reinforced Concrete. Ph.D. Thesis, Wuhan University, Wuhan, China, 2010. [Google Scholar]
- Yan, G.; Shen, Y.; Gao, B.; Zheng, Q.; Fan, K.; Huang, H. Damage evolution of tunnel lining with steel reinforced rubber joints under normal faulting: An experimental and numerical investigation. Tunn. Undergr. Space Technol. 2020, 97, 103223. [Google Scholar] [CrossRef]
- Tao, L.J.; Zhang, N.J.; An, S. Study on Influence Factor Law and Damage Analysis of Circular Tunnel Structure under the Effect of Normal Fault Dislocation. Railw. Stand. Des. 2022, 66, 127–134. [Google Scholar] [CrossRef]
- Song, J.N. Numerical Study of Shallow Buried Porous Tunnel by Infinite-Finite Element Method. Master’s Thesis, Shijiazhuang Tiedao University, Shijiazhuang, China, 2020. [Google Scholar]
- Qiu, Z.W.; Yu, Y.; Du, Y.; Zhou, Z.H. Numerical analysis of effect of reverse fault dislocation on tunnel engineering. Acta Seismol. Sin. 2021, 43, 237–244+136. (In Chinese) [Google Scholar]
- Yao, L. Ground Motion Truncation and Anti-Dislocation Method of Cross-fault Tunnel. Master’s Thesis, Harbin Institute of Technology, Harbin, China, 2021. [Google Scholar]
- Yang, M.; Huang, C.K. Study on stress-str ain curve of high str ength steel fiber reinforced concrete under uniaxial tension. China Civ. Eng. J. 2006, 39, 55–61. (In Chinese) [Google Scholar]
- Ni, L. Research on Uniaxial Compression Performance and Constitutiverelationship of Steel Fiber Reinforced Concrete. Master’s Thesis, Hubei University of Technology, Wuhan, China, 2020. [Google Scholar]


























| Materials | (kg/m3) | (GPa) | (MPa) | (°) | |
|---|---|---|---|---|---|
| Rock (in class IV) | 2200 | 7 | 0.3 | 0.5 | 35 |
| Fault fracture zone | 2000 | 5 | 0.3 | 0.25 | 25 |
| Initial lining (in C25) | 2400 | 27.5 | 0.2 | 12.5 | 51 |
| Secondary lining (in C30) | 2500 | 29 | 0.25 | / | / |
| Steel | Admixture () | 0.5% | 1.2% | 1.9% |
| L/D ratio () | 30 | 60 | 80 | |
| Polypropylene | Admixture () | 0.05% | 0.1% | 0.15% |
| L/D ratio () | 396 | |||
Disclaimer/Publisher’s Note: The statements, opinions and data contained in all publications are solely those of the individual author(s) and contributor(s) and not of MDPI and/or the editor(s). MDPI and/or the editor(s) disclaim responsibility for any injury to people or property resulting from any ideas, methods, instructions or products referred to in the content. |
© 2023 by the authors. Licensee MDPI, Basel, Switzerland. This article is an open access article distributed under the terms and conditions of the Creative Commons Attribution (CC BY) license (https://creativecommons.org/licenses/by/4.0/).
Share and Cite
Wang, Y.; Huang, C.; Wang, Z.; Wang, R.; Yu, S.; Ma, Y. Study on the Fracture Resistance of Mixed Fiber Concrete Lining in a Reverse Fault Tunnel. Appl. Sci. 2024, 14, 55. https://doi.org/10.3390/app14010055
Wang Y, Huang C, Wang Z, Wang R, Yu S, Ma Y. Study on the Fracture Resistance of Mixed Fiber Concrete Lining in a Reverse Fault Tunnel. Applied Sciences. 2024; 14(1):55. https://doi.org/10.3390/app14010055
Chicago/Turabian StyleWang, You, Can Huang, Ziwei Wang, Rui Wang, Siyuan Yu, and Yue Ma. 2024. "Study on the Fracture Resistance of Mixed Fiber Concrete Lining in a Reverse Fault Tunnel" Applied Sciences 14, no. 1: 55. https://doi.org/10.3390/app14010055
APA StyleWang, Y., Huang, C., Wang, Z., Wang, R., Yu, S., & Ma, Y. (2024). Study on the Fracture Resistance of Mixed Fiber Concrete Lining in a Reverse Fault Tunnel. Applied Sciences, 14(1), 55. https://doi.org/10.3390/app14010055

