Abstract
Near-field earthquakes have been shown to have different effects on structures than far-field events. This study examines the dynamic response of a rectangular concrete liquid storage tank with tapered walls to near-field ground motions, with particular emphasis on the effect of higher sloshing modes. The tank’s numerical modeling, calibrated using experimental results, was performed considering the tank’s wall flexibility. Seven selected near-field records were applied in each case, and the effects of the first five sloshing modes on the tank response at three different locations, including the corner, middle of the long wall, and middle of the short wall, were investigated. The effect of the earthquake incident angle on the tank’s response was also studied by applying major and minor horizontal earthquake components once along the longer and shorter tank walls, respectively, and vice versa. Results show that the tank corner may have a sloshing height up to 50% greater than the middle of the walls and that the maximum sloshing response is substantially influenced by the spectral acceleration value at the first sloshing period. Higher sloshing modes are found to affect the sloshing response, with a maximum R2 score of 0.95, depending on the excitation’s incidence angle.
1. Introduction
Liquid-containing tanks are used to store a variety of materials, including water and chemical fluids. As a result, they form an integral part of the infrastructure of our modern society and industries. Water storage tank damage can result in several consequences, including water shortages and economic losses. Liquid storage tanks have experienced severe damage in past earthquakes such as Northridge, Hokkaido, Kobe, Kocaeli, and Chi-Chi, illustrating their vulnerability to seismic activity [1,2,3,4,5].
Under seismic excitations, liquid storage tanks exhibit a complex behavior primarily rooted in the interaction between fluid and structure. The fluid–structure interaction is found to influence not only the sloshing response of liquid storage tanks but also the impulsive pressure, amplified by the tank wall’s elasticity [6]. Additionally, the structural flexibility of tanks’ walls, while increasing this complexity, has been demonstrated to significantly affect the seismic response of these tanks, particularly base shear and dynamic pressure [7,8,9,10]. In one study, which was conducted by Kolbadi et al. [10], it was demonstrated that the flexibility of tank walls increases the base shear and base torque by approximately 100% compared to rigid tanks, demonstrating the importance of considering the flexibility of tank walls as part of numerical models. Mitra and Sinhamahapatra studied the effect of considering the fluid–structure interaction on the sloshing response considering the coupled fluid and structural dynamics [11]. The sloshing motions have been found to be amplified by increasing tank wall flexibility in this paper.
To address the complexity of modeling the fluid–structure interaction, several analytical and numerical models have been proposed in the literature. Tsao and Huang studied the sloshing response of rectangular liquid storage tanks occupied by porous media [12]. They conducted analytical, numerical, and experimental studies to characterize the fluid–structure interaction using a reduced mechanical sloshing model. The analytical solution used in this paper is based on the linear wave assumption and Darcy’s law in order to model the sloshing motion. The regularized boundary integral method (RBIM) is also applied in this paper for modeling the sloshing behavior numerically. Compared with the experimental results, the analytical method has been determined to be valuable in the linear flow regime, whereas the numerical model has demonstrated success in the nonlinear flow regime.
In general, earthquake activity causes the most severe damage to civil engineering structures in areas closest to faults, often referred to as “near-field/source” regions. As a result of the high input energy and velocity pulses induced by near-field earthquakes in these regions, seismic demands of such structures are shown to substantially increase [13,14,15,16,17,18,19]. Near-fault ground motions can exhibit velocity pulses that can be more damaging than far-fault motions. Chen et al. performed several studies on the characteristics and effects of pulse-like ground motions on the seismic behavior of various structures [20,21,22,23]. In one study, the authors examined the seismic behavior of a burial tunnel in soft soil under ordinary and pulse-like ground motions [22]. The researchers found that the tunnel’s seismic demands significantly increased under pulse-like ground motions. Moreover, multi-pulse ground motions were investigated in another study in order to determine the effects of such motions on the seismic response of frame structures, soil slopes, and concrete dams [23]. In that study, the researchers used 21 different records of the Chi-Chi earthquake, including 7 non-pulse, 7 single-pulse, and 7 multi-pulse horizontal and vertical ground motions. Multi-pulse ground motions were found to cause more severe damage to the studied structures than non- and single-pulse motions.
It has also been demonstrated that the seismic response of liquid storage tanks under such ground motions increases when they are exposed to near-source earthquakes [24,25,26,27]. Experimental studies conducted by Zhou et al. showed that cylindrical liquid storage tanks exhibit higher sloshing responses when subjected to long-period and near-field ground motions [26]. Luo et al. studied the influence of the pulse-like ground motion on the sloshing response of cylindrical LNG tanks [27]. They found that pulse-like ground motions cause a significant increase in this response. Another study, conducted by Pirsoltan et al., numerically studied nine two-dimensional liquid storage tanks with different dimensions under 10 near-fault earthquakes and 10 far-fault earthquakes [19]. It was demonstrated that the maximum sloshing response of the tanks significantly increases under near-fault earthquakes.
The strength and characteristics of ground motions generated by earthquakes are qualified using parameters called intensity measures (IMs). Using these measures, it is possible to assess the potential impact of earthquakes on different structures. These IMs can be classified into three main categories: duration-based IMs (like significant durations—Ds5-75 and Ds5-95), amplitude-based IMs (like PGA and PGV), and frequency-based IMs (like mean period Tm). Engineering demand parameters are relatively weakly correlated with duration- and amplitude-based IMs, particularly when there are different fundamental structural periods involved in the system [28].
The effect of these IMs on the seismic response of liquid storage tanks has also been studied in the literature. Peak ground acceleration (PGA), as an intensity-based IM, and the first mode’s spectral acceleration Sa(T1), as a frequency-based IM, are widely used to assess the response of building frames. It is not guaranteed, however, that these scalar variables can predict the intensity of different seismic responses of liquid storage tanks. In one study, it was found that an increase in PGA (in specific ranges) increases the conditional probability of failure of an elevated liquid storage tank [29]. The maximum sloshing response of liquid storage tanks was reported to increase with an increase in PGA [26,30,31,32,33]. A study has also shown that increasing the excitation amplitude can affect the resonance frequency of the sloshing response [34]. In another study, on the other hand, PGA was reported to be less effective than the other scalar IM in capturing the seismic response of a squat cylindrical liquid storage tank [35].
Fluid-filled tanks can be dynamically analyzed using generalized single-degree-of-freedom (SDOF) systems, representing the impulsive and convective vibration modes of the tank–liquid system. Using this method to analyze the seismic behavior of liquid storage tanks, one study showed that only the first sloshing frequency (Tc1) is important [36]. Another study, however, showed that, unlike the sloshing response of liquid storage tanks under far-fault earthquakes, the second convective mode’s response is significantly larger than that of the first one (Tc1) for near-fault earthquakes and cylindrical liquid storage tanks [25]. It was also shown in another study that the first three odd sloshing frequencies of rectangular LNG tanks tend to excite the most obvious sloshing under surge or sway excitations [37].
As mentioned above, the characteristics of external loads applied to liquid storage tanks and their effects on the tanks’ responses have been studied in the literature. The proximity of the predominant earthquake period to the fundamental sloshing period of liquid storage tanks was reported to increase their maximum sloshing response [26,31]. Lijian Zhou et al. studied this relationship in a cylindrical tank under 38 unidirectional earthquake excitations [26]. This relationship was also studied by Ersan Güray et al. for a two-dimensional rectangular tank using the smoothed-particle hydrodynamics (SPH) method [31]. It is worth noting that regarding rectangular liquid storage tanks under three-dimensional earthquake excitations, the corner of the tanks was found to be the critical location for sloshing [38].
Furthermore, it was found that increasing the pulse period can increase the maximum sloshing height of cylindrical liquid storage tanks [26]. Zhou and their colleagues studied a cylindrical liquid storage tank with a natural convective period of 5.42 s under 38 near-fault pulse-like earthquakes with pulse periods ranging from 1.5 to 8 s [26]. Dynamic responses of liquid storage tanks have also been shown to be highly sensitive to the characteristics of the applied loads. It has been shown that the pulse characteristics of ground motion increase dynamic pressures on the tanks’ walls as well as dynamic loads [27,39]. Ren et al. studied the sloshing response of rectangular liquid storage tanks under earthquakes with different frequency contents [40]. Accordingly, they modeled six two-dimensional liquid storage tanks, including squat, square, and slender tanks, with different water height to tank length ratios. According to their findings, the maximum sloshing response is highly sensitive to earthquake records with high-frequency contents.
Veletsos et al. demonstrated the importance of considering higher sloshing modes when calculating the maximum linear sloshing [41]. The higher sloshing modes have, therefore, been considered in more recent studies of the seismic behavior of liquid storage tanks. For example, Merino et al. considered the first three convective modes to calculate the maximum sloshing wave height [42]. It is worth mentioning that most design codes, except NZSEE [43], ignore the effect of higher convective modes on the maximum sloshing response.
In the case of rectangular liquid storage tanks under multi-directional earthquake ground motions, little research has been conducted on the effects of seismic wave incidences on the seismic response of liquid storage tanks [44]. Isaacson et al. studied the effect of incident angle on the maximum force on a rigid rectangular tank under unidirectional harmonic and seismic loads [45]. Under both types of loads, the direction of motion parallel to the tank walls induced the maximum load in the tank.
The effects of incident angle have been shown to affect both convective and impulsive responses. Lee and his colleague studied the effects of incident angle on the behavior of a rectangular liquid storage tank with a planar aspect ratio of 3 under a far-fault three-directional ground motion by rotating the horizontal earthquake components from 0 to 170 degrees with 10-degree increments [46]. They found that the impulsive and convective responses of the tank are greatly affected by changing the incident angle. The effects of incident angle on the convective and impulsive responses of a concrete liquid storage tank were studied by [47]. In the presence of seven different incident angles, both the convective and impulsive responses of the liquid storage tank were found to be sensitive to angle variations. It has been demonstrated by [47] that the angle of incidence of input ground motions greatly affects the seismic response of rectangular liquid storage tanks. According to that study of rectangular liquid storage tanks with three different planar aspect ratios, structural displacement is related to the sloshing response, such that the sloshing height increases when the structural displacement decreases with a change in the angle of incidence.
Various methods have been employed in the literature to study the impact of the parameters mentioned above on liquid storage tanks’ dynamic behavior. Among these methods, numerical methods are widely used to study this behavior. As a part of the research conducted by Daalen, the Lagrangian principle and the Hamiltonian formulation for water waves were extended to three-dimensional problems of nonlinear water waves in hydrodynamic interaction with floating bodies [48]. It was shown that the extended formulations can clearly describe wave–body dynamics, including momentum and energy transfer. Chen et al. proposed a method for numerically modeling 2D and 3D nonlinear sloshing responses using a new boundary integral method (BIM) [49]. Using an artificial linear damping coefficient proportional to the fluid particle velocity, they simulated liquid motion energy dissipation. They conducted several small-scaled shaking table tests to show the efficiency and reliability of the new BIM model. Wu et al. extended a two-dimensional numerical scheme to a three-dimensional model to simulate the free-surface waves in liquid storage tanks with different shapes. The extended scheme enabled the precise prediction of the trajectory of each free-surface node based on the accurate estimation of the partial derivatives of the velocity potentials, shown by comparing with experimental results [50].
The FE method developed by Tezduyar et al. was shown to be highly effective in modeling the fluid–structure interaction and tracking free-surface fluid [51]. This method updates the mesh every time step to handle fluid changes in the spatial domain. The Lagrangian–Lagrangian method is another numerical method that enables the precise modeling of water-tank systems and the tracking of free-surface water nodes’ movement over time. Poorakarparast et al. used this method to study the seismic behavior of a liquid storage tank considering the fluid–soil–structure interaction [52]. They validated their model by comparing the first frequency of their numerical model with the one calculated using ACI regulation.
In this study, the sloshing response of a real-scale rectangular liquid storage tank under seven three-dimensional near-field earthquakes was numerically studied. In order to numerically model the liquid storage tank, the Lagrangian–Lagrangian method was applied. This method was validated using the experimental results provided by [53]. In the subsequent step, a real-scale rectangular liquid storage tank was modeled using the same numerical method, and its dynamic properties, including the first five sloshing periods of vibration, were calculated. The tank was then subjected to seven near-field earthquakes under two different conditions. In the first condition, the major and minor horizontal earthquake components were applied perpendicularly to the shorter and longer tank walls, respectively. These two components were then rotated 90 degrees around the vertical earthquake component and applied to the tank. The sloshing response of the tank to the seven earthquakes was recorded at its corners, in the middle of the shorter tank wall, and in the middle of the longer tank wall at the water’s surface. Finally, the relationship between the maximum sloshing response and the frequency content of the earthquakes was studied.
2. Numerical Model and Verification
This study uses the Lagrangian–Lagrangian approach to model the dynamic behavior of liquid storage tanks, which is based on the total energy and stain energy of liquids. It has been demonstrated that this method is capable of modeling fluid behavior in rigid tank systems [52,54,55]. This method is applied in this study by taking into account the flexibility of the tank’s wall. The fluid potential energy (), in this approach, is equal to the sum of strain energy and increasing potential energy (), as shown in Equation (1).
where and are the strain and potential energies, respectively.
The strain energy equation is defined as follows:
In Equation (2), is the velocity vector, ρ is the mass density of the fluid, and T is the strain energy. The Lagrange equation can be therefore written as follows:
where and are the displacement and force vectors of the jth component.
If S is the rigidity matrix for the surface elements, and K and M are the stiffness and mass matrixes of the fluid elements, Equations (1) and (2) can be rewritten as Equations (4) and (5):
The rigidity matrix (S), stiffness matrix (K), and mass matrix (M) are given below:
where and are the interpolation functions for three-dimensional elements and two-dimensional surface elements, respectively. In fluid meshes, the interpolation matrix maps degrees of freedom to degrees of freedom in structural meshes. In FSI simulations, information is transferred between fluid and structural domains by the interpolation matrix.
If Equations (4) and (5) are substituted in the Lagrangian equation (Equation (3)), the governing equation of motion can be written as follows (Equation (9)):
where a is the acceleration vector of the nodes at the structural domain’s boundary elements, and R is the load vector, which generally varies in each time interval.
To calculate the pressure and displacement of the system and their derivatives, the time-stepping Newmark method is employed, as shown in Equations (10) and (11).
In Equations (10) and (11), β and γ are the Newmark parameters allowing engineers to control the trade-off between numerical stability and accuracy. The Newmark formulation is implemented in the ANSYS Mechanical Release 13.0. The typical value for γ is 0.5, and for β it is between 0.17 and 0.25 [56].
2.1. Model Specifications: Fluid–Structure Interaction and Boundary Conditions
We used FEM to approximate fluid–structure interactions using displacement-based fluid approximations. Accordingly, the ANSYS software was used to simulate the water tank system. An analysis of the interaction between the fluid structure and internal fluid flow in a flexible tank domain was carried out in this study. The fluid–structure interaction was investigated regarding a rectangular concrete above-ground liquid storage tank with a fixed base.
Figure 1 shows a cube element, which is used to discretize both the fluid and tank domains. In order to incorporate the effects of wall flexibility in the tank response, the tank was meshed using three-degree-of-freedom eight-node SOLID65 elements, which have successfully been used to simulate concrete’s nonlinear behavior [57,58].
Figure 1.
The element used to discretize the water and the tank domains (1 to 6 represent the element’s surface numbers).
The liquid is represented by 8-node fluid elements, known as FLUID80 in ANSYS [59]. This element type uses a displacement-based formulation, in which the fluid is characterized by its bulk modulus (K). Studies have demonstrated that this element can be used to simulate fluid–structure interactions, fluid sloshing, and hydrostatic pressure [60]. In addition, unique surface effects were incorporated into the fluid element, represented by gravity springs. To accomplish this, springs were added to each node and positioned at the top of the element with positive constants. The springs have positive stiffness at the top nodes, while the bottom nodes have negative stiffness. Thus, they balance one another’s positive and negative impact on an intermediate node.
Fluid elements were attached to the tank elements by coupling them in the normal direction, normal to the interface, which permits them to move vertically and tangentially. The dynamic behavior of the tank was evaluated using the direct integration method. In order to solve equations, the Newmark time integration technique was implemented using ANSYS software [59].
In order to prevent settling, the spring closes off the nodes of the water and the wall of the container at the base of the water, assuming that the bottom of the container is rigid. This spring should be neutralized by setting the liquid’s free surface to the coordinate z = 0 in this case, ensuring that only positive springs are used on the free surface of the water.
Compared with experimental results, this modeling approach has been proven to be capable of accurately modeling the sloshing response [61]. Studies such as [62,63] also employed this approach in order to examine the sloshing and other seismic responses of liquid storage tanks.
2.2. Model Verification
The validity of the finite element method was demonstrated by comparing the numerical results with both analytical and experimental results available in the literature. First, a modal analysis was performed on a FE model of a liquid container that has been experimentally studied in the literature. The first three convective frequencies of the filled water were compared with an analytical solution proposed by [64].
where and are the tank’s length and the height of the water, respectively.
A liquid container modeled to verify the numerical method had a length, width, and height of 1, 0.4, and 0.96 m, respectively. The water depth inside the tank (HL) was 0.624 m. This tank was numerically and experimentally studied by [53]. Figure 2 shows the schematic of the tank.
Figure 2.
Schematic view of the verification tank model [53].
This water–tank system was numerically modeled and meshed using Fluid80 elements with different dimensional properties to determine the optimal size for the elements. A modal analysis was conducted for each element size, and the first five frequencies of the water were compared with those of the analytical solution (Equation (12)). The frequency responses obtained from the FE analysis of the tank, discretized with various element sizes, were compared with those obtained from the analytical solution, and are shown in Table 1.
Table 1.
Frequency comparison (Hz).
According to Table 1, the element size for M4 is fine enough to calculate the first five frequencies of the water with 0, 1, 2, 2, and 3.5 percent compared to the analytical solution. Furthermore, the larger element sizes, i.e., larger than M1, have not been able to calculate higher sloshing modes.
This work then compared the time-history sloshing response of the same tank with the experimental results published by [53]. The tank was subjected to a harmonic load, as shown in Equation (13).
where D and ω are the displacement and frequency, set to 5 mm and 1.12 times the water’s first natural frequency (0.87 Hz), respectively. Figure 3 shows the time history of the sloshing response of the tank at the left wall of the tank.
Figure 3.
Comparison between the sloshing response of the numerical model and the experimental results published by [53].
The comparison between the numerical and the experimental results, as shown in Figure 3, demonstrates that the numerical model can accurately capture the time-history sloshing response. The difference between the maximum sloshing response of the numerical model, which is equal to 60.3 mm, with that of the experimental model, 62.3 mm, is 3.2 percent. It is important to acknowledge that while the maximum sloshing response is accurately captured using this numerical method, increasing the nonlinearity of this response increased the difference between the time-history sloshing response of these two models.
2.3. Geometrical Data and Finite Element Modeling (the Case Study Tank)
A rectangular concrete liquid storage tank was modeled with the finite element method and subjected to several near-fault pulse-like and non-pulse-like ground motions to investigate the effects of ground motion characteristics on the dynamic response of rectangular liquid storage tanks. The tank was modeled with all walls being flexible in order to take into account the effects of wall flexibility on the seismic behavior of the tank.
The maximum pressure in rectangular concrete water storage tanks occurs at the bottom of the tank wall, where the hydrostatic pressure, a function of the liquid’s density and the liquid’s height, is the highest [65]. Therefore, the tank walls were modeled as tapered, such that the thickness of the walls varied linearly from 0.4 m at the base to 0.2 m at the top of the tank wall. Some liquid storage tanks were constructed with tapered walls, and some numerical models of liquid storage tanks studied in the literature were modeled with tapered walls like the rectangular liquid storage tank studied by [52]. Figure 4 shows the geometrical parameters of the water–tank system.
Figure 4.
Geometrical parameters of the water–tank system.
Table 2.
The dimensional properties of the tank and the water.
Table 3.
The material properties of the tank and the water.
3. Record Selection
Seven near-fault records from the Pacific Earthquake Engineering Research Center–Next Generation Attenuation (PEER–NGA) [66] were selected in this study. It has been shown in the literature that the vertical earthquake component significantly affects the seismic response of liquid storage tanks, particularly the impulsive response [8,67,68]. Therefore, all three earthquake components were considered in the analysis of the three-dimensional liquid storage tank. According to [69], the site-to-source distance boundary between near-fault and far-fault earthquakes is 10 km. Therefore, the distance between the recording site and the rupture plane of all selected earthquakes was less than 10 km. All records used in this study had a moment magnitude greater than 6.5 (). ASCE7 classifies records as near-fault if the moment magnitude is greater than 6 and the site-to-source distance is less than 10 km [70]. According to [71], the average PGV of near-fault earthquakes is considerably higher than that of far-fault earthquakes. As a result, the records were selected so that they had a PGV greater than 30 cm/s. Table 4 summarizes these earthquakes.
Table 4.
The major horizontal components of the selected near-fault ground motions and their properties.
Among the earthquakes shown in Table 4. 5 are pulse-like earthquakes (#3, #4, #5, #6, and #7), and the remaining are non-pulse earthquakes (#1 and #2). The pulse period of the pulse-like earthquakes ranges from 3.53 to 6.27. According to [72], when the pulse period approaches the fundamental sloshing period (), the sloshing response considerably increases. In selecting the records for this study, the effect of approaching the pulse period to the fundamental sloshing period on the sloshing response of the tank along its length and width was considered.
The spectral accelerations of the selected records at the tank’s first five sloshing modes, along the tank’s length and width, differed from one another.
The major horizontal component of the selected earthquakes, shown in Table 4, was scaled to 0.4 g. Using the same scaling factor used to scale the major horizontal component of the earthquake, the second (minor) horizontal component and the vertical component were also scaled. Table 5 shows the PGA and PGV of the horizontal and vertical components of the selected earthquakes after being scaled.
Table 5.
PGA and PGV of the horizontal and vertical components of the selected earthquakes after being scaled.
The tank was subjected to the earthquakes in such a way that the main horizontal component of the ground motions, the one scaled to 0.4 g, acted once parallel to the longer wall and once parallel to the shorter wall. The minor horizontal component acted perpendicular to the major component in both loading conditions. The vertical earthquake component was also considered in the analysis of the tank.
4. Results and Discussion
4.1. Dynamic Properties of the Tank
In the literature, several dynamic models have been proposed to simulate the dynamic behavior of liquid storage tanks. Procedures suggested by guidelines, such as [43,73,74,75], utilize the spring-mass model, which assumes two different vibration modes (impulsive and convective), as proposed by [76]. The procedure suggested by [73] was used to calculate the first natural period of vibration of the convective mass (sloshing period). The natural sloshing periods of vibration for the longer and shorter tank walls were 6.17 s and 4.99 s, respectively. The natural impulsive periods along the shorter and longer walls were equal to 0.4 s. Moreover, the first five sloshing periods of the tank along the longer and shorter walls were calculated according to Equation (12), and are shown in Table 6.
Table 6.
The first five sloshing periods (in seconds) of the tank.
Figure 5 shows the results of the modal analysis of the FE model of the water for the first three convective modes along the longer tank walls. A mesh sensitivity analysis for this tank was performed by [77]. The size of elements used to discretize the water and tank domains was chosen according to that study.
Figure 5.
Modal analysis of the tank along the longer wall for the first three convective modes.
The free vibration analysis was carried out using the finite element package ANSYS to calculate the natural frequencies and mode shapes of tanks using the reduced method, which determines all frequencies and mode shapes within a limited range of frequencies. In this method, the eigenvalues and eigenvectors are derived using the HBI algorithm (Householder-bisection-inverse iteration) for the calculation of the mass and stiffness matrices for the system. The method uses a reduced number of degrees of freedom, called the master degree of freedom. The system analysis was performed with a frequency range of 0–100 Hz. The lower frequencies in the Z direction provide the sloshing modes, and the higher frequencies in the X and Y directions provide the modes of the tank walls.
4.2. Spectral Accelerations and Sloshing Periods
Figure 6 shows the response acceleration spectra for 0.5 percent damping and 7 s of the selected earthquakes alongside the first five sloshing periods of the tank calculated along both the longer and shorter tank walls. It should be noted that the damping of the sloshing water was suggested by [73] to be somewhere between 0.5 and 1%.
Figure 6.
The spectral acceleration response curves of the selected earthquakes at the first five sloshing periods of the tank along the longer and shorter tank walls, respectively.
Table 7 and Table 8 show the spectral acceleration responses of the selected earthquakes at the first five sloshing periods along the longer and shorter walls.
Table 7.
Spectral accelerations at the tank’s sloshing periods of vibration along the longer wall (g).
Table 8.
Spectral accelerations at the tank’s sloshing periods of vibration along the shorter wall (g).
The spectral accelerations, shown in Table 7 and Table 8, are normalized with respect to the maximum spectral acceleration of the ith mode in each of the longitudinal and transverse directions of the tank. The normalized spectral accelerations, shown in Table 7 and Table 8, are shown in Table 9 and Table 10.
Table 9.
Normalized spectral accelerations at the tank’s sloshing periods of vibration along the longer wall (g).
Table 10.
Normalized spectral accelerations at the tank’s sloshing periods of vibration along the shorter wall (g).
4.3. Sloshing Response vs. Spectral Response
As mentioned above, the tank was subjected to seven near-fault earthquakes under two different conditions. The major horizontal earthquake component acted parallel to the longer wall under the first condition (S1), and the other two components acted in relation to the major component. The ratio of the length for which the major earthquake component and the minor component acted is the ratio of the tank’s longer wall to the shorter wall, Rdir_S1, which was equal to 1.29. Under the second condition (S2), the major earthquake component acted parallel to the shorter walls, and the second (minor) horizontal component acted parallel to the longer walls. In this condition, Rdir_S2 was equal to 0.78. Figure 7 shows how these earthquake components acted on the tank in each condition.
Figure 7.
The two conditions for applying the seismic loads to the tank.
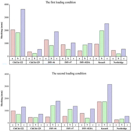
In both conditions, the sloshing response was measured in the middle of the tank’s shorter and longer walls and the corner, as depicted by points a, b, and c in Figure 7. Table 11 demonstrates the maximum sloshing response of the tank under the considered ground motions in the middle of the shorter wall (a) (under the first loading condition—S1) and the longer wall (b) (under the second loading condition—S2).
Table 11.
Maximum sloshing response.
The difference between this response at different locations under both loading conditions is shown in Figure 8.
Figure 8.
Sloshing response at “a”,” b”, and “c” under the first and the second loading conditions.
Under the considered records, the maximum sloshing response of the tank perpendicular to the major earthquake component was normalized and sorted according to the maximum response for each loading condition. Similarly, this normalization was performed on the value of the spectral accelerations at the first five sloshing periods of vibration (Table 8 and Table 9). Table 12 shows the sorted normalized sloshing responses for the shorter and longer walls under the first and second loading conditions.
Table 12.
Sorted normalized sloshing responses of the tank under the considered earthquakes for both loading conditions.
4.4. Effects of the Higher Sloshing Modes on the Sloshing Response
As explained above, the tank was subjected to horizontal and vertical earthquake components under two different loading conditions. First, the major and minor earthquakes’ horizontal components acted along the longer and shorter tank walls, respectively (S1). Under the second condition (S2), these two earthquake components rotated 90 degrees around the vertical earthquake component so that the major and minor earthquake components acted along the shorter and longer tank walls, respectively. Major earthquake components were scaled to 0.4 g, and minor earthquake components, as well as vertical earthquake components, were scaled according to the scale factor calculated for the major components. Thus, while the PGAs of all major components were equal to 0.4 g, those of the minor components were not equal. Under each loading condition, the relationship between spectral accelerations at the first five sloshing periods of vibration of the major and minor earthquake horizontal components and the maximum sloshing responses measured perpendicular to the direction of the considered earthquake component (points a and b—Figure 7) was individually studied. Finally, the relationship between these accelerations and the maximum sloshing response at the corner of the tank (point c), the critical sloshing location for rectangular liquid storage tanks [38,78], was studied.
A linear regression line was drawn for each graph representing the relationships mentioned above. Additionally, the score, i.e., the coefficient of determination, was used to evaluate the impact of the spectral acceleration of external seismic excitations at sloshing modes on this response. This coefficient is used to evaluate the performance of a linear regression line. In other words, it shows how the sloshing response is affected by the value of spectral accelerations at the first five sloshing periods (Equation (14)):
where is the coefficient of determination, and and are the real values and the predicted sloshing, respectively. A high R2 score indicates that there is a strong correlation between spectral accelerations at different modes and the sloshing response. On the other side, lower R2 scores indicate that the relationship is weaker, and other factors may be contributing to the sloshing response.
4.4.1. The First Loading Condition (S1)—The Major Earthquake Horizontal Component
The scatter plot shown below (Figure 9) illustrates the relationships between the normalized spectral accelerations at the first five sloshing periods and the normalized sloshing responses of the tank at point “a”, perpendicular to the major earthquake component (S1).
Figure 9.
Accelerations at the first five sloshing periods versus maximum sloshing responses (S1—major components).
According to Figure 9, the spectral acceleration of the external earthquake loads at the first sloshing period, in this case, 6.17 s, has a relatively linear relationship with the maximum sloshing response of the tank for the considered seismic records. This relationship can also be observed in the higher odd sloshing modes, 2.15 and 1.60 s, the third and the fifth sloshing periods, with R2 scores of 0.95 and 0.70. However, the even modes, 2.84 and 1.81 s, the second and the fourth sloshing periods, have been shown to be less effective in the case of the sloshing response, with R2 scores of 0.18 and 0.32, respectively. It can also be observed that while the R2 scores for the first and the third sloshing periods are the same, 0.95, for the fifth sloshing period, this coefficient drops to 0.70. It can be concluded that higher sloshing modes, i.e., those higher than the 5th sloshing mode, become less and less significant, and can be ignored.
4.4.2. The First Loading Condition (S1)—The Minor Earthquake Horizontal Component
As explained above, the minor horizontal component of each considered ground motion was scaled with the scale factor used to scale its major component to 0.4 g. This resulted in different peak ground accelerations (PGAs) for the minor components, as shown in Table 5. According to Table 5, these PGAs ranged from 0.24 to 0.37 g. These PGAs were normalized and plotted in relation to the normalized maximum sloshing responses at point “b” on a perpendicular axis to the direction of the minor components. Figure 10 shows the relationship between the PGAs and the maximum sloshing responses using a regression line.
Figure 10.
Relationship between PGA and sloshing response (S1—minor components).
According to Figure 10, it is safe to assume that the sloshing response is not a function of the PGAs’ values of the external excitations (R2 score = 0.38).
Similarly, as for the major components, the relationship between the spectral accelerations at the first five sloshing periods and the maximum sloshing responses, perpendicular to the direction of minor horizontal excitations (point “b”), is shown in Figure 11.
Figure 11.
Accelerations at the first five sloshing vibration periods versus maximum sloshing responses (S1—minor components).
Figure 11 indicates that only the spectral acceleration at the first sloshing period has a relatively close relationship with the maximum sloshing response, but not as close as that of the major component. In this case, it should be considered that, unlike the major component, the PGAs of the minor components are different, which may affect the sensitivity of the sloshing response to the higher sloshing odd modes, even though the maximum sloshing response is shown to be affected by the value of spectral acceleration at the first sloshing period.
Additionally, the results show that the sloshing response was more affected by the spectral acceleration of the applied earthquake at the first sloshing period than PGA.
4.4.3. The Second Loading Condition (S2)—The Major Horizontal Earthquake Component
The same process was applied to the second loading condition, in which the horizontal earthquake components rotated 90 degrees around the vertical component. In this case, the major earthquake component acted perpendicular to the longer wall, so the resulting sloshing response was measured at point “b”. It should also be noted that the corresponding sloshing periods were also calculated according to the length of the shorter tank wall. Figure 12 shows the normalized maximum sloshing responses of the tank in the middle of the longer wall (point “b”) as a function of normalized spectral accelerations at the first five sloshing periods.
Figure 12.
Accelerations at the first five sloshing vibration periods versus maximum sloshing responses (S2—major components).
There is a relatively linear relationship between the maximum sloshing response of the tank under the seven earthquakes and the spectral accelerations of these earthquakes at the first sloshing period (R2 = 0.98). Nevertheless, the R2 scores for the higher modes show that this response was relatively insensitive to the higher sloshing modes, even the odd ones. It is worth mentioning that in the second loading condition, Rdir decreased from 1.29 to 0.78, indicating a reduction in the length over which the major earthquake component acted compared to that of the minor earthquake component.
4.4.4. The Second Loading Condition (S2)—The Minor Earthquake Horizontal Component
As with S1, the relationships between the maximum sloshing response of the tank under the seven three-dimensional near-fault ground motions and PGAs, as well as the relationship between the maximum sloshing responses and spectral accelerations at the first five sloshing periods, were studied for the minor earthquake component under the second loading condition (S2). According to Figure 7, minor earthquake components were applied along the longer tank wall by S2. Therefore, the maximum sloshing responses of the tank under the selected ground motions were measured at point “a” (Figure 7). In Figure 13, the first graph shows the relationship between PGAs and the maximum sloshing responses, and the five following graphs illustrate this relationship between the maximum sloshing responses of the tank and the spectral accelerations of the selected records at the first five sloshing periods.

Figure 13.
Accelerations at the first five sloshing vibration periods and PGAs versus maximum sloshing responses (S2—minor components).
Similar to the major component in S2, the maximum sloshing response of the tank perpendicular to the direction of the minor earthquake horizontal component was mainly affected by the spectral acceleration at the first sloshing period with an R2 of 0.96. In terms of the relationship between PGAs and maximum sloshing response, similar to S1, it can be observed that changing the peak ground acceleration (PGA) had a negligible effect on the sloshing response. In other words, in order to predict which seismic excitations will result in a higher sloshing response in rectangular tanks, the spectral acceleration of the earthquake for 0.5% damping, recommended by [73], is a useful earthquake characteristic. In contrast, PGA is insufficient for this prediction as a single parameter.
4.4.5. Sloshing Response at the Corner of the Tank
It has been demonstrated in the previous sections that at different sloshing frequencies of the tank, the sloshing response in the middle of the tank walls (“a” and “b”) is highly sensitive to the value of the spectral acceleration of the external load. Accordingly, extending the results to the corner of the tank, the critical sloshing location [38] is of great importance. It is worth noting that the maximum sloshing response in the liquid storage tank occurred at the corner of the tank under both loading conditions (Table 11 and Figure 8).
Unlike the vertical earthquake component, which has been shown to have a negligible effect on the sloshing response [72], the two horizontal components, the major and the minor components, accounted for the sloshing response at the corner of the tank. Therefore, it seems to be essential to study the sensitivity of the sloshing response at the corner of the tank to the major and minor horizontal components and their combination.
As shown in the previous sections, under both loading conditions, the spectral acceleration at the first sloshing period (1st mode) was closely related to the maximum sloshing response for both major and minor earthquake horizontal components. Regarding S1, it has also been indicated that increasing the value of the spectral acceleration of the major earthquake components at the first three odd sloshing periods of vibration (1, 3, 5) increased the maximum sloshing response in the middle of the shorter wall (“a”), perpendicular to the direction of the major component. It should also be considered that for S1 (major component), the R2 scores for the first and the third sloshing periods were equal (0.95), indicating that these convective modes play an important role in the maximum sloshing response.
In order to extend the results to the corner of the tank, the critical sloshing location, it is important to determine the predominant excitation component by which corner sloshing is most affected. Since the horizontal earthquake components were applied to the tank under two different loading conditions, S1 and S2, there are two different Rdir ratios, one for each loading condition. The effect of changing this ratio, as well as the value of spectral acceleration at the first five sloshing periods on the maximum corner sloshing for both major and minor components under both loading conditions, is presented in this section.
Corner Sloshing and Spectral Acceleration—S1
According to Section 4.4.5, the three scatter plots, shown in Figure 14, show the relationship between the maximum sloshing response at the corner of the tank as a function of spectral accelerations at the first sloshing period of vibration for the major, minor, and combined components.
Figure 14.
Corner sloshing response as a function of spectral acceleration at the first sloshing period for major, minor, and combined components—S1.
The square root of the sum of squares (SRSS) method was used to combine spectral accelerations of the major and minor components. This combination method was recommended by [73] to estimate corner sloshing according to the sloshing height of each orthogonal direction. At first, the maximum sloshing responses of the tank under the selected earthquakes and their spectral accelerations were normalized, similar to the previous sections. A regression line was drawn for each scatter plot, and finally, the coefficient of determination (R2-Score) was calculated. Figure 14 shows the relationship between the maximum sloshing response at the corner of the tank and the spectral accelerations at the first sloshing period for the major, minor, and combined components under the first loading condition (S1).
As shown in Figure 14, while there is an approximately linear relationship between the maximum corner sloshing and the spectral accelerations for the major and the combined components, the spectral acceleration for the minor component seems to have an insignificant effect on the corner sloshing. In this case, the ratio between the length of the major earthquake action and the minor one, Rdir, is equal to 1.29. This procedure was repeated for the spectral accelerations at the other four sloshing periods. The R2 scores representing the relationship between the spectral accelerations at the first five sloshing periods and the sloshing responses at “c” are shown in Table 13.
Table 13.
Relationship between corner sloshing responses and the spectral accelerations for the major and combined components at the first five sloshing periods—S1.
As shown in Table 13, it is evident that not only was the maximum corner sloshing greatly affected by the spectral acceleration of the external excitations at the first sloshing period but the value of this acceleration at the two other odd sloshing periods (the 3rd and the 5th sloshing periods) also affected the maximum corner sloshing.
Corner Sloshing and Spectral Acceleration—S2
As with S1, the relationship between the maximum sloshing response and the spectral acceleration at the sloshing period was examined for S2, when the horizontal earthquake components rotated 90 degrees around the vertical axis. As a result, Rdir decreased to 0.78.
Initially, this relationship was evaluated between the maximum corner sloshing response and the spectral acceleration at the first sloshing period of the major, minor, and combined components. Figure 15 shows these relationships as well as their R2 scores.
Figure 15.
Corner sloshing response as a function of spectral acceleration at the first sloshing period of the major, minor, and combined components—S2.
According to Figure 15, the effect of the minor earthquake component on the corner sloshing increases when the two horizontal components rotate around the vertical axis (from S1 to S2). As a result, it can be seen that decreasing Rdir from 1.29 to 0.78 increases the effect of the minor component. As the role of the minor component becomes more significant, the impact of the major component on corner sloshing decreases, and the combined component becomes predominant. Table 14 shows the sensitivity of the corner sloshing to the spectral accelerations at the first five sloshing periods for S2.
Table 14.
Relationship between corner sloshing and spectral accelerations of the major and combined components at the first five sloshing periods—S2.
Based on Table 14, spectral accelerations at higher sloshing modes, even the odd ones, had a negligible effect on corner sloshing, contrary to the behavior observed under the first loading condition (S1). This shows that changing Rdir can not only change the effect of the major and minor components on the corner sloshing as the critical sloshing location but also the effect of higher modes on the corner sloshing response in such a way that the role of higher modes diminished while the role of minor components becomes more important. When switching from S1 to S2, it is essential to consider that the distance between the earthquake horizontal components and point “c” changes.
5. Summary and Conclusions
In this study, a rectangular concrete liquid storage tank was numerically modeled using the Lagrangian–Lagrangian method and subjected to seven three-dimensional near-fault earthquakes under two different loading conditions. Under the first condition (S1), the major and the minor horizontal earthquake components acted along the longer and shorter tank walls, respectively. Under the second loading condition (S2), these earthquake components rotated 90 degrees around the vertical direction. Under each loading condition, the relationship between the maximum sloshing response at three different locations, at the corner and in the middle of the tank’s shorter and longer walls, and the values of spectral acceleration at the first five sloshing periods were studied. Further, the relationship between the PGAs of earthquakes and the maximum sloshing responses for the minor earthquake horizontal components was studied. Due to the fact that switching the loading condition from S1 to S2 changes the ratio between the length along which the major and minor horizontal earthquake components act, Rdir, the effect of changing this ratio on sloshing response, particularly its sensitivity to higher sloshing modes, was examined. The results are listed as follows:
- Under both loading conditions and all seven earthquakes, the maximum sloshing response occurred at the corner of the tank, which is considered to be the critical sloshing location in rectangular liquid storage tanks. Under the considered earthquakes and the two loading conditions, the sloshing response was up to 50% higher at the corner of the tank than in the middle of the walls.
- Regardless of the value of Rdir, the maximum sloshing response that occurred in the middle of the longer and shorter tank walls, perpendicular to the seismic excitation direction, was highly affected by the value of the input seismic excitation’s spectral acceleration at the first convective period (the 1st convective mode).
- In this case study, the sensitivity of sloshing response to higher sloshing modes depended on Rdir. As shown in this paper, when the major horizontal earthquake component acted along the longer wall (S1), the role of higher sloshing modes on the sloshing response in the middle of the shorter wall, perpendicular to the major horizontal earthquake component, and at the corner of the tank, the critical sloshing location, became significant, according to the 0.95 and 0.70 R2 scores for the 3rd and 5th sloshing modes. On the other hand, when the major horizontal earthquake component acted along the shorter tank wall (S2), only the value of spectral acceleration at the first sloshing period affected the maximum sloshing response in the middle of the longer wall, perpendicular to the major component, and at the corner. Therefore, the value of Rdir seems to be an important parameter regarding the sensitivity of the sloshing response to the sloshing higher modes.
- As Rdir increases, the major horizontal earthquake component dominates the maximum sloshing response at the corner of the tank. In other words, by decreasing Rdir, the role of the minor horizontal earthquake component becomes more significant. As mentioned above, at the lower Rdir ratio, only the spectral acceleration at the first sloshing period became important. In this case, by combining the spectral accelerations at the first sloshing period for major and minor earthquake components, it was possible to predict the intensity of corner sloshing according to the R2 score of 0.96.
- Under both loading conditions, it was observed that the peak ground acceleration (PGA) of the minor horizontal earthquake component had an insignificant effect on the perpendicular sloshing response, which occurred perpendicular to the minor component (S1—“b”, S2—“a”).
Author Contributions
Conceptualization, S.A.; Methodology, S.A.; Software, S.A.; Validation, S.A. and M.H.; Formal analysis, S.A.; Investigation, S.A. and M.H.; Resources, S.A.; Data curation, S.A.; Writing—original draft, S.A.; Writing—review & editing, M.H. and S.A.H.; Supervision, M.H.; Project administration, M.H. and S.A.H. All authors have read and agreed to the published version of the manuscript.
Funding
This research received no external funding.
Institutional Review Board Statement
Not applicable.
Informed Consent Statement
Not applicable.
Data Availability Statement
Data is contained within the article.
Conflicts of Interest
The authors declare no conflict of interest
References
- Haroun, M.A.; Bhatia, H. Analysis of tank damage during the 1994 Northridge Earthquake. In Proceedings of the Lifeline Earthquake Engineering, New York, NY, USA, 10–12 August 1995. [Google Scholar]
- Akatsuka, H.; Kobayashi, H. Fire of Petroleum Tank, etc. by Niigata Earthquake; Failure Knowledge Database: Japan, 2008. [Google Scholar]
- Yazici, G.; Cili, F. Evaluation of the liquid storage tank failures in the 1999 Kocaeli Earthquake. In Proceedings of the 14th World Conference on Earthquake Engineering, Beijing, China, 12–17 October 2008; pp. 12–17. [Google Scholar]
- Yoshida, S. Report on damage and failure of oil storage tanks due to the 1999 Chi-Chi Earthquake. In Proceedings of the ASME PVP Conference, Taiwan, 2001. [Google Scholar]
- Yoshida, S. Review of Earthquake Damages of Aboveground Storage Tanks in Japan and Taiwan. In Volume 8: Seismic Engineering; American Society of Mechanical Engineers: New York, NY, USA, 2014. [Google Scholar]
- Nicolici, S.; Bilegan, R. Fluid structure interaction modeling of liquid sloshing phenomena in flexible tanks. Nucl. Eng. Des. 2013, 258, 51–56. [Google Scholar] [CrossRef]
- George, M.; Rajan, A. Effect of Flexible Wall Boundary in Seismic Design of Liquid Storage Tanks with Fluid Structure Interaction. Int. J. Eng. Res. 2015, V4, 184–188. [Google Scholar] [CrossRef]
- Ghaemmaghami, A.R.; Kianoush, M.R. Effect of Wall Flexibility on Dynamic Response of Concrete Rectangular Liquid Storage Tanks under Horizontal and Vertical Ground Motions. J. Struct. Eng. 2010, 136, 441–451. [Google Scholar] [CrossRef]
- Haroun, M.A.; Housner, G.W. Earthquake Response of Deformable Liquid Storage Tanks. J. Appl. Mech. 1981, 48, 411–418. [Google Scholar] [CrossRef]
- Kolbadi, S.M.S.; Alvand, R.A.; Mirzaei, A. Three Dimensional Dynamic Analysis of Water Storage Tanks Considering FSI Using FEM. Int. J. Civ. Environ. Eng. 2018, 12, 377–386. [Google Scholar]
- Mitra, S.; Sinhamahapatra, K. 2D simulation of fluid-structure interaction using finite element method. Finite Elem. Anal. Des. 2008, 45, 52–59. [Google Scholar] [CrossRef]
- Tsao, W.-H.; Huang, Y.-L. Sloshing force in a rectangular tank with porous media. Results Eng. 2021, 11, 100250. [Google Scholar] [CrossRef]
- Baker, J.W. Quantitative Classification of Near-Fault Ground Motions Using Wavelet Analysis. Bull. Seism. Soc. Am. 2007, 97, 1486–1501. [Google Scholar] [CrossRef]
- Chopra, A.K.; Chintanapakdee, C. Comparing response of SDF systems to near-fault and far-fault earthquake motions in the context of spectral regions. Earthq. Eng. Struct. Dyn. 2001, 30, 1769–1789. [Google Scholar] [CrossRef]
- Spudich, P.; Rowshandel, B.; Shahi, S.K.; Baker, J.W.; Chiou, B.S.-J. Comparison of NGA-West2 Directivity Models. Earthq. Spectra 2014, 30, 1199–1221. [Google Scholar] [CrossRef]
- Zhang, S.; Wang, G. Effects of near-fault and far-fault ground motions on nonlinear dynamic response and seismic damage of concrete gravity dams. Soil Dyn. Earthq. Eng. 2013, 53, 217–229. [Google Scholar] [CrossRef]
- Nuti, C.; Briseghella, B.; Lavorato, D.; Taciroglu, E.; Bergami, A.V. Effects of Near-Fault Ground Motions on Civil Infrastructure. Appl. Sci. 2023, 13, 5929. [Google Scholar] [CrossRef]
- Cai, Z.; Wang, Z.; Lin, K.; Sun, Y.; Zhuo, W. Seismic Behavior of a Bridge with New Composite Tall Piers under Near-Fault Ground Motion Conditions. Appl. Sci. 2020, 10, 7377. [Google Scholar] [CrossRef]
- Pirsoltan, M.; Kilanehei, F.; Mohebi, B. Effect of Near-Fault Earthquakes on the Sloshing Behavior of Concrete Rectangular Liquid Storage Tanks. Amirkabir J. Civ. Eng. 2019, 51, 401–414. [Google Scholar]
- Chen, G.; Beer, M.; Liu, Y. Modeling response spectrum compatible pulse-like ground motion. Mech. Syst. Signal Process. 2022, 177, 109177. [Google Scholar] [CrossRef]
- Chen, G.; Liu, Y.; Beer, M. Identification of near-fault multi-pulse ground motion. Appl. Math. Model. 2023, 117, 609–624. [Google Scholar] [CrossRef]
- Chen, G.; Liu, Y.; Beer, M. Effects of response spectrum of pulse-like ground motion on stochastic seismic response of tunnel. Eng. Struct. 2023, 289, 116274. [Google Scholar] [CrossRef]
- Chen, G.; Yang, J.; Wang, R.; Li, K.; Liu, Y.; Beer, M. Seismic damage analysis due to near-fault multipulse ground motion. Earthq. Eng. Struct. Dyn. 2023, 52, 5099–5116. [Google Scholar] [CrossRef]
- Hatami, F.; Omidtabrizi, F. Seismic response of rectangular and cylindrical concrete tanks under near-fault and far-fault ground motions. Asas J. 2022, 23, 5–14. [Google Scholar]
- Kalogerakou, M.E.; Maniatakis, C.A.; Spyrakos, C.C.; Psarropoulos, P.N. Seismic response of liquid-containing tanks with emphasis on the hydrodynamic response and near-fault phenomena. Eng. Struct. 2017, 153, 383–403. [Google Scholar] [CrossRef]
- Zhou, L.; Xu, T.; Lu, Z.; Zhang, D. A Study on the Sloshing Problem of Vertical Storage Tanks under the Action of Near-Fault Earthquakes. Adv. Civ. Eng. 2020, 2020, 1097696. [Google Scholar] [CrossRef]
- Luo, D.; Liu, C.; Sun, J.; Cui, L.; Wang, Z. Sloshing effect analysis of liquid storage tank under seismic excitation. Structures 2022, 43, 40–58. [Google Scholar] [CrossRef]
- Chen, G.; Yang, J.; Liu, Y.; Kitahara, T.; Beer, M. An energy-frequency parameter for earthquake ground motion intensity measure. Earthq. Eng. Struct. Dyn. 2023, 52, 271–284. [Google Scholar] [CrossRef]
- Singh, D.; Ahlawat, A.S. Seismic Fragility Analysis of Liquid Storage Tanks. In Proceedings of the 19th International Conference on Structural Mechanics in Reactor Technology (SMiRT 19), Toronto, ON, Canada, 12–17 August 2007. [Google Scholar]
- Akyildız, H.; Ünal, N.E. Sloshing in a three-dimensional rectangular tank: Numerical simulation and experimental validation. Ocean Eng. 2006, 33, 2135–2149. [Google Scholar] [CrossRef]
- Güray, E.; Yazıcı, G. Sloshing in medium sized tanks under earthquake load. J. Croat. Assoc. Civ. Eng. 2015, 67, 655–662. [Google Scholar] [CrossRef]
- Wang, M.; Gao, L. Dynamic Time-History analyses of Ground Reinforced Concrete Tank in Water Supply System under Bi-directional Horizontal Seismic Actions. In Proceedings of the 2018 7th International Conference on Energy, Environment and Sustainable Development (ICEESD 2018), Shenzhen, China, 30–31 March 2018; Atlantis Press: Paris, France, 2018. [Google Scholar]
- Yazdanian, M.; Razavi, S.V.; Mashal, M. Seismic Analysis of Rectangular Concrete Tanks by Considering Fluid and Tank Interaction. J. Solid Mech. 2016, 8, 435–445. [Google Scholar]
- Gurusamy, S.; Kumar, D. Experimental study on nonlinear sloshing frequency in shallow water tanks under the effects of excitation amplitude and dispersion parameter. Ocean Eng. 2020, 213, 107761. [Google Scholar] [CrossRef]
- Bakalis, K.; Kohrangi, M.; Vamvatsikos, D. Seismic intensity measures for above-ground liquid storage tanks. Earthq. Eng. Struct. Dyn. 2018, 47, 1844–1863. [Google Scholar] [CrossRef]
- Su, T.C. A Numerical Analysis of Large Amplitude Liquid Sloshing in Baffled Containers; National Technical Information Service: Springfield, VA, USA, 1982. [Google Scholar]
- Zhao, D.; Hu, Z.; Chen, G.; Lim, S.; Wang, S. Nonlinear sloshing in rectangular tanks under forced excitation. Int. J. Nav. Arch. Ocean Eng. 2018, 10, 545–565. [Google Scholar] [CrossRef]
- Moslemi, M.; Farzin, A.; Kianoush, M. Nonlinear sloshing response of liquid-filled rectangular concrete tanks under seismic excitation. Eng. Struct. 2019, 188, 564–577. [Google Scholar] [CrossRef]
- Sreekala, R.; Prasad, A.M.; Muthumani, K.; Lakshmanan, N.; Iyer, N.R. Dynamic Response of Liquid Tanks during Near Fault Earthquakes. In Proceedings of the 15th World Conference on Earthquake Engineering, Lisbon, Portugal, 24–28 September 2012. [Google Scholar]
- Ren, J.; Vafaei, M. Study on the Influence of Earthquakes with Different Frequency Content on the Peak Liquid Sloshing Wave Height of Liquid Storage Tank. Adv. Eng. Technol. Res. 2023, 4, 184. [Google Scholar] [CrossRef]
- Veletsos, A.S.; Tang, Y.; Veletsos, M.A.S.; Member, A.S. Rocking Response of Liquid Storage Tanks. J. Eng. Mech. 1987, 113, 1774–1792. [Google Scholar] [CrossRef]
- Merino, R.; Brunesi, E.; Nascimbene, R. Probabilistic evaluation of earthquake-induced sloshing wave height in above-ground liquid storage tanks. Eng. Struct. 2020, 202, 109870. [Google Scholar] [CrossRef]
- NZSEE. Seismic Design of Storage Tanks: 2009; New Zealand Society for Earthquake Engineering: Christchurch, New Zealand, 2009. [Google Scholar]
- Zhou, J.; Zhao, M. Impact of earthquake direction and liquid sloshing on column supported tank. Eng. Struct. 2021, 247, 113037. [Google Scholar] [CrossRef]
- Isaacson, M.; Ryu, C.-S. Directional effects of earthquake-induced sloshing in rectangular tanks. Can. J. Civ. Eng. 1998, 25, 376–382. [Google Scholar] [CrossRef]
- Lee, C.-B.; Lee, J.-H. Nonlinear Dynamic Response of a Concrete Rectangular Liquid Storage Tank on Rigid Soil Subjected to Three-Directional Ground Motion. Appl. Sci. 2021, 11, 4688. [Google Scholar] [CrossRef]
- Bi, Z.; Zhang, L.; He, X.; Zhai, Y. Effect of oblique incidence angle and frequency content of P and SV waves on the dynamic behavior of liquid tanks. Soil Dyn. Earthq. Eng. 2023, 171, 107929. [Google Scholar] [CrossRef]
- van Daalen, E.F.G. Numerical and Theoretical Studies of Water Waves and Floating Bodies. Ph.D. Thesis, Universiteit Twente, Enschede, The Netherlands, 1993. [Google Scholar]
- Chen, Y.-H.; Hwang, W.-S.; Tsao, W.-H. Nonlinear Sloshing Analysis by Regularized Boundary Integral Method. J. Eng. Mech. 2017, 143, 04017046. [Google Scholar] [CrossRef]
- Wu, N.-J.; Hsiao, S.-C.; Wu, H.-L. Mesh-free simulation of liquid sloshing subjected to harmonic excitations. Eng. Anal. Bound. Elements 2016, 64, 90–100. [Google Scholar] [CrossRef]
- Tezduyar, T.E. Finite element methods for flow problems with moving boundaries and interfaces. Arch. Comput. Methods Eng. 2001, 8, 83–130. [Google Scholar] [CrossRef]
- Pooraskarparast, B.; Bento, A.M.; Baron, E.; Matos, J.C.; Dang, S.N.; Fernandes, S. Fluid–Soil–Structure Interactions in Semi-Buried Tanks: Quantitative and Qualitative Analysis of Seismic Behaviors. Appl. Sci. 2023, 13, 8891. [Google Scholar] [CrossRef]
- Goudarzi, M.A.; Sabbagh-Yazdi, S.R. Investigation of nonlinear sloshing effects in seismically excited tanks. Soil Dyn. Earthq. Eng. 2012, 43, 355–365. [Google Scholar] [CrossRef]
- Dogangun, A.; Livaoglu, R. Hydrodynamic pressures acting on the walls of rectangular fluid containers. Struct. Eng. Mech. 2004, 17, 203–214. [Google Scholar] [CrossRef]
- Doǧangün, A.; Durmuş, A.; Ayvaz, Y. Static and dynamic analysis of rectangular tanks by using the lagrangian fluid finite element. Comput. Struct. 1996, 59, 547–552. [Google Scholar] [CrossRef]
- Avval, I.T. Dynamic Response of Concrete Rectangular Liquid Tanks in Three-Dimensional Space. Master’s Thesis, Ryerson University, Toronto, ON, Canada, 2012. [Google Scholar]
- Elwy, A.A.; El-taly, B.A.; El-Hakem, Y.A. Experimental and Numerical Modal Analysis of an Existing Hydraulic Structure. Acta Tech. Napoc. Civ. Eng. Archit. 2018, 61, 1–24. [Google Scholar]
- Yazdanian, M.; Fu, F. Parametric study on dynamic behavior of rectangular concrete storage tanks. Coupled Syst. Mech. 2017, 6, 189–206. [Google Scholar]
- ANSYS Release 12.0 Documentation, Version 12.0; ANSYS: Canonsburg, PA, USA, 2009.
- Kangda, M.Z. An approach to finite element modeling of liquid storage tanks in ANSYS: A review. Innov. Infrastruct. Solut. 2021, 6, 226. [Google Scholar] [CrossRef]
- Lu, D.; Liu, Y.; Zeng, X. Experimental and numerical study of dynamic response of elevated water tank of AP1000 PCCWST considering FSI effect. Ann. Nucl. Energy 2015, 81, 73–83. [Google Scholar] [CrossRef]
- Malhotra, P.K.; Nimse, P.; Meekins, M. Seismic Sloshing in a Horizontal Liquid Storage Tank. Struct. Eng. Int. 2014, 24, 466–473. [Google Scholar] [CrossRef][Green Version]
- Sivý, M.; Musil, M.; Chlebo, O.; Havelka, R. Sloshing effects in tanks containing liquid. MATEC Web Conf. 2017, 107, 00069. [Google Scholar] [CrossRef]
- Abramson, H.N. The Dynamic Behavior of Liquids in Moving Containers, with Applications to Space Vehicle Technology; National Aeronautics and Space Administration: Washington, DC, USA, 1966. [Google Scholar]
- Chen, J.Z.; Kianoush, M.R. A Design Procedure for Concrete Rectangular Liquid Storage Tanks Using Generalized SDOF System. In Proceedings of the 15th World Conferance on Earthquake Engineering, Lisbon, Portugal, 24–28 September 2012. [Google Scholar]
- The Pacific Earthquake Engineering Research Center. PEER Ground Motion Database; The Pacific Earthquake Engineering Research Center: Berkeley, CA, USA, 2013. [Google Scholar]
- Kang, T.-W.; Yang, H.-I.; Jeon, J.-S. Earthquake-induced sloshing effects on the hydrodynamic pressure response of rigid cylindrical liquid storage tanks using CFD simulation. Eng. Struct. 2019, 197, 109376. [Google Scholar] [CrossRef]
- Vern, S.; Shrimali, M.K.; Bharti, S.D.; Datta, T.K. Behavior of Liquid Storage Tank Under Multidirectional Excitation. In Advances in Structural Technologies; Springer: Berlin/Heidelberg, Germany, 2021; pp. 203–217. [Google Scholar]
- Fema. Quantification of Building Seismic Performance Factors. 2009. Available online: www.ATCouncil.org (accessed on 24 March 2023).
- ASCE7. Minimum Design Loads and Associated Criteria for Buildings and Other Structures; American Society of Civil Engineers (ASCE): Reston, VA, USA, 2016. [Google Scholar] [CrossRef]
- Tavakoli, H.R.; Gilani, H.; Abdollahzadeh, G.R. Comparative Evaluation of Seismic Parameters for Near-Fault and Far-Fault Earthquakes. In Proceedings of the 15th World Conference on Earthquake Engineering, Lisbon, Portugal, 24–28 September 2012. [Google Scholar]
- Hejazi, F.S.A.; Mohammadi, M.K. Investigation on sloshing response of water rectangular tanks under horizontal and vertical near fault seismic excitations. Soil Dyn. Earthq. Eng. 2019, 116, 637–653. [Google Scholar] [CrossRef]
- ACI 350.3; Code Requirements for Seismic Analysis and Design of Liquid-Containing Concrete Structures (ACI 350.3-20) and Commentry. American Concrete Institute: Farmington Hills, MI, USA, 2021.
- API Standard 650; Welded Steel Tanks for Oil Storage. American Petroleum Institute: Washington, DC, USA, 1998.
- Eurocode 8; Design of Structures for Earthquake Resistance. European Committee for Standardization: Brussels, Belgium, 2005.
- Housner, G.W. Dynamic pressures on accelerated fluid containers. Bull. Seism. Soc. Am. 1957, 47, 15–35. [Google Scholar] [CrossRef]
- Hosseini, M.; Abizadeh, S. Behavior of reinforced concrete rectangular aboveground tanks subjected to near-source seismic excitations. In From Materials to Structures: Advancement through Innovation; CRC Press: Boca Raton, FL, USA, 2012; pp. 449–454. [Google Scholar] [CrossRef]
- Mohammadi, H.R.; Safi, M. Effect of Earthquake Frequency Content on 3D Sloshing in Rectangular Tanks. J. Seismol. Earthq. Eng. 2018, 20, 1. [Google Scholar]
Disclaimer/Publisher’s Note: The statements, opinions and data contained in all publications are solely those of the individual author(s) and contributor(s) and not of MDPI and/or the editor(s). MDPI and/or the editor(s) disclaim responsibility for any injury to people or property resulting from any ideas, methods, instructions or products referred to in the content. |
© 2023 by the authors. Licensee MDPI, Basel, Switzerland. This article is an open access article distributed under the terms and conditions of the Creative Commons Attribution (CC BY) license (https://creativecommons.org/licenses/by/4.0/).