Study of Modified Primary Compression Index Tests and a Regression Model for Municipal Solid Waste Considering the Temperature Effect
Abstract
:1. Introduction
2. Equipment, Materials, and Methods
2.1. Equipment
- This device can provide a stable boundary temperature for the sample through the temperature control device.
- The device can simulate the stress and settlement of MSW at different depths by applying different loads, and the load is stable and controllable.
- This device can collect leachate and gas during the experiment through the leachate collection system and gas collection system. At the same time, water or leachate can be reinjected through the reinjection port.
- This device can detect the pore gas pressure, pore water pressure, and temperature during the experiment due to installed observation instruments such as pore pressure sensors, thermometers, and a tensiometer.
2.2. Materials
2.3. Method
3. Experimental Results and Discussion
3.1. Determining the End Time of Primary Consolidation
3.2. Analysis Results of Consolidation Test
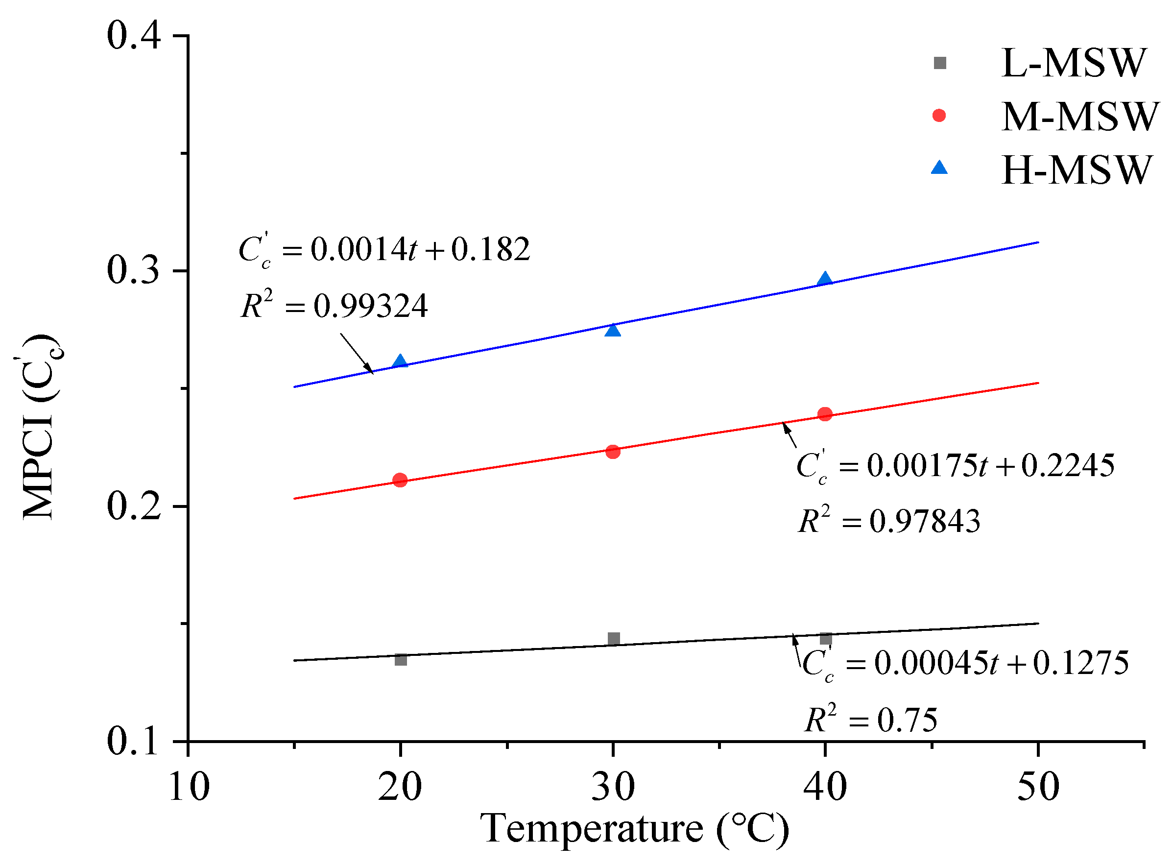
3.3. The Influence of MSW Characteristics on the MPCI
4. Modified Primary Compression Index Model
4.1. Model Creation
4.2. Model Validation
5. Conclusions
- Through temperature-controlled consolidation tests, it has been proven that temperature has an impact on MSW primary compression consolidation. As the temperature increased, MSW primary compression consolidation increased.
- This article determined that the modification primary compression index (MPCI) of high-organic-matter-content waste (H-MSW), moderate-organic-matter-content waste (M-MSW), and low-organic-content-waste (L-MSW) was 0.26166~0.29623, 0.21109~0.23894, and 0.15443~0.16948 using a consolidation test considering the temperature effect; the MPCI increased with the increase in temperature, organic matter content, and dry unit weight and the decrease in moisture content on a wet basis.
- A modified primary compression index calculation model was created considering temperature, organic matter content, moisture content on a wet basis, and the dry unit weight of MSW according to the results of the consolidation test and fitting model using data from the literature.
- The effectiveness of the model was verified by comparing the results of the bioreactor test considering the temperature effect and the calculation results of the model.
- The calculation results of the model indicate that errors in the results will occur if a single modified primary compression index (MPCI) is used to calculate the settlement of a landfill according to the technical specifications. As the size increased, the non-uniformity became more apparent. The calculated values in the middle of the sample were greater than the measured values, while the calculated values at the top and bottom were smaller than the measured values. Therefore, the variation in the MSW modified primary compression index (MPCI) with depth should be considered, which will help guide the accurate processing of landfills and design storage capacity.
Author Contributions
Funding
Institutional Review Board Statement
Informed Consent Statement
Data Availability Statement
Conflicts of Interest
References
- Liu, J.Y.; Xu, D.M.; Zhao, Y.C. Research on Settlement of municipal refuse Landfill. Soil Environ. Sci. 2002, 11, 111–115. [Google Scholar]
- Yin, Y.; Li, B.; Wang, W.; Zhan, L. Mechanism of the December 2015 catastrophic landslide at the Shenzhen landfill and controlling geotechnical risks of urbanization. Engineering 2016, 2, 230–249. [Google Scholar] [CrossRef]
- Qian, X.-D.; Guo, Z.-P. Engineering properties of municipal solid waste. Chin. J. Geotech. Eng. 1998, 20, 4–9. [Google Scholar]
- Bjarngard, A.B.; Edgers, L. Settlement of municipal solid waste landfills. In Proceedings of the 13th Annual Madison Waste Conference; University of Wisconsin: Madison, WI, USA, 1990; pp. 192–205. [Google Scholar]
- Vilar, O.M.; Carvalho, M.F. Mechanical properties of municipal solid waste. J. Test. Eval. 2004, 32, 438–449. [Google Scholar] [CrossRef]
- Landva, A.O.; Valsangkar, A.J.; Pelkey, S.G. Lateral earth pressure at rest and compressibility of municipal solid. Can. Geotech. J. 2000, 37, 1157–1165. [Google Scholar] [CrossRef]
- Liu, R.; Shi, J.-Y.; Peng, G.-X. Study on the deformation characteristics of interior refuse test. J. Yangzhou Univ. (Nat. Sci. Ed.) 2003, 6, 51–55. [Google Scholar]
- Hossian, M.S.; Gabr, M.A.; Barlaz, M.A. Relationship of compressibility parameters to municipal solid waste decomposition. J. Geotech. Geoenviron. Eng. 2003, 129, 1151–1158. [Google Scholar] [CrossRef]
- Indrawan, I.G.; Rahardjo, H.; Leong, E.C.; Tan, P.Y.; Fong, Y.K.; Sim, E.K. Field instrumentation for monitoring of water, heat, and gas transfers through unsaturated soils. Eng. Geol. 2012, 151, 24–36. [Google Scholar] [CrossRef]
- Badv, K.; Faridfard, M.R. Laboratory determination of water retention and diffusion coefficient in unsaturated sand. Water Air Soil Pollut. 2005, 161, 25–38. [Google Scholar] [CrossRef]
- Campanella, R.G.; Mitchell, J.K. Influence of temperature variations on soil behaviour. J. Geotech. Eng. Div. 1968, 94, 709–734. [Google Scholar]
- Abuel-Naga, H.M.; Bergado, D.T.; Bouazza, A. Thermally induced volume change and excess pore water pressure of soft Bangkok clay. Eng. Geol. 2007, 89, 144–154. [Google Scholar] [CrossRef]
- Bareither, C.A.; Benson, C.H.; Edil, T.B. Compression behavior of municipalsolid waste: Immediate compression. J. Geotech. Geoenviron. Eng. 2012, 138, 1047–1062. [Google Scholar] [CrossRef]
- Li, Z.S.; Yang, L.; Qu, X.Y.; Sui, Y.M. Municipal solid waste management in Beijing City. Waste Manag. 2009, 29, 2596–2599. [Google Scholar] [PubMed]
- Hong, R.J.; Wang, G.F.; Guo, R.Z.; Cheng, X.; Liu, Q.; Zhang, P.J.; Qian, G.R. Life cycle assessment of BMT-based integrated municipal solid waste management: Case study in Pudong, China. Resour. Conserv. Recycl. 2006, 49, 129–146. [Google Scholar] [CrossRef]
- Jiang, J.G.; Lou, Z.Y.; Ng, S.; Ciren, L.; Ji, D. The current municipal solid waste management situation in Tibet. Waste Manag. 2009, 29, 1186–1191. [Google Scholar] [CrossRef] [PubMed]
- Yuan, H.; Wang, L.; Su, F.; Hu, G. Urban solid waste management in chongqing: Challenge and opportunities. Waste Manag. 2006, 26, 1052–1062. [Google Scholar]
- Sharholy, M.; Ahmad, K.; Mahmood, G.; Trivedi, R.C. Municipal solid waste management in Indian cities—A review. Waste Manag. 2008, 28, 459–467. [Google Scholar] [CrossRef]
- Machado, S.L.; Karimpour-Fard, M.; Shariatmadari, N.; Carvalho, M.F.; do Nascimento, J.C. Evaluation of the geotechnical properties of MSW in two Brazilian landfills. Waste Manag. 2010, 30, 2579–2591. [Google Scholar] [CrossRef]
- Environment Data: Compendium 2005; Organization for Economic Cooperation and Development (OECD): Paris, France, 2005.
- Francois, V.; Feuillade, G.; Matejka, G.; Lagier, T.; Skhiri, N. Leachate recirculation effects on waste degradation: Study on columns. Waste Manag. 2007, 27, 1259–1272. [Google Scholar] [CrossRef]
- Shi, J.Y.; Qian, X.D.; Liu, X.D.; Sun, L.; Liao, Z.Q. The behavior of compression and degradation for municipal solid waste and combined settlement calculation method. Waste Manag. 2016, 55, 154–164. [Google Scholar] [CrossRef]
- Handy, R.L. First-order rate equations in geotechnical engineering. J. Geotech. Geoenviron. Eng. 2002, 128, 416–425. [Google Scholar] [CrossRef]
- Xu, H.; Zhu, G.; Zhang, Z.Y.; Zhan, L.T.; Chen, Y.M. Experimental study on the primary compression behavior of municipal solid waste and a model of modified primary compression index. Chin. J. Rock Mech. Eng. 2019, 38, 1271–1283. [Google Scholar]
- Liu, X.-D.; Shi, J.-Y.; Hu, Y.-D. Coupled mechanical-gas settlement model and calculation for MSW by considering biodegradation. Chin. J. Geotech. Eng. 2011, 33, 693–699. [Google Scholar]
- Liao, Z.-Q.; Shi, J.-Y.; Mao, J. Experimental study and mechanism analysis of primary compression index of MSW. J. Hohai Univ. (Nat. Sci.) 2007, 35, 326–329. [Google Scholar]
- Reddy, K.R.; Hettiarachchi, H.; Parakalla, N.S.; Gangathulasi, J.; Bogner, J.E. Geotechnical properties of fresh municipal solid waste at Orchard Hills Landfill, USA. Waste Manag. 2009, 29, 952–959. [Google Scholar] [CrossRef] [PubMed]
- Swati, M.; Joseph, K. Settlement analysis of fresh and partially stabilised municipal solid waste in simulated controlled dumps and bioreactor landfills. Waste Manag. 2008, 28, 1355–1363. [Google Scholar] [CrossRef] [PubMed]
- Olivier, F.; Gourc, J.P. Hydro-mechanical behavior of municipal solid waste subject to leachate recirculation in a large-scale compression reactor cell. Waste Manag. 2007, 27, 44–58. [Google Scholar] [CrossRef]
- Stolze, G.; Gourc, J.P.; Oxarango, L. Characterization of the physic-mechanical parameters of MSW. Waste Manag. 2010, 30, 1439–1449. [Google Scholar]
- Chen, Y.M.; Zhan, T.L.; Wei, H.Y.; Ke, H. Aging and compressibility of municipal solid wastes. Waste Manag. 2009, 29, 86–95. [Google Scholar] [CrossRef]
- Priyankara, N.H.; Fernando, K.A.S.N.; Alagiyawanna, A.M.N. Compressibility Characteristics of Open Dumped Municipal Solid Waste in the Dry Zone of Sri Lanka. Engineering 2022, 3, 11–20. [Google Scholar] [CrossRef]
- Balasooriya, B.L.C.B.; Priyankara, N.H.; Alagiyawanna, A.M.N.; Dayanthi, W.K.C.N.; Koide, T.; Kawamoto, K. Waste Amount and Composition Survey (WACS) in Galle and Hambantota Municipal Councils. In Proceedings of the International Symposium on Advances in Civil and Environmental Engineering Practices for Sustainable Development (ACEPS), Galle, Sri Lanka, 9 March 2015; pp. 240–247. [Google Scholar]
- Chen, J.-D.; Shi, J.-Y.; Fang, Y.-F. Degradation law of municipal solid waste and settlement calculation of landfills. J. Hohai Univ. (Nat. Sci.) 2006, 36, 680–682. [Google Scholar]















| Kitchen | Paper | Fabric | Plastic | Glass | Metal | Other | Moisture Content | |
|---|---|---|---|---|---|---|---|---|
| Beijing [14] | 63.4 | 11.07 | 2.46 | 12. 7 | 1.76 | 0.27 | 8.34 | 40~60 |
| Shanghai [15] | 66.7 | 4.46 | 1.8 | 19.98 | 2.72 | 0.27 | 4.07 | 45~66 |
| Guangzhou [16] | 58.1 | 6.3 | 4.8 | 14.5 | 2 | 0.6 | 13.7 | 50~70 |
| Chongqing [17] | 59.2 | 10.1 | 6.1 | 15.7 | 3.4 | 1.1 | 4.4 | 44~62 |
| India [18] | 41.8 | 5.7 | 3.5 | 4.7 | 2.1 | 1.9 | 40.3 | 40~60 |
| Brazil [19] | 42.9 | 19.7 | 4.5 | 18.7 | 1.7 | 1.5 | 11.0 | 50 |
| America [20] | 25 | 34 | 4.7 | 12.0 | 5.0 | 8.2 | 11.1 | 15~40 |
| Japan [20] | 34 | 33.6 | 2.3 | 13.4 | 5 | 3 | 8.7 | 38 |
| France [21] | 28.6 | 26.8 | 5.7 | 11.1 | 13.1 | 4.1 | 10.6 | 39.5 |
| Sample | Organic Matter Content | Organic | Inorganic | ||||
|---|---|---|---|---|---|---|---|
| Wheat Bran | Paper | Sawdust | Plastic | Fabric | Sand | ||
| L-MSW | 30% | 15% | 5% | 2.5% | 5% | 2.5% | 70% |
| M-MSW | 60% | 30% | 10% | 5% | 10% | 5% | 40% |
| H-MSW | 80% | 50% | 12.5% | 7.5% | 7.5% | 2.5% | 20% |
| Sample | Organic Matter Content | Dry Unit Weight (kN/m3) | Moisture Content on a Wet Basis | Void Ratio |
|---|---|---|---|---|
| L-MSW | 30% | 6.586 | 51.64% | 2.0 |
| M-MSW | 60% | 5.488 | 56.62% | 2.0 |
| H-MSW | 80% | 4.704 | 59.61% | 2.0 |
| Reference | Age | (°C) | Size (cm) | ||||
|---|---|---|---|---|---|---|---|
| Xu [24] | fresh | 20 | 500 | 0.381 | 70.2 | 2.44 | 84.45 |
| 500 | 0.323 | 62.31 | 2.87 | 83.1 | |||
| fresh | 20 | 30 | 0.314 | 68.8 | 3.02 | 83.15 | |
| 0.229 | 57.39 | 3.85 | 57.45 | ||||
| 0.175 | 53.1 | 4.33 | 18.5 | ||||
| Liu [25] | fresh | 20 | 6.18 | 0.287 | 37.5 | 7.61 | 52.5 |
| 0.194 | 37.5 | 7.61 | 52.5 | ||||
| 0.178 | 37.5 | 7.61 | 26.25 | ||||
| 0.164 | 37.5 | 7.61 | 26.25 | ||||
| Bareither [13] | fresh | 20 | 6.4 | 0.091 | 23.84 | 5.6 | 32.6 |
| 10 | 0.187 | 23.84 | 5.71 | ||||
| 30.5 | 0.162 | 23.84 | 5.61 | ||||
| 30.5 | 0.236 | 23.84 | 5.82 | ||||
| 20 | 6.4 | 0.115 | 22.48 | 7.99 | 54.35 | ||
| 10 | 0.188 | 22.48 | 8.12 | ||||
| 30.5 | 0.251 | 21.94 | 8.38 | ||||
| 30.5 | 0.234 | 21.94 | 8.53 | ||||
| 20 | 6.4 | 0.093 | 22.3 | 4.37 | 10.95 | ||
| 10 | 0.215 | 22.3 | 4.26 | ||||
| 30.5 | 0.21 | 22.3 | 4.47 | ||||
| 30.5 | 0.28 | 22.3 | 4.3 | ||||
| Mild degradation | 20 | 30.5 | 0.183 | 31.69 | 6.62 | 48.3 | |
| 30.5 | 0.235 | 31.69 | 6.77 | ||||
| Moderate degradation | 20 | 30.5 | 0.173 | 35.69 | 6.42 | 21.2 | |
| 30.5 | 0.257 | 35.69 | 6.63 | ||||
| Severe degradation | 20 | 30.5 | 0.193 | 38.61 | 6.52 | 17.3 | |
| 30.5 | 0.234 | 38.61 | 6.37 | ||||
| Liao [26] | fresh | 35 | 6.18 | 0.293 | 23.07 | 5.33 | 52.5 |
| 0.296 | 33.33 | 5.33 | 52.5 | ||||
| 0.293 | 41.18 | 5.33 | 52.5 | ||||
| 0.281 | 56.9 | 5.33 | 52.5 | ||||
| Reddy [27] | fresh | 25 | 6.3 | 0.33 | 53.7 | 5.22 | 60 |
| 0.24 | 53.7 | 4.9 | 60 | ||||
| 0.21 | 53.7 | 5.44 | 60 | ||||
| 0.319 | 53.7 | 4.62 | 60 | ||||
| Swati [28] | fresh | 25 | 130 | 0.633 | 62 | 2.77 | 52 |
| 130 | 0.374 | 58 | 2.74 | 52 | |||
| 130 | 0.155 | 28 | 5.64 | 30 | |||
| 130 | 0.026 | 27 | 6.02 | 30 | |||
| 130 | 0.053 | 28 | 6.01 | 30 | |||
| Hossian [8] | fresh | 35 | 6.35 | 0.16 | 55 | 54.61 | |
| 0.25 | 55 | 45.86 | |||||
| 0.37 | 55 | 40.55 | |||||
| 0.35 | 55 | 42.39 | |||||
| 0.16 | 55 | 55.01 | |||||
| 0.16 | 55 | 46.51 | |||||
| 0.20 | 55 | 45.59 | |||||
| 0.25 | 55 | 35.04 | |||||
| Olivier [29] | fresh | 30–34 | 100 | 0.271 | 30.26 | 4.17 | 61.9 |
| 0.220 | 33.86 | 4.41 | 61.9 | ||||
| Stolze [30] | fresh | 25 | 270 | 0.269 | 18.4 | 4.02 | 73.05 |
| 0.288 | 31.51 | 4.03 | 73.05 | ||||
| 0.28 | 37.77 | 4.07 | 73.05 | ||||
| 0.27 | 41.96 | 4.31 | 73.05 | ||||
| 0.333 | 42.86 | 3.99 | 73.05 | ||||
| 0.322 | 44.81 | 3.99 | 73.05 | ||||
| 0.373 | 47.56 | 3.87 | 73.05 | ||||
| 0.322 | 50.45 | 4.08 | 73.05 | ||||
| 0.296 | 54.13 | 3.94 | 73.05 | ||||
| 0.288 | 53.81 | 4.21 | 73.05 | ||||
| Chen [31] | fresh | 30 | 8.1 | 0.152 | 38.69 | 7.524 | 25.2 |
| 0.252 | 37.11 | 5.858 | 31.15 | ||||
| 0.103 | 52.61 | 5.008 | 34.7 | ||||
| 19 | 0.204 | 44.41 | 4.392 | 64.9 | |||
| 0.315 | 49.8 | 3.263 | 64.9 | ||||
| Priyankara and Balasooriya [32,33] | fresh | 20 | 20 | 0.1 | 17.7 | 10.54 | 47.04 |
| 0.11 | 36.2 | 7.088 | 47.04 | ||||
| 0.09 | 28.34 | 9.237 | 47.04 | ||||
| 0.08 | 37.43 | 8.566 | 47.04 | ||||
| 0.1 | 28.94 | 6.516 | 47.04 | ||||
| 0.1 | 31.99 | 7.406 | 47.04 |
| Parameter | Test 1 | Test 2 |
|---|---|---|
| Temperature (°C) | 25 | 40 |
| Vertical stress (kPa) | 42.4 | 42.4 |
| Organic matter content (%) | 60 | 60 |
| Initial density (g/cm3) | 0.976 | 0.985 |
| Dry unit weight (kN/m3) | 6.56 | 6.6 |
| Moisture content (%) | 32.9 | 32.9 |
| Void ratio | 2.0 | 2.0 |
| Wet mass (kg) | 237.3 | 237.3 |
| Sample height (cm) | 123.6 | 122.5 |
| A | 0.0645 | 0.0649 |
| B | 20.211 | 35.05 |
Disclaimer/Publisher’s Note: The statements, opinions and data contained in all publications are solely those of the individual author(s) and contributor(s) and not of MDPI and/or the editor(s). MDPI and/or the editor(s) disclaim responsibility for any injury to people or property resulting from any ideas, methods, instructions or products referred to in the content. |
© 2023 by the authors. Licensee MDPI, Basel, Switzerland. This article is an open access article distributed under the terms and conditions of the Creative Commons Attribution (CC BY) license (https://creativecommons.org/licenses/by/4.0/).
Share and Cite
Zhou, Y.; Wu, X.; Yang, Y. Study of Modified Primary Compression Index Tests and a Regression Model for Municipal Solid Waste Considering the Temperature Effect. Appl. Sci. 2024, 14, 348. https://doi.org/10.3390/app14010348
Zhou Y, Wu X, Yang Y. Study of Modified Primary Compression Index Tests and a Regression Model for Municipal Solid Waste Considering the Temperature Effect. Applied Sciences. 2024; 14(1):348. https://doi.org/10.3390/app14010348
Chicago/Turabian StyleZhou, Yaji, Xun Wu, and Yang Yang. 2024. "Study of Modified Primary Compression Index Tests and a Regression Model for Municipal Solid Waste Considering the Temperature Effect" Applied Sciences 14, no. 1: 348. https://doi.org/10.3390/app14010348
APA StyleZhou, Y., Wu, X., & Yang, Y. (2024). Study of Modified Primary Compression Index Tests and a Regression Model for Municipal Solid Waste Considering the Temperature Effect. Applied Sciences, 14(1), 348. https://doi.org/10.3390/app14010348

